Next Article in Journal
Negative Associations between Quality of Urban Green Spaces and Health Expenditures in Downtown Shanghai
Next Article in Special Issue
Evaluating the Public Participation Processes in Community Regeneration Using the EPST Model: A Case Study in Nanjing, China
Previous Article in Journal
Sustainable Forest, Beautiful Forest, Well-Managed Forest: Attitudes towards Land Management and Their Influence on the Perception of a Mediterranean Agroforestry Landscape
Previous Article in Special Issue
How Governance Tools Facilitate Citizen Co-Production Behavior in Urban Community Micro-Regeneration: Evidence from Shanghai
 
 
Font Type:
Arial Georgia Verdana
Font Size:
Aa Aa Aa
Line Spacing:
Column Width:
Background:
Article

Evaluation and Optimization on Urban Regeneration Sustainability from the Perspective of Multidimensional Welfare of Resettled Resident—Evidence from Resettlement Communities in Xi’an, China

1
School of Management, Xi’an University of Architecture and Technology, Xi’an 710055, China
2
Research Center of Green Development and Mechanism Innovation of Real Estate Industry in Shaanxi Province, Xi’an University of Architecture and Technology, Xi’an 710055, China
*
Author to whom correspondence should be addressed.
Land 2022, 11(8), 1258; https://doi.org/10.3390/land11081258
Submission received: 9 July 2022 / Revised: 31 July 2022 / Accepted: 4 August 2022 / Published: 6 August 2022
(This article belongs to the Special Issue Urban Regeneration and Sustainable Construction Management)

Abstract

:
Urban regeneration is an important means for building sustainable cities and implementing China’s high-quality development strategy. In this paper, a sustainable regeneration PSR (Pressure-State-Response) model was established, and a state-layer evaluation model was constructed based on the perspective of resettled residents’ multidimensional welfare. Through questionnaire surveys with 210 centralized resettled households in Xi’an, China, the changes in the living conditions of resettled residents before and after the centralized resettlement were measured, the differentiation in individual changes were explored, and the sustainability of urban regeneration was evaluated, so as to optimize the sustainability of urban regeneration. The results show that, before and after urban regeneration, the changes at the state layer are not obvious on the whole. The sharp decline of social dimension welfare indicates that urban regeneration generates some new pressures while alleviating the imbalance of social development, and at the response layer, there is not sufficient attention to the residents’ emotions at the social level. Changes in the state layer are different due to individual characteristics, but there is no matching differentiated response to maintain the stability of the state. The research results are of great significance for optimizing residents’ welfare and solving the problems of sustainable regeneration from the perspective of humanistic welfare.

1. Introduction

Urban regeneration is usually aimed at improving environmental quality and land value at the same time, solving urban decay, and enhancing urban inclusiveness for the disadvantaged [1]. Before and after the Second World War, large-scale demolition and reconstruction improved the urban environment, but also caused heavy economic burden, social injustice, and disappearance of the context and other problems. Then, under the influence of Keynesianism, neoliberalism, and other ideological trends, urban regeneration successively entered the community regeneration stage with the color of national welfare theory and the old city regeneration stage guided by real estate development [2]. The regeneration activity has effectively alleviated urban problems such as housing shortage and economic recession, and at the same time has paid a painful price in resources and environment [3]. With the change of economic, social, and political environment, Western urban regeneration has gradually shifted from large-scale demolition and reconstruction to multi-dimensional community regeneration, and the concept of sustainability has gradually been integrated into modern urban regeneration in Western countries. The application of the concept of sustainable development in the field of urban regeneration was first seen in the research on the redevelopment of “brownfield”, focusing on the restoration of vegetation and ecosystem attached to contaminated land [4]. With the diversification of urban regeneration objectives, the connotation of sustainable development gradually extends to environmental, social, economic, and other aspects. However, in the current practice of urban regeneration, the sustainable development strategy mainly focuses on the macro conceptual cognition layer, and there is still a lack of effective intervention means in the actual operation. In addition, studies focus on infrastructure and architecture, urban economy, land value, and environmental improvement, while immigrant communities, as important stakeholders in urban regeneration, have received less attention [1,5,6].
Influenced by global environment and the rapid development of urbanization, China’s urbanization process gradually enters a stage of high-quality development. In the past three decades, China has undergone an unprecedented urbanization process, followed by large-scale rural-to-urban migration and a huge increase in urban built-up areas resulting from rapid economic growth and the extension of urban boundaries [7,8]. In the process of large-scale reconstruction, a large number of resettlement communities have emerged. The demolition and resettlement led to the collapse of the social structure of resettled residents, bringing hidden dangers to urban development. If the welfare of the residents is not guaranteed, social stability will inevitably be affected.
This study constructed a PSR sustainable regeneration model based on the welfare perspective of resettled residents at the micro level. The model includes three layers: “pressure layer”, “state layer”, and “response layer”. The “state layer“ needs to reflect the living conditions of the resettled residents in the sustainable regeneration system so as to analyze the regeneration sustainability. Taking six resettlement communities in Xi’an, China as an example, the author established a comprehensive living status measurement system for resettled residents—a multidimensional welfare measurement system to measure their welfare level from the state layer. In addition, combined with the interviews of the resettlement residents, the system was used to explore the basic information and stability of sustainable regeneration system at the state layer, and to explore the shortcomings of the response layer in the sustainable regeneration system, so as to provide targeted suggestions for the sustainable regeneration issues.
The rest of this paper is structured as follows. First, the relevant literature is reviewed; the third part is the explanation of theoretical model and research method; the fourth part shows the empirical study of urban sustainable regeneration; the fifth part represents the discussion of empirical research results; and the sixth part provides the conclusion and suggestion.

2. Literature Review

2.1. The Life Changes of Resettlement Communities under the Background of Urban Regeneration

Currently, when it comes to the research on the life changes of resettlement communities in urban regeneration, scholars mainly focus on the relationship between environmental factors and community factors. As the living cost of the regeneration area is increased after urban regeneration, it is possible that a relocation policy which is beneficial to life will be made according to its own ability layer. Low capital endowment causes a certain group isolation effect in the residential space of the resettlement communities. Although the housing environment has been significantly improved, the rupture of social network has resulted in the reduction of neighborhood contacts and social support and has lowered the social capital layer of the resettlement communities [9]. In addition, some scholars have pointed out through empirical studies that the livelihood and quality of life of the resettlement communities have also been adversely affected during urban regeneration. Resettlement communities are directly at risk of loss of employment opportunities, increased commuting costs, and a lack of accessible public services such as education and health care. The spatial dislocation between the resettlement location and the ideal position is the primary factor for the employment change of the low-income resettlement community after relocation [10,11].
In order to comprehensively reflect the life changes caused by the regeneration behavior of immigrant communities, some scholars began to adopt the study of residents’ life satisfaction as the main research method. According to Maslow’s hierarchy of Needs theory, in terms of China’s current socio-economic layer, material environment has no significant impact on life satisfaction, while social dependence within the community, especially neighborhood social attachment, is an important determinant [12]. Socioeconomic background is also a major determinant of life satisfaction in immigrant communities, such as age, gender, education layer, family structure, and economic status [13].
However, the research on satisfaction has strong objectivity, so the research from the perspective of group welfare gradually occupies a certain position. In welfare measurement, objective indexes reflecting the actual situation or living environment of the community are usually based on the multidimensional perspectives to construct a comprehensive welfare index system, and then use mathematical methods to calculate and obtain the welfare layer [14]. Welfare itself is not an objective and quantifiable concept, which is characterized by fuzziness and complexity in nature. In 1965, American Professor Zade proposed the method of fuzzy mathematics, providing a brand-new idea for solving such problems [15]. Then, many scholars began to use fuzzy mathematics to study welfare issues, transforming qualitative evaluation into a quantitative evaluation according to the membership degree theory of fuzzy mathematics [16]. The welfare of resettlement communities is not only reflected in the accessibility to the quantity and quality of material resources, but also includes the transformation of their own endowments, such as physical and mental health, knowledge and education, social relations, and subjective feelings, etc. [17]. In traditional welfare studies, the conceptualized subjective well-being or satisfaction degree was often used as the evaluation standard to measure welfare, ignoring the potential content of the welfare subject. The feasible capability method was widely regarded as a more complete and comprehensive method in group welfare research because it considers the functional transformation relationship between the capability of welfare groups and external resources and covers multiple dimensions of welfare [18].

2.2. Urban Regeneration and Sustainable Development

Urban regeneration is an important process of urban development. In response to a series of urban problems such as hazardous old areas, environmental pollution, traffic congestion, inadequate facilities, and economic recession, urban regeneration campaigns have been carried out all over the world [2,19]. Before the 1860s, the main focus of urban regeneration was to eliminate slums and improve the material living standards of residents. Most early regeneration projects relied on the political will or capacity of the central government, but lacked community involvement [20,21,22]. China’s research on urban regeneration experience first appeared around 2000. With the continuous advancement of the urban regeneration process, the research on urban regeneration in my country is also increasing. Lin and Hsing (2009) used the urban regeneration in the Baoan Temple area as a case study to discuss the role of community mobilization in the urban regeneration process [23], emphasizing the role of cultural resources in urban regeneration and believing that the use of cultural resources is not dominated by national power, but should be supported by communities and institutions. Yang and Chang (2016) used the Shanghai Taipingqiao urban regeneration project as a case to clarify the new public–private partnership development mechanism behind the urban regeneration, and believed that in the urban regeneration, the government and foreign capital can ally to promote growth [24]. Urban regeneration involves multiple participants, and public participation plays an important role in the process of urban regeneration. However, in Chinese urban regeneration, the masses often lack channels to participate in urban regeneration. Li et al. (2020) established a community participation model to analyze how multiple stakeholders make decisions and promote cooperation between the government and the public [25].
The term “sustainable development” was introduced in the 1970s, but it was not until the 1990s that it was gradually incorporated into urban regeneration [26]. Sustainability is a complex concept, compounded by the fact that there is no universally agreed definition of sustainability, and an increasing number of studies have attempted to conceptualize sustainability in urban regeneration in different contexts [27]. Lorr (2012) reviews three common approaches to sustainability theory: a fairness and justice perspective across and within generations, a comprehensive environmental, economic, equitable change perspective, and a free-market greening perspective [28]. These approaches have been applied in the context of North American cities and have provided a working definition of urban sustainability that has influenced the way cities develop to some extent, emphasizing the coordination of various elements at the eco-economic and social layers and their role in promoting urban development [29,30].

2.3. Evaluation on Urban Regeneration Sustainability

It is generally accepted that the evaluation of the regeneration plan is conducive to the improvement of the regeneration plan [31]. In order to realize the sustainable development of regeneration behavior, the sustainable regeneration is evaluated from the perspective of results, so as to achieve the purpose of improving the regeneration strategy [32]. Some scholars focusing solely on economic and social aspects. For example, Baeing (2012) has studied the impact of urban housing regeneration in the poorest areas of England by assessing housing markets, housing density, and population growth [33]. While a handful of papers address the environmental aspects of urban regeneration projects, Collier (2011) discusses how long-term changes from a regeneration project in Greater Manchester, UK, might be affected by local congestion and air quality [34]. Similarly, the impact of proposed development on air quality was assessed in a 6.6-hectare case study in Lancaster, UK [35]. However, there is a lack of research from the perspective of sustainable living conditions of resettlement communities.
In terms of assessment methods, Hemphill (2004) has developed an index-based assessment of urban regeneration, which shows that indicators can be used to comprehensively assess the performance of individual institutions and interventions, the cost-effectiveness of primary regeneration activities, and the effectiveness of partnerships to improve economic well-being [31]. Although there are many sets of metrics or frameworks, there is no consensus on the application of this approach. Based on the principles of building distinctive communities, promoting equity, improving the environment and invigorating the economy, Ng (2005) developed the Quality of Life indicators for assessing Hong Kong’s sustainable regeneration [36]. In addition, Williams (2007) proposes a framework for assessing the sustainability of brownfield development, which includes land reuse stakeholders and assessing sustainability goals to be achieved on reuse sites [37].
In summary, in terms of research content, the current research on urban regeneration sustainability are mostly from a macro perspective, and some studies have constructed a whole process index system to assess the sustainability of urban regeneration from social and economic dimensions, and some scholars have conducted studies on continuous regeneration models. However, not enough attention has been paid to the most important stakeholder—“people”—in the regeneration behavior. In the context of new urbanization with people as the core, urban regeneration is required to change from physicalism, which emphasizes the improvement of physical environment, to humanism, which comprehensively improves people’s quality of life. Therefore, from the perspective of resettled residents’ welfare, this study evaluates the state layer of the regeneration model according to the PSR sustainable regeneration model and analyzes the shortcomings of the sustainable regeneration link in the model based on the evaluation results. In terms of research methodology at state layer, although qualitative research can better describe the logical relationship between things, it is limited by the attributes of the subject and object in social phenomena, which is not conducive to the sublimation of empirical research findings. Thus, the qualitative research needs to be further combined with the quantitative research through the mathematical analysis of a large number of welfare variable data, which finally can more accurately explore the changes in the social welfare state of resettlement communities.

3. Theoretical Models and Research Methods

3.1. Sustainable Regeneration PSR Model from the Perspective of Multidimensional Welfare

The PSR (Pressure-State-Response) model was proposed by the Organization for Economic Cooperation and Development (OECD) to evaluate environmental systems. By analyzing the causal relationship between Pressure (P) and State (S), this model describes and explains the causes, performance, and measures of research issues, and responds to these issues through government decision-making and public participation to change the current state [38].
Based on the connotation of sustainable regeneration and the state quo of China’s regeneration, the PSR model involved various elements that were analyzed to form a sustainability analysis model of urban regeneration from a humanistic perspective, as shown in Figure 1. The state layer was taken as the starting point and end point of the analysis framework, with the ultimate goal of improving the state. By analyzing the welfare changes and differences at the state layer, it is found that the regeneration behavior generates and changes the welfare state of residents under the situation that the urban development is gradually unbalanced and puts pressure on society. However, while improving the welfare of residents, new problems arise due to the significant changes in the living environment, which causes new pressure on society. When the state layer undergoes changes and the original pressure is relieved, the response layer needs to give the response of the state layer and the pressure layer according to the information feedback of the state layer.

3.2. Research Method

3.2.1. Fuzzy Comprehensive Evaluation Method

  • Setting of Fuzzy Function
The selection and setting of the fuzzy function are mainly the nature of the evaluation index, the research background, and the source of the data. Given that the samples were selected from Xi’an, with the same type and the same functional model used, the welfare state of the resettled residents is represented as a fuzzy set X. Suppose that the welfare constituted by various functional activities that may change after the act of resettlement is a subset W of X, then the welfare function of the i-th resettled resident can be expressed as W I = { x , μ w x }, where xX, and μ w x is the degree of membership of x to W, μ w x 0 , 1 . The larger the membership value is, the higher the welfare level is.
  • Setting of the Membership Function
The indexes selected in this paper can be divided into binary indexes, continuous indexes, and virtual qualitative indexes. The membership function of the binary index is as follows:
μ ( x i j ) 1 , x i j = 1 0 , x i j = 0
The membership function of continuity index is as follows:
μ ( x i j ) 0 , 0 x i j x i j min x i j x i j min x i j max x i j min , x i j min x i j x i j max 1 , x i j x i j max
μ ( x i j ) 1 , 0 x i j x i j min x i j max x i j x i j max x i j min , x i j min x i j x i j max 0 , x i j x i j max
The Formulas (2) and (3) are the positive index and negative index, respectively. x i j max and x i j min represent the maximum value and minimum value of indexes respectively.
The third category is virtual qualitative index. Generally speaking, there are m cases of the value of this kind of index, and the values are assigned to these m cases respectively, and then the membership degree is calculated according to the continuity index of the table, namely Formula (2).
  • Index Summation
Different primary indexes have different degrees of influence on the overall welfare, and it is necessary to combine theory and practice to assign different weights to each index. In order to try to ensure the objectivity of the study, the objective assignment method was used to weigh the indexes, and the objective assignment method employed the definition of weight structure proposed by Cheli and Lemmi (1995) [39].
ω i j = ln [ 1 μ ( x i j ) ¯ ] , μ ( x i j ) ¯ = 1 n p = 1 n μ ( x i j ) ( p )
μ ( x i j ) represents the mean value of the membership degree of primary index x ij of n-th resettled residents. This assignment method is sufficient to ensure that a larger weight value is given to the variable with a smaller membership degree, satisfying the loss aversion principle in behavioral economics. However, when the membership degree is 1, the index weight of 0 obtained according to the Formula does not conform to the practical significance, so a very small weight of 0.01 is given to this index. On the basis of obtaining the membership degree and the weight of each index, the following summation Formula proposed by Chelioli and Zani (1990) [40] was used, with k indicating the inclusion of k indexes in the i-th dimensional subset.
μ ( x i ) = j = 1 k μ ( x i j ) ¯ ω i j / j = 1 k ω i j
Thus, the total membership degree Formula of the welfare measure can be expressed as follows, with the weights of each dimension shown by ω i = I n [ 1 μ ( x i ) ] , and h denotes several dimensions.
w = i = 1 h μ ( x i ) ω i / i = 1 h ω i
Similarly, if a single sample—p welfare is calculated, then:
w ( p ) = i = 1 h μ ( x i ) ( p ) ω i ( p ) / i = 1 h ω i ( p )
In Formula (7), μ ( x i ) ( p ) = j = 1 k μ ( x i j ) ( p ) ω i j / j = 1 k ω i j , ω i ( p ) = I n [ 1 μ ( x i ) ( p ) ] .

3.2.2. Differentiation Analysis Method

As a general rule, in the differentiation analysis of such studies, the samples are classified according to the difference attributes, and the regression analysis is carried out for each sample. However, due to the particularity of the samples in this paper and the difficulty in obtaining a large number of samples, it is not appropriate and reliable to conduct difference analysis by classification. In this paper, graphic data visualization will be used to demonstrate the dispersion and change rules of the samples. With SPSS software, Pearson correlation analysis was conducted on the corresponding indexes, and the correlation and correlation degree were analyzed and judged according to the extremely significant degree of correlation coefficient.

4. Empirical Studies

The specific ideas of empirical research are shown in Figure 2.

4.1. Study Area and Data Sources

4.1.1. Study Area

In this paper, Xi’an, Shaanxi Province, was chosen as the study area. In recent years, Xi’an’s urban skeleton has been expanding and its transformation work has been extending outward gradually. However, the spatial status of the city lags far behind its economic states and the uneven internal development is very prominent. All of these problems have restricted the development of this city, and it has become an important part of the urban construction of Xi’an to change the inefficient use of space and realize the integration of urban space resources.
Considering issues such as resettlement time and degree of cooperation, six resettlement communities such as A, B, C, D, E, F were finally selected for interviews. The six resettlement communities were all replacement buildings from the beginning of 2017 to the beginning of 2019. Considering the time required for subsequent decoration and an adaptation period after moving in, the resettlement community during this period is the best choice, and the sample communities belong to the resettlement communities, which can avoid the impact on the research results due to the spatial difference between resettlement and out-migration.

4.1.2. Data Sources

In April 2021, members of the research group conducted random interviews in six sample communities. The random sampling method can ensure that each part of the survey object has the same possibility of being selected, which is a sampling survey carried out in accordance with the principle of equal opportunity. Random sampling is more reliable when using samples to infer a population. The initial 220 samples were collected, 10 defective records were eliminated, and 210 pieces of data were sorted out. The proportion of male and female in the sample was 57.14% and 42.86%, respectively, indicating a balanced gender ratio. The age structure is mainly middle-aged and elderly; the educational level is generally low, with 44.76% only junior high school degree or lower, and 12.86% bachelor’s degree or higher.
Considering the validity of the survey data, reliability and validity tests were carried out on the survey data before data analysis. The results show that Cronbach’s Alpha is >0.7, Bartlett’s sphericity test value is 0.000, indicating good reliability and structural validity of the questionnaire data.

4.2. Establishment of Evaluation Index System of State Layer of Sustainable Regeneration PSR Model

In terms of the evaluation of the state layer, the “resettled residents”—the most important stakeholder in the regeneration behavior—were selected as the research object to explore their living conditions. Residents’ living conditions are reflected not only in the amount of material resources acquired, but also in health, longevity, knowledge and education, social relations, and subjective feelings, which are all elements of human life. Thus, to truly reflect the living conditions of residents under the regeneration behavior, a comprehensive study combining subjective and objective evaluation is needed. Therefore, the perspective of multidimensional welfare was employed to describe residents’ living conditions, and the welfare was defined according to Amartya Sen’s feasible capability theory, and five functional activities—political freedom, economic conditions, social opportunities, transparency guarantee, and protective guarantee were finally put forward in this paper [41]. Based on the feasible ability method and combined with the research aims and the research object, the measurement system was constructed, and the living state of the settled residents was summarized from five dimensions of living dimension, employment dimension, health dimension, social dimension, and wealth dimension through empirical research. The specific construction basis and assignment are shown in Table 1.

4.3. Evaluation Results of State Layer of Sustainable Regeneration PSR Model

Measurements were conducted according to the fuzzy evaluation model, and the results are shown in Table 2. As shown, there is no significant change in the results of the comprehensive measurement values before and after the regeneration, but there are differences in the welfare changes of each dimension. The comprehensive evaluation values of the health dimension and the work dimension also have no significant changes. The evaluation value of the wealth state has increased by 25%, the evaluation value of the residence state has increased more, by 48%, while the evaluation value of the social state has only reached 52.5% of the value before the resettlement. This means that in the sustainable regeneration system, the residence state of resettled residents at state layer was not improved due to the regeneration behavior, the residence state was improved, but the social state deteriorated significantly.

4.4. Stability Analysis of State Layer of Sustainable Regeneration PSR Model

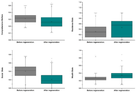
According to Amartya Sen’s theory, the same resources can be converted into different functional activities by different people in different environments. The living conditions of the residents in the centralized resettlement were affected by the variables related to the regeneration behavior. At the same time, such changes have a certain difference due to external factors and individual characteristics. When these factors lead to differences in residents’ living conditions, they also cause instability at the state layer in the sustainable regeneration model. Therefore, this study will explore the factors causing the differences. As for external factors, due to the fixed location of spatial production factors, there are differences in the accessibility and use of production factors for resettled residents in different location conditions, which is an important part of welfare transformation. Therefore, the differences in location conditions were selected for analysis. Figure 3 reveals the dispersion of the samples before and after the regeneration. In the figure, the interquartile range has increased after the regeneration, and the interquartile range has increased slightly at the level of comprehensive welfare, indicating that the dispersion degree of data has increased and the degree of individual differentiation of comprehensive welfare of resettled residents has increased. From the perspective of the dimensions of residence and wealth, the interquartile range increased significantly, indicating that the two dimensions present a great degree of differentiation, while the social dimension presents a small degree of differentiation. According to the evaluation results, health and work dimensions are not significantly affected by the regeneration behavior of local resettlement, which is not considered in this chapter.

4.4.1. Differentiation in Location

Generally speaking, the housing value is determined by the housing quality and location factors. As the six communities all belong to resettlement communities in nature, the differences in housing value mostly lie in the differences in location conditions. The average housing price of each community was collected on the second-hand trading platform, and the average housing price of the six resettlement communities from low to high is as follows: 1.F, 2.B, 3.D, 4.E, 5.A, 6.C. The state change values of wealth state, social state, residence state, and comprehensive welfare of each settlement community (the welfare state value after regeneration minus the welfare state value before regeneration) were presented in the form of a linear graph.
It can be seen from Figure 4 that the change values of comprehensive welfare and social welfare do not show regular changes due to location, which is different from the conclusion that regional development is positively correlated with welfare change reached by Hu Qinghua et al. (2019) in their study of welfare change [17]. The change value of wealth and welfare shows an upward trend with the improvement of location advantage, that is, the more the community with location advantage, the better the wealth and welfare can be improved. The change value of residential welfare shows a trend of high on both sides and low in the middle due to the rise of location advantage, that is, communities with a location advantage in the middle layer have greater improvement in residential welfare.

4.4.2. Differentiation in Individual Characteristics

In the study of individual characteristics, the individual characteristics of resettled residents mainly include age and educational level, etc. Although these factors do not directly produce welfare, they represent the feasible ability of resettled residents and then affect welfare. Variables are described and assigned in Table 3.
Pearson correlation analysis is a method utilized to study the degree of correlation between variables. Pearson correlation analysis was used in this paper to test the correlation between personal characteristics and welfare changes. The assigned values of personal characteristics are shown in the table above, and the results of correlation analysis are shown in Table 4.
According to the results of correlation analysis, the change value of comprehensive welfare is positively correlated with educational level—the higher the educational level, the greater the increase in welfare. While the change value of age and comprehensive welfare is negatively correlated, there is a high negative correlation between age and social dimension. The result shows that the older the age, the smaller the change value of social dimension welfare, which means that the older the age, the worse the change of social welfare. It was found in the interview that the older people have a deeper emotional dependence on the original living environment, and their adaptability gradually decreased, which also explains the results of the correlation analysis. Moreover, there is a strong positive correlation between the educational level and the change value of social dimension welfare, indicating that the higher the educational level, the smaller the negative impact of social dimension caused by the regeneration behavior.

5. Discussion

The state layer of the sustainable regeneration PSR model refers to the state reflected by the systemic impact of the resettled residents in terms of production and life. When the impact is positive, the regeneration is considered sustainable, and vice versa. The response layer of the regeneration system refers to the social behaviors possibly produced by rights holders and their corresponding management decisions when there is deviation between the pressure layer, the state layer, and the sustainable development. When the two layers are highly matched, the regeneration is considered to be sustainable, and vice versa. According to the analysis results of the state layer, although the residence state has been significantly improved, the overall state change is not obvious, and from the perspective of various dimensions, the negative impact of social state is more serious, and the individual differences in the state layer have not been taken into account, which means that the regeneration is not sustainable at present. Based on the results of empirical analysis and the PSR model of sustainable regeneration from the perspective of multidimensional welfare, this paper will expand the elements involved in the model to analyze both each part of sustainable regeneration in Xi’an and the deficiencies affecting the sustainability in the system. The process analysis model is shown in Figure 5.
While the city develops in an all-round way, some local areas go into decay, residents’ quality of life is depressed, urban development gradually becomes unbalanced, and decaying areas will be left vacant or replaced with low-income population clusters, which breeds a series of social problems. As a result, the government had to implement urban regeneration to alleviate social and environmental problems, generating stimulation to drive urban regeneration and change the condition of the state layer.
According to the evaluation results at the state layer and the content of the interviews, the overall change in the wealth dimension is not significant. However, due to the regeneration behavior, the living environment has fundamentally changed, expenses that did not exist before, such as property and water fees in community management, have appeared, and the index of basic expenditure per capita has significantly decreased due to the price increase caused by the environmental change. The evaluation values of all four indexes under the residence dimension have increased significantly, while the values of all four sub-evaluation indexes of the social dimension have decreased significantly. As a result of spatial redevelopment, most of the old houses have become high-rise houses. In the layout of most traditional houses, the central room was a space where outsiders often “barge in” at will, and the change in living patterns has led to formalized and scrupulous interactions between neighbors, rather than casual interactions in the past. The social situation within the community has deteriorated significantly, and the residents have a relatively deep emotional attachment to their former living environment and are emotionally detached from their current community. There is no significant change of the evaluation values in the health dimension and work dimension before and after regeneration, and the impact of regeneration behavior on resettled residents was not significantly reflected in the health dimension and work dimension.
The results of the differentiation indicate that welfare changes are correlated with district characteristics and personal characteristics. This signal is transmitted to the response layer and needs to be responded for the purpose of optimizing the state. The existing response dimension calls for priority to be given to indigenous people in terms of job creation as a result of regeneration, but the demand for jobs is still minimal, and job training is mostly formal and ineffective, so the welfare value of this dimension is not increased, and the response dimension is inadequate. The social dimension and the health dimension have not received much attention in the response layer. For the social dimension, the welfare level has dropped significantly, and problems such as difficulties in environmental integration caused by the spatial regeneration and emotional damage have not received attention yet. There is no targeted response mechanism for the differences in the state layer. The overall improvement of the spatial environment after the regeneration, and the increase in expenditure items caused by increase in the price of goods, generated new economic pressure; besides, the extensive breakdown of the neighborhood social network has caused a significant reduction in the welfare of the social dimension, generating new social pressure. All of these new pressures need a timely response from the response layer.

6. Conclusions and Policy Recommendations

Based on the sustainable regeneration PSR model, this paper conducts an exploration to the sustainability of regeneration behavior through empirical evidence in a state layer. Previous studies have focused on the physical space level, attaching importance to the renovation and upgrading of the building level and infrastructure level, but neglecting people’s demands. This paper, taking a perspective of multidimensional welfare of resettled residents and putting people at the center, can better identify people’s demands in urban regeneration development and focus on people’s interests, which is an important part of promoting positive and sustainable urban regeneration development.
In the state layer of the sustainable regeneration PSR model, the comprehensive state has not changed significantly, but there are differences among the dimensions. Although the wealth state has improved, the problems such as rising prices and increasing expenditure items are still serious. The larger proportion of decrease of the welfare value of the social dimension indicates that the current regeneration behavior from the humanistic perspective is not sustainable enough, and the response layer fails to respond timely. In order to promote the sustainable development of regeneration behavior, it is necessary to alleviate pressure and upgrade the regeneration state intentionally and strategically according to the feedback information from different dimensions of the state layer. Due to the differences in external conditions and individual attributes, there are differences at the state layer: the resettlement communities with advantageous location conditions will show a more positive trend of wealth state change after the regeneration; and residence state will show a better change trend after the regeneration due to better or worse location conditions and show a lower welfare growth when location conditions are general. In terms of personal characteristics, the older the age, the more negative the change value of comprehensive welfare and social single dimension, and the higher the educational level, the more positive the trend is. When the individuals under the same regeneration have different changes due to the regeneration, the individual differences will cause the overall imbalance, and thus be in an unstable state. In order to maintain stability at the “state layer” and promote the sustainable cycle of regeneration models, the differentiated responses should be made in the response layer according to the current differences.
Combined with the research results, the following suggestions are proposed for the response layer to promote sustainable regeneration from two aspects of state optimization and state stability improvement: first, state optimization. (1) From the city level, the government should cooperate with enterprises to train workers in specific positions according to market demand. In addition to improving the working skills of residents, they can work directly after the training to ensure stable employment. (2) From the community level, a beneficial supermarket can be established in the community, and the community can cooperate with chain institutions to exchange preferential goods with relatively low rent, and provide certain employment opportunities for relocated residents, which also improves the welfare of working state to a certain extent. Various learning activities are carried out in the community, and cultural activities and family skill competitions are used to enrich people’s lives, create a good community atmosphere, and constantly improve the comprehensive quality of residents. (3) From the individual level, residents should change their own minds, take the initiative to adapt to and follow the rules and regulations of community governance, adapt to the community lifestyle, actively maintain public space, and enhance the sense of community. Second, state stability improvement: (1) From the city level, the government takes care of the vulnerable groups according to the location characteristics of the community. For some resettlement communities with poor location conditions, the government can give certain preferential policies to improve the accessibility of resources by improving surrounding supporting facilities so as to achieve the purpose of strengthening the guarantee of location advantages and better improving the wealth of residents. (2) From the community level: due to the particularity of the community, the residents have a low level of education and are prone to a sense of isolation and psychological loneliness. Therefore, the community should strengthen the cultural construction and promote the “citizenization” of the resettlement residents. The elderly have low adaptability, and should give more emotional care. Strengthening the activity room should be actively invested in the construction and improvement. (3) From the individual level, personal conditions that are not conducive to development should be actively promoted in accordance with the current development of the community. Resettlement residents should learn to exercise their rights and actively seek help from the community or the government.

Author Contributions

Conceptualization, Y.Z. and L.W.; methodology, Y.Z.; software, L.W.; validation, Y.Z., L.W., F.L., X.L. and J.B.; formal analysis, Y.Z. and L.W.; investigation, Y.Z., L.W. and F.L.; resources, Y.Z. and F.L.; data curation, L.W.; writing—original draft preparation, L.W.; writing—review and editing, Y.Z. and F.L.; visualization, Y.Z. and L.W.; supervision, Y.Z., F.L. and X.L.; project administration, Y.Z., L.W., F.L., X.L. and J.B.; funding acquisition, Y.Z., F.L. and J.B. All authors have read and agreed to the published version of the manuscript.

Funding

The authors thank the supports from Youth Program of National Natural Science Foundation of China (Grant No. 72004176), the National Natural Science Foundation of China (Grant No. 71874136), the Humanity and Social Science Youth Foundation of Ministry of Education of China (Grant No. 20YJC630239), the China Postdoctoral Science Foundation (Grant No. 2020M683436), Natural Science Basic Research Program of Shaanxi (Grant No. 2022JQ-733).

Conflicts of Interest

The authors declare no conflict of interest.

References

  1. Adams, D.; Hastings, E.M. Urban regeneration in Hong Kong: Transition from development corporation to renewal authority. Land Use Policy 2001, 18, 245–258. [Google Scholar] [CrossRef]
  2. Carmon, N. Three generations of urban renewal policies: Analysis and policy implications. Geoforum 1999, 30, 145–158. [Google Scholar] [CrossRef]
  3. Smith, I. Urban Regeneration in Europe; Couch, C., Fraser, C., Percy, S., Eds.; Blackwell Publishing: Oxford, UK, 2004; Volume 21, pp. 270–271. [Google Scholar] [CrossRef]
  4. Aboelnaga, S.; Toth, T.; Neszmelyi, G.I. Land use management along urban development axis as one of urban regeneration principles. In Proceedings of the International Scientific Conference Engineering for Rural Development, Jelgava, Latvia, 22–24 May 2019; Volume 18, pp. 944–953. [Google Scholar] [CrossRef]
  5. Musterd, S. Integrated urban renewal in The Netherlands: A critical appraisal. Urban Res. Pract. 2008, 1, 78–92. [Google Scholar] [CrossRef]
  6. Chan, E.H.W.; Yung, E.H.K. Is the development control legal framework conducive to a sustainable dense urban development in Hong Kong? Habitat Int. 2004, 28, 409–426. [Google Scholar] [CrossRef]
  7. Yu, A.T.W.; Wu, Y.; Zheng, B.; Zhang, X.; Shen, L. Identifying risk factors of urban-rural conflict in urbanization: A case of China. Habitat Int. 2014, 44, 177–185. [Google Scholar] [CrossRef]
  8. Zhang, C.; Miao, C.; Zhang, W.; Chen, X. Spatiotemporal patterns of urban sprawl and its relationship with economic development in China during 1990–2010. Habitat Int. 2018, 79, 51–60. [Google Scholar] [CrossRef]
  9. Ruel, E.; Oakley, D.A.; Ward, C.; Alston, R.; Reid, L.W. Public housing relocations in Atlanta: Documenting residents’ attitudes, concerns and experiences. Cities 2013, 35, 349–358. [Google Scholar] [CrossRef]
  10. Mehdipanah, R.; Malmusi, D.; Muntaner, C.; Borrell, C. An evaluation of an urban renewal program and its effects on neighborhood resident’s overall wellbeing using concept mapping. Health Place 2013, 23, 9–17. [Google Scholar] [CrossRef]
  11. Zarabi, Z.; Manaugh, K.; Lord, S. The impacts of residential relocation on commute habits: A qualitative perspective on households’ mobility behaviors and strategies. Travel Behav. Soc. 2019, 16, 131–142. [Google Scholar] [CrossRef]
  12. Li, Z.; Wu, F. Residential Satisfaction in China’s Informal Settlements: A Case Study of Beijing, Shanghai, and Guangzhou. Urban Geogr. 2013, 7, 923–949. [Google Scholar] [CrossRef]
  13. Barcus, H.R.; Keith, H. An Introduction to Population Geographies: Lives Across Space; Taylor and Francis: St. Paul, MN, USA, 2017; pp. 154–170. [Google Scholar] [CrossRef]
  14. Bennett, C.J.; Mitra, S. Multidimensional poverty: Measurement, estimation, and inference. Econom. Rev. 2013, 32, 57–83. [Google Scholar] [CrossRef]
  15. Zadeh, L.A. Fuzzy sets. Inf. Control. 1965, 8, 338–353. [Google Scholar] [CrossRef]
  16. Doğan, U.; Güngör, M.K.; Bostancı, B.; Bakır, N.Y. GIS Based Urban Renewal Area Awareness and Expectation Analysis Using Fuzzy Modeling. Sustain. Cities Soc. 2020, 54, 101945. [Google Scholar] [CrossRef]
  17. Hu, Q.; Wu, G.Y.; Song, K.; Ou, X.F.; Li, C. Evaluation of the impact of rural land expropriation on the welfare of expropriated farm households-Based on Amartya Sen’s theory of viable capacity. Econ. Geogr. 2019, 39, 187–194. [Google Scholar] [CrossRef]
  18. Sen, A. Capabilities, Lists, and Public Reason: Continuing the Conversation. Fem. Econ. 2004, 10, 77–80. [Google Scholar] [CrossRef]
  19. Hyra, D.S. Conceptualizing the New Urban Renewal: Comparing the Past to the Present. Urban Aff. Rev. 2012, 48, 498–527. [Google Scholar] [CrossRef]
  20. Anne, C.M.; Janni, S. Repackaged “urban renewal”: Issues of spatial equity and environmental justice in new construction, suburban neighborhoods, and urban islands of infill. J. Urban Aff. 2019, 41, 464–485. [Google Scholar] [CrossRef]
  21. Bouzarovski, S.; Frankowski, J.; Herrero, S.T. Low-Carbon Gentrification: When Climate Change Encounters Residential Displacement. Int. J. Urban Reg. Res. 2018, 42, 845–863. [Google Scholar] [CrossRef]
  22. Lukens, D. Configurations of gentrification and displacement: Chronic displacement as an effect of redevelopment in Seoul, South Korea. Urban Geogr. 2020, 42, 1–21. [Google Scholar] [CrossRef]
  23. Lin, C.; Hsing, W. Culture-led urban regeneration and community mobilisation: The case of the taipei bao-an temple area, Taiwan. Urban Stud. 2009, 46, 1317–1342. [Google Scholar] [CrossRef]
  24. Yang, Y.; Chang, C. An urban regeneration regime in China: A case study of urban redevelopment in Shanghai’s Taipingqiao area. Urban Stud. 2016, 44, 1809–1826. [Google Scholar] [CrossRef]
  25. Li, X.; Zhang, F.; Hui, E.C.; Lang, W. Collaborative workshop and community participation: A new approach to urban regeneration in China. Cities 2020, 102, 102743. [Google Scholar] [CrossRef]
  26. Bromley, R.D.F. City Centre Regeneration through Residential Development: Contributing to Sustainability. Urban Stud. 2005, 42, 2407–2409. [Google Scholar] [CrossRef]
  27. Weingaertner, C.; Barber, A.R.G. Urban Regeneration and Socio-economic Sustainability: A Role for Established Small Food Outlets. Eur. Plan. Stud. 2010, 18, 1653–1674. [Google Scholar] [CrossRef]
  28. Lorr, M.J. Defining Urban Sustainability in the Context of North American Cities. Nat. Cult. 2012, 7, 16–30. [Google Scholar] [CrossRef]
  29. Couch, C.; Sykes, O.; Börstinghaus, W. Thirty years of urban regeneration in Britain, Germany and France: The importance of context and path dependency. Prog. Plan. 2010, 75, 1–52. [Google Scholar] [CrossRef]
  30. Gregório, V.; Seixas, J. Energy Savings Potential in Urban Rehabilitation: A Spatial-Based Methodology Applied to Historic Centres. Energy Build. 2017, 152, 11–23. [Google Scholar] [CrossRef]
  31. Hemphill, L. An Indicator-based Approach to Measuring Sustainable Urban Regeneration Performance: Part 1, Conceptual Foundations and Methodological Framework. Urban Stud. 2004, 41, 725–755. [Google Scholar] [CrossRef]
  32. Cahantimur, A.I.; Ozturk, R.B.; Ozturk, A.C. Securing land for urban transformation through sustainable brownfield regeneration—The case of Eskiehir, Turkey. Environ. Urban. 2010, 22, 241–258. [Google Scholar] [CrossRef]
  33. Bäing, A.S.; Wong, C. Brownfield Residential Development: What Happens to the Most Deprived Neighbourhoods in England? Urban Stud. 2012, 49, 2989–3008. [Google Scholar] [CrossRef]
  34. Collier, C.G. The role of micro-climates in urban regeneration planning. Proc. Inst. Civ. Eng. Munic. Eng. 2011, 164, 73–82. [Google Scholar] [CrossRef]
  35. Pugh, T.A.M. A futures-based analysis for urban air quality remediation. Proc. Inst. Civ. Eng. Eng. Sustain. 2012, 165, 21–36. [Google Scholar] [CrossRef]
  36. Ng, M.K. Quality of Life Perceptions and Directions for Urban Regeneration in Hong Kong. Soc. Indic. Res. 2005, 71, 441–465. [Google Scholar] [CrossRef]
  37. Williams, K.; Dair, C. A framework for assessing the sustainability of brownfield developments. J. Environ. Plan. Manag. 2007, 50, 23–40. [Google Scholar] [CrossRef]
  38. Dajian, Z. A study on green transformation of Chinese cities based on PSR method. J. Tongji Univ. Soc. Sci. Ed. 2011, 22, 37–47. [Google Scholar] [CrossRef]
  39. Cheli, B.; Lemmi, A. A “Totally” Fuzzy and Relative Approach to the Multidimensional Analysis of Poverty. Econ. Notes 1995, 24, 115–134. [Google Scholar]
  40. Cerioli, A.; Zani, S. A Fuzzy Approach to The Measurement of Poverty. In Income and Wealth Distribution, Inequality and Poverty. Studies in Contemporary Economics; Dagum, C., Zenga, M., Eds.; Springer: Berlin, Germany, 1990; pp. 272–284. [Google Scholar] [CrossRef]
  41. Corbridge, S. Development as freedom: The spaces of Amartya Sen. Prog. Dev. Stud. 2002, 3, 183–217. [Google Scholar] [CrossRef]
  42. Xiang, J.F.; Hong, T. Changes in farmers’ welfare before and after centralized settlement at different layers of economic development--a comparative analysis based on different circles in Chengdu city. Econ. Theory Econ. Manag. 2016, 4, 87–99. [Google Scholar] [CrossRef]
  43. Weihua, S.; Luosai, Z.; Xiao, Y. The lack and reshaping of residents’ sense of belonging in resettlement communities—Ningbo as an example. Decoration 2017, 5, 136–137. [Google Scholar] [CrossRef]
  44. Wei, N.; Xiaotian, F. Employment quality, social interaction and migrant workers’ willingness to enter households—A survey based on migrant workers in the Pearl River Delta and Yangtze River Delta. Agric. Econ. Issues 2016, 37, 34–42+111. [Google Scholar]
  45. Mengxuan, L.; Yi, Z.; Pei, H. A study on the welfare loss of residential-employment spatial mismatch for residents of subsidized housing communities. Urban Dev. Res. 2013, 20, 63–68. [Google Scholar] [CrossRef]
  46. Liu, Y.; Lai, X.X.; Wu, J.L.; Qiao, X.C. The effect of sleep duration on self-rated health and its age differences. Popul. Dev. 2020, 26, 65–72+50. [Google Scholar]
Figure 1. Sustainable regeneration PSR model from multidimensional welfare perspective.
Figure 1. Sustainable regeneration PSR model from multidimensional welfare perspective.
Land 11 01258 g001
Figure 2. Flow-diagram of empirical studies.
Figure 2. Flow-diagram of empirical studies.
Land 11 01258 g002
Figure 3. Box plot of sample welfare change values.
Figure 3. Box plot of sample welfare change values.
Land 11 01258 g003
Figure 4. Linear graph of difference between location and welfare.
Figure 4. Linear graph of difference between location and welfare.
Land 11 01258 g004
Figure 5. Analysis model of sustainable regeneration process based on micro-investigation in Xi’an.
Figure 5. Analysis model of sustainable regeneration process based on micro-investigation in Xi’an.
Land 11 01258 g005
Table 1. Index selection basis and assignment.
Table 1. Index selection basis and assignment.
DimensionIndexTypeIndex SelectionAssignment
Wealth statePer capita incomeCGenerally, income is the most intuitive index of a family’s economic stateUnit: Yuan/month
Basic expenditure per capitaCConsumption expenditure is a basic index to evaluate wealth state [42]Unit: Yuan/month (reverse index)
Wealth satisfactionQThe subjective evaluation variable was selected due to the comprehensive objective variablesVery dissatisfied = 1, dissatisfied = 2, general = 3, satisfied = 4, very satisfied = 5
Residence statePrivate bathroom availableDAccording to the interviews, this index is an objective index expressing the real feeling of the residence state of the resettled residentsNo = 0, Yes = 1
North-south ventilationDThis index means the orientation of the house and suitable light, which is effectively related to the comfort of livingNo = 0, Yes = 1
Affected by noiseQThis index is often chosen in studies to evaluate the state of residence [42]Never = 1, rarely = 2, occasionally = 3, often = 4, always = 5
Stable supply of electricity, water and gasDThe basic supply system in part of the urban village is imperfect resulting in inconvenient living. Residents are extremely concerned about this index.No = 0, Yes = 1
Social stateNumber of Households VisitingCGeo-relationship takes a common geographical area of residence as a link and basis for interpersonal interaction [43] and this index is selected based on neighborhood interaction in a common areaUnit: Household
Participation of community activitiesQJiang and Sheng et al. believe that this index represents the willingness of residents to participate in the construction of residential areas [42]Never = 1 Rarely = 2, Occasionally = 3, Often = 4, Every time = 5
Ownership group activity levelQAccording to the current characteristics of the times, the activity level of owners’ We Chat groups can also reflect the internal social stateHardly talk = 1, rarely talk = 2, occasionally talk = 3, often talk = 4, talk every day = 5
Sense of community belongingQDemolition can often result in a lack of adjustment to a new life and a sense of belonging [43]Not at all = 1, = 2, occasionally = 3, often = 4, always = 5
Working stateAverage daily working hoursCThe length of work is an important element of the quality of employment, and high intensity work can easily lead to job burnout, reflecting the working conditions and labor intensity [44]Unit: hour/day
Job IdentityQNie Wei and Feng Xiaotian [44] believe that work state includes the subjective experience of one’s own professional situationVery disapprove = 1, disapprove = 2, general = 3, approve = 4, very approve = 5
Personal incomeCWage income is a major component of employment quality [44]Unit: Yuan/month
Commuting timeCLi Mengxuan et al. [45] consider long commuting time as a sign of employment welfare lossUnit: minutes/times
Participation of colleague gatheringsQGood co-worker relationships often lead to a good working atmosphereNever participate = 1, rarely participate = 2, occasionally participate = 3, often participate = 4, participate every time = 5
Health stateLength of sleepQSleep state is one of the common indexes used to measure the health of the elderly themselves, and the length of sleep is another index of sleep state [46](9,10] = 2, (8,9] = 3, (6,7] = 4, (7,8] = 5, else = 1
units: hour
Number of medical visits per yearCVisual indexes reflecting the level of healthUnit: times/year (reverse index)
Medical expenditureCVisual indexes reflecting the level of healthUnit: Yuan/year (reverse index)
Length of outdoor activityQOutdoor activities can reflect a person’s level of healthy lifestyle to some extent(0, 0.5] = 1, (1.5, 2] = 3, (0.5, 1] = 4, (1, 1.5] = 5, else = 2
Unit: hour
Note: C stands for continuous indexes, Q stands for virtual qualitative index, and D stands for virtual binary index.
Table 2. Measurement results of state layer.
Table 2. Measurement results of state layer.
DimensionBefore RegenerationAfter RegenerationChange Value
Evaluation ValueWeightsEvaluation ValueWeights
Wealth Dimension0.281.260.351.05+0.07
Per capita income0.151.910.211.58+0.06
Basic expenditure per capita0.850.170.790.23−0.06
Wealth satisfaction0.560.580.570.56+0.01
Residence Dimension0.311.610.460.77+0.15
Private bathroom available0.053.040.870.14+0.82
North-south ventilation0.650.430.920.08+0.27
Affected by noise0.271.320.410.90+0.14
Stable supply of electricity, water and gas0.440.810.990.01+0.55
Social Dimension0.400.910.211.55−0.19
Number of households visiting0.331.100.171.79−0.16
Participation of community activities0.371.000.191.67−0.18
Ownership group activity x 33 0.410.900.191.68−0.22
Sense of community belonging0.680.390.390.95−0.29
Work Dimension0.261.350.261.36±0.00
Average daily working hours0.351.060.341.08−0.01
Job identity0.460.780.460.79 ± 0.00
Personal income0.072.660.082.58+0.01
Commuting time0.380.960.390.93+0.01
Participation colleague gatherings0.410.890.341.08−0.07
Health Dimension0.620.480.630.45+0.01
Length of sleep0.740.310.720.24−0.02
Number of medical visits per year0.900.100.910.09+0.01
Medical expenditure0.950.050.930.07−0.02
Length of outdoor activity0.500.690.520.65+0.02
Comprehensive Evaluation Value0.340.33−0.01
Note: Bold items are first-level indexes, and non-bold items are second-level indexes.
Table 3. Variable assignment.
Table 3. Variable assignment.
Variable FactorsVariable TypeVariable Assignment
Individual characteristicsAgeCActual age
Educational levelQJunior high school and lower = 1, high school = 2, college = 3.
Bachelor’s degree = 4, Bachelor’s degree or higher = 5
Table 4. Results of Pearson correlation analysis.
Table 4. Results of Pearson correlation analysis.
Social DimensionResidence DimensionWealth DimensionComprehensive Benefits
Educational level0.482 **−0.045−0.0410.382 **
Age−0.659 **0.1210.123−0.331 **
Note: ** means significant at the 0.05 level.
Publisher’s Note: MDPI stays neutral with regard to jurisdictional claims in published maps and institutional affiliations.

Share and Cite

MDPI and ACS Style

Zhou, Y.; Wei, L.; Lan, F.; Li, X.; Bian, J. Evaluation and Optimization on Urban Regeneration Sustainability from the Perspective of Multidimensional Welfare of Resettled Resident—Evidence from Resettlement Communities in Xi’an, China. Land 2022, 11, 1258. https://doi.org/10.3390/land11081258

AMA Style

Zhou Y, Wei L, Lan F, Li X, Bian J. Evaluation and Optimization on Urban Regeneration Sustainability from the Perspective of Multidimensional Welfare of Resettled Resident—Evidence from Resettlement Communities in Xi’an, China. Land. 2022; 11(8):1258. https://doi.org/10.3390/land11081258

Chicago/Turabian Style

Zhou, Yulin, Lulu Wei, Feng Lan, Xiang Li, and Jing Bian. 2022. "Evaluation and Optimization on Urban Regeneration Sustainability from the Perspective of Multidimensional Welfare of Resettled Resident—Evidence from Resettlement Communities in Xi’an, China" Land 11, no. 8: 1258. https://doi.org/10.3390/land11081258

APA Style

Zhou, Y., Wei, L., Lan, F., Li, X., & Bian, J. (2022). Evaluation and Optimization on Urban Regeneration Sustainability from the Perspective of Multidimensional Welfare of Resettled Resident—Evidence from Resettlement Communities in Xi’an, China. Land, 11(8), 1258. https://doi.org/10.3390/land11081258

Note that from the first issue of 2016, this journal uses article numbers instead of page numbers. See further details here.

Article Metrics

Back to TopTop