Large Shear Strength Parameters for Landslide Analyses on Highly Weathered Flysch
Abstract
:1. Introduction
2. Materials and Methods
2.1. Landslides and Engineering Geological Aspects of Flysch
2.2. Sampling Methodology
2.2.1. Panagopoula Area
2.2.2. Karya Village
2.2.3. Platanitis Area
2.3. Applied Methodology and Laboratory Testing
- Low density (loose) specimens were obtained by pouring the flysch material into the shear box carriage from a funnel with a very low drop height (up to 20 cm). The funnel was moved from the center to the periphery of the box and vice versa. This method produced an initial bulk unit weight (γb) range of 13.1 to 19.4 kN/m3.
- Dense specimens were prepared inside the apparatus carriage by manual dynamic compaction (tapping) in several layers so that the shear plane coincides with the middle of the central layer. A material with an initial bulk unit weight (γb) of 14.3 to 20.5 kN/m3 was produced.
- Both loose and dense specimens were tested in dry or wet conditions. The wet conditions included partially saturated (in different states of saturation) and saturated states to simulate all potential situations.
- Wet specimens were prepared by carefully mixing the soil material with a predetermined quantity of water and were tested in optimum dense conditions according to ASTM D1557 [39] (with Optimum Moisture Content OMC), partially saturated (with OMC + 2%), as well as fully saturated. An additional water content check was always performed in the shear zone material just after shearing.
- Saturated specimens were prepared in a two-step process. The first step is pouring (loose state) or tapping the material (dense state). The second step is pouring water into the carriage so that the water percolates very slowly upwards through the specimen (Figure 3). This procedure was used to avoid material segregation phenomena due to fine-grained contents.
- Consolidation loads were applied for 24 h in the loose normally-consolidated materials and about 3–4 h in the dense over-consolidated materials.
3. Results
3.1. Test Results and Discussion
3.1.1. Physical Characteristics and Mineralogy of the Material
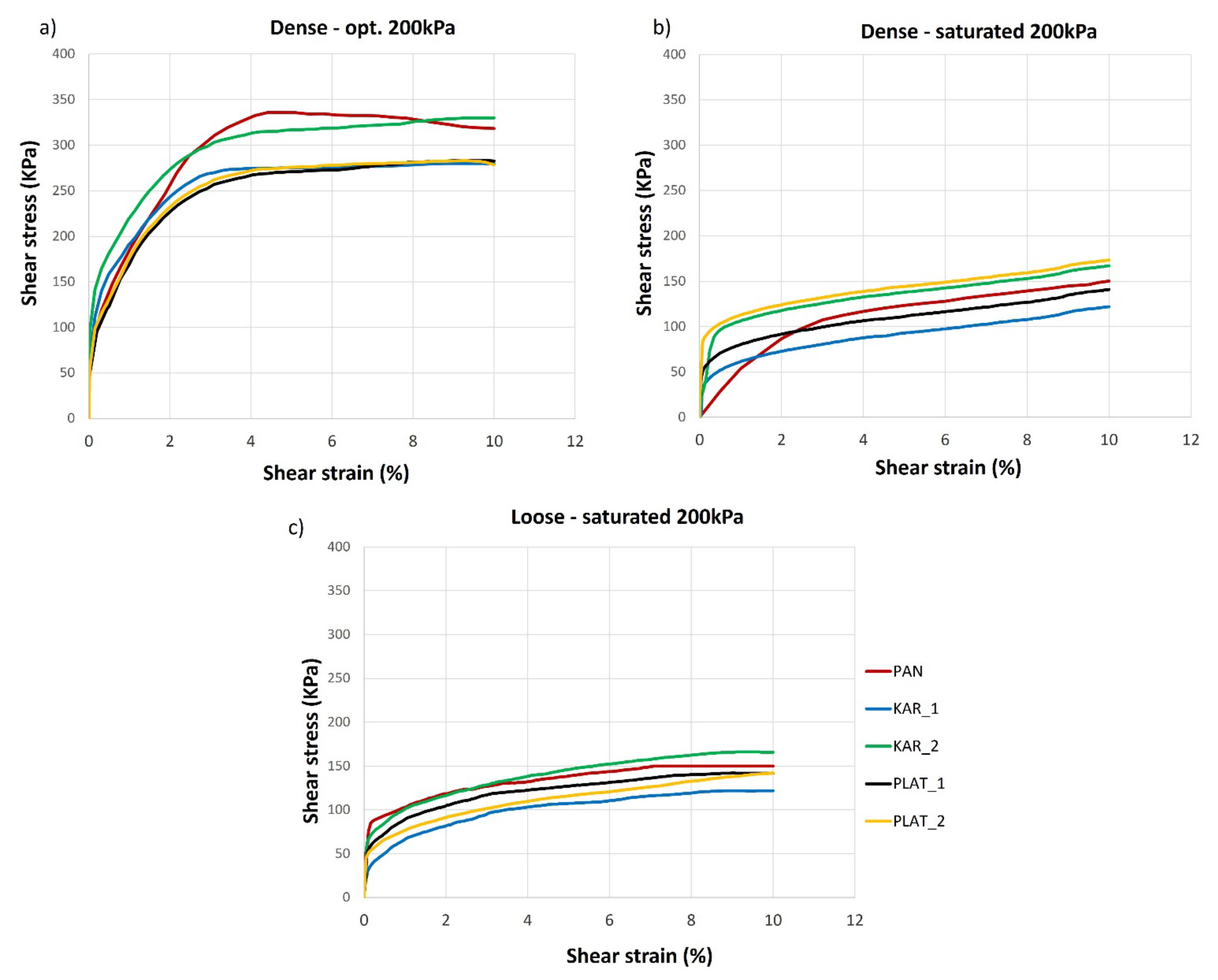
3.1.2. Shear Strength Characteristics
3.1.3. Back Analysis of the Sheared Material
4. Discussion
5. Conclusions
Author Contributions
Funding
Institutional Review Board Statement
Informed Consent Statement
Data Availability Statement
Acknowledgments
Conflicts of Interest
References
- Lambe, W.; Whitman, R. Soil Mechanics: Shear Strength of Cohesionless Soil; John Wiley and Sons: Hoboken, NJ, USA, 1969. [Google Scholar]
- Jewell, R.A. Direct Shear Tests on Sand. Géotechnique 1989, 39, 309–322. [Google Scholar] [CrossRef]
- Vithana, S.B.; Nakamura, S.; Gibo, S.; Yoshinaga, A.; Kimura, S. Correlation of Large Displacement Drained Shear Strength of Landslide Soils Measured by Direct Shear and Ring Shear Devices. Landslides 2012, 9, 305–314. [Google Scholar] [CrossRef]
- Wang, J.-J.; Zhang, H.-P.; Tang, S.-C.; Liang, Y. Effects of Particle Size Distribution on Shear Strength of Accumulation Soil. J. Geotech. Geoenviron. Eng. 2013, 139, 1994–1997. [Google Scholar] [CrossRef]
- Vivoda Prodan, M.; Arbanas, Ž. Analysis of the Possible Reactivation of the Krbavčići Landslide in Northern Istria, Croatia. Geosciences 2020, 10, 294. [Google Scholar] [CrossRef]
- Stark, T.D.; Eid, H.T. Drained Residual Strength of Cohesive Soils. J. Geotech. Eng. 1994, 120, 856–871. [Google Scholar] [CrossRef]
- Holtz, R.D.; Kovacs, W.D.; Sheahan, T.C. An Introduction to Geotechnical Engineering; Prentice-Hall: Hoboken, NJ, USA, 1981; Volume 733. [Google Scholar]
- Head, K.H. Manual of Soil Laboratory Testing. Volume 3: Effective Stress Tests; John Wiley & Sons: Chichester, UK, 1998. [Google Scholar]
- Price, D.G. Engineering Geology Principles and Practice; Springer: Berlin/Heidelberg, Germany, 2009. [Google Scholar]
- Stark, T.D.; Vettel, J.J. Bromhead Ring Shear Test Procedure. Geotech. Test. J. 1992, 15, 24–32. [Google Scholar] [CrossRef]
- Stark, T.D.; Choi, H.; Hangseok, C.; McCone, S. Drained Shear Strength Parameters for Analysis of Landslides. J. Geotech. Geoenviron. Eng. 2005, 131, 575–588. [Google Scholar] [CrossRef]
- Stark, T.D.; Hussain, M. Empirical Correlations: Drained Shear Strength for Slope Stability Analyses. J. Geotech. Geoenviron. Eng. 2013, 139, 853–862. [Google Scholar] [CrossRef]
- Kakou, B.G.; Shimizu, H.; Nishimura, S. Residual Strength of Colluvium and Stability Analysis of Farmland Slope. Agric. Eng. Int. CIGR J. 2001, 3, 1–12. [Google Scholar]
- Yu, M.; Huang, Y.; Deng, W.; Cheng, H. Forecasting Landslide Mobility Using an SPH Model and Ring Shear Strength Tests: A Case Study. Nat. Hazards Earth Syst. Sci. 2018, 18, 3343–3353. [Google Scholar] [CrossRef]
- Benac, Č.; Oštrić, M.; Dugonjić Jovančević, S. Geotechnical Properties in Relation to Grain-Size and Mineral Composition: The Grohovo Landslide Case Study (Croatia). Geol. Croat. 2014, 67, 127–136. [Google Scholar] [CrossRef]
- Raghunandan, M.; Juneja, A.; Hsiung, B. Preparation of Reconstituted Sand Samples in the Laboratory. Int. J. Geotech. Eng. 2012, 6, 125–131. [Google Scholar] [CrossRef]
- Tabaroei, A.; Abrishami, S.; Hosseininia, E.S. Comparison between Two Different Pluviation Setups of Sand Specimens. J. Mater. Civ. Eng. 2017, 29, 04017157. [Google Scholar] [CrossRef]
- Knudsen, S. The International Society for Soil Mechanics and Geotechnical Engineering. Effect of Reconstitution Techniques on the Triaxial Stress Strength Behaviour of a very Dense Sand. 2019. Available online: https://www.issmge.org/publications/publication/effect-of-reconstitution-techniques-on-the-triaxial-stress-strength-behaviour-of-a-very-dense-sand (accessed on 19 July 2022).
- Anagnostopoulou, S.; Boumpoulis, V.; Lampropoulou, P.; Servou, A.; Depountis, N.; Sabatakakis, N. The Behavior of the Highly Weathered and Partially Decomposed Flysch in the Reactivation of Landslide Phenomena in Greece. In IAEG/AEG Annual Meeting Proceedings, San Francisco, California, 2018-Volume 1; Springer: Cham, Switzerland, 2019; pp. 119–124. [Google Scholar] [CrossRef]
- Christoulas, S.; Kalteziotis, N.; Gassios, E.; Sabatakakis, N.; Tsiambaos, G. Instability Phenomena in Weathered Flysch in Greece. In International Symposium on Landslides, Proceedings of the 5th International Symposium on Landslides, Lausanne, Switzerland, 10–15 July 1988; Publication Rotterdam: Rotterdam, Switzerland, 1988; pp. 103–108. [Google Scholar] [CrossRef]
- Nakao, T.; Fityus, S. Direct Shear Testing of a Marginal Material Using a Large Shear Box. Geotech. Test. J. 2008, 31, 393–403. [Google Scholar] [CrossRef]
- Tanghetti, G.; Goodey, R.J.; Divall, S.; McNamara, A.M.; Mckinley, B. Design and Development of a Large Shear Box for Testing Working Platform Material. In Proceedings of the ECSMGE—2019. XVII European Conference on Soil Mechanics and Geotechnical Engineering, Reykjavik, Iceland, 1 September 2019. [Google Scholar]
- Vannucci, S.; D’Amato Avanzi, G.; Galanti, Y.; Giannecchini, R.; Lo Presti, D.; Capilleri, P.P. Strength Parameters of Debris Using a Large Shear Box Apparatus: Application to a Case History. Rock Mech. Rock Eng. 2019, 52, 4421–4437. [Google Scholar] [CrossRef]
- Doutsos, T.; Koukouvelas, I.; Poulimenos, G.; Kokkalas, S.; Xypolias, P.; Skourlis, K. An Exhumation Model of the South Peloponnesus, Greece. Int. J. Earth Sci. 2000, 89, 350–365. [Google Scholar] [CrossRef]
- Kavoura, K.; Konstantopoulou, M.; Depountis, N.; Sabatakakis, N. Slow-moving landslides: Kinematic analysis and movement evolution modeling. Environ. Earth Sciences 2020, 79, 130. [Google Scholar] [CrossRef]
- Sabatakakis, N.; Koukis, G.; Vassiliades, E.; Lainas, S. Landslide Susceptibility Zonation in Greece. Nat. Hazards 2013, 65, 523–543. [Google Scholar] [CrossRef]
- Kavoura, K.; Sabatakakis, N. Investigating Landslide Susceptibility Procedures in Greece. Landslides 2020, 17, 127–145. [Google Scholar] [CrossRef]
- Lainas, S.; Sabatakakis, N.; Koukis, G. Rainfall Thresholds for Possible Landslide Initiation in Wildfire-Affected Areas of Western Greece. Bull. Eng. Geol. Environ. 2016, 75, 883–896. [Google Scholar] [CrossRef]
- Lainas, S.; Depountis, N.; Sabatakakis, N. Preliminary Forecasting of Rainfall-Induced Shallow Landslides in the Wildfire Burned Areas of Western Greece. Land 2021, 10, 877. [Google Scholar] [CrossRef]
- Vivoda Prodan, M.; Mileusnić, M.; Mihalić Arbanas, S.; Arbanas, Ž. Influence of Weathering Processes on the Shear Strength of Siltstones from a Flysch Rock Mass along the Northern Adriatic Coast of Croatia. Bull. Eng. Geol. Environ. 2017, 76, 695–711. [Google Scholar] [CrossRef]
- Koukis, G.; Sabatakakis, N.; Ferentinou, M.; Lainas, S.; Alexiadou, X.; Panagopoulos, A. Landslide Phenomena Related to Major Fault Tectonics: Rift Zone of Corinth Gulf, Greece. Bull. Eng. Geol. Environ. 2009, 68, 215–229. [Google Scholar] [CrossRef]
- Chousianitis, K.; Del Gaudio, V.; Sabatakakis, N.; Kavoura, K.; Drakatos, G.; Bathrellos, G.D.; Skilodimou, H.D. Assessment of Earthquake-Induced Landslide Hazard in Greece: From Arias Intensity to Spatial Distribution of Slope Resistance Demand. Bull. Seism. Soc. Am. 2016, 106, 174–188. [Google Scholar] [CrossRef]
- Sabatakakis, N.; Tsiambaos, G.; Rondoyanni, T.; Papanakli, S.; Kavoura, K. Deep-Seated Structurally Controlled Landslides of Corinth Gulf Rift Zone, Greece: The Case of Panagopoula Landslide. In Proceedings of the 3th ISRM International Congress of Rock Mechanics, Montreal, Canada, 10 May 2015. [Google Scholar]
- Aversa, S.; Kavoura, K.; Sabatakakis; Tsiambaos, N. Long Term Ground Displacements Due to a Large Landslide in Western Greece. In Landslides and Engineered Slopes. Experience, Theory and Practice; CRC Press: Boca Raton, FL, USA, 2016; pp. 1177–1181. [Google Scholar] [CrossRef]
- Sabatakakis, N.; Koukis, G.; Mourtas, D. Composite Landslides Induced by Heavy Rainfalls in Suburban Areas: City of Patras and Surrounding Area, Western Greece. Landslides 2005, 2, 202–211. [Google Scholar] [CrossRef]
- Tsiambaos, G.; Sabatakakis, N.; Rondoyanni, T.; Depountis, N.; Kavoura, K. Composite Landslides Affecting Flysch and Neogene Weak Rock Formations Induced by Heavy Rainfalls. In Proceedings of the 13th ISRM International Congress of Rock Mechanics, Montreal, Canada, 10 May 2015. [Google Scholar]
- D3080-11; Test Method for Direct Shear Test of Soils Under Consolidated Drained Conditions. American Society for Testing and Materials (ASTM): West Conshohocken, PA, USA, 2011.
- EN 1997-2:2007; Eurocode 7-Geotechnical design-Part 2: Ground investigation and testing. European Committee for Standardization: Brussels, Belgium, 2006.
- D1557-12; Test Methods for Laboratory Compaction Characteristics of Soil Using Modified Effort (56,000 Ft-Lbf/Ft3 (2700 KN-m/M3)). American Society for Testing and Materials (ASTM): West Conshohocken, PA, USA, 2012.
- D6467-21e01; Test Method for Torsional Ring Shear Test to Determine Drained Residual Shear Strength of Fine-Grained Soils. American Society for Testing and Materials (ASTM): West Conshohocken, PA, USA, 2021.
- Bromhead, E.N. A Simple Ring Shear Apparatus. Ground Eng. 1979, 12, 40–44. [Google Scholar]
- Bromhead, E.N. The Stability of Slopes; Surrey University Press: London, UK, 1986; p. 373. [Google Scholar]
- Skempton, A.W. Residual Strength of Clays in Landslides, Folded Strata and the Laboratory. Géotechnique 1985, 35, 3–18. [Google Scholar] [CrossRef]
- Taylor, D.W. Fundamentals of Soil Mechanics; John Wiley and Sons: Hoboken, NJ, USA, 1948. [Google Scholar]
- Yu, H.; Houlsby, G. Finite Cavity Expansion in Dilatant Soils: Loading Analysis. Géotechnique 1991, 41, 173–183. [Google Scholar] [CrossRef]
- Cox, M.R.B. The Influence of Grain Shape on Dilatancy; The University of Arizona: Tucson, AZ, USA, 2008. [Google Scholar]
- Georgiannou, V.N.; Burland, J.B.; Hight, D.W. The Undrained Behaviour of Clayey Sands in Triaxial Compression and Extension. Géotechnique 1990, 40, 431–449. [Google Scholar] [CrossRef]
- Atkinson, J. An Introduction to the Mechanics of Soils and Foundations: Through Critical State Soil Mechanics; McGraw-Hill Book Company (UK) Ltd: London, UK, 1993. [Google Scholar]
- Skempton, A.W. Long-Term Stability of Clay Slopes. Géotechnique 1964, 14, 77–102. [Google Scholar] [CrossRef]
- Hutchinson, J.N. A Reconsideration of the Coastal Landslides at Folkestone Warren, Kent. Géotechnique 1969, 19, 6–38. [Google Scholar] [CrossRef]
- Bromhead, E.N.; Dixon, N. The Field Residual Strength of London Clay and Its Correlation with Loboratory Measurements, Especially Ring Shear Tests. Géotechnique 1986, 36, 449–452. [Google Scholar] [CrossRef]
- Mesri, G.; Shahien, M. Residual Shear Strength Mobilized in First-Time Slope Failures. J. Geotech. Geoenviron. Eng. 2003, 129, 12–31. [Google Scholar] [CrossRef]
- D’Appolonia, E.; Alperstein, R.; D’Appolonia, D.J. Behavior of a Colluvial Slope. J. Soil Mech. Found. Div. 1967, 93, 447–473. [Google Scholar] [CrossRef]
- Angeli, M.-G.; Pasuto, A.; Silvano, S. Towards the Definition of Slope Instability Behaviour in the Alverà Mudslide (Cortina d’Ampezzo, Italy). Geomorphology 1999, 30, 201–211. [Google Scholar] [CrossRef]
- Angeli, M.-G.; Gasparetto, P.; Bromhead, E. Strength-Regain Mechanisms in Intermittently Moving Slides. 2004. Available online: https://www.researchgate.net/publication/281826436_Strength-Regain_Mechanism_in_Intermittently_Moving_Slides (accessed on 19 July 2022).
- Huvaj-Sarihan, N. Movement of Reactivated Landslides; University of Illinois at Urbana-Champaign: Urbana-Champaign, IL, USA, 2009. [Google Scholar]
- Mesri, G.; Huvaj-Sarihan, N. Residual Shear Strength Measured by Laboratory Tests and Mobilized in Landslides. J. Geotech. Geoenviron. Eng. 2012, 138, 585–593. [Google Scholar] [CrossRef]
- Chandler, R.J. The Effect of Weathering on the Shear Strength Properties of Keuper Marl. Géotechnique 1969, 19, 321–334. [Google Scholar] [CrossRef]
- Hawkins, A.B.; McDonald, C. Decalcification and Residual Shear Strength Reduction in Fuller’s Earth Clay. Géotechnique 1992, 42, 453–464. [Google Scholar] [CrossRef]
- Tiwari, B.; Brandon, T.L.; Marui, H.; Tuladhar, G.R. Comparison of Residual Shear Strengths from Back Analysis and Ring Shear Tests on Undisturbed and Remolded Specimens. J. Geotech. Geoenviron. Eng. 2005, 131, 1071–1079. [Google Scholar] [CrossRef]
- Au, S.W.C. Rain-Induced Slope Instability in Hong Kong. Eng. Geol. 1998, 51, 1–36. [Google Scholar] [CrossRef]
- Bromhead, E.N. Landslide Slip Surfaces: Their Origins, Behaviour and Geometry. Landslides 2004, 1, 3–21. [Google Scholar]
- Ukleja, J. Stabilization of Landslides Sliding Layer Using Electrokinetic Phenomena and Vacuum Treatment. Geosciences 2020, 10, 284. [Google Scholar] [CrossRef]











| Site (SYMBOL) | Geological Sequence—Age | Flysch Material Description (SYMBOL) | Sampling Location |
|---|---|---|---|
| Panagopoula coastal area (PAN) | Olonos Pindos—Eocene | Light grey to brownish grey highly sheared and weathered “clayey-silty” flysch (PAN) | rupture surface zone (21–26 m depth) using T6S core barrel |
| Karya village (KAR) | Olonos Pindos—Eocene | Brownish red to dark red highly sheared and weathered “clayey-silty” flysch (KAR1) | rupture surface zone (using a compact excavator) |
| Light grey to grey highly sheared and weathered “clayey-silty” flysch (KAR2) | rupture surface zone (16–22 m depth) using T6S core barrel | ||
| Platanitis area (PLAT) | Gavrovo—Eocene | Yellowish brown weathered “psammitic” flysch (PLAT1) | rupture surface zone (using a compact excavator) |
| Brownish grey weathered “psammitic” flysch (PLAT2) |
| Specimen Preparation State | Specimen Preparation Technique | Pre-Consolidation (Initial Stage) | Post Shearing (Final Stage) | ||||||
|---|---|---|---|---|---|---|---|---|---|
| Material Density | Moisture Content | γbi (kN/m3) | wi (%) | ei | γbf (kN/m3) | wf (%) | ef | ||
| loose | (1) Dry | poured material | dried in 100 °C | 13.1–14.0 | dry | 0.84–0.92 | 14.0–16.0 | dry | 0.70–0.88 |
| (2) Fully saturated | poured material | water percolation | 14.2–19.4 | 19.0–21.0 | 0.73–0.86 | 17.2–20.5 | 15.0–21.0 | 0.49–0.80 | |
| dense | (3) Dry | compacted in 3 layers | dried in 100 °C | 14.3–16.2 | dry | 0.60–0.78 | 14.7–17.3 | dry | 0.50–0.76 |
| (4) Optimum | compacted in 3 layers | close to OMC | 18.5–20.3 | 7.2–10.5 | 0.32–0.46 | 19.5–21.7 | 7.0–9.5 | 0.31–0.41 | |
| (5) Partially saturated | compacted in 3 layers | close to OMC + 2% | 18.7–20.4 | 9.5–11.3 | 0.31–0.37 | 19.4–21.3 | 9.0–11.0 | 0.30–0.32 | |
| (6) Fully saturated | compacted dry in 3 layers | water percolation | 18.9–20.5 | 17.0–21.5 | 0.33–0.57 | 16.6–21.3 | 16.0–21.0 | 0.30–0.52 | |
| Material Classification Tests | Proctor Test | X-ray Diffraction | ||||||||||||
|---|---|---|---|---|---|---|---|---|---|---|---|---|---|---|
| Site-Sample | Fine gravel (%) | Sand (%) | Silt (%) | Clay (%) | WL | IP | USCS Classifi-cation D2487 | Wopt (%) | γd (kN/m3) | Q (%) | Ca (%) | Pl (%) | Sm-Ch (%) | Ill-M (%) |
| PAN | 6 | 53 | 27 | 14 | 21 | 9 | SC | 8.0 | 20.50 | 37 | 39 | 10 | 8 | 6 |
| KAR1 | 3 | 61 | 20 | 16 | 31 | 14 | SC | 8.7 | 20.35 | 50 | 18 | 9 | - | 23 |
| KAR2 | 10 | 57 | 16 | 17 | 33 | 8 | SM | 8.8 | 19.60 | 46 | 23 | 10 | 11 | 10 |
| PLAT1 | 18 | 60 | 12 | 10 | 31 | 9 | SC | 9.0 | 19.95 | 44 | 27 | 9 | 11 | 9 |
| PLAT2 | 15 | 58 | 15 | 12 | 32 | 16 | SC | 9.2 | 19.80 | 33 | 44 | 12 | 8 | 3 |
| State of Flysch Material | Effective Angle of Friction φ’ (o) | Effective Apparent Cohesion c’ (kPa) * |
|---|---|---|
| Loose-dry | >40 | >100 |
| Dense–dry | >40 | >100 |
| Dense–OPT | 35–40 | >100 |
| Dense–OPT + 2% | 30–35 | 50–100 |
| Dense–saturated | 25–30 | <30 |
| Loose–saturated |
| Effective Friction Angle (Degrees) | ||||||
|---|---|---|---|---|---|---|
| Large Shear test | Specimen preparation state | Panagopoula area | Karya village | Platanitis area | ||
| PAN | KAR1 | KAR2 | PLAT1 | PLAT2 | ||
| Loose-Dry | 40–60 | |||||
| Loose-Fully saturated | 26 | 30 | 28 | 28 | 26 | |
| Dense-Dry | 45–57 | |||||
| Dense-Optimum | 35 | 36 | 38 | 38 | 40 | |
| Dense-Partially saturated | 35 | 35 | 31 | 33 | 35 | |
| Dense-Fully saturated | 25 | 28 | 25 | 28 | 30 | |
| Ring Shear test (Bromhead) | 22.5 | 23.3 | 24 | 24.6 | 24.1 | |
Publisher’s Note: MDPI stays neutral with regard to jurisdictional claims in published maps and institutional affiliations. |
© 2022 by the authors. Licensee MDPI, Basel, Switzerland. This article is an open access article distributed under the terms and conditions of the Creative Commons Attribution (CC BY) license (https://creativecommons.org/licenses/by/4.0/).
Share and Cite
Anagnostopoulou, S.; Depountis, N.; Sabatakakis, N.; Pelekis, P. Large Shear Strength Parameters for Landslide Analyses on Highly Weathered Flysch. Land 2022, 11, 1353. https://doi.org/10.3390/land11081353
Anagnostopoulou S, Depountis N, Sabatakakis N, Pelekis P. Large Shear Strength Parameters for Landslide Analyses on Highly Weathered Flysch. Land. 2022; 11(8):1353. https://doi.org/10.3390/land11081353
Chicago/Turabian StyleAnagnostopoulou, Sofia, Nikolaos Depountis, Nikolaos Sabatakakis, and Panagiotis Pelekis. 2022. "Large Shear Strength Parameters for Landslide Analyses on Highly Weathered Flysch" Land 11, no. 8: 1353. https://doi.org/10.3390/land11081353
APA StyleAnagnostopoulou, S., Depountis, N., Sabatakakis, N., & Pelekis, P. (2022). Large Shear Strength Parameters for Landslide Analyses on Highly Weathered Flysch. Land, 11(8), 1353. https://doi.org/10.3390/land11081353

