The Influence and Prediction of Built Environment on the Subjective Well-Being of the Elderly Based on Random Forest: Evidence from Guangzhou, China
Abstract
:1. Introduction
2. Materials and Methods
2.1. Study Site
2.2. Participants
2.3. Measures
2.3.1. Subjective Well-Being (SWB)
2.3.2. Built Environment Characteristics
- Density: Population density (POD). Population density was calculated using the ratio of the sixth census data to the area of the region.
- Diversity: Land use mix (LUM). The concept of information entropy was introduced to calculate the land use structure. When entropy approaches 1, it represents higher land use diversity. When the land use is as uniform as possible, the entropy is 0 [40]. The formula was as follows:where H(x) is the entropy of the neighborhood x and Pi is the probability of different types of POIs in the 1 km buffer based on the participant’s community.
- Design: street density. Street density (STD) was equal to the ratio of the total length of roads in an area to the total area.
- Distance to transit: The distance to the nearest bus station (DB) and subway station (DS) within the 1 km buffer zone was used to represent the distance to transit.
- Destination accessibility: This study used the number of public facilities within the 1 km buffer zone of the community to assess accessibility [26,30]. Many studies have confirmed that the public service facilities around the community are an important factor affecting the health of the elderly and are involved in their daily life [38]. These activities encompass not only aspects intrinsic to the residential life, but also those relevant to activities such as shopping, socializing, physical exercise, and medical care [41]. Aligned with the lifestyle of the elderly, this study selected supermarkets, parks, hospitals, and gymnasiums, calculating the number of these facilities within the community’s 1 km buffer zone.
2.4. Data Analysis
3. Results
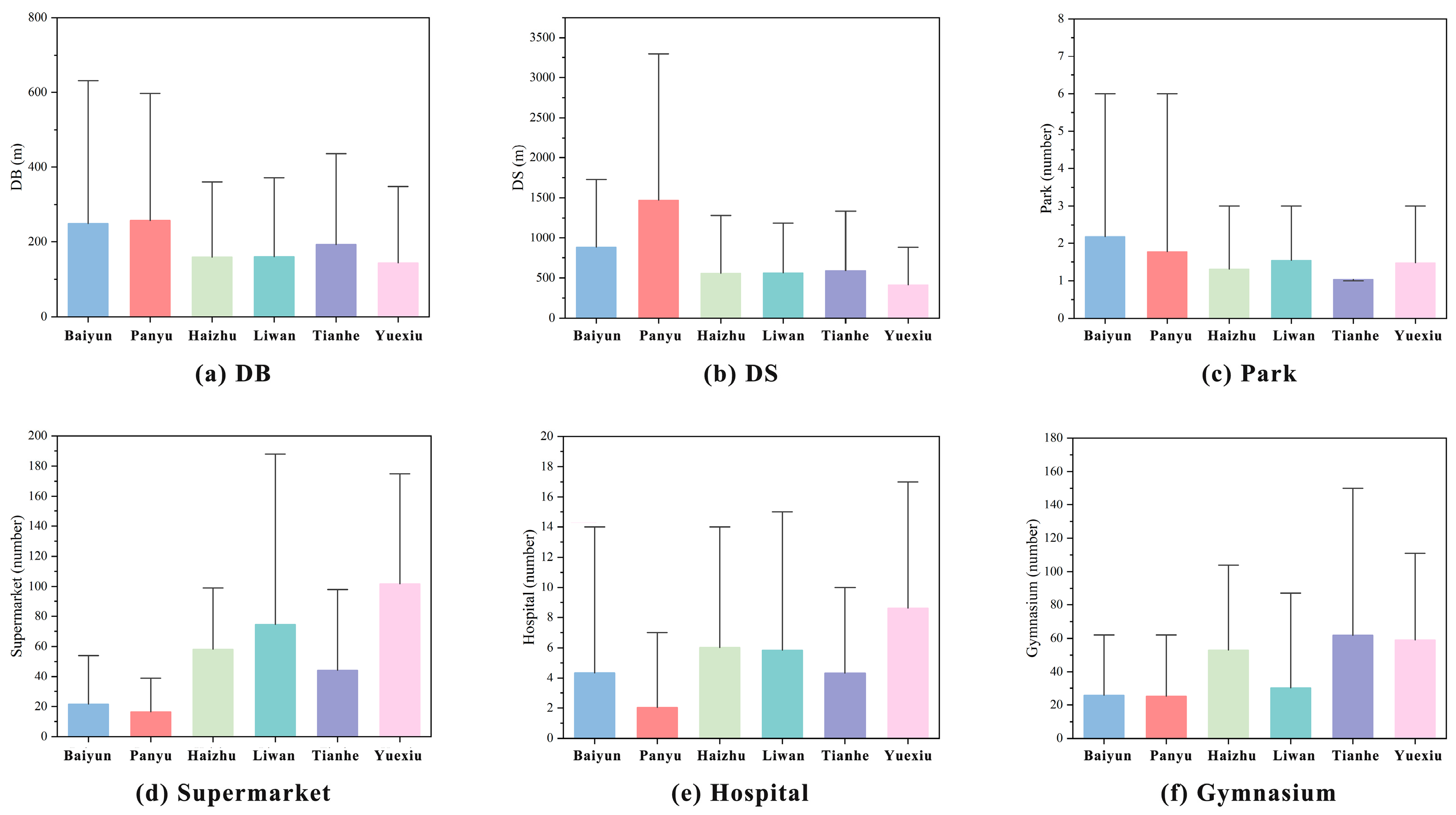
3.1. Descriptive Statistics
3.2. Impact of Individual Characteristic
3.3. The Influence of Built Environment on the SWB
3.3.1. The Contribution of Built Environment Characteristics to SWB
3.3.2. Prediction of SWB Based on Built Environment Characteristics
4. Discussion
4.1. The Important Characteristics of Built Environment on SWB of the Elderly
4.2. Strategies for Improving SWB of the Elderly
5. Conclusions
Author Contributions
Funding
Data Availability Statement
Conflicts of Interest
References
- Huang, N.C.; Chu, C.; Kung, S.F.; Hu, S.C. Association of the built environments and health-related quality of life in community-dwelling older adults: A cross-sectional study. Qual. Life Res. 2019, 28, 2393–2407. [Google Scholar] [CrossRef]
- Zhou, Y.; Yuan, Y.; Chen, Y.; Lai, S. Association Pathways between Neighborhood Greenspaces and the Physical and Mental Health of Older Adults—A Cross-Sectional Study in Guangzhou, China. Front. Public Health 2020, 8, 551453. [Google Scholar] [CrossRef] [PubMed]
- World Health Organization. World Report on Ageing and Health 2015; World Health Organization: Geneva, Switzerland, 2015. [Google Scholar]
- World Health Organization. Social Development and Ageing: Crisis or Opportunity? World Health Organization: Geneva, Switzerland, 2000. [Google Scholar]
- Noreau, L.; Boschen, K. Intersection of Participation and Environmental Factors: A Complex Interactive Process. Arch. Phys. Med. Rehabil. 2010, 91, S44–S53. [Google Scholar] [CrossRef] [PubMed]
- Lu, J.; Zhang, N.; Wang, Y. Quality of life among different types of Chinese lonely elderly: A social isolation based analysis. Psychol. Health Med. 2022, 27, 1357–1365. [Google Scholar] [CrossRef]
- Guo, M.D.; Ni, M.Y.; Shyu, R.J.; Ji, J.S.; Huang, J.X. Automated simulation for household road traffic noise exposure: Application and field evaluation in a high-density city. Comput. Environ. Urban Syst. 2023, 104, 102000. [Google Scholar] [CrossRef]
- Yuan, C.; Ng, E.; Norford, L.K. Improving air quality in high-density cities by understanding the relationship between air pollutant dispersion and urban morphologies. Build. Environ. 2014, 71, 245–258. [Google Scholar] [CrossRef]
- Luo, H.; Li, Y.; Gao, X.; Meng, X.; Yang, X.; Yan, J. Carbon emission prediction model of prefecture-level administrative region: A land-use-based case study of Xi’an city, China. Appl. Energy 2023, 348, 121488. [Google Scholar] [CrossRef]
- Verheij, R.A.; Maas, J.; Groenewegen, P.P. Urban-rural health differences and the availability of green space. Eur. Urban Reg. Stud. 2008, 15, 307–316. [Google Scholar] [CrossRef]
- Bronfenbrenner, U. Toward an experimental ecology of human-development. Am. Psychol. 1977, 32, 513–531. [Google Scholar] [CrossRef]
- Casey, A.A.; Elliott, M.; Glanz, K.; Haire-Joshu, D.; Lovegreen, S.L.; Saelens, B.E.; Sallis, J.F.; Brownson, R.C. Impact of the food environment and physical activity environment on behaviors and weight status in rural US communities. Prev. Med. 2008, 47, 600–604. [Google Scholar] [CrossRef]
- Ding, D.; Sallis, J.F.; Conway, T.L.; Saelens, B.E.; Frank, L.D.; Cain, K.L.; Slymen, D.J. Interactive Effects of Built Environment and Psychosocial Attributes on Physical Activity: A Test of Ecological Models. Ann. Behav. Med. 2012, 44, 365–374. [Google Scholar] [CrossRef]
- Saelens, B.E.; Handy, S.L. Built environment correlates of walking: A review. Med. Sci. Sports Exerc. 2008, 40, S550–S566. [Google Scholar] [CrossRef]
- Lam, W.W.Y.; Loo, B.P.Y.; Mahendran, R. Neighbourhood environment and depressive symptoms among the elderly in Hong Kong and Singapore. Int. J. Health Geogr. 2020, 19, 48. [Google Scholar] [CrossRef] [PubMed]
- Li, J.W.; Tian, L.; Ouyang, W. Exploring the Relationship between Neighborhood-Built Environment and Elderly Health: A Research Based on Heterogeneity of Age and Gender Groups in Beijing. Front. Public Health 2022, 10, 882361. [Google Scholar] [CrossRef]
- Parra, D.C.; Gomez, L.F.; Sarmiento, O.L.; Buchner, D.; Brownson, R.; Schimd, T.; Gomez, V.; Lobelo, F. Perceived and objective neighborhood environment attributes and health related quality of life among the elderly in Bogota, Colombia. Soc. Sci. Med. 2010, 70, 1070–1076. [Google Scholar] [CrossRef] [PubMed]
- Zheng, Z.H.; Chen, H.; Yang, L. Transfer of Promotion Effects on Elderly Health with Age: From Physical Environment to Interpersonal Environment and Social Participation. Int. J. Environ. Res. Public Health 2019, 16, 2794. [Google Scholar] [CrossRef] [PubMed]
- Liu, Y.; Jia, L.; Xiao, J.; Chen, Q.; Gan, Q.; Huang, J.; Zhu, X.; Zhang, C.; Wan, C. The Subjective Well-Being of Elderly Migrants in Dongguan: The Role of Residential Environment. Trop. Med. Infect. Dis. 2022, 7, 199. [Google Scholar] [CrossRef] [PubMed]
- Cerin, E.; Lee, K.Y.; Barnett, A.; Sit, C.H.P.; Cheung, M.C.; Chan, W.M. Objectively-measured neighborhood environments and leisure-time physical activity in Chinese urban elders. Prev. Med. 2013, 56, 86–89. [Google Scholar] [CrossRef]
- Guo, Y.Q.; Fu, Y.Y.; Xu, Y.B. Satisfaction with neighbourhood environment moderates the associations between objective neighbourhood environment and leisure-time physical activity in older adults in Beijing, China. Health Soc. Care Community 2021, 29, 206–214. [Google Scholar] [CrossRef]
- Somsopon, W.; Kim, S.M.; Nitivattananon, V.; Kusakabe, K.; Nguyen, T.P.L. Issues and Needs of Elderly in Community Facilities and Services: A Case Study of Urban Housing Projects in Bangkok, Thailand. Sustainability 2022, 14, 8388. [Google Scholar] [CrossRef]
- Han, H.; Yang, K.; Yang, C.; Yang, G.; Xu, L. Influence and Mechanism of a Multi-Scale Built Environment on the Leisure Activities of the Elderly: Evidence from Hefei City in China. Int. J. Environ. Res. Public Health 2022, 19, 9237. [Google Scholar] [CrossRef]
- Dujardin, C.; Lorant, V.; Thomas, I. Self-assessed health of elderly people in Brussels: Does the built environment matter? Health Place 2014, 27, 59–67. [Google Scholar] [CrossRef]
- Kim, B. Individual and Perceived Community Environmental Factors Affecting Cognitive Function Decline in Korean Older Adults. J. Korean Soc. Wellness 2022, 17, 69–77. [Google Scholar] [CrossRef]
- Xiao, Y.; Chen, S.J.; Miao, S.Y.; Yu, Y.F. Exploring the Mediating Effect of Physical Activities on Built Environment and Obesity for Elderly People: Evidence from Shanghai, China. Front. Public Health 2022, 10, 853292. [Google Scholar] [CrossRef]
- Liu, Y.; Wang, R.; Grekousis, G.; Liu, Y.; Yuan, Y.; Li, Z. Neighbourhood greenness and mental wellbeing in Guangzhou, China: What are the pathways? Landsc. Urban Plan. 2019, 190, 103602. [Google Scholar] [CrossRef]
- Cervero, R.; Kockelman, K. Travel demand and the 3Ds: Density, diversity, and design. Transp. Res. Part D-Transp. Environ. 1997, 2, 199–219. [Google Scholar] [CrossRef]
- Ewing, R.; Cervero, R. Travel and the Built Environment. J. Am. Plan. Assoc. 2010, 76, 265–294. [Google Scholar] [CrossRef]
- Zhang, R.; Liu, S.; Li, M.; He, X.; Zhou, C. The Effect of High-Density Built Environments on Elderly Individuals’ Physical Health: A Cross-Sectional Study in Guangzhou, China. Int. J. Environ. Res. Public Health 2021, 18, 10250. [Google Scholar] [CrossRef]
- Creatore, M.I.; Glazier, R.H.; Moineddin, R.; Fazli, G.S.; Johns, A.; Gozdyra, P.; Matheson, F.I.; Kaufman-Shriqui, V.; Rosella, L.C.; Manuel, D.G.; et al. Association of Neighborhood Walkability with Change in Overweight, Obesity, and Diabetes. JAMA-J. Am. Med. Assoc. 2016, 315, 2211–2220. [Google Scholar] [CrossRef]
- Liu, Y.; Sangthong, R.; Ingviya, T.; Wan, C.J. Nothing Like Living with a Family: A Qualitative Study of Subjective Well-Being and its Determinants among Migrant and Local Elderly in Dongguan, China. Int. J. Environ. Res. Public Health 2019, 16, 4874. [Google Scholar] [CrossRef]
- Wang, X. Subjective well-being associated with size of social network and social support of elderly. J. Health Psychol. 2016, 21, 1037–1042. [Google Scholar] [CrossRef] [PubMed]
- Diener, E. Subjective well-being. Psychol. Bull. 1984, 95, 542–575. [Google Scholar] [CrossRef]
- Lai, S.; Zhou, Y.; Yuan, Y. Associations between Community Cohesion and Subjective Wellbeing of the Elderly in Guangzhou, China—A Cross-Sectional Study Based on the Structural Equation Model. Int. J. Environ. Res. Public Health 2021, 18, 953. [Google Scholar] [CrossRef]
- Guo, Y.; Liu, Y.; Lu, S.; Chan, O.F.; Chui, C.H.K.; Lum, T.Y.S. Objective and perceived built environment, sense of community, and mental wellbeing in older adults in Hong Kong: A multilevel structural equation study. Landsc. Urban Plan. 2021, 209, 104058. [Google Scholar] [CrossRef]
- He, X.; Yuan, X.D.; Zhang, D.H.; Zhang, R.R.; Li, M.; Zhou, C.S. Delineation of Urban Agglomeration Boundary Based on Multisource Big Data Fusion-A Case Study of Guangdong-Hong Kong-Macao Greater Bay Area (GBA). Remote Sens. 2021, 13, 1801. [Google Scholar] [CrossRef]
- Albert, K.; Stones, M.J. The Measurement of Happiness: Development of the Memorial University of Newfoundland Scale of Happiness (MUNSH). J. Gerontol. 1980, 35, 906–912. [Google Scholar] [CrossRef]
- Wu, Z.J.; Song, Y.L.; Wang, H.L.; Zhang, F.; Li, F.H.; Wang, Z.Y. Influence of the built environment of Nanjing’s Urban Community on the leisure physical activity of the elderly: An empirical study. BMC Public Health 2019, 19, 1459. [Google Scholar] [CrossRef]
- Brown, B.B.; Yamada, I.; Smith, K.R.; Zick, C.D.; Kowaleski-Jones, L.; Fan, J.X. Mixed land use and walkability: Variations in land use measures and relationships with BMI, overweight, and obesity. Health Place 2009, 15, 1130–1141. [Google Scholar] [CrossRef] [PubMed]
- Wei, Y.; Yang, D. Differential Impact of Neighborhood Destination Built Environments on Active Health of the Elderly: An Analysis Based on Facility Types and Service Radius. New Archit. 2023, 1, 118–123. [Google Scholar] [CrossRef]
- Aliyas, Z. Physical, mental, and physiological health benefits of green and blue outdoor spaces among elderly people. Int. J. Environ. Health Res. 2021, 31, 703–714. [Google Scholar] [CrossRef]
- Dzhambov, A.M.; Dimitrova, D.D. Elderly visitors of an urban park, health anxiety and individual awareness of nature experiences. Urban For. Urban Green. 2014, 13, 806–813. [Google Scholar] [CrossRef]
- Yu, W.Y.; Hu, H.; Sun, B.D. Elderly Suitability of Park Recreational Space Layout Based on Visual Landscape Evaluation. Sustainability 2021, 13, 6443. [Google Scholar] [CrossRef]
- Dong, H.W.; Qin, B. Exploring the link between neighborhood environment and mental wellbeing: A case study in Beijing, China. Landsc. Urban Plan. 2017, 164, 71–80. [Google Scholar] [CrossRef]
- Song, S.Q.; Yap, W.; Hou, Y.T.; Yuen, B. Neighbourhood built Environment, physical activity, and physical health among older adults in Singapore: A simultaneous equations approach. J. Transp. Health 2020, 18, 100881. [Google Scholar] [CrossRef]
- McKeen, N.A.; Chipperfield, J.G.; Campbell, D.W. A longitudinal analysis of discrete negative emotions and health-services use in elderly individuals. J. Aging Health 2004, 16, 204–227. [Google Scholar] [CrossRef]
- Biswas, R.K.; Kabir, E. Influence of distance between residence and health facilities on non-communicable diseases: An assessment over hypertension and diabetes in Bangladesh. PLoS ONE 2017, 12, e0177027. [Google Scholar] [CrossRef]
- Zulian, G.; Donisi, V.; Secco, G.; Pertile, R.; Tansella, M.; Amaddeo, F. How are caseload and service utilisation of psychiatric services influenced by distance? A geographical approach to the study of community-based mental health services. Soc. Psychiatry Psychiatr. Epidemiol. 2011, 46, 881–891. [Google Scholar] [CrossRef]
- Altinay, L.; Song, H.Y.; Madanoglu, M.; Wang, X.L. The influence of customer-to-customer interactions on elderly consumers’ satisfaction and social well-being. Int. J. Hosp. Manag. 2019, 78, 223–233. [Google Scholar] [CrossRef]
- Toepoel, V. Ageing, Leisure, and Social Connectedness: How could Leisure Help Reduce Social Isolation of Older People? Soc. Indic. Res. 2013, 113, 355–372. [Google Scholar] [CrossRef]
- Ishikawa, M.; Yokoyama, T.; Nakaya, T.; Fukuda, Y.; Takemi, Y.; Kusama, K.; Yoshiike, N.; Nozue, M.; Yoshiba, K.; Murayama, N. Food accessibility and perceptions of shopping difficulty among elderly people living alone in Japan. J. Nutr. Health Aging 2016, 20, 904–911. [Google Scholar] [CrossRef]
- Gomi, T.; Kitayuguchi, J.; Okuyama, K.; Kamada, M.; Inoue, S.; Kamioka, H.; Mutoh, Y. Relationship between Neighborhood Food Environment and Diet Variety in Japanese Rural Community-dwelling Elderly: A Cross-sectional Study. J. Epidemiol. 2022, 32, 290–297. [Google Scholar] [CrossRef] [PubMed]
- Thompson, J.L.; Bentley, G.; Davis, M.; Coulson, J.; Stathi, A.; Fox, K.R. Food shopping habits, physical activity and health-related indicators among adults aged >= 70 years. Public Health Nutr. 2011, 14, 1640–1649. [Google Scholar] [CrossRef]
- Kubinska, Z.; Panczuk, A. Physical activity of the elderly: Limitations and knowledge about the dangers of hypokinesia. Health Probl. Civiliz. 2021, 15, 115–121. [Google Scholar] [CrossRef]
- Hossain, B.; Yadav, P.K.; Nagargoje, V.P.; Joseph, K.J.V. Association between physical limitations and depressive symptoms among Indian elderly: Marital status as a moderator. BMC Psychiatry 2021, 21, 573. [Google Scholar] [CrossRef] [PubMed]
- Tang, S.S.; Lee, H.F.; Feng, J.X. Social capital, built environment and mental health: A comparison between the local elderly people and the ’laopiao’ in urban China. Ageing Soc. 2022, 42, 179–203. [Google Scholar] [CrossRef]
- Bikis, A.; Pandey, D. Air Quality at Public Transportation Stations/Stops: Contribution of Light Rail Transit to Reduce Air Pollution. Aerosol Sci. Eng. 2022, 6, 1–16. [Google Scholar] [CrossRef]
- Lee, G.; Hwang, K.; Park, S.; Lee, D.; Kim, K.; Song, M.Y.; Choi, W.; Heo, J.; Park, D.; Lee, G.; et al. Measurement of Internal and External Air Pollutants of Enclosed Bus Station. J. Korean Soc. Atmos. Environ. 2023, 39, 128–143. [Google Scholar] [CrossRef]
- Fassio, O.; Rollero, C.; De Piccoli, N. Health, Quality of Life and Population Density: A Preliminary Study on “Contextualized” Quality of Life. Soc. Indic. Res. 2013, 110, 479–488. [Google Scholar] [CrossRef]
- Carnegie, E.R.; Inglis, G.; Taylor, A.; Bak-Klimek, A.; Okoye, O. Is Population Density Associated with Non-Communicable Disease in Western Developed Countries? A Systematic Review. Int. J. Environ. Res. Public Health 2022, 19, 2638. [Google Scholar] [CrossRef]
- Beenackers, M.A.; Groeniger, J.O.; Kamphuis, C.B.M.; Van Lenthe, F.J. Urban population density and mortality in a compact Dutch city: 23-year follow-up of the Dutch GLOBE study. Health Place 2018, 53, 79–85. [Google Scholar] [CrossRef]
- Yu, W.H.; Ai, T.H.; Li, J.Z.; Yang, M.; Shuai, Y. Potential Changed of Spatial Accessibility to Health Services with the Opening of Private Streets in Shenzhen, China. IEEE Access 2018, 6, 72824–72835. [Google Scholar] [CrossRef]
- Lv, M.H.; Wang, N.C.; Yao, S.J.; Wu, J.P.; Fang, L. Towards Healthy Aging: Influence of the Built Environment on Elderly Pedestrian Safety at the Micro-Level. Int. J. Environ. Res. Public Health 2021, 18, 9534. [Google Scholar] [CrossRef] [PubMed]
- Marshall, W.E.; Piatkowski, D.P.; Garrick, N.W. Community design, street networks, and public health. J. Transp. Health 2014, 1, 326–340. [Google Scholar] [CrossRef]
- Cui, X.F.; Wen, J.; Yang, H.R.; Helbich, M.; Dijst, M.; Roberts, H.; Tian, S.L. Pathways from street network design to symptoms of depression among emerging adults in China. Travel Behav. Soc. 2023, 33, 100644. [Google Scholar] [CrossRef]
- Lai, D.W.L. Depression among elderly Chinese-Canadian immigrants from Mainland China. Chin. Med. J. 2004, 117, 677–683. [Google Scholar] [PubMed]
- Lee, S.M.; Edmonston, B. Residential Independence of Elderly Immigrants in Canada. Can. J. Aging-Rev. Can. Vieil. 2014, 33, 359–377. [Google Scholar] [CrossRef]








| Variables | Mean/Proportion (SD) | Variables | Mean/Proportion (SD) | ||
|---|---|---|---|---|---|
| Control variables | Age | 67.73 (8.63) | Dependent variables | CNY 4000 or above | 2.76% |
| 60–65 | 55.90% | SWB | 22.67 (2.66) | ||
| 65–70 | 39.85% | PA | 5.93 (1.00) | ||
| 70–75 | 3.72% | NA | 7.64 (0.90) | ||
| Above 75 | 0.53% | PE | 8.79 (2.08) | ||
| Gender | NE | 8.40 (0.76) | |||
| Male | 49.89% | Independent variables | Density (the number of individuals per hectares) | ||
| Female | 50.11% | POD | 336.85 (58.46) | ||
| Educational Attainment | Diversity (within 1 km dwelling buffer) | ||||
| Primary school or below | 25.38% | LUM | 0.65 (0.17) | ||
| Middle school | 71.59% | Design (within 1 km dwelling buffer, km/km2) | |||
| College or above | 3.09% | STD | 17.12 (7.37) | ||
| Marital status | Distance to transit (nearest distance in meters to residence) | ||||
| Single, divorced, or widowed | 16.60% | DB | 193.56 (142.09) | ||
| Married | 83.36% | DS | 746.50 (741.25) | ||
| Lifestyle | Destination accessibility (facility number within 1 km buffer) | ||||
| Live alone | 13.81% | Park | 2.00 (1.34) | ||
| Live with family | 86.11% | Hospital | 5.00 (3.75) | ||
| Average monthly income | Supermarket | 53.00 (41.11) | |||
| CNY 1000 or below | 3.22% | Gymnasium | 43.00 (28.47) | ||
| CNY 1000–2000 | 23.55% | ||||
| CNY 2000–4000 | 70.39% | ||||
| Variables | Model 1 | Model 2 | |||||
|---|---|---|---|---|---|---|---|
| Unstandardized Coefficient | Standardized Coefficient | Unstandardized Coefficient | Standardized Coefficient | ||||
| B | SE | Beta | B | SE | Beta | ||
| Demographic variables | (Constant) | 178.991 | 89.627 | - | 47.972 | 81.445 | - |
| Male | 0.048 | 0.139 | 0.062 | 0.014 | 0.118 | 0.018 | |
| 60–65 | 0.067 | 0.074 | 0.196 | 0.114 | 0.071 | 0.333 | |
| 70–75 | 0.094 | 0.151 | 0.133 | 0.13 | 0.127 | 0.184 | |
| Over 75 | 1.457 * | 0.718 | 0.367 | 1.475 * | 0.580 | 0.371 | |
| Primary school or below | −0.059 | 0.341 | −0.118 | 0.011 | 0.299 | 0.022 | |
| Middle school | −0.13 | 0.323 | −0.303 | −0.116 | 0.281 | −0.27 | |
| College or above | 0.000 | 0.340 | 0.000 | 0.012 | 0.298 | 0.018 | |
| Single, divorced or widowed | −0.227 | 0.333 | −0.506 | 0.214 | 0.290 | 0.476 | |
| Married | −0.08 | 0.344 | −0.176 | 0.282 | 0.299 | 0.62 | |
| Live with family | −0.447 | 0.375 | −1.125 | −0.281 | 0.319 | −0.708 | |
| Live alone | −0.597 | 0.383 | −1.462 | −0.367 | 0.332 | −0.899 | |
| CNY 1000 or below | −1.05 | 0.714 | −2.107 | −0.527 | 0.614 | −1.059 | |
| CNY 1000–2000 | −1.097 | 0.82 | −2.331 | −0.295 | 0.722 | −0.626 | |
| CNY 2000–4000 | −1.104 | 0.777 | −3.243 | −0.426 | 0.677 | −1.252 | |
| CNY 1000 or below | −1.324 | 0.829 | −2.407 | −0.456 | 0.726 | −0.829 | |
| Built environment characteristics | LUM | 0.449 | 0.936 | 0.084 | |||
| POD | 0.001 | 0.000 | 0.34 | ||||
| STD | 0.018 | 0.029 | 0.143 | ||||
| DS | 0.000 | 0.000 | −0.156 | ||||
| DB | 0.000 | 0.001 | 0.086 | ||||
| Hospital | −0.101 | 0.057 | −0.401 | ||||
| Gymnasium | 0.011 | 0.006 | 0.341 | ||||
| Park | 0.18 | 0.121 | 0.241 | ||||
| Supermarket | 0.005 | 0.005 | 0.22 | ||||
| R2 | 0.321 | 0.698 | |||||
| △R2 | 0.321 | 0.377 | |||||
| Dimensions | Data Set | MAE | MBE | RMSE | R2 |
|---|---|---|---|---|---|
| PA | Training set | 0.349 | 0.014 | 0.467 | 0.783 |
| Test set | 0.396 | 0.035 | 0.515 | 0.680 | |
| NA | Training set | 0.318 | 0.0006 | 0.435 | 0.763 |
| Test set | 0.345 | 0.006 | 0.443 | 0.733 | |
| PE | Training set | 0.690 | 0.013 | 0.891 | 0.802 |
| Test set | 1.179 | 0.082 | 1.426 | 0.600 | |
| NE | Training set | 0.331 | −0.010 | 0.477 | 0.618 |
| Test set | 0.339 | −0.020 | 0.416 | 0.581 | |
| SWB | Training set | 0.831 | 0.064 | 1.010 | 0.783 |
| Test set | 0.655 | 0.159 | 0.857 | 0.683 |
| Study Site | n | PA (Mean (SD)) | NA (Mean (SD)) | PE (Mean (SD)) | NE (Mean (SD)) | SWB (Mean (SD)) |
|---|---|---|---|---|---|---|
| Panyu District | 896 | 5.73 (0.53) | 7.15 (0.45) | 7.47 (0.88) | 8.07 (0.24) | 21.80 (1.05) |
| Tianhe District | 889 | 6.66 (0.45) | 7.20 (0.54) | 8.70 (0.59) | 7.97 (1.09) | 24.05 (1.36) |
| Haizhu District | 890 | 5.90 (0.45) | 7.88 (0.45) | 9.49 (0.76) | 8.43 (0.21) | 23.08 (0.57) |
| Liwan District | 878 | 5.97 (0.58) | 7.55 (0.53) | 9.10 (0.82) | 8.52 (1.98) | 22.88 (0.91) |
| Yuexiu District | 903 | 6.18 (0.48) | 8.05 (0.35) | 9.60 (0.58) | 8.57 (0.25) | 23.24 (0.46) |
| Baiyun District | 892 | 5.87 (0.56) | 7.26 (0.40) | 8.15 (0.91) | 8.33 (0.29) | 22.16 (0.94) |
| 5348 | 5.92 (0.53) | 7.61 (0.55) | 8.40 (0.96) | 8.43 (1.31) | 22.68 (0.97) |
Disclaimer/Publisher’s Note: The statements, opinions and data contained in all publications are solely those of the individual author(s) and contributor(s) and not of MDPI and/or the editor(s). MDPI and/or the editor(s) disclaim responsibility for any injury to people or property resulting from any ideas, methods, instructions or products referred to in the content. |
© 2023 by the authors. Licensee MDPI, Basel, Switzerland. This article is an open access article distributed under the terms and conditions of the Creative Commons Attribution (CC BY) license (https://creativecommons.org/licenses/by/4.0/).
Share and Cite
Zhang, Y.; Luo, H.; Xie, J.; Meng, X.; Ye, C. The Influence and Prediction of Built Environment on the Subjective Well-Being of the Elderly Based on Random Forest: Evidence from Guangzhou, China. Land 2023, 12, 1940. https://doi.org/10.3390/land12101940
Zhang Y, Luo H, Xie J, Meng X, Ye C. The Influence and Prediction of Built Environment on the Subjective Well-Being of the Elderly Based on Random Forest: Evidence from Guangzhou, China. Land. 2023; 12(10):1940. https://doi.org/10.3390/land12101940
Chicago/Turabian StyleZhang, Yiwen, Haizhi Luo, Jiami Xie, Xiangzhao Meng, and Changdong Ye. 2023. "The Influence and Prediction of Built Environment on the Subjective Well-Being of the Elderly Based on Random Forest: Evidence from Guangzhou, China" Land 12, no. 10: 1940. https://doi.org/10.3390/land12101940
APA StyleZhang, Y., Luo, H., Xie, J., Meng, X., & Ye, C. (2023). The Influence and Prediction of Built Environment on the Subjective Well-Being of the Elderly Based on Random Forest: Evidence from Guangzhou, China. Land, 12(10), 1940. https://doi.org/10.3390/land12101940

