Impact of Green Manuring on Health of Low Fertility Calcareous Soils
Abstract
1. Introduction
2. Materials and Methods
2.1. Site, Climate, and Soil
2.2. Experiment Setup, Treatments, and Measurements
2.3. Cultivation Technology and Treatment Application Methodology
2.4. Statistical Analysis
3. Results
3.1. Effect of Green Manuring on Soil Physicochemical Properties
3.1.1. Physical Properties
3.1.2. Chemical Properties
3.2. Effect of Green Manuring on Plant Growth and Yield Parameters
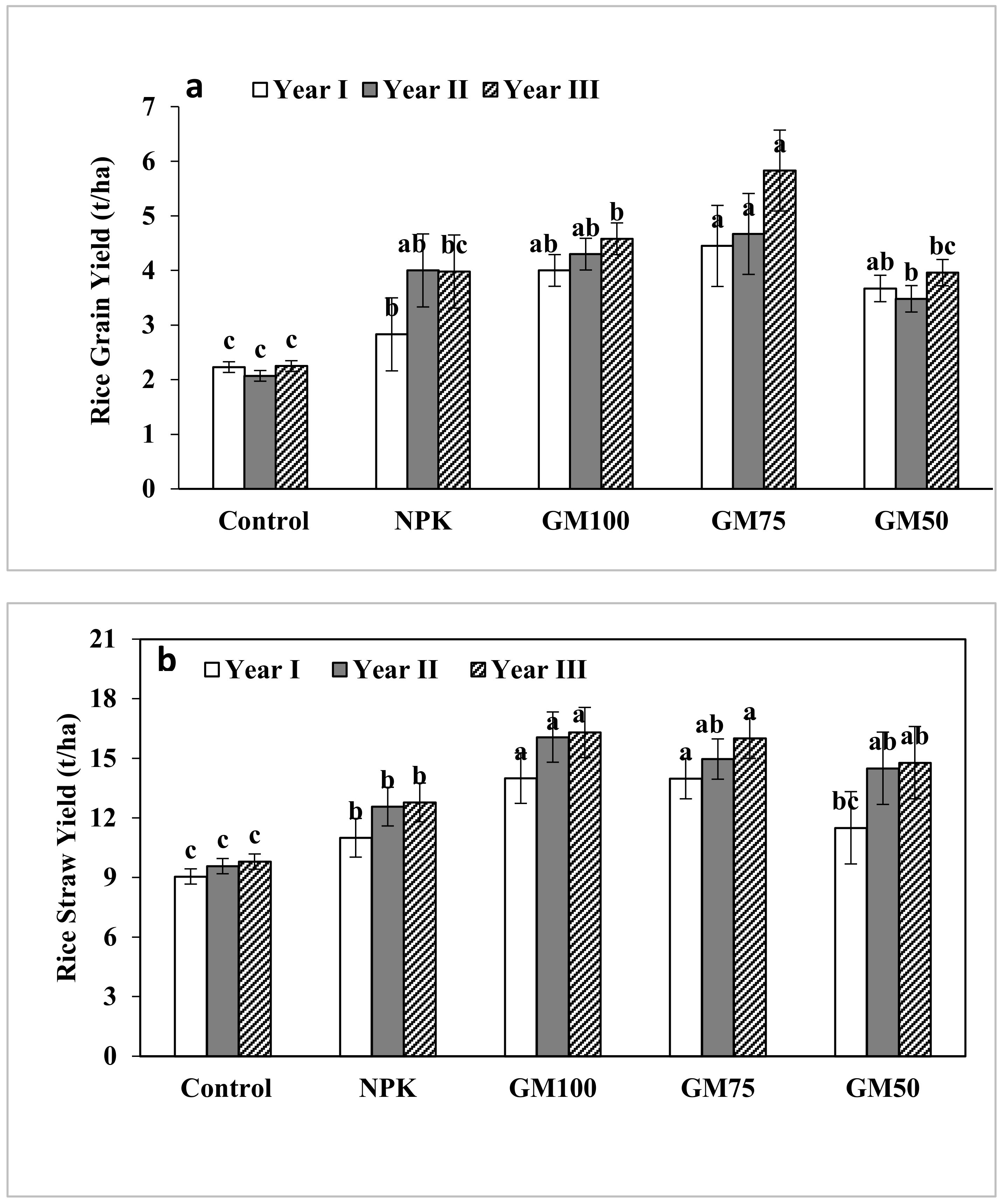
3.2.1. Rice
3.2.2. Berseem
4. Discussion
4.1. Effect of GM with Synthetic Fertilizers Application on Soil Porosity and Bulk Density
4.2. Effect of GM with Synthetic Fertilizer Application on Soil Chemical Properties
4.3. Effect of GM with Synthetic Fertilizer on Plant Growth and Yield
5. Conclusions
Author Contributions
Funding
Data Availability Statement
Acknowledgments
Conflicts of Interest
References
- Adnan, M.; Fahad, S.; Saleem, M.H.; Ali, B.; Mussart, M.; Ullah, R.; Arif, M.; Ahmad, M.; Shah, W.A.; Romman, M. Comparative efficacy of phosphorous supplements with phosphate solubilizing bacteria for optimizing wheat yield in calcareous soils. Sci. Rep. 2022, 12, 11997. [Google Scholar] [CrossRef] [PubMed]
- Fahad, S.; Chavan, S.B.; Chichaghare, A.R.; Uthappa, A.R.; Kumar, M.; Kakade, V.; Pradhan, A.; Jinger, D.; Rawale, G.; Yadav, D.K.; et al. Agroforestry Systems for Soil Health Improvement and Maintenance. Sustainability 2022, 14, 14877. [Google Scholar] [CrossRef]
- Maximillian, J.; Brusseau, M.L.; Glenn, E.P.; Matthias, A.D. Pollution and environmental perturbations in the global system. In Environmental and Pollution Science; Elsevier: Amsterdam, The Netherlands, 2019; pp. 457–476. [Google Scholar]
- Khan, M.A.; Adnan, M.; Basir, A.; Fahad, S.; Hafeez, A.; Saleem, M.H.; Ahmad, M.; Gul, F.; Durrishahwar; Subhan, F.; et al. Impact of tillage and potassium levels and sources on growth, yield and yield attributes of wheat. Pak. J. Bot. 2022, 55, 321–326. [Google Scholar] [CrossRef] [PubMed]
- Saini, A.; Manuja, S.; Kumar, S.; Hafeez, A.; Ali, B.; Poczai, P. Impact of Cultivation Practices and Varieties on Productivity, Profitability, and Nutrient Uptake of Rice (Oryza sativa L.) and Wheat (Triticum aestivum L.) Cropping System in India. Agriculture 2022, 12, 1678. [Google Scholar] [CrossRef]
- Saleem, A.; Zulfiqar, A.; Ali, B.; Naseeb, M.A.; Almasaudi, A.S.; Harakeh, S. Iron Sulfate (FeSO4) Improved Physiological Attributes and Antioxidant Capacity by Reducing Oxidative Stress of Oryza sativa L. Cultivars in Alkaline Soil. Sustainability 2022, 14, 16845. [Google Scholar] [CrossRef]
- Ahmad, M.; Ishaq, M.; Shah, W.A.; Adnan, M.; Fahad, S.; Saleem, M.H.; Khan, F.U.; Mussarat, M.; Khan, S.; Ali, B.; et al. Managing Phosphorus Availability from Organic and Inorganic Sources for Optimum Wheat Production in Calcareous Soils. Sustainability 2022, 14, 7669. [Google Scholar] [CrossRef]
- Umar, U.D.; Ahmed, N.; Zafar, M.Z.; Rehman, A.; Naqvi, S.A.H.; Zulfiqar, M.A.; Malik, M.T.; Ali, B.; Saleem, M.H.; Marc, R.A. Micronutrients Foliar and Drench Application Mitigate Mango Sudden Decline Disorder and Impact Fruit Yield. Agronomy 2022, 12, 2449. [Google Scholar] [CrossRef]
- Sajjad, M.R.; Rafique, R.; Bibi, R.; Umair, A.; Arslan Afzal, A.A.; Rafique, T. Performance of green manuring for soil health and crop yield improvement. Pure Appl. Biol. 2019, 8, 1543–1553. [Google Scholar] [CrossRef]
- Meena, B.L.; Fagodiya, R.K.; Prajapat, K.; Dotaniya, M.L.; Kaledhonkar, M.J.; Sharma, P.C.; Meena, R.S.; Mitran, T.; Kumar, S. Legume green manuring: An option for soil sustainability. In Legumes for Soil Health and Sustainable Management; Springer: Berlin/Heidelberg, Germany, 2018; pp. 387–408. [Google Scholar]
- Kimetu, J.M.; Lehmann, J.; Ngoze, S.O.; Mugendi, D.N.; Kinyangi, J.M.; Riha, S.; Verchot, L.; Recha, J.W.; Pell, A.N. Reversibility of soil productivity decline with organic matter of differing quality along a degradation gradient. Ecosystems 2008, 11, 726–739. [Google Scholar] [CrossRef]
- Islam, M.; Urmi, T.A.; Rana, M.; Alam, M.S.; Haque, M.M. Green manuring effects on crop morpho-physiological characters, rice yield and soil properties. Physiol. Mol. Biol. Plants 2019, 25, 303–312. [Google Scholar] [CrossRef]
- He, Y.; Xu, C.; Gu, F.; Wang, Y.; Chen, J. Soil aggregate stability improves greatly in response to soil water dynamics under natural rains in long-term organic fertilization. Soil Tillage Res. 2018, 184, 281–290. [Google Scholar] [CrossRef]
- Sultani, M.I.; Gill, M.A.; Anwar, M.M.; Athar, M. Evaluation of soil physical properties as influenced by various green manuring legumes and phosphorus fertilization under rain fed conditions. Int. J. Environ. Sci. Technol. 2007, 4, 109–118. [Google Scholar] [CrossRef]
- Lin, Y.; Ye, G.; Kuzyakov, Y.; Liu, D.; Fan, J.; Ding, W. Long-term manure application increases soil organic matter and aggregation, and alters microbial community structure and keystone taxa. Soil Biol. Biochem. 2019, 134, 187–196. [Google Scholar] [CrossRef]
- Ryan, J.; Estefan, G.; Rashid, A. Soil and Plant Analysis Laboratory Manual; ICARDA: Aleppo, Syria, 2001; ISBN 9291271187. [Google Scholar]
- Carter, M.R.; Gregorich, E.G. Soil Sampling and Methods of Analysis; CRC Press: Boca Raton, FL, USA, 2007; ISBN 0429126220. [Google Scholar]
- Kekane, S.S.; Chavan, R.P.; Shinde, D.N.; Patil, C.L.; Sagar, S.S. A review on physico-chemical properties of soil. Int. J. Chem. Stud. 2015, 3, 29–32. [Google Scholar]
- Page, A.L.; Miller, R.H.; Keeney, D.R. Methods of Soil Analysis, Part 2: Chemical and Microbiological Properties; American Society of Agronomy, Soil Science Society of America Publishing: Madison, WI, USA, 1982. [Google Scholar]
- Walkley, A. A critical examination of a rapid method for determining organic carbon in soils—Effect of variations in digestion conditions and of inorganic soil constituents. Soil Sci. 1947, 63, 251–264. [Google Scholar] [CrossRef]
- Soltanpour, P.N.; Workman, S. Modification of the NH4 HCO3-DTPA soil test to omit carbon black. Commun. Soil Sci. Plant Anal. 1979, 10, 1411–1420. [Google Scholar] [CrossRef]
- Steel, R.G.D.; Torrie, J.H. Principles and Procedures of Statistics, A Biometrical Approach; McGraw-Hill Kogakusha, Ltd.: New York, NY, USA, 1980; ISBN 0070609268. [Google Scholar]
- Ali, B.; Hafeez, A.; Ahmad, S.; Javed, M.A.; Sumaira; Afridi, M.S.; Dawoud, T.M.; Almaary, K.S.; Muresan, C.C.; Marc, R.A.; et al. Bacillus thuringiensis PM25 ameliorates oxidative damage of salinity stress in maize via regulating growth, leaf pigments, antioxidant defense system, and stress responsive gene expression. Front. Plant Sci. 2022, 13, 921668. [Google Scholar] [CrossRef]
- Ali, B.; Hafeez, A.; Javed, M.A.; Afridi, M.S.; Abbasi, H.A.; Qayyum, A.; Batool, T.; Ullah, A.; Marc, R.A.; Jaouni, S.K.A.; et al. Role of endophytic bacteria in salinity stress amelioration by physiological and molecular mechanisms of defense: A comprehensive review. S. Afr. J. Bot. 2022, 151, 33–46. [Google Scholar] [CrossRef]
- Ali, B.; Wang, X.; Saleem, M.H.; Azeem, M.A.; Afridi, M.S.; Nadeem, M.; Ghazal, M.; Batool, T.; Qayyum, A.; Alatawi, A. Bacillus mycoides PM35 Reinforces Photosynthetic Efficiency, Antioxidant Defense, Expression of Stress-Responsive Genes, and Ameliorates the Effects of Salinity Stress in Maize. Life 2022, 12, 219. [Google Scholar] [CrossRef]
- Ali, B.; Wang, X.; Saleem, M.H.; Hafeez, A.; Afridi, M.S.; Khan, S.; Ullah, I.; do Amaral, A.T., Jr.; Alatawi, A.; Ali, S. PGPR-Mediated Salt Tolerance in Maize by Modulating Plant Physiology, Antioxidant Defense, Compatible Solutes Accumulation and Bio-Surfactant Producing Genes. Plants 2022, 11, 345. [Google Scholar] [CrossRef]
- Afridi, M.S.; Ali, S.; Salam, A.; César Terra, W.; Hafeez, A.; Sumaira; Ali, B.; AlTami, S.M.; Ameen, F.; Ercisli, S.; et al. Plant Microbiome Engineering: Hopes or Hypes. Biology 2022, 11, 1782. [Google Scholar] [CrossRef] [PubMed]
- Afridi, M.S.; Javed, M.A.; Ali, S.; De Medeiros, F.H.V.; Ali, B.; Salam, A.; Sumaira; Marc, R.A.; Alkhalifah, D.H.M.; Selim, S.; et al. New opportunities in plant microbiome engineering for increasing agricultural sustainability under stressful conditions. Front. Plant Sci. 2022, 13, 899464. [Google Scholar] [CrossRef] [PubMed]
- Salam, A.; Afridi, M.S.; Javed, M.A.; Saleem, A.; Hafeez, A.; Khan, A.R.; Zeeshan, M.; Ali, B.; Azhar, W.; Sumaira; et al. Nano-Priming against Abiotic Stress: A Way Forward towards Sustainable Agriculture. Sustainability 2022, 14, 14880. [Google Scholar] [CrossRef]
- Yasin, M.; Anwar, F.; Noorani, H.; Muhammad, S.; Mahmood, A.; Javed, T.; Ali, B.; Alharbi, K.; Saleh, I.A.; Abu-Harirah, H.A. Evaluating Non-Composted Red Cotton Tree (Bombax ceiba) Sawdust Mixtures for Raising Okra (Abelmoschus esculentus (L.) Moench) in Pots. Agronomy 2022, 13, 97. [Google Scholar] [CrossRef]
- Ma, J.; Ali, S.; Saleem, M.H.; Mumtaz, S.; Yasin, G.; Ali, B.; Al-Ghamdi, A.A.; Elshikh, M.S.; Vodnar, D.C.; Marc, R.A.; et al. Short-term responses of Spinach (Spinacia oleracea L.) to the individual and combinatorial effects of Nitrogen, Phosphorus and Potassium and silicon in the soil contaminated by boron. Front. Plant Sci. 2022, 13, 983156. [Google Scholar] [CrossRef]
- Ma, J.; Saleem, M.H.; Ali, B.; Rasheed, R.; Ashraf, M.A.; Aziz, H.; Ercisli, S.; Riaz, S.; Elsharkawy, M.M.; Hussain, I.; et al. Impact of foliar application of syringic acid on tomato (Solanum lycopersicum L.) under heavy metal stress-insights into nutrient uptake, redox homeostasis, oxidative stress, and antioxidant defense. Front. Plant Sci. 2022, 13, 950120. [Google Scholar] [CrossRef]
- Ma, J.; Saleem, M.H.; Yasin, G.; Mumtaz, S.; Qureshi, F.F.; Ali, B.; Ercisli, S.; Alhag, S.K.; Ahmed, A.E.; Vodnar, D.C.; et al. Individual and combinatorial effects of SNP and NaHS on morpho-physio-biochemical attributes and phytoextraction of chromium through Cr-stressed spinach (Spinacia oleracea L.). Front. Plant Sci. 2022, 13, 973740. [Google Scholar] [CrossRef]
- De Souza, T.A.F.; Santos, D. Effects of using different host plants and long-term fertilization systems on population sizes of infective arbuscular mycorrhizal fungi. Symbiosis 2018, 76, 139–149. [Google Scholar] [CrossRef]
- De Melo, L.N.; de Souza, T.A.F.; Santos, D. Transpiratory rate, biomass production and leaf macronutrient content of different plant species cultivated on a regosol in the brazilian semiarid. Russ. Agric. Sci. 2019, 45, 147–153. [Google Scholar] [CrossRef]
- Ashworth, A.J.; Owens, P.R.; Allen, F.L. Long-term cropping systems management influences soil strength and nutrient cycling. Geoderma 2020, 361, 114062. [Google Scholar] [CrossRef]
- Austin, E.E.; Wickings, K.; McDaniel, M.D.; Robertson, G.P.; Grandy, A.S. Cover crop root contributions to soil carbon in a no-till corn bioenergy cropping system. Gcb Bioenergy 2017, 9, 1252–1263. [Google Scholar] [CrossRef]
- Rehman, H.; Aziz, T.; Farooq, M.; Wakeel, A.; Rengel, Z. Zinc nutrition in rice production systems: A review. Plant Soil 2012, 361, 203–226. [Google Scholar] [CrossRef]
- Ehsan, S.; Niaz, A.; Saleem, I.; Mehmood, K. Substitution of major nutrient requirement of rice-wheat cropping system through Sesbania green manuring. Sci. Agric. 2014, 8, 99–102. [Google Scholar]
- Muhmood, A.; Majeed, A.; Niaz, A.; Javid, S.; Shah, S.S.; Shah, A.H. Nutrients uptake and the yield of okra and carrot in response to bioslurry and inorganic N fertilizers. Int. J. Plant Soil Sci. 2015, 7, 297–305. [Google Scholar] [CrossRef]
- Piotrowska, A.; Wilczewski, E. Effects of catch crops cultivated for green manure and mineral nitrogen fertilization on soil enzyme activities and chemical properties. Geoderma 2012, 189, 72–80. [Google Scholar] [CrossRef]
- Arif, M.; Ilyas, M.; Riaz, M.; Ali, K.; Shah, K.; Haq, I.U.; Fahad, S. Biochar improves phosphorus use efficiency of organic-inorganic fertilizers, maize-wheat productivity and soil quality in a low fertility alkaline soil. Field Crop. Res. 2017, 214, 25–37. [Google Scholar] [CrossRef]
- Boselli, R.; Fiorini, A.; Santelli, S.; Ardenti, F.; Capra, F.; Maris, S.C.; Tabaglio, V. Cover crops during transition to no-till maintain yield and enhance soil fertility in intensive agro-ecosystems. Field Crops Res. 2020, 255, 107871. [Google Scholar] [CrossRef]
- Restovich, S.B.; Andriulo, A.E.; Armas-Herrera, C.M.; Beribe, M.J.; Portela, S.I. Combining cover crops and low nitrogen fertilization improves soil supporting functions. Plant Soil 2019, 442, 401–417. [Google Scholar] [CrossRef]
- Singh, V.K.; Dwivedi, B.S.; Tiwari, K.N.; Majumdar, K.; Rani, M.; Singh, S.K.; Timsina, J. Optimizing nutrient management strategies for rice–wheat system in the Indo-Gangetic Plains of India and adjacent region for higher productivity, nutrient use efficiency and profits. Field Crop. Res. 2014, 164, 30–44. [Google Scholar] [CrossRef]
- Ali, R.I.; Iqbal, N.; Saleem, M.U.; Akhtar, M. Efficacy of various organic manures and chemical fertilizers to improve paddy yield and economic returns of rice under rice-wheat cropping sequence. Int. J. Agric. Appl. Sci. 2012, 4, 135–140. [Google Scholar]
- Zhang, Z.; Li, J.; Hu, N.; Li, W.; Qin, W.; Li, J.; Gao, Y.; Liu, Y.; Sun, Z.; Yu, K. Spike growth affects spike fertility through the number of florets with green anthers before floret abortion in wheat. Field Crop. Res. 2021, 260, 108007. [Google Scholar] [CrossRef]
- Von Wandruszka, R. Phosphorus retention in calcareous soils and the effect of organic matter on its mobility. Geochem. Trans. 2006, 7, 6. [Google Scholar] [CrossRef] [PubMed]
- Dwivedi, B.S.; Shukla, A.K.; Singh, V.K.; Yadav, R.L. Improving nitrogen and phosphorus use efficiencies through inclusion of forage cowpea in the rice–wheat systems in the Indo-Gangetic Plains of India. Field Crop. Res. 2003, 80, 167–193. [Google Scholar] [CrossRef]
- Yadav, S.K.; Babu, S.; Yadav, M.K.; Singh, K.; Yadav, G.S.; Pal, S. A review of organic farming for sustainable agriculture in Northern India. Int. J. Agron. 2013, 2013, 718145. [Google Scholar] [CrossRef]


| Parameters | Units | Depth (cm) | |
|---|---|---|---|
| 0–15 | 15–30 | ||
| BD 1 | g cm−3 | 1.61 | 1.57 |
| Porosity | % | 43 | 42.6 |
| OC 2 | g kg−1 | 3.12 | 3.10 |
| EC 3 | dSm−1 | 2.11 | 2.61 |
| CEC 4 | Cmolc kg−1 | 5.39 | 5.40 |
| pH | - | 8.00 | 8.00 |
| OM 5 | % | 0.59 | 0.53 |
| Available-P | mg kg−1 | 6.23 | 6.14 |
| NH4OAC-Ext-K | mg kg−1 | 146 | 143 |
| Treatments | Rice Plant Height (cm) | No. of Tillers of Rice Plant−1 | Dead Grains of Rice | No. of Grains Panicle−1 | Rice Grain Yield (t/ha) | Rice Straw Yield (t/ha) | Berseem Yield (t/ha) | Soil Bulk Density (gcm−3) | Soil Porosity (%) |
|---|---|---|---|---|---|---|---|---|---|
| Control | 122 ± 4.31 | 14 ± 2.93 | 21 ± 6.73 | 142 ± 12 | 2.18 c | 9.47 d | 60.03 c | 1.53 ± 0.03 | 43.83 ± 0.02 |
| NPK | 132 ± 5.29 | 18 ± 5.63 | 29 ± 4.44 | 153 ± 10.28 | 3.60 b | 12.12 c | 80.70 ab | 1.53 ± 0.03 | 43.83 ± 0.04 |
| GM100 | 187 ± 5.06 | 19 ± 4.27 | 22 ± 3.04 | 161 ± 5.27 | 4.29 ab | 15.46 a | 84.40 a | 1.49 ± 0.04 | 44.32 ± 0.59 |
| GM75 | 129 ± 3.00 | 19 ± 6.08 | 22 ± 6.08 | 161 ± 12.22 | 4.98 a | 14.98 a | 77.20 ab | 1.47 ± 0.06 | 44.32 ± 0.51 |
| GM50 | 142 ± 14.24 | 18 ± 6.29 | 24 ± 5.48 | 158 ± 8.74 | 3.70 b | 13.59 b | 74.47 b | 1.46 ± 0.06 | 44.75 ± 1.10 |
| Treatments | OM | Total N | Olsen-P | Ext. K | Avail.Zn | Avail.Cu | Avail.Fe | Avail.Mn |
|---|---|---|---|---|---|---|---|---|
| % | mg kg−1 | |||||||
| Control | 0.57 b | 0.03 b | 7.27 b | 180 c | 1.34 c | 1.29 d | 9.8 d | 16.3 b |
| NPK | 0.59 b | 0.03 b | 7.40 b | 185 c | 2.51 b | 1.45 c | 10.1 d | 16.5 b |
| GM100 1 | 1.12 a | 0.05 a | 14.4 a | 247 a | 3.42 c | 2.70 a | 25.5 a | 18.8 a |
| GM75 | 1.11 a | 0.05 a | 14.7 a | 240 ab | 3.70 a | 2.56 b | 24.6 b | 18.6 a |
| GM50 | 1.10 a | 0.05 a | 14.7 a | 260 bc | 3.39 a | 2.52 b | 23.7 c | 18.6 a |
Disclaimer/Publisher’s Note: The statements, opinions and data contained in all publications are solely those of the individual author(s) and contributor(s) and not of MDPI and/or the editor(s). MDPI and/or the editor(s) disclaim responsibility for any injury to people or property resulting from any ideas, methods, instructions or products referred to in the content. |
© 2023 by the authors. Licensee MDPI, Basel, Switzerland. This article is an open access article distributed under the terms and conditions of the Creative Commons Attribution (CC BY) license (https://creativecommons.org/licenses/by/4.0/).
Share and Cite
Naz, A.; Rebi, A.; Naz, R.; Akbar, M.U.; Aslam, A.; Kalsom, A.; Niaz, A.; Ahmad, M.I.; Nawaz, S.; Kausar, R.; et al. Impact of Green Manuring on Health of Low Fertility Calcareous Soils. Land 2023, 12, 546. https://doi.org/10.3390/land12030546
Naz A, Rebi A, Naz R, Akbar MU, Aslam A, Kalsom A, Niaz A, Ahmad MI, Nawaz S, Kausar R, et al. Impact of Green Manuring on Health of Low Fertility Calcareous Soils. Land. 2023; 12(3):546. https://doi.org/10.3390/land12030546
Chicago/Turabian StyleNaz, Asifa, Ansa Rebi, Raheela Naz, Muhammad Usman Akbar, Ana Aslam, Amina Kalsom, Abid Niaz, Muhammad Ibrar Ahmad, Shahrish Nawaz, Rizwana Kausar, and et al. 2023. "Impact of Green Manuring on Health of Low Fertility Calcareous Soils" Land 12, no. 3: 546. https://doi.org/10.3390/land12030546
APA StyleNaz, A., Rebi, A., Naz, R., Akbar, M. U., Aslam, A., Kalsom, A., Niaz, A., Ahmad, M. I., Nawaz, S., Kausar, R., Ali, B., Saleem, M. H., & Zhou, J. (2023). Impact of Green Manuring on Health of Low Fertility Calcareous Soils. Land, 12(3), 546. https://doi.org/10.3390/land12030546

