Abstract
The adoption of tillage during summer fallow can effectively store precipitation in summer and increase the soil water content in the dryland wheat fields of the eastern Loess Plateau; however, its influencing mechanism is still unknown. Three tillage measures were implemented in 2018, namely, no-tillage during summer fallow (NTF), subsoiling during summer fallow (STF), and plough tillage during summer fallow (PTF), to investigate the changes in soil porosity in different growth periods of winter wheat and their contribution to the soil water storage. The results showed that soil total porosity (Pt) at the 0.2–0.3 m soil depth under the PTF treatment increased significantly from 5.64% to 34.72% compared with that under the STF treatment from pre-seeding to anthesis and significantly increased from 8.67% to 11.56% compared with that under the NTF treatment from pre-seeding to the overwintering stage. In the overwintering period, aeration porosity (Pa) in the 0.1–0.3 m profile under the PTF treatment increased from 31.59% to 73.98% compared with that under the NTF treatment, and that of the 0.2–0.3 m soil layer under the STF treatment increased by 82.47% compared with that under the STF treatment. At the overwintering stage and jointing stage, capillary porosity (Pc) at 0.2–0.3 m soil depth under the NTF treatment increased significantly by 17.45–17.72% compared with that under the STF treatment. The Pt and Pa of the 0–0.1 m soil layer promoted soil water storage in the 0.1–1 m soil profile, while the Pc of the 0–0.3 m soil profile was significantly negatively correlated with the gravimetric water content of the 0.1–0.6 m soil profile. In summary, compared with the NTF treatment, the PTF and STF treatments increased the soil water content and soil water storage at a depth of 0–1 m by increasing Pt and Pa.
1. Introduction
The global dryland area accounts for 45.36% of the total land area [1] and supports 38% of the global population [2]. In the scenario of future climate change, the global dryland area may increase by 11–23% at the end of the 21st century [3], which will bring more serious threats to the available freshwater resources and food security. The arable dryland in China accounts for approximately 50.33% of the total arable land area [4]. Improving dryland crop productivity is of great significance for ensuring food security in China. Soil moisture is the most critical limiting factor for dryland agricultural production. Improving the use efficiency of natural precipitation and enhancing soil water storage is an important way to achieve stable and large yields of dryland crops. Soil pore distribution is closely related to soil water transport, and good soil pores are beneficial to efficient water utilization and crop growth. Soil tillage and other agricultural management practices can affect the distribution of soil pores, change the temporal and spatial distribution of soil water, and then affect the growth and yield of dryland crops.
Tillage practices can directly change the soil porosity [5,6]. However, the effect of tillage on soil porosity is still controversial in previous studies. It was generally recognized that no-tillage was used to significantly reduce the total soil porosity, soil macroporosity [7,8], and even small porosity [9], compared to traditional tilling. However, some scholars believe that no-tillage can increase the total soil porosity and soil macroporosity of the surface layer (0–0.05 m) [5,10]. In addition, compared with traditional tilling, subsoiling can effectively increase the total soil porosity and soil macroporosity at a depth of 0–0.4 m [11]. However, some scholars believe that the effect of subsoiling measures on the total porosity, large porosity and small porosity of the 0–0.2 m soil layer is relatively small [12]. The differences in results among different studies may be related to climatic conditions, soil texture, sampling time, planting system, and tillage machinery power [13].
Time variability is one of the key factors affecting the distribution of soil pores in farmland [14], which further affects biological activities and root growth [15]. At present, research on the effect of tillage practices on soil porosity mainly focuses on the sampling time after the crop is harvested, while the evaluation of soil porosity time variability during the crop growth period is rare. Soracco et al. [16] found that the adoption of no-tillage increased the soil macroporosity during crop growth, whereas it decreased it after harvest; in contrast, the adoption of plough tillage practices showed the opposite trend. Haruna et al. [17] showed that the soil macroporosity increased after soil tillage, but, gradually decreased during the growth period. Due to the differences in climatic conditions, soil types and farming systems, there are different effects of soil tillage on porosity.
Wheat is one of the three main grain crops in China. Dryland wheat plays an important role in agricultural production on the Loess Plateau. The wheat sown area in Shanxi Province accounts for more than 20% of the crop sown area, and its output accounts for approximately 25% of the province’s grain output [18]; in addition, the dryland winter wheat sown area accounts for approximately 60% of the total wheat sown area in Shanxi Province [19]. However, the precipitation in the region is mainly concentrated in July–September, which is very inconsistent with the water demand period of wheat growth. Water conservation technology, with deep tillage during the summer fallow as the core, is one of the characteristic drought-resistant technologies. Previous works of our team has shown that the adoption of water conservation technology can allow the soil to receive greater precipitation during the summer fallow season, leading to an increase in soil moisture storage before winter wheat sowing [20,21]. Then, precipitation in the summer season can be used by winter wheat in dryland and promote a stable and high yield of winter wheat in the region [20,21]. At present, the effect of precipitation accumulation and the features of soil water accumulation and consumption in dryland wheat fields when using this technique have been well understood. However, how soil water content is influenced by tillage during the summer fallow period when changing the spatial and temporal distribution of soil pores is not clear. This study mainly analyzed the spatiotemporal variation in soil pores and their contribution to soil water content in different growth periods of dryland winter wheat under different tillage practices during the summer fallow period to provide a theoretical basis and technical support for further improving soil water storage in dryland wheat fields in the region.
2. Materials and Methods
2.1. Experimental Site Description
This experiment was conducted in the wheat research base of Shanxi Agricultural University, which is located in Shangyuan Village (111°43′ E, 35°39′ N), Hougong Township, Wenxi County, Yuncheng City, Shanxi Province, in the eastern part of the Loess Plateau (Figure 1). It has a typical warm–temperate sub-humid continental monsoon climate, with an average annual temperature of 12.5 °C, an average sunshine duration of 2242 h, and an average annual precipitation of 506 mm. The frost-free period is approximately 190 days. Approximately 60% to 70% of the precipitation is concentrated from July to September during the summer fallow season. Before the experiment was set up, the contents of sand, silt, and clay in the 0–0.2 m soil layer were 16.13%, 54.25%, and 29.62%, respectively. The predominant soil at the experimental site is classified as Calcaric Cambisols. Its basic nutrients were found to be organic matter 8.8 g·kg−1, alkali-hydrolyzed nitrogen 61.31 mg·kg−1, available phosphorus 10.4 mg·kg−1, and available potassium 114.0 mg·kg−1. The pH value was 8.44. Winter wheat summer fallow is the main cropping system in the dryland in the region. In general, the growth season of winter wheat ranges from late September to early June, and no crops are planted the rest of the year. In this study, the local temperature and precipitation distribution from July 2020 to June 2021 are shown in Figure 2.
Figure 1.
Location of the experimental site and tillage treatments during summer fallow.
Figure 2.
Temperature and precipitation at the experimental site from July 2020 to June 2021.
2.2. Experimental Design
In this study, the treatments were conducted in a randomized complete block design in 2018 with three tillage practices: no-tillage during summer fallow (NTF), subsoiling during summer fallow (STF), and plough tillage during summer fallow (PTF). The plot size was 210 m2 (7 m wide × 30 m long) with three replicates. All treatments left 0.2–0.3 m of stubble after the previous winter wheat harvest. In the PTF and STF treatments, 600 kg·ha−1 of bio-organic fertilizer (SOM ≥ 45%, N + P2O5 + K2O ≥ 5%, Hongtong Jinnongkang Biotechnology Co., LTD) was generally applied after heavy rain in mid-to-late July. In the STF treatment, a subsoiler integrated with a fertilization machine was used for soil loosening and bio-organic fertilizer application. The noninversion tillage depth was approximately 0.3–0.35 m in the STF treatment, and most of the straw still covered the soil surface. In the PTF treatment, after bio-organic fertilizer was spread on the soil surface, a moldboard plough tillage machine was used to disturb the soil to a depth of 0.25–0.3 m. Straw was buried in the soil under the PTF treatment. The NTF treatment is a common practice used by local farmers, with no tillage or fertilization during summer fallow. Bio-organic fertilizer was applied before sowing under the NTF treatment. At the end of August, rotary tillage (with a depth of approximately 0.1 m) was applied for harrowing to prevent water loss and bury weeds. Before sowing, 600 kg·ha−1 of compound fertilizer (N:P2O5:K2O = 18:22:5) was applied in all treatments, and rotary tillage was applied to provide a good environment for planting again. In this study, the winter wheat cultivar Yunhan 618 was used, and the sowing amount was 165 kg·ha−1.
2.3. Sampling and Determination Methods
In this study, undisturbed soil samples in the 0–0.1 m, 0.1–0.2 m, and 0.2–0.3 m soil layers were collected to determine the soil bulk density, soil total porosity (Pt), aeration porosity (Pa), capillary porosity (Pc), and gravimetric water content (GWC) before tillage during summer fallow, before the sowing of winter wheat, at the overwintering stage, at the jointing stage, at the anthesis stage, and after harvest during the 2020–2021 season.
Soil porosity was measured by the cutting-ring method [22]. A cutting ring of 100 cm3 (diameter 5.05 cm, height 5.00 cm) was used to collect the undisturbed soil in the 0–0.3 m profile. At the same time, the additional soil in the same nearby layer was taken into a valve bag, 140 g of which was loaded into a 100 cm3 empty cutting ring after air-drying and passing through a 1 mm sieve (Figure 3I). The cutting ring with the undisturbed soil sample was brought back to the laboratory, and the soil outside the cutting ring was wiped. After removing the top nonporous lid, the cutting ring with the undisturbed soil covered with the bottom mash lid (Figure 3II) was placed into a plastic box (height 0.1 m) covered with gauze. Then, water was slowly added from the edge of the plastic box to a level slightly lower than the upper surface of the cutting ring, so that the undisturbed soil was fully saturated with water (Figure 3III). The top nonporous lip was covered on the cutting ring with the water-saturated undisturbed soil sample, the bottom mash lid was removed, and a layer of qualitative filter paper was immediately attached to the bottom (Figure 3IV) and placed on the cutting ring with the soil. The edges of the two cutting rings were neatly placed together and compacted with an approximately 2 kg weight to put them into close contact (Figure 3V). After the gravity water was completely discharged, the weight of the cutting ring with the undisturbed soil sample was measured and recorded as M1. After that, the cutting ring with the undisturbed soil sample was placed in an electrothermal blow-drying oven at 105 °C to dry it to a constant weight, which was recorded as M2. Finally, the undisturbed soil within the cutting ring was removed and wiped clean, and the weight of the empty cutting ring was recorded as M0. Based on the above data, Pt, Pa, and Pc were calculated using Equations (1), (3) and (5), respectively, by Zou et al. [23].
In the above Equations, Pt is the total porosity (%), ρb is the soil bulk density (g·cm−3), and Pd is the particle density, which is generally 2.65 g·cm−3 for most mineral soils [24]. V is the volume of the ring cutter (cm3), Pa is the aeration porosity (%), and FC is the soil field water capacity (g·g−1). WD is the density of water, 1 g·cm−3; Pc is the capillary porosity (%), and PWC is the soil permanent wilting water content (g·g−1), which was determined according to the method by Yi [25].
Figure 3.
Schematic diagram of the soil porosity measurement process. I indicate filling an empty cutting ring with 1 mm of soil. II indicate the cutting ring with the undisturbed soil sample covered with the bottom mash lid. III indicate the cutting ring with water-saturated undisturbed soil sample covered with the bottom mash lid. IV indicate the cutting ring with water-saturated undisturbed soil sample covered with the nonporous lip and a layer of qualitative filter paper. V indicate a complex of two cutting rings and 2 kg weight.
A 0.05 m diameter soil drill was used to collect 0–2 m (0–0.6 m profile sampling depth interval of 0.1 m, 0.6–2 m profile sampling depth interval of 0.2 m) soil samples, and the aluminum box drying method was used to determine GWC. The soil water storage (SWS) in different growth periods was calculated by multiplying the soil bulk density by GWC according to the method of Ge et al. [26]. Here, the soil bulk densities in the 0–0.3 m profile were measured in different growth periods during the 2020–2021 season and used to calculate the GWC of the 0–0.3 m profile, which was different among different growth periods. However, we measured soil bulk densities in the 0–2 m profile before the experiment carried out in 2018 and applied them to calculate the GWC of the 0.3–2 m profile.
2.4. Statistical Analysis
In this study, Microsoft Excel 2016 software was used for routine calculation of the data, and Origin 2019b software was used for drawing. SPSS 16.0 software was used to conduct variance analysis, multiple comparison analysis, and regression analysis for the data from the tillage treatments and different growth periods. A new multiple range method was used for multiple comparisons.
3. Results
3.1. Total Porosity
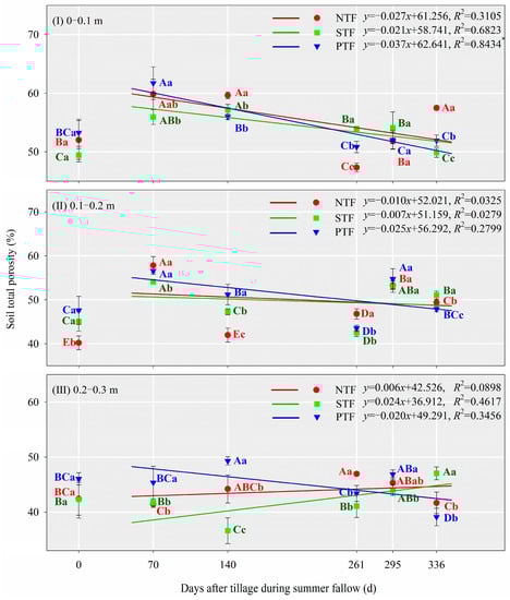
By analyzing the effects of tillage during summer fallow on Pt in different growth periods (Figure 4), we found that the Pt of the 0–0.2 m profile for all treatments before the sowing of winter wheat was significantly higher than that before tillage during summer fallow. With the growth process winter wheat, the Pt of the 0–0.2 m profile under all treatments showed a gradually decreasing trend. In the 0.2–0.3 m soil layer, the PTF treatment led to a gradually decreasing trend, while the NTF and STF treatments led to a gradually increasing trend. Compared with NTF and STF, the Pt in the 0.2–0.3 m soil layer under the PTF treatment increased by 9.41–11.56% and 4.57–34.72% at the pre-seeding and overwintering stages, respectively. Compared with the PTF treatment, the Pt of the 0.1–0.3 m soil profile at the jointing stage and of the 0–0.2 m soil profile after harvest increased by 3.18–10.74% under the NTF treatment. Compared with the NTF and PTF treatments, the Pt of the 0.1–0.3 m soil profile under the STF treatment after harvest increased by 3.42–12.91% and 6.70–20.34%, respectively.
Figure 4.
Effects of tillage during summer fallow on soil total porosity in the examined dryland wheat field. NTF is no tillage during summer fallow, STF is subsoiling during summer fallow, and PTF is plough tillage during summer fallow. The lowercase letters in the same column indicate significant differences among those treatments at p < 0.05. The capital letters with the same color indicate significant differences among different sampling times at p < 0.05. * indicate the significant at p < 0.05.
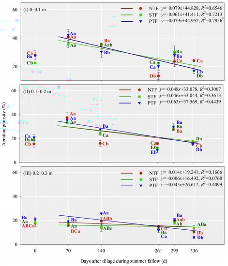
3.2. Aeration Porosity
The Pa of the 0–0.2 m soil profile for all treatments was significantly increased by 44.98–141.13% before sowing compared with that before tillage during summer fallow (Figure 5). Since sowing, the Pa of the 0–0.3 m profile for all treatments showed a gradually decreasing trend with the growth of winter wheat. At the overwintering stage, the Pa of the 0.2–0.3 m soil layer under the PTF treatment was significantly increased by 31.58% and 82.47% compared with that under the NTF and STF treatments, respectively. At the overwintering and harvesting stages, the Pa of the 0–0.1 m soil layer was significantly increased by 17.29% and 40.79% under the NTF treatment compared with that under the PTF treatment, while the Pa of the 0.1–0.2 m soil layer under the STF treatment was significantly increased by 15.29% and 50.43% compared with that under the NTF treatment. In addition, the Pa of the 0.1–0.3 m profile under the STF treatment increased by 17.07–135.61% compared with that under the PTF treatment.
Figure 5.
Effects of tillage during summer fallow on aeration porosity in the dryland wheat field. NTF is no tillage during summer fallow, STF is subsoiling during summer fallow, and PTF is plough tillage during summer fallow. The lowercase letters in the same column indicate significant differences among those treatments at p < 0.05. The capital letters with the same color indicate significant differences among different sampling times at p < 0.05. * indicate the significant at p < 0.05.
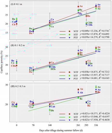
3.3. Capillary Porosity
The Pc of the 0–0.1 m soil layer before tillage during summer fallow significantly increased by 16.23–36.61% compared with that at pre-seeding (Figure 6). Since the sowing of winter wheat, the Pc of the 0–0.3 m profile for all treatments showed a gradually increasing trend with the growth process of winter wheat. Compared with the STF treatment, the NTF treatment significantly increased the Pc of the 0.2–0.3 m layer from the overwintering to the jointing stage by 17.44–17.73% and that of the 0–0.1 m layer by 9.93% at the anthesis stage.
Figure 6.
Effects of tillage during summer fallow on soil capillary porosity in the dryland wheat field. NTF is no tillage during summer fallow, STF is subsoiling during summer fallow, and PTF is plough tillage during summer fallow. The lowercase letters in the same column indicate significant differences among those treatments at p < 0.05. The capital letters with the same color indicate significant differences among different sampling times at p < 0.05. * indicate the significant at p < 0.05.
3.4. Soil Water Content and Water Storage
Compared with the NTF treatment, the average GWC in the 0–2 m profile was significantly increased by 11.14–14.25%, and the SWS was significantly increased by 9.28–10.41% before tillage during the summer fallow at the jointing and anthesis stages (Figure 7). The SWS of the 0–2 m profile under the STF treatment was significantly increased by 3.14% and 13.14% compared with that under the NTF treatment before sowing and at the jointing stage, respectively. By analyzing the contributions of the soil porosity of the 0–0.3 m profile to the GWC of each layer in the 0–2 m soil profile (Figure 8), we found that the Pt and Pa of the 0–0.1 m soil layer were significantly positively correlated with the GWC in each 0.1–1 m soil layer. Every 1% increase in Pt and Pa, the GWC increased by 0.38–0.68% and 0.19–0.38%, respectively. There was a significant negative correlation between Pt and Pa in the 0.1–0.2 m soil layer and GWC in the 0–0.1 m soil layer. There was a significant negative correlation between Pc in the 0–0.3 m soil layer and GWC in the 0.1–0.6 m soil profile. For every 1% increase in Pt and Pa, the GWC decreased by 0.26% to 0.70%, respectively. In addition, the Pt and Pa of the 0–0.1 m soil layer were positively correlated with the average GWC of the 0–2 m profile and soil water storage. The Pc of the 0–0.2 m soil profile was negatively correlated with the GWC and SWS of the 0–2 m soil profile.
Figure 7.
Effects of tillage during summer fallow on soil gravimetric water content and soil water storage in the dryland wheat field. The lowercase letters indicate significant differences among those treatments at p < 0.05. BTSF indicates the sampling time before tillage during summer fallow. BS indicates the sampling time before the sowing of winter wheat. OW indicates the sampling time at the overwintering stage. JS indicates the sampling time at the jointing stage. AN indicates the sampling time at the anthesis stage. AH indicates the sampling time after the harvest of winter wheat.
Figure 8.
Correlation between soil porosity and soil moisture. GWC indicates the soil gravimetric water content, and SWS indicates the soil water storage. * indicate the significant at p < 0.05.
4. Discussion
4.1. Effect of Tillage during Summer Fallow on Soil Porosity
Generally, tillage can loosen soil and increase soil total and aeration porosity [27,28]. The results showed that Pt and Pa increased significantly, and Pc decreased significantly in the 0–0.2 m soil profile before the sowing of winter wheat compared with their respective values before tillage during summer fallow. This was mainly due to deep plough under the PTF treatment and loosening under the STF treatment at the end of July and rotary tillage for all treatments at the end of August in the current study. Although the tillage intensity was different under different treatments, the soil pore structure was strongly damaged under all treatments, and Pt and Pa were significantly increased. In addition, with the implementation of rotary tillage at the end of August, the straw stubble of winter wheat was buried in the tilled zone. Then, straw decomposition could promote the formation of porosity [29,30]. However, with the passage of time, Pt and Pa of the 0–0.2 m soil profile under all treatments gradually decreased, while Pc gradually increased. This might be due to soil subsidence under gravity and the strike of precipitation, resulting in a gradual compact arrangement of the soil particles.
Soil pore distribution is directly related to water storage and migration, gas diffusion, root growth and development, and biological community distribution [31]. This study showed that compared with the PTF treatment, the Pt in the 0.2–0.3 m soil layer under the NTF treatment and in the 0.1–0.3 m soil layer under the STF treatment significantly decreased from the pre-seeding to the overwintering stage (Figure 4), and the Pa of the 0.1–0.3 m soil profile under the NTF treatment and the 0.2–0.3 m soil layer under the STF treatment significantly decreased during the overwintering stage (Figure 5). This may be due to the severe disturbance of the 0–0.3 m soil profile by plough tillage under the PTF treatment at the end of July, which was looser in the tilled zone [32] and resulted in the increase in Pt and Pa. In addition, crop residues and bio-organic fertilizer under the PTF treatment were turned over into deeper soil, the decomposition of which could improve the soil aggregate structure and thus increase soil porosity [33]. An excellent soil pore structure can promote the downward growth and extension of crop roots [34,35]. Previous studies showed that soil subjected to the PTF treatment contained more abundant roots in the 0–0.8 m profile than after the NTF treatment in the growing season of winter wheat [20,36], which also increased soil porosity to a certain extent. For the STF treatment, which can also break the plough layer, however, the effect of increasing soil pores in the 0.1–0.3 m soil profile was not as good as that of the PTF treatment. This may be attributed to the fact that the implementation of subsoil at the end of July only breaks a plough pan without changing the order of the upper and lower soil layers under the STF treatment [37]. Meanwhile, the topsoil becomes more tightly packed with the self-regulation of soil [38] from the pre-seeding to the overwintering stage, resulting in relatively lower Pt and Pa. In addition, the NTF treatment did not cause any disturbance to the soil at the end of July, and the depth of rotary tillage was shallow at the end of August and at the pre-seeding stage in this study. Therefore, the soil >0.1 m under the NTF treatment was less disturbed and was subjected to long-term soil compaction by agricultural machinery and soil gravitational effects [39], resulting in lower Pt and Pa.
4.2. Relationship between Soil Porosity and Soil Water
The storage of soil water is affected by the spatial and temporal distribution of soil pore quantity, size, and continuity, especially Pa. In general, preferential flow generated by aeration pores is considered to be the sole way to source water in deep soil [40]. In this study, it was found that Pt and Pa in the 0–0.1 m soil layer were positively correlated with GWC in the 0.1–1 m soil profile, which had a significant impact on the average GWC and SWS in the 0–2 m soil layer. The above results indicated that the increase in Pt in the 0–0.1 m soil layer, especially Pa, can promote soil water reserves in the 0.1–1 m soil profile. This may be responsible for the fact that Pa is a major pathway for soil water movement, and water in aeration pores flows from top to bottom under the action of gravity. The higher the Pa is, the more pathways for preferential flow can be provided [41], thus promoting the rapid infiltration of precipitation and increasing water storage in deep soil. Generally, the adoption of PTF and STF treatments can promote soil Pa [42]. However, there was little difference in Pa among the different treatments before the seeding of winter wheat in this study. This may be ascribed to the fact that rotary tillage was carried out in each treatment at the end of August, which weakened the influence of tillage during summer fallow on Pa at the end of July. In addition, previous studies concluded that compared with the NTF treatment, the adoption of the PTF and STF treatments could lead to the storage of precipitation during summer fallow into the soil and improve SWS before seeding and water use efficiency [20,21]. This may be mainly because the effect of soil aeration pores storing precipitation in the soil mainly occurred in the period from soil tillage at the end of July to rotary tillage at the end of August; meanwhile, the main precipitation in the region was also concentrated in that period. In future studies, we will conduct sampling analyses before rotary tillage at the end of August to scientifically evaluate the mechanism of water storage by changing soil pores under the condition of tillage during summer fallow. In addition, the reason for the small difference in GWC and SWS under different treatments may be related to a larger precipitation in the study year. That is, when the precipitation is low, the water storage effect of the soil aeration pores and the water retention effect of the capillary pores may be stronger. Therefore, we will continue to conduct long-term experiments to evaluate the contribution of the soil pores to water storage under different tillage practices during the summer period based on multiyear experimental data.
The amount of Pc can reflect the ability of soil to preserve water [43]. It is concluded that the Pc of the 0–0.3 m soil profile had a significant negative correlation with the GWC of the 0.1–0.6 m soil profile, and Pc of the 0–0.2 m soil profile significantly affected the average GWC and SWS of the 0–2 m soil profile. Generally, soil water in the capillary pores is classified as available water, which can be absorbed and utilized by the crop root system. With the increase of Pc, the amount of available water increases. Then, the amount of water absorbed by crops could increase, and the amount of water consumed by crops would also increase, leading to a decrease in the GWC.
Surprisingly, there were greater soil gravimetric water content and soil water storage in the 0–2 m soil profile under PTF compared with those under NTF and STF. In our study, the tillage experiment was implemented since 2018, and subsoiling and plough tillage were carried out during summer fallow after heavy rain in mid-to-late July every year with the STF and PTF treatments. Previous work of our team showed that subsoiling and plough tillage during summer fallow affected the soil water storage of the 0–3 m soil profile during the whole growth season of winter wheat in different rainfall years, and there was still a difference in soil water storage at the stage of mature winter wheat among tillage treatments [44]. Therefore, this might be due to the legacy effect of plough tillage during summer fallow in late July 2019, leading to the difference in greater soil water storage before tillage during summer fallow for the PTF treatment in 2020. Additionally, there were great differences in the growth of weeds among tillage treatments from tillage during summer fallow to before rotary tillage at the end of August in our study, which would affect the consumption of soil water during fallow. Howsoever, in past research, we did not pay proper attention to changes in the soil water storage of the 0–2 m profile from winter wheat harvest to before tillage during summer fallow. Therefore, we will assess the change in soil water storage of the 0–2 m profile after winter wheat harvest. Lower GWC and SWS at the jointing stage after the NTF treatment were observed compared with those after the PTF and STF treatments in the current study. A plausible explanation is larger soil evaporation for the NTF treatment compared with the PTF and STF treatments from the overwintering stage to the jointing stage and even the anthesis stage, because of the lower total number of seedling tillers and leaf area index for the NTF treatment.
4.3. Limitations and Prospects
This study mainly analyzed the effect of soil porosity of the 0–0.3 m profile on soil water of the 0–2 m profile and found that soil porosity had a significant effect on the GWC of the 0.1 m–1.2 m soil profile, especially on that of the 0.1 m–0.6 m soil profile; however, we found no significant effect on the GWC of the >1.2 m soil profile. This suggests that the effect of tillage practices on the GWC by changing soil porosity may not be limited to the tilled zone. Although the influence of soil tillage and crop roots on soil porosity is mainly in the tilled zone, the soil pores would change to a certain extent due to the formation of macro-pores in deeper soil by the downward growth of crop roots and soil animal activities [11], thus affecting the soil water movement. In future studies, we will increase the sampling depth of the soil pores to analyze the influence of deeper soil pores on soil water.
In this study, the soil pores were classified into aeration pores and capillary pores according to the traditional classification method; however, the specific pore size was not determined. In recent years, X-ray tomography (CT) and image processing technology have been gradually applied to the study of soil pores in farmland [45,46]. These technologies can provide three-dimensional imaging of the soil pore structure without damaging it and can quantitatively analyze the changes in soil pore size, number, distribution, and continuity [47,48,49]. At present, a large number of studies have used the CT technology and image processing technology to quantitatively analyze the influence of tillage practices on soil porosity [50,51,52]. In future studies, we will conduct relevant experiments based on the CT technology to evaluate the influence of tillage measures in the summer fallow period on soil pores in dryland wheat fields and then quantitatively evaluate the contribution of soil pore changes to soil water storage.
5. Conclusions
This study analyzed the dynamics of soil porosity at the main growth stage of winter wheat and its relationship with soil water under different tillage practices during the summer fallow period and concluded that (1) with the progress of winter wheat growth, the Pt and Pa of the 0–0.2 m soil profile decreased gradually, while the capillary porosity increased gradually; (2) the increase in the Pt and Pa of the 0–0.1 m soil layer promoted the increase in GWC and SWS in the 0.1–1 m soil profile, whereas the Pc in the 0–0.3 m soil profile had a negative effect on GWC in the 0.1–0.6 m soil profile; (3) compared with the NTF treatment, the increase in GWC and SWS under the PTF and STF treatments could be mainly due to the increase in Pt and Pa; however, this effect might mainly occur from after tillage during summer fallow (at the end of July) to before rotary tillage (at the end of August).
Author Contributions
Conceptualization, methodology, writing—original draft preparation, J.-F.X.; investigation, visualization, writing—original draft preparation, Z.-W.Q.; visualization, formal analysis, J.-L.C. and W.-H.C.; writing—review and editing, W.L. and Z.-Q.G.; funding acquisition, J.-F.X. and Z.-Q.G. All authors have read and agreed to the published version of the manuscript.
Funding
This research was funded by the National Natural Science Foundation of China (No. 32272235, 31801305), the National Key R&D Program of China (No. 2021YFD1901102), and the Research Program Sponsored by the State Key Laboratory of Integrative Sustainable Dryland Agriculture (in preparation), Shanxi Agricultural University (No. 202105D121008-3-1).
Institutional Review Board Statement
Not applicable.
Informed Consent Statement
Not applicable.
Data Availability Statement
The data presented in this study are available on request from the corresponding author.
Conflicts of Interest
The authors declare no conflict of interest.
References
- Lal, R. Carbon Cycling in Global Drylands. Curr. Clim. Chang. Rep. 2019, 5, 221–232. [Google Scholar] [CrossRef]
- Li, Y.; Chen, Y.; Li, Z. Dry/wet pattern changes in global dryland areas over the past six decades. Glob. Planet. Chang. 2019, 178, 184–192. [Google Scholar] [CrossRef]
- Huang, J.; Yu, H.; Guan, X.; Wang, G.; Guo, R. Accelerated dryland expansion under climate change. Nat. Clim. Chang. 2015, 6, 166–171. [Google Scholar] [CrossRef]
- National Bureau of Statistics of China. China Statistical Yearbook 2021; China Statistics Press: Beijing, China, 2021. (In Chinese) [Google Scholar]
- Galdos, M.; Pires, L.; Cooper, H.; Calonego, J.; Rosolem, C.; Mooney, S. Assessing the long-term effects of zero-tillage on the macroporosity of Brazilian soils using X-ray Computed Tomography. Geoderma 2018, 337, 1126–1135. [Google Scholar] [CrossRef] [PubMed]
- Seguel, O.; Díaz, D.; Acevedo, E.; Silva, P.; Homer, I.; Seitz, S. Hydraulic Conductivity in a Soil Cultivated with Wheat-Rapeseed Rotation Under Two Tillage Systems. J. Soil Sci. Plant Nutr. 2020, 20, 2304–2315. [Google Scholar] [CrossRef]
- Pires, L.; Roque, W.; Rosa, J.; Mooney, S. 3D analysis of the soil porous architecture under long term contrasting management systems by X-ray computed tomography. Soil Tillage Res. 2019, 191, 197–206. [Google Scholar] [CrossRef]
- Zaraee, M.; Afzalinia, S. Effect of Conservation Tillage on the Physical and Mechanical Properties of Silty-Clay Loam Soil. Int. J. Plant Soil Sci. 2016, 12, 17. [Google Scholar] [CrossRef]
- Talukder, R.; Plaza-Bonilla, D.; Cantero-Martínez, C.; Wendroth, O.; Castel, J.L. Soil gas diffusivity and pore continuity dynamics under different tillage and crop sequences in an irrigated Mediterranean area. Soil Tillage Res. 2022, 221, 351–362. [Google Scholar] [CrossRef]
- Kay, B.; VandenBygaart, A. Conservation tillage and depth stratification of porosity and soil organic matter. Soil Tillage Res. 2002, 66, 107–118. [Google Scholar] [CrossRef]
- Yang, Y.; Wu, J.; Zhao, S.; Mao, Y.; Zhang, J.; Pan, X.; He, F.; van der Ploeg, M. Impact of long-term sub-soiling tillage on soil porosity and soil physical properties in the soil profile. Land Degrad. Dev. 2021, 32, 2892–2905. [Google Scholar] [CrossRef]
- Gao, L.; Wang, B.; Li, S.; Wu, H.; Wu, X.; Liang, G.; Gong, D.; Zhang, X.; Cai, D.; Degré, A. Soil wet aggregate distribution and pore size distribution under different tillage systems after 16 years in the Loess Plateau of China. Catena 2018, 173, 38–47. [Google Scholar] [CrossRef]
- de Moraes, M.T.; Debiasi, H.; Carlesso, R.; Franchini, J.C.; da Silva, V.R.; da Luz, F.B. Soil physical quality on tillage and cropping systems after two decades in the subtropical region of Brazil. Soil Tillage Res. 2016, 155, 351–362. [Google Scholar] [CrossRef]
- Villarreal, R.; Lozano, L.A.; Salazar, M.P.; Bellora, G.L.; Melani, E.M.; Polich, N.; Soracco, C.G. Pore system configuration and hydraulic properties. Temporal variation during the crop cycle in different soil types of Argentinean Pampas Region. Soil Tillage Res. 2019, 198, 104528. [Google Scholar] [CrossRef]
- Jirků, V.; Kodešová, R.; Nikodem, A.; Mühlhanselová, M.; Žigová, A. Temporal variability of structure and hydraulic properties of topsoil of three soil types. Geoderma 2013, 204–205, 43–58. [Google Scholar] [CrossRef]
- Soracco, C.G.; Lozano, L.A.; Villarreal, R.; Melani, E.; Sarli, G.O. Temporal Variation of Soil Physical Quality under Conventional and No-Till Systems. Rev. Bras. Ciênc. Solo 2018, 42, e0170408. [Google Scholar] [CrossRef]
- Haruna, S.I.; Anderson, S.H.; Nkongolo, N.V.; Zaibon, S. Soil Hydraulic Properties: Influence of Tillage and Cover Crops. Pedosphere 2018, 28, 430–442. [Google Scholar] [CrossRef]
- Shanxi Provincial Bureau of Statistics, Survey Office of the National Bureau of Statistics in Shanxi. Shanxi Statistical Yearbook 2021; China Statistics Press: Beijing, China, 2022. (In Chinese) [Google Scholar]
- Li, T.-L.; Xie, Y.-H.; Hong, J.-P.; Feng, Q.; Sun, C.-H.; Wang, Z.-W. Effects of Nitrogen Application Rate on Photosynthetic Characteristics, Yield, and Nitrogen Utilization in Rainfed Winter Wheat in Southern Shanxi. Acta Agron. Sin. 2013, 39, 704–711. [Google Scholar] [CrossRef]
- Xue, L.; Khan, S.; Sun, M.; Anwar, S.; Ren, A.; Gao, Z.; Lin, W.; Xue, J.; Yang, Z.; Deng, Y. Effects of tillage practices on water consumption and grain yield of dryland winter wheat under different precipitation distribution in the loess plateau of China. Soil Tillage Res. 2019, 191, 66–74. [Google Scholar] [CrossRef]
- Sun, M.; Ren, A.-X.; Gao, Z.-Q.; Wang, P.-R.; Mo, F.; Xue, L.-Z.; Lei, M.-M. Long-term evaluation of tillage methods in fallow season for soil water storage, wheat yield and water use efficiency in semiarid southeast of the Loess Plateau. Field Crop. Res. 2018, 218, 24–32. [Google Scholar] [CrossRef]
- Lao, J.C. Handbook of Soil Agrochemical Analysis; Agricultural Press: Beijing, China, 1988. (In Chinese) [Google Scholar]
- Zou, W.; Han, X.; Yan, J.; Chen, X.; Lu, X.; Qiu, C.; Hao, X. Effects of incorporation depth of tillage and straw returning on soil physical properties of black soil in Northeast China. Trans. Chin. Soc. Agric. Eng. 2020, 36, 9–18, (In Chinese with English Abstract). [Google Scholar]
- Danielson, R.E.; Sutherland, P.L. Porosity. In Methods of Soil Analysis. Part 1. Physical and Mineralogical Methods; Cassel, D., Klute, A., Eds.; American Society of Agronomy-Soil Science Society: Madison, WI, USA, 1986; pp. 443–661. [Google Scholar]
- Yi, Y.L. Method of Soil Physics Research; Peking University Press: Beijing, China, 2009; pp. 88–91. (In Chinese) [Google Scholar]
- Ge, J.; Fan, J.; Yuan, H.; Yang, X.; Jin, M.; Wang, S. Soil water depletion and restoration under inter-conversion of food crop and alfalfa with three consecutive wet years. J. Hydrol. 2020, 585, 124851. [Google Scholar] [CrossRef]
- Ferro, N.D.; Sartori, L.; Simonetti, G.; Berti, A.; Morari, F. Soil macro- and microstructure as affected by different tillage systems and their effects on maize root growth. Soil Tillage Res. 2014, 140, 55–65. [Google Scholar] [CrossRef]
- Garbout, A.; Munkholm, L.; Hansen, S. Tillage effects on topsoil structural quality assessed using X-ray CT, soil cores and visual soil evaluation. Soil Tillage Res. 2013, 128, 104–109. [Google Scholar] [CrossRef]
- Zhao, L.L.; Li, L.S.; Cai, H.J.; Shi, X.H.; Xue, S.P. Comprehensive effects of organic materials incorporation on soil hydraulic conductivity and air permeability. Sci. Agric. Sin. 2019, 52, 1045–1057, (In Chinese with English Abstract). [Google Scholar]
- Qiu, C.; Han, X.Z.; Chen, X.; Lu, X.; Yan, J.; Feng, Y.; Gan, J.; Zou, W.; Liu, G. Effects of organic amendment depths on black soil pore structure using CT scanning technology. Trans. Chin. Soc. Agric. Eng. 2021, 37, 98–107, (In Chinese with English Abstract). [Google Scholar]
- Luiz, F.P.; Jaqueline, A.R.B.; Jadir, A.R.; Cooper, M.; Heck, R.J.; Passoni, S.; Roquee, W.L. Soil structure changes induced by tillage systems. Soil Tillage Res. 2017, 165, 66–79. [Google Scholar]
- Schneider, F.; Don, A.; Hennings, I.; Schmittmann, O.; Seidelc, S.J. The effect of deep tillage on crop yield—What do we really know? Soil Tillage Res. 2017, 174, 193–204. [Google Scholar] [CrossRef]
- Ferro, N.D.; Delmas, P.; Duwig, C.; Simonetti, G.; Morari, F. Coupling X-ray microtomography and mercury intrusion porosimetry to quantify aggregate structures of a cambisol under different fertilisation treatments. Soil Tillage Res. 2012, 119, 13–21. [Google Scholar] [CrossRef]
- Colombi, T.; Braun, S.; Keller, T.; Walter, A. Artificial macropores attract crop roots and enhance plant productivity on compacted soils. Sci. Total Environ. 2017, 574, 1283–1293. [Google Scholar] [CrossRef] [PubMed]
- Gill, J.; Sale, P.; Peries, R.; Tang, C. Changes in soil physical properties and crop root growth in dense sodic subsoil following incorporation of organic amendments. Field Crop. Res. 2009, 114, 137–146. [Google Scholar] [CrossRef]
- Ren, A.; Zhao, W.; Sumera, A.; Lin, W.; Ding, P.; Hao, R.; Wang, P.; Zhong, R.; Tong, J.; Gao, Z.; et al. Effects of tillage and seasonal variation of rainfall on soil water content and root growth distribution of winter wheat under rainfed conditions of the Loess Plateau, China. Agric. Water Manag. 2022, 268, 107533. [Google Scholar]
- Çelik, I.; Günal, H.; Acar, M.; Acir, N.; Barut, Z.B.; Budak, M. Strategic tillage may sustain the benefits of long-term no-till in a Vertisol under Mediterranean climate. Soil Tillage Res. 2018, 185, 17–28. [Google Scholar] [CrossRef]
- Schleuß, U.; Müller, F. Requirements for soil sampling in the context of ecosystem research. Sci. Total Environ. 2001, 264, 193–197. [Google Scholar] [CrossRef]
- Liu, X.; Zhang, X.; Chen, S.; Sun, H.; Shao, L. Subsoil compaction and irrigation regimes affect the root–shoot relation and grain yield of winter wheat. Agric. Water Manag. 2015, 154, 59–67. [Google Scholar] [CrossRef]
- Greve, A.; Andersen, M.; Acworth, R. Monitoring the transition from preferential to matrix flow in cracking clay soil through changes in electrical anisotropy. Geoderma 2012, 179–180, 46–52. [Google Scholar] [CrossRef]
- Zhang, Z.; Peng, X.; Zhou, H.; Lin, H.; Sun, H. Characterizing preferential flow in cracked paddy soils using computed tomography and breakthrough curve. Soil Tillage Res. 2014, 146, 53–65. [Google Scholar] [CrossRef]
- Xue, J.-F.; Ren, A.-X.; Li, H.; Gao, Z.-Q.; Du, T.-Q. Soil physical properties response to tillage practices during summer fallow of dryland winter wheat field on the Loess Plateau. Environ. Sci. Pollut. Res. 2017, 25, 1070–1078. [Google Scholar] [CrossRef] [PubMed]
- Sun, M.; Wen, F.-F.; Gao, Z.-Q.; Ren, A.-X.; Deng, Y.; Zhao, W.-F.; Zhao, H.-M.; Yang, Z.-P.; Hao, X.-Y.; Miao, G.-Y. Effects of Farming Practice during Fallow Period on Soil Water Storage and Yield of Dryland Wheat in Different Rainfall Years. Acta Agron. Sin. 2014, 40, 1459–1469. [Google Scholar] [CrossRef]
- Houlbrooke, D.; Laurenson, S. Effect of sheep and cattle treading damage on soil microporosity and soil water holding capacity. Agric. Water Manag. 2013, 121, 81–84. [Google Scholar] [CrossRef]
- Dhaliwal, J.K.; Kumar, S. 3D-visualization and quantification of soil porous structure using X-ray micro-tomography scanning under native pasture and crop-livestock systems. Soil Tillage Res. 2022, 218, 105305. [Google Scholar] [CrossRef]
- Budhathoki, S.; Lamba, J.; Srivastava, P.; Malhotra, K.; Way, T.R.; Katuwal, S. Using X-ray computed tomography to quantify variability in soil macropore characteristics in pastures. Soil Tillage Res. 2021, 215, 105194. [Google Scholar] [CrossRef]
- Menon, M.; Jia, X.; Lair, G.; Faraj, P.; Blaud, A. Analysing the impact of compaction of soil aggregates using X-ray microtomography and water flow simulations. Soil Tillage Res. 2015, 150, 147–157. [Google Scholar] [CrossRef]
- Tian, M.; Qin, S.; Whalley, W.R.; Zhou, H.; Ren, T.; Gao, W. Changes of soil structure under different tillage management assessed by bulk density, penetrometer resistance, water retention curve, least limiting water range and X-ray computed tomography. Soil Tillage Res. 2022, 221, 105420. [Google Scholar] [CrossRef]
- Zhou, H.; Peng, X.; Perfect, E.; Xiao, T.; Peng, G. Effects of organic and inorganic fertilization on soil aggregation in an Ultisol as characterized by synchrotron based X-ray micro-computed tomography. Geoderma 2013, 195–196, 23–30. [Google Scholar] [CrossRef]
- Qian, Y.; Xiong, P.; Wang, Y.; Zhang, Z.; Guo, Z.; Shao, F.; Peng, X. Effect of tillage practices on soilpore structure characteristics in Shajiang Black Soil. Acta Pedol. Sin. 2022. (In Chinese with English Abstract). [Google Scholar] [CrossRef]
- Yang, Y.H.; Wu, J.C.; Mao, Y.P.; He, F.; Zhang, J.M.; Gao, C.M.; Pan, X.Y.; Wang, Y. Effect of no-tillage on pore distribution in soil profile. Chin. J. Eco-Agric. 2018, 26, 1019–1028, (In Chinese with English Abstract). [Google Scholar]
- Guo, Y.; Fan, R.; Zhang, X.; Zhang, Y.; Wu, D.; McLaughlin, N.; Zhang, S.; Chen, X.; Jia, S.; Liang, A. Tillage-induced effects on SOC through changes in aggregate stability and soil pore structure. Sci. Total Environ. 2019, 703, 134617. [Google Scholar] [CrossRef]
Disclaimer/Publisher’s Note: The statements, opinions and data contained in all publications are solely those of the individual author(s) and contributor(s) and not of MDPI and/or the editor(s). MDPI and/or the editor(s) disclaim responsibility for any injury to people or property resulting from any ideas, methods, instructions or products referred to in the content. |
© 2023 by the authors. Licensee MDPI, Basel, Switzerland. This article is an open access article distributed under the terms and conditions of the Creative Commons Attribution (CC BY) license (https://creativecommons.org/licenses/by/4.0/).







