A Data-Driven Farm Typology as a Basis for Agricultural Land Use Decisions
Abstract
:1. Introduction
2. Materials and Methods
2.1. Literature Review of Farm Typologies
2.2. Research Methodology
2.3. Farm Questionnaire
2.4. Farm Typology
2.5. Parcel-Based Land Cover Analysis
2.6. The Dijle Catchment Study Area
3. Results
3.1. Agricultural Land Cover in the Dijle Catchment
3.2. Farm Typology According to Economic Activities
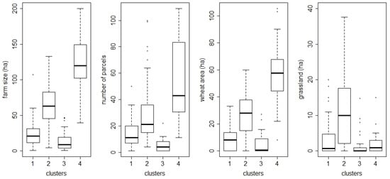
3.3. Cluster-Based Farm Typology
3.4. Crop Rotations
3.5. Land Use Decisions
4. Discussion
5. Conclusions
Author Contributions
Funding
Informed Consent Statement
Data Availability Statement
Acknowledgments
Conflicts of Interest
References
- Robertson, G.P.; Swinton, S.M. Reconciling agricultural productivity and environmental integrity: A grand challenge for agriculture. Front. Ecol. Environ. 2005, 3, 38–46. [Google Scholar] [CrossRef]
 - Akpoti, K.; Kabo-bah, A.T.; Zwart, S.J. Review—Agricultural land suitability analysis: State-of-the-art and outlooks for integration of climate change analysis. Agric. Syst. 2019, 173, 172–208. [Google Scholar] [CrossRef]
 - Dobbs, T.L.; Pretty, J.N. Agri-environmental stewardship schemes and “multifunctionality”. Appl. Econ. Perspect. Policy 2004, 26, 220–237. [Google Scholar] [CrossRef]
 - Van Huylenbroeck, G.; Vandermeulen, V.; Mettepenningen, E.; Verspecht, A. Multifunctionality of agriculture: A review of definitions, evidence and instruments. Living Rev. Landsc. Res. 2007, 1, 1–43. [Google Scholar] [CrossRef]
 - García-Martín, M.; Huntsinger, L.; Ibarrola-Rivas, M.J.; Penker, M.; D’Ambrosio, U.; Dimopoulos, T.; Fernández-Giménez, M.E.; Kizos, T.; Muñoz-Rojas, J.; Saito, O.; et al. Landscape products for sustainable agricultural landscapes. Nat. Food 2022, 3, 814–821. [Google Scholar] [CrossRef] [PubMed]
 - Zhao, J.; Bindi, M.; Eitzinger, J.; Ferrise, R.; Gaile, Z.; Gobin, A.; Holzkämper, A.; Kersebaum, K.C.; Kozyra, J.; Kriaučiūnienė, Z.; et al. Priority for climate adaptation measures in European crop production systems. Eur. J. Agron. 2022, 138, 126516. [Google Scholar] [CrossRef]
 - EC. The Common Agricultural Policy at a Glance; EC, Directorate-General for Agriculture and Rural Development, Brussels: 2023. Available online: https://agriculture.ec.europa.eu/common-agricultural-policy/cap-overview/cap-glance_en (accessed on 7 November 2023).
 - Rudnicki, R.; Wiśniewski, Ł.; Biczkowski, M. A spatial typography of environmentally friendly common agricultural policy support relevant to european green deal objectives. Land 2021, 10, 1092. [Google Scholar] [CrossRef]
 - Schulp, C.J.; Levers, C.; Kuemmerle, T.; Tieskens, K.F.; Verburg, P.H. Mapping and modelling past and future land use change in Europe’s cultural landscapes. Land Use Policy 2019, 80, 332–344. [Google Scholar] [CrossRef]
 - Stoate, C.; Baldi, A.; Beja, P.; Boatman, N.; Herzon, I.; Van Doorn, A.; De Snoo, G.; Rakosy, L.; Ramwell, C. Ecological impacts of early 21st century agricultural change in Europe—A review. J. Environ. Manag. 2009, 91, 22–46. [Google Scholar] [CrossRef]
 - Zangue, Y.D.; Melot, R.; Martin, P. Diversity of farmland management practices (FMP) and their nexus to environment: A review. J. Environ. Manag. 2022, 302, 114059. [Google Scholar] [CrossRef]
 - Rega, C.; Thompson, B.; Niedermayr, A.; Desjeux, Y.; Kantelhardt, J.; D’Alberto, R.; Gouta, P.; Konstantidelli, V.; Schaller, L.; Latruffe, L.; et al. Uptake of Ecological Farming Practices by EU Farms: A Pan-European Typology. EuroChoices 2022, 21, 64–71. [Google Scholar] [CrossRef]
 - Díaz de Otálora, X.; Dragoni, F.; Del Prado, A.; Estellés, F.; Wilfart, A.; Krol, D.; Balaine, L.; Anestis, V.; Amon, B. Identification of representative dairy cattle and fodder crop production typologies at regional scale in Europe. Agron. Sustain. Dev. 2022, 42, 94. [Google Scholar] [CrossRef]
 - Emtage, N.; Herbohn, J.; Harrison, S. Landholder profiling and typologies for natural resource–management policy and program support: Potential and constraints. Environ. Manag. 2007, 40, 481–492. [Google Scholar] [CrossRef] [PubMed]
 - Daxini, A.; Ryan, M.; O’Donoghue, C.; Barnes, A.P.; Buckley, C. Using a typology to understand farmers’ intentions towards following a nutrient management plan. Resour. Conserv. Recycl. 2019, 146, 280–290. [Google Scholar] [CrossRef]
 - Eurostat. Glossary; Technical Report; Eurostat: Luxembourg, 2023; Available online: https://agriculture.ec.europa.eu/data-and-analysis/farm-structures-and-economics/fadn_en (accessed on 7 November 2023).
 - Nainggolan, D.; Termansen, M.; Reed, M.S.; Cebollero, E.D.; Hubacek, K. Farmer typology, future scenarios and the implications for ecosystem service provision: A case study from south-eastern Spain. Reg. Environ. Chang. 2013, 13, 601–614. [Google Scholar] [CrossRef]
 - Valbuena, D.; Verburg, P.H.; Bregt, A.K. A method to define a typology for agent-based analysis in regional land-use research. Agric. Ecosyst. Environ. 2008, 128, 27–36. [Google Scholar] [CrossRef]
 - Hristov, J.; Clough, Y.; Sahlin, U.; Smith, H.G.; Stjernman, M.; Olsson, O.; Sahrbacher, A.; Brady, M.V. Impacts of the EU’s Common Agricultural Policy “Greening” reform on agricultural development, biodiversity, and ecosystem services. Appl. Econ. Perspect. Policy 2020, 42, 716–738. [Google Scholar] [CrossRef]
 - Huber, R.; Bakker, M.; Balmann, A.; Berger, T.; Bithell, M.; Brown, C.; Grêt-Regamey, A.; Xiong, H.; Le, Q.B.; Mack, G.; et al. Representation of decision-making in European agricultural agent-based models. Agric. Syst. 2018, 167, 143–160. [Google Scholar] [CrossRef]
 - Vejre, H.; Abildtrup, J.; Andersen, E.; Andersen, P.S.; Brandt, J.; Busck, A.; Dalgaard, T.; Hasler, B.; Huusom, H.; Kristensen, L.S.; et al. Multifunctional Agriculture and Multifunctional Landscapes—Land Use as an Interface; Springer: Berlin/Heidelberg, Germany, 2007; pp. 93–104. [Google Scholar] [CrossRef]
 - Schröder, J.J.; Ten Berge, H.F.M.; Bampa, F.; Creamer, R.E.; Giraldez-Cervera, J.V.; Henriksen, C.B.; Olesen, J.E.; Rutgers, M.; Sandén, T.; Spiegel, H. Multi-Functional Land Use Is Not Self-Evident for European Farmers: A Critical Review. Front. Environ. Sci. 2020, 8. [Google Scholar] [CrossRef]
 - Tariq, M.; Ali, H.; Hussain, N.; Nasim, W.; Mubeen, M.; Ahmad, S.; Hasanuzzaman, M. Fundamentals of Crop Rotation in Agronomic Management. In Agronomic Crops: Volume 1: Production Technologies; Hasanuzzaman, M., Ed.; Springer: Singapore, 2019; pp. 545–559. [Google Scholar] [CrossRef]
 - Zohry, A.; Ouda, S. Crop Rotation Defeats Pests and Weeds. In Crop Rotation: An Approach to Secure Future Food; Springer International Publishing: Cham, Switzerland, 2018; pp. 77–88. [Google Scholar] [CrossRef]
 - Ruthes, A.C.; Dahlin, P. The impact of management strategies on the development and status of potato cyst nematode populations in Switzerland: An overview from 1958 to present. Plant Dis. 2022, 106, 1096–1104. [Google Scholar] [CrossRef]
 - Rathke, G.W.; Behrens, T.; Diepenbrock, W. Integrated nitrogen management strategies to improve seed yield, oil content and nitrogen efficiency of winter oilseed rape (Brassica napus L.): A review. Agric. Ecosyst. Environ. 2006, 117, 80–108. [Google Scholar] [CrossRef]
 - Bartkowski, B.; Schüßler, C.; Müller, B. Typologies of European farmers: Approaches, methods and research gaps. Reg. Environ. Chang. 2022, 22, 43. [Google Scholar] [CrossRef]
 - Sklenicka, P. Classification of farmland ownership fragmentation as a cause of land degradation: A review on typology, consequences, and remedies. Land Use Policy 2016, 57, 694–701. [Google Scholar] [CrossRef]
 - Upadhaya, S.G.; Arbuckle, J.; Schulte, L.A. Farmer typologies integrating latent and observed characteristics: Insights for soil and water conservation outreach. Land Use Policy 2023, 134, 106889. [Google Scholar] [CrossRef]
 - Barnes, A.P.; Thompson, B.; Toma, L. Finding the ecological farmer: A farmer typology to understand ecological practice adoption within Europe. Curr. Res. Environ. Sustain. 2022, 4, 100125. [Google Scholar] [CrossRef]
 - Graskemper, V.; Yu, X.; Feil, J.H. Farmer typology and implications for policy design—An unsupervised machine learning approach. Land Use Policy 2021, 103, 105328. [Google Scholar] [CrossRef]
 - Alvarezl, S.; Timler, C.J.; Michalscheck, M.; Paas, W.; Descheemaeker, K.; Tittonell, P.; Andersson, J.A.; Groot, J.C. Capturing farm diversity with hypothesis-based typologies: An innovative methodological framework for farming system typology development. PLoS ONE 2018, 13, e0194757. [Google Scholar] [CrossRef]
 - Périnelle, A.; Scopel, E.; Berre, D.; Meynard, J.M. Which Innovative Cropping System for Which Farmer? Supporting Farmers’ Choices Through Collective Activities. Front. Sustain. Food Syst. 2022, 6. [Google Scholar] [CrossRef]
 - Ruiz-Martinez, I.; Martinetti, D.; Marraccini, E.; Debolini, M. Modeling drivers of farming system trajectories in Mediterranean peri-urban regions: Two case studies in Avignon (France) and Pisa (Italy). Agric. Syst. 2022, 202, 103490. [Google Scholar] [CrossRef]
 - Andersen, E.; Elbersen, B.; Godeschalk, F.; Verhoog, D. Farm management indicators and farm typologies as a basis for assessments in a changing policy environment. J. Environ. Manag. 2007, 82, 353–362. [Google Scholar] [CrossRef]
 - Guarín, A.; Rivera, M.; Pinto-Correia, T.; Guiomar, N.; Šūmane, S.; Moreno-Pérez, O.M. A new typology of small farms in Europe. Glob. Food Secur. 2020, 26, 100389. [Google Scholar] [CrossRef]
 - Guiomar, N.; Godinho, S.; Pinto-Correia, T.; Almeida, M.; Bartolini, F.; Bezák, P.; Biró, M.; Bjørkhaug, H.; Bojnec, Š.; Brunori, G.; et al. Typology and distribution of small farms in Europe: Towards a better picture. Land Use Policy 2018, 75, 784–798. [Google Scholar] [CrossRef]
 - Van der Zanden, E.H.; Levers, C.; Verburg, P.H.; Kuemmerle, T. Representing composition, spatial structure and management intensity of European agricultural landscapes: A new typology. Landsc. Urban Plan. 2016, 150, 36–49. [Google Scholar] [CrossRef]
 - Van Herzele, A.; Gobin, A.; Van Gossum, P.; Acosta, L.; Waas, T.; Dendoncker, N.; Henry de Frahan, B. Effort for money? Farmers’ rationale for participation in agri-environment measures with different implementation complexity. J. Environ. Manag. 2013, 131, 110–120. [Google Scholar] [CrossRef] [PubMed]
 - R Core Team. R: A Language and Environment for Statistical Computing; R Foundation for Statistical Computing: Vienna, Austria, 2023; Available online: https://www.R-project.org/ (accessed on 7 November 2023).
 - Statbel. Land-en tuinbouwbedrijven Statistieken; Technical Report; Statbel: Brussels, Belgium, 2023. Available online: https://statbel.fgov.be/nl/themas/landbouw-visserij/land-en-tuinbouwbedrijven (accessed on 7 November 2023).
 - Van De Vreken, P.; Gobin, A.; Baken, S.; Van Holm, L.; Verhasselt, A.; Smolders, E.; Merckx, R. Crop residue management and oxalate-extractable iron and aluminium explain long-term soil organic carbon sequestration and dynamics. Eur. J. Soil Sci. 2016, 67, 332–340. [Google Scholar] [CrossRef]
 - Gobin, A.; Sallah, A.H.M.; Curnel, Y.; Delvoye, C.; Weiss, M.; Wellens, J.; Piccard, I.; Planchon, V.; Tychon, B.; Goffart, J.P.; et al. Crop Phenology Modelling Using Proximal and Satellite Sensor Data. Remote Sens. 2023, 15, 2090. [Google Scholar] [CrossRef]
 - Broothaerts, N.; Verstraeten, G.; Kasse, C.; Bohncke, S.; Notebaert, B.; Vandenberghe, J. Reconstruction and semi-quantification of human impact in the Dijle catchment, central Belgium: A palynological and statistical approach. Quat. Sci. Rev. 2014, 102, 96–110. [Google Scholar] [CrossRef]
 - Verstraeten, G.; Notebaert, B.; Broothaerts, N.; Vandenberghe, J.; De Smedt, P. River Landscapes in the Dijle Catchment: From Natural to Anthropogenic Meandering Rivers. In Landscapes and Landforms of Belgium and Luxembourg; Demoulin, A., Ed.; Springer International Publishing: Cham, Switzerland, 2018; pp. 269–280. [Google Scholar] [CrossRef]
 - Van Rompaey, A.J.J.; Govers, G.; Puttemans, C. Modelling land use changes and their impact on soil erosion and sediment supply to rivers. Earth Surf. Process. Landf. 2002, 27, 481–494. [Google Scholar] [CrossRef]
 - Gobin, A. Modelling climate impacts on crop yields in Belgium. Clim. Res. 2010, 44, 55–68. [Google Scholar] [CrossRef]
 - de Frutos Cachorro, J.; Gobin, A.; Buysse, J. Farm-level adaptation to climate change: The case of the Loam region in Belgium. Agric. Syst. 2018, 165, 164–176. [Google Scholar] [CrossRef]
 - Zamani, S.; Gobin, A.; Van de Vyver, H.; Gerlo, J. Atmospheric drought in Belgium—Statistical analysis of precipitation deficit. Int. J. Climatol. 2015, 36, 3056–3071. [Google Scholar] [CrossRef]
 - Brown, C.; Kovács, E.; Herzon, I.; Villamayor-Tomas, S.; Albizua, A.; Galanaki, A.; Grammatikopoulou, I.; McCracken, D.; Olsson, J.A.; Zinngrebe, Y. Simplistic understandings of farmer motivations could undermine the environmental potential of the common agricultural policy. Land Use Policy 2021, 101, 105136. [Google Scholar] [CrossRef]
 - Gobin, A.; Van de Vyver, H. Spatio-temporal variability of dry and wet spells and their influence on crop yields. Agric. For. Meteorol. 2021, 308–309, 108565. [Google Scholar] [CrossRef]
 - Smith, P.; Calvin, K.; Nkem, J.; Campbell, D.; Cherubini, F.; Grassi, G.; Korotkov, V.; Le Hoang, A.; Lwasa, S.; McElwee, P.; et al. Which practices co-deliver food security, climate change mitigation and adaptation, and combat land degradation and desertification? Glob. Chang. Biol. 2020, 26, 1532–1575. [Google Scholar] [CrossRef]
 









| Region | Setting | Purpose | Data Collection | Typology Method | References | 
|---|---|---|---|---|---|
| Global | Farmland management-environment nexus | Review | Literature | Farmer-led versus policy-driven | [11] | 
| Global | Land degradation | Review | Literature | Land tenure | [28] | 
| Europe | Agri-environmental policy | Review | Literature | Recurring farm types | [27] | 
| Europe | Environmental policy | Environmental concerns | FADN, FSS | Farm production intensity | [35] | 
| Europe | Ecological farming | Environmental concerns | FADN | Scoring practices | [12] | 
| Europe | Small-scale farming | Food security | Farmers’ interviews | Multivariate analysis | [36,37] | 
| Europe | Cattle and fodder production | Diversity analysis | FSS | Multivariate analysis | [13] | 
| Europe | Landscape patterns | Management intensity | Geodata | Expert-based versus data-driven | [38] | 
| Australia | Natural resources management | Monitoring policies | Landholder management | Expert rules | [14] | 
| Ireland | Nutrient management | Environmental concerns | Farmers’ interviews | Regression analysis | [15] | 
| Sweden | CAP greening | Biodiversity | FADN, FSS | Economic-ecological models | [19] | 
| Farm Type | Survey (n = 219) | Parcel Database (n = 996) 1 | 
|---|---|---|
| Arable farming (%) | 57.5 | 41.5 | 
| Mixed farming (%) | 21.9 | 35.0 | 
| Cattle farming (%) | 16.4 | 17.4 | 
| Permanent crops (%) | 1.4 | 1.5 | 
| Horticulture (%) | 1.4 | 4.7 | 
| Pig farming (%) | 1.4 | Not detectable | 
| Median and quartile range of farm size (ha) | 46.0 (15.2–75.5) | 18.1 (8.0–41.6) | 
| Median and quartile range of parcels per farm | 16.0 (8.0–30.5) | 13.0 (6.0–26.0) | 
| Crop | Overall | Dominance (>75%) | Dominance (50–75%) | Dominance (25–50%) | Dominance (<25%) | 
|---|---|---|---|---|---|
| Winter cereal | 79.1 (83.3) | 2.9 (2.6) | 42.2 (49.1) | 38.3 (37.2) | 16.6 (11.2) | 
| Maize | 61.6 (59.5) | 3.9 (2.3) | 9.7 (6.2) | 30.0 (26.9) | 56.4 (64.5) | 
| Sugar beet | 39.7 (49.7) | 0.0 (0.0) | 0.1 (0.1) | 19.5 (21.1) | 80.4 (78.8) | 
| Potato | 34.5 (44.4) | 0.0 (0.0) | 0.1 (0.0) | 9.5 (10.8) | 90.4 (89.2) | 
| Grass | 43.7 (33.9) | 37.4 (43.0) | 10.9 (8.1) | 17.4 (12.5) | 34.3 (36.4) | 
| Spring cereal | 31.5 (28.9) | 0.2 (0.1) | 1.2 (0.5) | 14.8 (11.5) | 83.7 (87.9) | 
| Vegetables | 17.7(20.5) | 0.5 (0.2) | 0.6 (0.1) | 6.3(4.1) | 92.5 (95.6) | 
| Chicory | 6.3 (8.5) | 0.0 (0.0) | 0.2 (0.0) | 1.7 (2.5) | 98.1 (97.5) | 
| Oilseed | 4.3 (5.5) | 0.0 (0.0) | 0.0 (0.0) | 0.5 (0.5) | 99.5 (99.5) | 
| Fodder | 6.9 (4.2) | 0.0 (0.0) | 0.4 (0.5) | 6.3 (3.8) | 93.3 (95.7) | 
| Flax | 0.7 (1.8) | 0.0 (0.0) | 0.0 (0.0) | 0.0 (0.0) | 100.0 (100.0) | 
| Crop | Chicory | Flax | Fodder | Grass | Maize | Oilseeds | Pulses | Potatoes | SCereal | SBeet | Veg | WCereal | 
|---|---|---|---|---|---|---|---|---|---|---|---|---|
| Chicory * | 0.0 | 0.0 | 0.0 | 1.6 | 6.3 | 0.0 | 0.0 | 5.0 | 0.0 | 0.5 | 0.5 | 85.8 | 
| Flax | 0.0 | 0.0 | 0.0 | 5.2 | 1.0 | 0.0 | 0.0 | 0.0 | 2.1 | 9.3 | 0.0 | 82.5 | 
| Fodder | 0.0 | 0.0 | 3.4 | 1.6 | 17.5 | 0.0 | 0.2 | 4.7 | 6.5 | 0.5 | 1.8 | 63.5 | 
| Grass | 0.0 | 0.0 | 0.1 | 89.9 | 4.3 | 0.0 | 0.1 | 0.4 | 0.4 | 0.5 | 0.2 | 3.3 | 
| Maize | 0.2 | 0.0 | 0.6 | 4.1 | 39.0 | 0.1 | 0.3 | 3.9 | 3.8 | 4.2 | 0.6 | 43.0 | 
| Oilseeds | 0.0 | 0.0 | 0.7 | 5.0 | 6.1 | 1.0 | 0.0 | 1.9 | 0.4 | 1.6 | 1.9 | 80.5 | 
| Pulses | 2.3 | 0.0 | 0.0 | 3.3 | 2.3 | 0.0 | 2.3 | 1.3 | 0.0 | 12.4 | 2.6 | 73.5 | 
| Potatoes | 0.0 | 0.0 | 0.8 | 3.7 | 8.2 | 0.1 | 0.1 | 1.5 | 3.1 | 2.3 | 1.0 | 79.0 | 
| SCereal | 0.1 | 0.0 | 1.9 | 4.7 | 15.1 | 1.4 | 0.4 | 4.6 | 9.5 | 3.5 | 3.5 | 54.9 | 
| SugarBeet | 0.3 | 0.2 | 0.1 | 3.6 | 10.1 | 0.0 | 0.4 | 3.4 | 1.8 | 1.1 | 0.6 | 78.0 | 
| Vegetables | 0.2 | 0.0 | 0.7 | 2.9 | 19.7 | 0.1 | 0.8 | 4.7 | 10.0 | 5.4 | 11.6 | 42.8 | 
| WCereal | 1.0 | 0.3 | 1.2 | 3.8 | 22.8 | 2.3 | 1.1 | 9.5 | 5.3 | 12.0 | 3.1 | 37.2 | 
Disclaimer/Publisher’s Note: The statements, opinions and data contained in all publications are solely those of the individual author(s) and contributor(s) and not of MDPI and/or the editor(s). MDPI and/or the editor(s) disclaim responsibility for any injury to people or property resulting from any ideas, methods, instructions or products referred to in the content.  | 
© 2023 by the authors. Licensee MDPI, Basel, Switzerland. This article is an open access article distributed under the terms and conditions of the Creative Commons Attribution (CC BY) license (https://creativecommons.org/licenses/by/4.0/).
Share and Cite
Gobin, A.; Van Herzele, A. A Data-Driven Farm Typology as a Basis for Agricultural Land Use Decisions. Land 2023, 12, 2032. https://doi.org/10.3390/land12112032
Gobin A, Van Herzele A. A Data-Driven Farm Typology as a Basis for Agricultural Land Use Decisions. Land. 2023; 12(11):2032. https://doi.org/10.3390/land12112032
Chicago/Turabian StyleGobin, Anne, and Ann Van Herzele. 2023. "A Data-Driven Farm Typology as a Basis for Agricultural Land Use Decisions" Land 12, no. 11: 2032. https://doi.org/10.3390/land12112032
APA StyleGobin, A., & Van Herzele, A. (2023). A Data-Driven Farm Typology as a Basis for Agricultural Land Use Decisions. Land, 12(11), 2032. https://doi.org/10.3390/land12112032
        
