Rice Husk and Its Biochar Have Contrasting Effects on Water-Soluble Organic Matter and the Microbial Community in a Bamboo Forest Soil
Abstract
1. Introduction
2. Materials and Methods
2.1. The Collection of Soil and Rice Husk Samples and the Production of Biochar
2.2. Experiment Design
2.3. Chemical and 13C-CPMAS NMR Analyses and PARAFAC Modeling
2.4. High-Throughput 16S rRNA Gene Sequencing
2.5. Data Analysis
3. Results and Discussions
3.1. Effects of RH and RHB on Soil Physicochemical Properties
3.2. Effects of RH and RHB on Variations in 13C-CPMAS NMR Spectral Regions
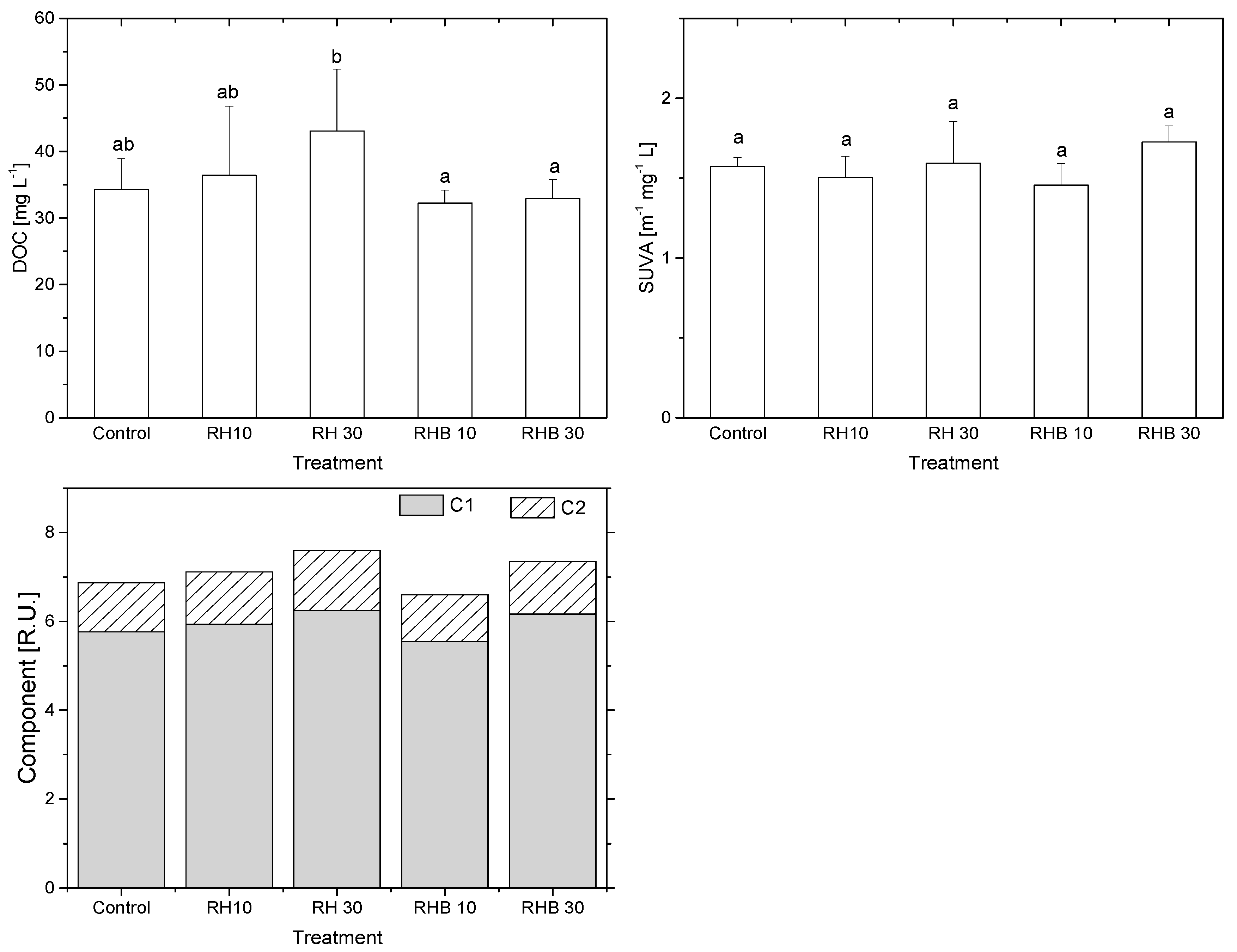
3.3. Effects of RH and RHB on DOC and Fluorescence Indices
3.4. Rice Husk and Its Biochar’s Effects on Fluorescence Components, as Identified by EEM-PARAFAC Modeling
3.5. Relative Abundance of Bacteria Species
3.6. Diversity of the Microbial Community
4. Conclusions
Supplementary Materials
Author Contributions
Funding
Conflicts of Interest
References
- FAO Rice Market Monitor (RMM). April 2018. Available online: www.fao.org/economic/RMM (accessed on 15 August 2022).
- Bushra, B.; Remya, N. Biochar from pyrolysis of rice husk biomass—Characteristics, modification and environmental application. Biomass. Convers. Biorefin. 2020, 1–12. Available online: https://doi.org/10.1007/S13399-020-01092-3 (accessed on 18 October 2022). [CrossRef]
- Abrishamkesh, S.; Gorji, M.; Asadi, H.; Bagheri-Marandi, G.H.; Pourbabaee, A.A. Effects of rice husk biochar application on the properties of alkaline soil and lentil growth. Plant Soil Environ. 2015, 61, 475–482. [Google Scholar] [CrossRef]
- Singh, C.; Tiwari, S.; Gupta, V.K.; Singh, J.S. The effect of rice husk biochar on soil nutrient status, microbial biomass and paddy productivity of nutrient poor agriculture soils. CATENA 2018, 171, 485–493. [Google Scholar] [CrossRef]
- El-Naggar, A.; El-Naggar, A.H.; Shaheen, S.M.; Sarkar, B.; Chang, S.X.; Tsang, D.C.; Rinklebe, J.; Ok, Y.S. Biochar composition-dependent impacts on soil nutrient release, carbon mineralization, and potential environmental risk: A review. J. Environ. Manag. 2019, 241, 458–467. [Google Scholar] [CrossRef]
- El-Naggar, A.; Shaheen, S.M.; Ok, Y.S.; Rinklebe, J. Biochar affects the dissolved and colloidal concentrations of Cd, Cu, Ni, and Zn and their phytoavailability and potential mobility in a mining soil under dynamic redox-conditions. Sci. Total Environ. 2018, 624, 1059–1071. [Google Scholar] [CrossRef]
- Yang, X.; Wen, E.; Ge, C.; El-Naggar, A.; Yu, H.; Wang, S.; Kwon, E.E.; Song, H.; Shaheen, S.M.; Wang, H.; et al. Iron-modified phosphorus- and silicon-based biochars exhibited various influences on arsenic, cadmium, and lead accumulation in rice and enzyme activities in a paddy soil. J. Hazard. Mater. 2023, 443, 130203. [Google Scholar] [CrossRef]
- El-Naggar, A.; Lee, M.-H.; Hur, J.; Lee, Y.H.; Igalavithana, A.D.; Shaheen, S.M.; Ryu, C.; Rinklebe, J.; Tsang, D.C.; Ok, Y.S. Biochar-induced metal immobilization and soil biogeochemical process: An integrated mechanistic approach. Sci. Total. Environ. 2020, 698, 134112. [Google Scholar] [CrossRef]
- Quang, V.L.; Kim, H.-C.; Maqbool, T.; Hur, J. Fate and fouling characteristics of fluorescent dissolved organic matter in ultrafiltration of terrestrial humic substances. Chemosphere 2016, 165, 126–133. [Google Scholar] [CrossRef]
- Yang, X.; Tsibart, A.; Nam, H.; Hur, J.; El-Naggar, A.; Tack, F.M.; Wang, C.-H.; Lee, Y.H.; Tsang, D.C.; Ok, Y.S. Effect of gasification biochar application on soil quality: Trace metal behavior, microbial community, and soil dissolved organic matter. J. Hazard. Mater. 2019, 365, 684–694. [Google Scholar] [CrossRef]
- Rajapaksha, A.U.; Ok, Y.S.; El-Naggar, A.; Kim, H.; Song, F.; Kang, S.; Tsang, Y.F. Dissolved organic matter characterization of biochars produced from different feedstock materials. J. Environ. Manag. 2019, 233, 393–399. [Google Scholar] [CrossRef]
- Zhou, R.; El-Naggar, A.; Li, Y.; Cai, Y.; Chang, S.X. Converting rice husk to biochar reduces bamboo soil N2O emissions under different forms and rates of nitrogen additions. Environ. Sci. Pollut. Res. 2021, 28, 28777–28788. [Google Scholar] [CrossRef] [PubMed]
- Brown, I.C. A rapid method of determining exchangeable hydrogen and total exchangeable bases of soils. Soil Sci. 2006, 56, 353–358. [Google Scholar] [CrossRef]
- Weishaar, J.L.; Aiken, G.R.; Bergamaschi, B.; Fram, M.; Fujii, R.; Mopper, K. Evaluation of Specific Ultraviolet Absorbance as an Indicator of the Chemical Composition and Reactivity of Dissolved Organic Carbon. Environ. Sci. Technol. 2003, 37, 4702–4708. [Google Scholar] [CrossRef] [PubMed]
- Mcknight, D.; Boyer, E.; Westerhoff, P.K.; Doran, P.T.; Kulbe, T.; Andersen, D. Spectrofluorometric characterization of dissolved organic matter for indication of precursor organic material and aromaticity. Limnol. Oceanogr. 2001, 46, 38–48. [Google Scholar] [CrossRef]
- Heo, J.; Yoon, Y.; Kim, D.-H.; Lee, H.; Lee, D.; Her, N. A new fluorescence index with a fluorescence excitation-emission matrix for dissolved organic matter (DOM) characterization. Desalination Water Treat. 2015, 57, 20270–20282. [Google Scholar] [CrossRef]
- Zsolnay, A.; Baigar, E.; Jimenez, M.; Steinweg, B.; Saccomandi, F. Differentiating with fluorescence spectroscopy the sources of dissolved organic matter in soils subjected to drying. Chemosphere 1999, 38, 45–50. [Google Scholar] [CrossRef]
- Huguet, A.; Vacher, L.; Relexans, S.; Saubusse, S.; Froidefond, J.; Parlanti, E. Properties of fluorescent dissolved organic matter in the Gironde Estuary. Org. Geochem. 2009, 40, 706–719. [Google Scholar] [CrossRef]
- Ha, L.T.V.; Vanlerberghe, L.; Toan, H.T.; Dewettinck, K.; Messens, K. Comparative Evaluation of Six Extraction Methods for DNA Quantification and PCR Detection in Cocoa and Cocoa-Derived Products. Food Biotechnol. 2015, 29, 1–19. [Google Scholar] [CrossRef]
- El-Naggar, A.; Lee, S.S.; Rinklebe, J.; Farooq, M.; Song, H.; Sarmah, A.K.; Zimmerman, A.R.; Ahmad, M.; Shaheen, S.M.; Ok, Y.S. Biochar application to low fertility soils: A review of current status, and future prospects. Geoderma 2019, 337, 536–554. [Google Scholar] [CrossRef]
- Angst, T.E.; Sohi, S.P. Establishing release dynamics for plant nutrients from biochar. GCB Bioenergy 2013, 5, 221–226. [Google Scholar] [CrossRef]
- El-Naggar, A.; Lee, S.S.; Awad, Y.M.; Yang, X.; Ryu, C.; Rizwan, M.; Rinklebe, J.; Tsang, D.C.; Ok, Y.S. Influence of soil properties and feedstocks on biochar potential for carbon mineralization and improvement of infertile soils. Geoderma 2018, 332, 100–108. [Google Scholar] [CrossRef]
- Cely, P.; Tarquis, A.M.; Paz-Ferreiro, J.; Méndez, A.; Gascó, G. Factors driving the carbon mineralization priming effect in a sandy loam soil amended with different types of biochar. Solid Earth 2014, 5, 585–594. [Google Scholar] [CrossRef]
- El-Naggar, A.; Awad, Y.; Tang, X.-Y.; Liu, C.; Niazi, N.K.; Jien, S.-H.; Tsang, D.C.; Song, H.; Ok, Y.S.; Lee, S.S. Biochar influences soil carbon pools and facilitates interactions with soil: A field investigation. Land Degrad. Dev. 2018, 29, 2162–2171. [Google Scholar] [CrossRef]
- El-Naggar, A.; Shaheen, S.M.; Chang, S.X.; Hou, D.; Ok, Y.S.; Rinklebe, J. Biochar Surface Functionality Plays a Vital Role in (Im)Mobilization and Phytoavailability of Soil Vanadium. ACS Sustain. Chem. Eng. 2021, 9, 6864–6874. [Google Scholar] [CrossRef]
- Rinklebe, J.; Shaheen, S.M.; El-Naggar, A.; Wang, H.; Du Laing, G.; Alessi, D.S.; Ok, Y.S. Redox-induced mobilization of Ag, Sb, Sn, and Tl in the dissolved, colloidal and solid phase of a biochar-treated and un-treated mining soil. Environ. Int. 2020, 140, 105754. [Google Scholar] [CrossRef] [PubMed]
- Lebrun, M.; Nandillon, R.; Miard, F.; Bourgerie, S.; Morabito, D. Biochar Assisted Phytoremediation for Metal(loid) Contaminated Soils. In Assisted Phytoremediation; Elsevier: Amsterdam, The Netherlands, 2022; pp. 101–130. [Google Scholar] [CrossRef]
- Romero, C.M.; Redman, A.-A.P.; Terry, S.A.; Hazendonk, P.; Hao, X.; McAllister, T.A.; Okine, E. Molecular speciation and aromaticity of biochar-manure: Insights from elemental, stable isotope and solid-state DPMAS 13C NMR analyses. J. Environ. Manag. 2021, 280, 111705. [Google Scholar] [CrossRef]
- Sarker, T.C.; Incerti, G.; Spaccini, R.; Piccolo, A.; Mazzoleni, S.; Bonanomi, G. Linking organic matter chemistry with soil aggregate stability: Insight from 13C NMR spectroscopy. Soil Biol. Biochem. 2018, 117, 175–184. [Google Scholar] [CrossRef]
- Hur, J.; Lee, B.-M.; Shin, K.-H. Spectroscopic characterization of dissolved organic matter isolates from sediments and the association with phenanthrene binding affinity. Chemosphere 2014, 111, 450–457. [Google Scholar] [CrossRef]
- Zhang, J.; Lü, F.; Luo, C.; Shao, L.; He, P. Humification characterization of biochar and its potential as a composting amendment. J. Environ. Sci. 2014, 26, 390–397. [Google Scholar] [CrossRef]
- Cottrell, M.T.; Kirchman, D.L. Natural Assemblages of Marine Proteobacteria and Members of the Cytophaga-Flavobacter Cluster Consuming Low- and High-Molecular-Weight Dissolved Organic Matter. Appl. Environ. Microbiol. 2000, 66, 1692–1697. [Google Scholar] [CrossRef]
- Jones, R.T.; Robeson, M.; Lauber, C.L.; Hamady, M.; Knight, R.; Fierer, N. A comprehensive survey of soil acidobacterial diversity using pyrosequencing and clone library analyses. ISME J. 2009, 3, 442–453. [Google Scholar] [CrossRef] [PubMed]
- Yin, D.; Li, H.; Wang, H.; Guo, X.; Wang, Z.; Lv, Y.; Ding, G.; Jin, L.; Lan, Y. Impact of Different Biochars on Microbial Community Structure in the Rhizospheric Soil of Rice Grown in Albic Soil. Molecules 2021, 26, 4783. [Google Scholar] [CrossRef] [PubMed]
- Fierer, N.; Bradford, M.A.; Jackson, R.B. Toward an ecological classification of soil bacteria. Ecology 2007, 88, 1354–1364. [Google Scholar] [CrossRef] [PubMed]
- Wang, J.; Huang, R.; Zhu, L.; Guan, H.; Lin, L.; Fang, H.; Yang, M.; Ji, S.; Zou, X.; Li, X. The Effects of Biochar on Microbial Community Composition in and Beneath Biological Soil Crusts in a Pinus massoniana Lamb. Plantation. Forests 2022, 13, 1141. [Google Scholar] [CrossRef]
- Jiang, L.-L.; Han, G.-M.; Lan, Y.; Liu, S.-N.; Gao, J.-P.; Yang, X.; Meng, J.; Chen, W.-F. Corn cob biochar increases soil culturable bacterial abundance without enhancing their capacities in utilizing carbon sources in Biolog Eco-plates. J. Integr. Agric. 2017, 16, 713–724. [Google Scholar] [CrossRef]
- Hoang, A.T.; Goldfarb, J.L.; Foley, A.M.; Lichtfouse, E.; Kumar, M.; Xiao, L.; Ahmed, S.F.; Said, Z.; Luque, R.; Bui, V.G.; et al. Production of biochar from crop residues and its application for anaerobic digestion. Bioresour. Technol. 2022, 363, 127970. [Google Scholar] [CrossRef]
- Šrank, D.; Šimanský, V. Differences in soil organic matter and humus of sandy soil after application of biochar substrates and combination of biochar substrates with mineral fertilizers. Acta Fytotech. Zootech. 2020, 23, 117–124. [Google Scholar] [CrossRef]
- Pokharel, P.; Ma, Z.; Chang, S.X. Biochar increases soil microbial biomass with changes in extra- and intracellular enzyme activities: A global meta-analysis. Biochar 2020, 2, 65–79. [Google Scholar] [CrossRef]





| Treatment | pH (CaCl2) | EC | Ca | K | Mg | Na | CEC |
|---|---|---|---|---|---|---|---|
| [dS m−1] | [cmol kg−1] | ||||||
| Control | 4.2 ± 0.1 ab | 3.1 ± 0.6 a | 6.0 ± 1.3 a | 1.2 ± 0.1 b | 1.1 ± 0.1 a | 2.7 ± 0.7 a | 10.9 ± 1.6 a |
| RH10 | 4.1 ± 0.0 a | 3.3 ± 0.8 a | 6.0 ± 0.2 a | 1.1 ± 0.1 a | 1.1 ± 0.0 a | 2.4 ± 0.2 a | 10.5 ± 0.5 a |
| RH30 | 4.2 ± 0.1 a | 3.0 ± 0.7 a | 6.0 ± 0.6 a | 1.4 ± 0.2 b | 1.0 ± 0.1 a | 2.3 ± 0.1 a | 10.7 ± 0.8 a |
| RHB10 | 4.2 ± 0.1 a | 3.3 ± 0.3 a | 6.7 ± 1.1 a | 1.8 ± 0.2 c | 1.0 ± 0.1 a | 2.3 ± 0.2 a | 11.8 ± 1.4 a |
| RHB30 | 4.3 ± 0.1 b | 4.3 ± 0.5 b | 7.1 ± 1.0 a | 1.3 ± 0.1 b | 1.1 ± 0.1 a | 2.2 ± 0.1 a | 11.7 ± 0.9 a |
| Treatment | Carbonyl C | Aromatic C | O-alkyl C | Methoxyl C | Alkyl C |
|---|---|---|---|---|---|
| Control | 12.5 | 9.3 | 17.5 | 12.7 | 48.0 |
| RH10 | 17.3 | 4.0 | 21.3 | 4.6 | 52.8 |
| RH30 | 21.2 | - | 18.1 | 14.0 | 46.8 |
| RHB10 | 15.0 | 47.6 | 9.0 | 6.6 | 21.8 |
| RHB30 | 6.6 | 61.1 | 6.7 | 4.9 | 20.6 |
| Treatment | HIX (Zsolnay) | BIX | FI (McKnight) | YFI |
|---|---|---|---|---|
| Control | 4.95 ± 0.31 a | 0.67 ± 0.02 b | 1.79 ± 0.02 b | 0.56 ± 0.01 a |
| RH10 | 4.92 ± 0.80 a | 0.68 ± 0.01 b | 1.79 ± 0.03 b | 0.57 ± 0.02 ab |
| RH30 | 4.70 ± 0.50 a | 0.68 ± 0.01 b | 1.78 ± 0.01 b | 0.59 ± 0.03 b |
| RHB10 | 5.36 ± 0.53 a | 0.67 ± 0.02 ab | 1.79 ± 0.03 b | 0.55 ± 0.01 a |
| RHB30 | 5.29 ± 0.33 a | 0.65 ± 0.02 a | 1.74 ± 0.03 a | 0.55 ± 0.01 a |
Publisher’s Note: MDPI stays neutral with regard to jurisdictional claims in published maps and institutional affiliations. |
© 2022 by the authors. Licensee MDPI, Basel, Switzerland. This article is an open access article distributed under the terms and conditions of the Creative Commons Attribution (CC BY) license (https://creativecommons.org/licenses/by/4.0/).
Share and Cite
El-Naggar, A.; Zhou, R.; Tang, R.; Hur, J.; Cai, Y.; Chang, S.X. Rice Husk and Its Biochar Have Contrasting Effects on Water-Soluble Organic Matter and the Microbial Community in a Bamboo Forest Soil. Land 2022, 11, 2265. https://doi.org/10.3390/land11122265
El-Naggar A, Zhou R, Tang R, Hur J, Cai Y, Chang SX. Rice Husk and Its Biochar Have Contrasting Effects on Water-Soluble Organic Matter and the Microbial Community in a Bamboo Forest Soil. Land. 2022; 11(12):2265. https://doi.org/10.3390/land11122265
Chicago/Turabian StyleEl-Naggar, Ali, Rong Zhou, Ronggui Tang, Jin Hur, Yanjiang Cai, and Scott X. Chang. 2022. "Rice Husk and Its Biochar Have Contrasting Effects on Water-Soluble Organic Matter and the Microbial Community in a Bamboo Forest Soil" Land 11, no. 12: 2265. https://doi.org/10.3390/land11122265
APA StyleEl-Naggar, A., Zhou, R., Tang, R., Hur, J., Cai, Y., & Chang, S. X. (2022). Rice Husk and Its Biochar Have Contrasting Effects on Water-Soluble Organic Matter and the Microbial Community in a Bamboo Forest Soil. Land, 11(12), 2265. https://doi.org/10.3390/land11122265

