Spatiotemporal Changes in The Urban Landscape Pattern and Driving Forces of LUCC Characteristics in The Urban Agglomeration on The Northern Slope of The Tianshan Mountains from 1995 to 2018
Abstract
1. Introduction
2. Study Area and Data Source
2.1. Study Area
2.2. Data Sources and Pre-Processing
3. Research methods
3.1. Dynamic Degree of Land Use
3.2. Landscape Pattern Analysis
3.3. Degree of Comprehensive Land Use
3.4. Spatial Autocorrelation Analysis
3.5. Driving Force Analysis
4. Results
4.1. Temporal and Spatial Changes in Land Use Types
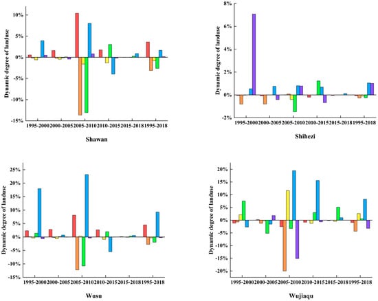
4.2. Analysis on the Dynamic Degree of Land Use
4.3. Land-Use Transfer Matrix
4.4. Landscape Pattern Analysis
4.5. Degree of Comprehensive Land Use
4.5.1. Spatial Clustering of the Degree of Comprehensive Land Use
4.5.2. Analysis of Driving Factors based on Geographic Detector
5. Discussions
5.1. Spatial Distribution of Landscape Patterns and LUCC Changing Trend
5.2. Influencing Factors of Urban Expansion
5.3. Research Limitations and Future Work
6. Conclusions
Author Contributions
Funding
Institutional Review Board Statement
Informed Consent Statement
Data Availability Statement
Acknowledgments
Conflicts of Interest
References
- Herath, H.M.P.I.K.; Halwatura, R.U.; Jayasinghe, G.Y. Evaluation of green infrastructure effects on tropical Sri Lankan urban context as an urban heat island adaptation strategy. Urban For. Urban Green. 2018, 29, 212–222. [Google Scholar] [CrossRef]
- Lewis, A.C. The changing face of urban air pollution. Science 2018, 359, 744–745. [Google Scholar] [CrossRef] [PubMed]
- Knapp, S.; Haase, D.; Klotz, S.; Schwarz, N. Do urban biodiversity and urban ecosystem services go hand in hand, or do we just hope it is that easy? In Urban Transformations: Sustainable Urban Development through Resource Efficiency, Quality of Life and Resilience; Kabisch, S., Koch, F., Gawel, E., Haase, A., Knapp, S., Krellenberg, K., Nivala, J., Zehnsdorf, A., Eds.; Springer: Cham, Switzerland, 2018; pp. 301–312. [Google Scholar] [CrossRef]
- Larson, K.L.; Nelson, K.C.; Samples, S.R.; Hall, S.J.; Bettez, N.; Cavender-Bares, J.; Groffman, P.M.; Grove, M.; Heffernan, J.B.; Hobbie, S.E.; et al. Ecosystem services in managing residential landscapes: Priorities, value dimensions, and cross-regional patterns. Urban Ecosyst. 2016, 19, 95–113. [Google Scholar] [CrossRef]
- Li, H.; Hong, L. Spatio-temporal land use/land cover dynamics and its driving forces in the Mekong Basin using Landsat imageries from 1988 to 2017. Geocarto Int. 2022, 1–23. [Google Scholar] [CrossRef]
- Allan, A.; Soltani, A.; Abdi, M.H.; Zarei, M. Driving forces behind land use and land cover change: A systematic and bibliometric review. Land 2022, 11, 1222. [Google Scholar] [CrossRef]
- Ren, Y.; Li, Z.; Li, J.; Dashtseren, A.; Li, Y.; Altanbagana, M. Comparative analysis of driving forces of land use/cover change in the upper, middle and lower reaches of the Selenga River Basin. Land Use Policy 2022, 117, 106118. [Google Scholar] [CrossRef]
- Mao, X.P.; Diao, J.J.; Fan, J.H.; Lyu, Y.Y.; Xu, W.G.; Wang, Z.; Li, M.S. Dynamic analysis and prediction of landscape pattern in Daxinganling forest-grass ecotone in the Inner Mongonia. Acta Ecol. Sin. 2021, 41, 8623–8634. [Google Scholar] [CrossRef]
- Zhang, G.; Ma, J.; Xu, S. Evaluation and prediction of cultivated land fragmentation based on landscape pattern index in Jizhou district of Tianjin city. Bull. Soil Water Conserv. 2022, 42, 112–119, 156. [Google Scholar] [CrossRef]
- Zhao, Y.; Kasimu, A.; Liang, H.; Reheman, R. Construction and restoration of landscape ecological network in urumqi city based on landscape ecological risk assessment. Sustainability 2022, 14, 8154. [Google Scholar] [CrossRef]
- Liu, K.; Yang, Y.Y.; Shi, R.G.; Li, Q.; Wu, B.; Zheng, H.Y.; Mi, C.H. Spatiotemporal changes in forces driving landscape patterns in the Yuqiao reservoir watershed during 1990–2020. J. Nat. Resour. 2022, 1–15. [Google Scholar] [CrossRef]
- Gao, Z.Q.; Bai, Y.P.; Zhou, L.; Qiao, F.W.; Song, L.J.; Chen, X.N. Characteristics and driving forces of wetland landscape pattern evolution of the city belt along the Yellow River in Ningxia, China. Chin. J. Appl. Ecol. 2020, 31, 3499–3508. [Google Scholar] [CrossRef]
- Garbarino, M.; Morresi, D.; Urbinati, C.; Malandra, F.; Motta, R.; Sibona, E.M.; Vitali, A.; Weisberg, P.J. Contrasting land use legacy effects on forest landscape dynamics in the Italian Alps and the Apennines. Landsc. Ecol. 2020, 35, 2679–2694. [Google Scholar] [CrossRef]
- Li, M.Z.; Li, Y.B.; Ran, C.H. Evolution of rural landscape pattern under the background of land use transformation:Based on the transect analysis of Caotangxi watershed. J. Nat. Resour. 2020, 35, 2283–2298. [Google Scholar] [CrossRef]
- Dong, G.; Xu, E.; Zhang, H. Spatiotemporal variation of driving forces for settlement expansion in different types of counties. Sustainability 2016, 8, 39. [Google Scholar] [CrossRef]
- Wei, W.; Zhang, Y.L.; Zhao, B.; Wang, H. Impacts of urban expansion on spatio-temporal variation of landscape patterns during rapid urbanization:a case study of Kunshan city. Ecol. Environ. Sci. 2011, 20, 7–12. [Google Scholar] [CrossRef]
- Ding, T.; Chen, J.; Fang, Z.; Chen, J. Assessment of coordinative relationship between comprehensive ecosystem service and urbanization: A case study of Yangtze River Delta urban Agglomerations, China. Ecol. Indic. 2021, 133, 108454. [Google Scholar] [CrossRef]
- Li, Q.; Li, W.; Wang, S.; Wang, J. Assessing heterogeneity of trade-offs/synergies and values among ecosystem services in Beijing-Tianjin-Hebei urban agglomeration. Ecol. Indic. 2022, 140, 109026. [Google Scholar] [CrossRef]
- Li, Z.T.; Li, M.; Xia, B.C. Spatio-temporal dynamics of ecological security pattern of the Pearl River Delta urban agglomeration based on LUCC simulation. Ecol. Indic. 2020, 114, 106319. [Google Scholar] [CrossRef]
- Yibo, Y.; Ziyuan, C.; Xiaodong, Y.; Simayi, Z.; Shengtian, Y. The temporal and spatial changes of the ecological environment quality of the urban agglomeration on the northern slope of Tianshan Mountain and the influencing factors. Ecol. Indic. 2021, 133, 108380. [Google Scholar] [CrossRef]
- Jiang, K.; Dai, W.Y.; Hu, Q.F.; Ou, H.; Huang, K. Analysis of island-type urban landscape fragmentation and its driving mechanism based on moving window method—A case study of Pingtan Island, Fujian Province, China. Ecol. Sci. 2019, 38, 99–110. [Google Scholar] [CrossRef]
- Abalo, M.; Badabate, D.; Fousseni, F.; Kpérkouma, W.; Koffi, A. Landscape-based analysis of wetlands patterns in the Ogou River basin in Togo (West Africa). Environ. Chall. 2021, 2, 100013. [Google Scholar] [CrossRef]
- Lange, M.; Feilhauer, H.; Kühn, I.; Doktor, D. Mapping land-use intensity of grasslands in Germany with machine learning and Sentinel-2 time series. Remote Sens. Environ. 2022, 277, 112888. [Google Scholar] [CrossRef]
- Zheng, H.; Peng, J.; Qiu, S.; Xu, Z.; Zhou, F.; Xia, P.; Adalibieke, W. Distinguishing the impacts of land use change in intensity and type on ecosystem services trade-offs. J. Environ. Manag. 2022, 316, 115206. [Google Scholar] [CrossRef]
- Zhao, X.; Tong, M.; He, Y.; Han, X.; Wang, L. A comprehensive, locally adapted soil quality indexing under different land uses in a typical watershed of the eastern Qinghai-Tibet Plateau. Ecol. Indic. 2021, 125, 107445. [Google Scholar] [CrossRef]
- Hu, X.; Ma, C.; Huang, P.; Guo, X. Ecological vulnerability assessment based on AHP-PSR method and analysis of its single parameter sensitivity and spatial autocorrelation for ecological protection—A case of Weifang City, China. Ecol. Indic. 2021, 125, 107464. [Google Scholar] [CrossRef]
- Dormann, C.F.; McPherson, J.M.; Araújo, M.B.; Bivand, R.; Bolliger, J.; Carl, G.; Davies, R.G.; Hirzel, A.; Jetz, W.; Daniel Kissling, W.; et al. Methods to account for spatial autocorrelation in the analysis of species distributional data: A review. Ecography 2007, 30, 609–628. [Google Scholar] [CrossRef]
- Wang, J.F.; Xu, C.D. Geodetector: Principle and prospective. Acta Geogr. Sin. 2017, 72, 116–134. [Google Scholar] [CrossRef]
- Ding, H.; Xingming, H. Spatiotemporal change and drivers analysis of desertification in the arid region of northwest China based on geographic detector. Environ. Chall. 2021, 4, 100082. [Google Scholar] [CrossRef]
- Che, T.; Li, C.; Luo, Y.J. Changes in landscape pattern of built-up land and its driving factors during urban sprawl. Acta Ecol. Sinica 2020, 40, 3283–3294. [Google Scholar] [CrossRef]
- Yu, F.T. Research on the Evolution of Urban Agglomeration Patterns on the Northern Slope of Tianshan Mountains Based on Rasterization. Master’s Thesis, Xinjiang University, Urumqi, China, 25 May 2021. [Google Scholar] [CrossRef]
- Ariken, M. Urbanization and Ecological Environment effects of Urban Agglomeration in Northernslope of Tianshan Mountains. Master’s Thesis, Xinjiang University, Urumqi, China, 24 May 2021. [Google Scholar] [CrossRef]
- Ruzi, T.; Kasimu, A.; Gao, P.W.; Zhao, H.M.; Abulaiti, H. Research on urban agglomeration expansion on the northern slope of tianshan mountains based on DMSP/OLS and NPP/VIIRS data. Geospat. Inf. 2022, 20, 20–25. [Google Scholar] [CrossRef]
- Zhang, L.F.; Fang, C.L.; Gao, Q. Spatial and temporal expansion of urban landscape and multi-scene simulation of urban agglomeration in northern slope of Tianshan Mountains. Acta Ecol. Sinica 2021, 41, 1267–1279. [Google Scholar] [CrossRef]
- Yang, W.R. Spatiotemporal change and driving forces of urban landscape pattern in Beijing. Acta Ecol. Sinica 2015, 35, 4357–4366. [Google Scholar] [CrossRef]
- Fang, C.; Li, G.; Wang, S. Changing and differentiated urban landscape in China: Spatiotemporal patterns and driving forces. Environ. Sci. Technol. 2016, 50, 2217–2227. [Google Scholar] [CrossRef] [PubMed]
- Fang, C. Strategic thinking and spatial layout for the sustainable development of urban agglomeration in northern slope of Tianshan Mountains. Arid Land Geogr. 2019, 42, 1–11. [Google Scholar] [CrossRef]
- Yang, Y.N.; Kasimu, A. Relationship between regional transportation advantage and development of reginal economy in Xinjiang under the background of the national strategy of the Belt and Road. Arid Land Geogr. 2017, 40, 680–691. [Google Scholar]
- Wang, X.; Wang, S.; Song, Y.; Feng, Z. Changchun land use spatio-temporal variation under the transportation elements’ driving. Econ. Geogr. 2015, 35, 155–161. [Google Scholar] [CrossRef]
- Tian, S.; Wu, W.; Shen, Z.; Wang, J.; Liu, X.; Li, L.; Li, X.; Liu, X.; Chen, H. A cross-scale study on the relationship between urban expansion and ecosystem services in China. J. Environ. Manag. 2022, 319, 115774. [Google Scholar] [CrossRef] [PubMed]











| Primary Type | Secondary Type | |
|---|---|---|
| Name | Number | Name |
| Cropland | 11 | Cultivated land |
| 12 | Dry land | |
| Forest | 21 | Has woodland |
| 22 | Bush forest | |
| 23 | Sparse woodland | |
| 24 | Other woodland | |
| Grassland | 31 | High coverage grassland |
| 32 | Medium coverage grassland | |
| 33 | Low coverage grassland | |
| Water | 41 | Canal |
| 42 | Lake | |
| 43 | Reservoir pond | |
| 44 | Permanent glacier snow | |
| 45 | Tidal flat | |
| 46 | Beach | |
| Urban | 51 | Urban land |
| 52 | Rural settlement | |
| 53 | Other construction land | |
| Unused | 61 | Sand |
| 62 | Gobi Desert | |
| 63 | Saline-alkali land | |
| 64 | Wetlands | |
| 65 | Bare land | |
| 66 | Bare rock | |
| 67 | Other | |
| 99 | Sea | |
| Landscape Metrics | Unit | Meaning |
|---|---|---|
| Patch density | pcs/km2 | The larger the value, the greater the number of patches |
| Edge density | Meter/km2 | The larger the value, the greater the edge length of the patches |
| Largest patch index | - | The larger the value, the larger the proportion of the largest patches to the landscape area |
| Shannon diversity index | - | The larger the value, the greater the patches’ heterogeneity |
| Land-Use Type | Unused Land | Forest Land, Grassland, and Water Bodies | Cultivated Land | Urban Land |
|---|---|---|---|---|
| Grading index | 1 | 2 | 3 | 4 |
| Judgment Basis | Interaction Type |
|---|---|
| q(X1∩X2) < Min(q(X1), q(X2)) | Nonlinear weakening |
| Min(q(X1), q(X2)) < q(X1∩X2) < Max(q(X1), q(X2) | Single-factor nonlinear weakening |
| q(X1∩X2) > Max(q(X1), q(X2) | Two-factor enhancement |
| q(X1∩X2) = q(X1) + q(X2) | Independent |
| q(X1∩X2) > q(X1) + q(X2) | Nonlinear enhancement |
| 1995 | 2018 | |||||||
|---|---|---|---|---|---|---|---|---|
| Grassland | Cropland | Urban | Forest | Water | Urban | Total | ||
| UANSTM | Grassland | 27,130.2 | 5988.4 | 666.2 | 574.1 | 301.3 | 5884.9 | 40,545.2 |
| Cropland | 830.3 | 9076.9 | 781.5 | 24.8 | 59.7 | 50.3 | 10,823.4 | |
| Urban | 71.1 | 271.1 | 628 | 1.8 | 2.3 | 107.9 | 1082.2 | |
| Forest | 2101.4 | 557 | 68.9 | 1156.4 | 36.4 | 202.2 | 4122.3 | |
| Water | 372 | 39.5 | 20.4 | 0.8 | 964.5 | 1700.4 | 3097.6 | |
| Urban | 3845.3 | 1873.2 | 210.3 | 27.8 | 292.9 | 20,387.8 | 26,637.2 | |
| Total | 34,350.3 | 17,806 | 2375.4 | 1785.6 | 1657 | 28,333.5 | 86,307.9 | |
| Urumqi | Grassland | 11,662.8 | 305.8 | 526.4 | 234.9 | 107.1 | 2687.5 | 15,524.6 |
| Cropland | 468.5 | 1666.9 | 414.3 | 12.5 | 12 | 18 | 2592.3 | |
| Urban | 18.6 | 43.7 | 481.4 | 3.1 | 0.5 | 5.8 | 553.1 | |
| Forest | 583.4 | 55.3 | 69.2 | 514.4 | 6.9 | 8 | 1237.2 | |
| Water | 83.1 | 1.9 | 7.9 | 0 | 180.5 | 455.4 | 728.9 | |
| Urban | 1305 | 98 | 115.5 | 9.1 | 116.2 | 4847.4 | 6491.3 | |
| Changji | Grassland | 5575.1 | 500.8 | 81.7 | 104.1 | 43.9 | 488.4 | 6793.9 |
| Cropland | 191.4 | 1786.3 | 223.6 | 15 | 17 | 2233.5 | ||
| Urban | 8.7 | 41.3 | 46.2 | 0.7 | 97 | |||
| Forest | 752.6 | 59.1 | 1.4 | 277.9 | 19.2 | 1110.1 | ||
| Water | 56.2 | 39.8 | 17 | 0.1 | 102.8 | 251.7 | 467.5 | |
| Urban | 349.4 | 434.3 | 1.8 | 7.3 | 3946.3 | 4739 | ||
| Shihezi | Grassland | 130 | 33.3 | 31.3 | 0 | 0.4 | 0.5 | 195.4 |
| Cropland | 12.3 | 448 | 126.4 | 4.5 | 3.4 | 3.1 | 597.7 | |
| Urban | 0.3 | 5.9 | 60.4 | 66.6 | ||||
| Forest | 0.3 | 4.8 | 6.3 | 0.6 | 12 | |||
| Water | 9.2 | 3 | 1.7 | 2.9 | 0.5 | 17.3 | ||
| Urban | 0.5 | 0.4 | 0.1 | 0.1 | 0.2 | 1.3 | ||
| Karamay | Grassland | 2922.4 | 1033.8 | 150.5 | 1.2 | 93.8 | 523.4 | 4725.1 |
| Cropland | 66.8 | 643.5 | 35.3 | 4.5 | 1.7 | 9.1 | 761 | |
| Urban | 50.9 | 30.3 | 200.9 | 2.4 | 189.7 | 474.1 | ||
| Forest | 280.6 | 149.9 | 23.3 | 0.5 | 8.1 | 140.1 | 602.5 | |
| Water | 8.5 | 0.4 | 0.2 | 69.3 | 3.5 | 81.9 | ||
| Urban | 1604.5 | 458.9 | 169.8 | 0.3 | 61.3 | 6726.3 | 9021.1 | |
| Fukang | Grassland | 3486.2 | 578.7 | 99.4 | 101.1 | 19.4 | 5376 | 9660.8 |
| Cropland | 39.1 | 752.6 | 38.8 | 10.6 | 3.3 | 844.3 | ||
| Urban | 11.2 | 56.9 | 65.1 | 0.4 | 22.6 | 156.3 | ||
| Forest | 155.7 | 99.2 | 3.5 | 163.8 | 3.7 | 0.4 | 426.3 | |
| Water | 5.1 | 3.8 | 0.5 | 0.2 | 80.7 | 31.3 | 121.7 | |
| Urban | 720.6 | 426.4 | 53.9 | 3 | 38.1 | 4221.7 | 5463.8 | |
| Hutubi | Grassland | 6394.3 | 1669.9 | 48.8 | 173.1 | 33.1 | 135 | 8454.2 |
| Cropland | 204.2 | 2054.6 | 116.6 | 1.4 | 35 | 6.8 | 2418.6 | |
| Urban | 8.3 | 64.5 | 50.4 | 0.1 | 0 | 0.1 | 123.4 | |
| Forest | 440.4 | 69.3 | 3.7 | 379.6 | 1.1 | 10.3 | 904.3 | |
| Water | 184.4 | 6 | 6.2 | 0.6 | 73.9 | 176.8 | 448 | |
| Urban | 668.8 | 224.1 | 30.8 | 0.1 | 25.4 | 5223.5 | 6172.7 | |
| Manas | Grassland | 3942.7 | 1486.6 | 68.9 | 190.2 | 32.8 | 415.5 | 6136.7 |
| Cropland | 150.9 | 2748.1 | 132.8 | 8.7 | 13.4 | 16.5 | 3070.5 | |
| Urban | 17.9 | 86.7 | 72.2 | 0 | 0.2 | 0.1 | 177.2 | |
| Forest | 352.1 | 93.2 | 3.9 | 252.7 | 10 | 13.5 | 725.5 | |
| Water | 87.7 | 4 | 4.6 | 212.7 | 236.6 | 545.7 | ||
| Urban | 231.2 | 291.2 | 3.8 | 2.9 | 107 | 6637.7 | 7273.9 | |
| Wujiaqu | Grassland | 140.8 | 27.3 | 4.9 | 7.8 | 4 | 184.9 | |
| Cropland | 74.2 | 280.6 | 47.4 | 0.7 | 8.3 | 411.2 | ||
| Urban | 4.8 | 6.7 | 13.9 | 0 | 0.3 | 25.7 | ||
| Forest | 2.6 | 3.3 | 2.4 | 0 | 0.8 | 9.1 | ||
| Water | 1.1 | 2.5 | 0.3 | 14.1 | 3.4 | 21.3 | ||
| Urban | 72.3 | 5.6 | 5.3 | 1.4 | 6.9 | 91.6 | ||
| Wusu | Grassland | 10,274.1 | 2652.8 | 80.2 | 220.0 | 113.1 | 1319.8 | 14,660.1 |
| Cropland | 144.3 | 2597.8 | 146.4 | 3.1 | 10.2 | 3.3 | 2905.1 | |
| Urban | 1.5 | 48.4 | 44.5 | 0.1 | 0.6 | 95.1 | ||
| Forest | 933.8 | 164.3 | 5.1 | 353.7 | 20.5 | 157.4 | 1634.8 | |
| Water | 129.7 | 6.7 | 0.2 | 0.2 | 441.5 | 775.9 | 1354.1 | |
| Urban | 2052.3 | 430.0 | 20.9 | 31.2 | 166.1 | 4740.7 | 7441.1 | |
| Shawan | Grassland | 7014.2 | 2395.1 | 72.6 | 68 | 113.7 | 543.2 | 10,206.9 |
| Cropland | 165.3 | 4242.6 | 162.9 | 13.2 | 10.8 | 4.9 | 4599.6 | |
| Urban | 13.5 | 132.8 | 136.9 | 0.1 | 0.2 | 0 | 283.6 | |
| Forest | 541.2 | 372.8 | 11.4 | 267.4 | 20.5 | 47.5 | 1260.8 | |
| Water | 136.9 | 5.6 | 0.6 | 0.4 | 654.9 | 1,297 | 2095.5 | |
| Urban | 410.4 | 1301.1 | 7.6 | 7.6 | 40.3 | 4050.4 | 5817.3 | |
| Kuitun | Grassland | 654.4 | 1043.7 | 121.2 | 7 | 16.9 | 1.2 | 1844.4 |
| Cropland | 24.2 | 252.3 | 28.1 | 0.2 | 2.4 | 0.2 | 307.5 | |
| Urban | 5.7 | 38.4 | 44.1 | |||||
| Forest | 6.1 | 21.9 | 1.4 | 0.2 | 29.6 | |||
| Water | 7.9 | 0.5 | 0.1 | 3.2 | 11.7 | |||
| Urban | 23.2 | 22.4 | 0.5 | 11.5 | 57.5 | |||
| Factors | Q | |||||
|---|---|---|---|---|---|---|
| 1995 | 2000 | 2005 | 2010 | 2015 | 2018 | |
| DEM | 0.041 | 0.053 | 0.089 | 0.045 | 0.062 | 0.062 |
| GDP | 0.047 | 0.020 | 0.008 | 0.012 | 0.011 | 0.011 |
| NDVI | 0.422 | 0.023 | 0.067 | 0.595 | 0.590 | 0.590 |
| River density | 0.274 | 0.032 | 0.059 | 0.384 | 0.374 | 0.374 |
| Precipitation | 0.142 | 0.020 | 0.021 | 0.053 | 0.050 | 0.050 |
| Population | 0.022 | 0.036 | 0.003 | 0.010 | 0.013 | 0.013 |
| Sunshine hours | 0.023 | 0.025 | 0.018 | 0.093 | 0.086 | 0.086 |
| Temperature | 0.078 | 0.039 | 0.009 | 0.122 | 0.119 | 0.119 |
| Slope | 0.011 | 0.005 | 0.036 | 0.014 | 0.019 | 0.019 |
Publisher’s Note: MDPI stays neutral with regard to jurisdictional claims in published maps and institutional affiliations. |
© 2022 by the authors. Licensee MDPI, Basel, Switzerland. This article is an open access article distributed under the terms and conditions of the Creative Commons Attribution (CC BY) license (https://creativecommons.org/licenses/by/4.0/).
Share and Cite
Zhao, Y.; Kasimu, A.; Gao, P.; Liang, H. Spatiotemporal Changes in The Urban Landscape Pattern and Driving Forces of LUCC Characteristics in The Urban Agglomeration on The Northern Slope of The Tianshan Mountains from 1995 to 2018. Land 2022, 11, 1745. https://doi.org/10.3390/land11101745
Zhao Y, Kasimu A, Gao P, Liang H. Spatiotemporal Changes in The Urban Landscape Pattern and Driving Forces of LUCC Characteristics in The Urban Agglomeration on The Northern Slope of The Tianshan Mountains from 1995 to 2018. Land. 2022; 11(10):1745. https://doi.org/10.3390/land11101745
Chicago/Turabian StyleZhao, Yongyu, Alimujiang Kasimu, Pengwen Gao, and Hongwu Liang. 2022. "Spatiotemporal Changes in The Urban Landscape Pattern and Driving Forces of LUCC Characteristics in The Urban Agglomeration on The Northern Slope of The Tianshan Mountains from 1995 to 2018" Land 11, no. 10: 1745. https://doi.org/10.3390/land11101745
APA StyleZhao, Y., Kasimu, A., Gao, P., & Liang, H. (2022). Spatiotemporal Changes in The Urban Landscape Pattern and Driving Forces of LUCC Characteristics in The Urban Agglomeration on The Northern Slope of The Tianshan Mountains from 1995 to 2018. Land, 11(10), 1745. https://doi.org/10.3390/land11101745

