Research on Behavioral Decision-Making of Subjects on Cultivated Land Conservation under the Goal of Carbon Neutrality
Abstract
1. Introduction
2. Literature Review
3. Game Model
3.1. Main Body Description
3.2. Model Hypothesis
3.3. Parameter Assumptions
3.3.1. The Local Governments’ Related Benefit Assumptions
3.3.2. The ATSOs’ Related Benefit Assumptions
3.3.3. The Farmers’ Related Benefit Assumptions
4. Equilibrium and Stability Analysis of Evolutionary Game Models
4.1. Equilibrium Analysis
4.1.1. Equilibrium Analysis of Local Governments
4.1.2. Equilibrium Analysis of ATSOs
4.1.3. Equilibrium Analysis of Farmers
4.2. Stability Analysis of Equilibrium Points
- Case1: When the equilibrium condition meets , , , the ESS is X3(0,0,1). It means that local governments do not support CLP and focus on economic construction, while ATSOs tend to promote HCAT to maximize benefits. Although farmers have the initiative to protect farmland, it is unrealistic to rely on farmers’ consciousness to complete low-carbon agricultural transformation when the government ignores it and lacks the support of LCAT. The balance point is not recommended.
- Case2: When the equilibrium condition meets , , , the ESS is X4(0,1,1). The ATSOs chose to promote LCAT for farmers, which further strengthened farmers’ willingness to take the initiative to adopt low-carbon production to protect farmland. In this case, the ATSOs and farmers have no loss of their interests and can rely on their consciousness to achieve farmland protection without governments’ policy support and supervision. It is the suboptimal ESS.
- Case3: When the equilibrium condition meets , , , the ESS is X6(1,0,1). This shows that the government can make up for farmers’ losses in production through subsidies so that farmers take the initiative to apply for LCAT. However, the government’s insufficient support for ATSOs leads to the lack of support and service for LCAT for farmers. Farmers have to grow their crops at a higher cost, which will increase the government’s burden in the long run. It is not ideal for cash-strapped local governments.
- Case4: When the equilibrium condition meets , , the ESS is X8(1,1,1). In this case, the initiative of farmers to protect farmland will be supported by the government in terms of policies, while farmers will be supported by ATSOs in LCAT so that farmers can persist in protecting farmland for a long time. The service demand of farmers is the driving force for the survival of ATSOs, and the subjects promoting LCAT get preferential policies from the government in the process of competition. Therefore, the interests of all stakeholders are ensured, and protection tillage technology will be steadily promoted to cover cultivated land in the main black soil areas by 2030. It is the optimal ESS.
5. Simulation Analysis and Discussion
5.1. Evolution and Evaluation of the Effect of CLP Policy
5.2. Sensitivity Analysis of Major Factors
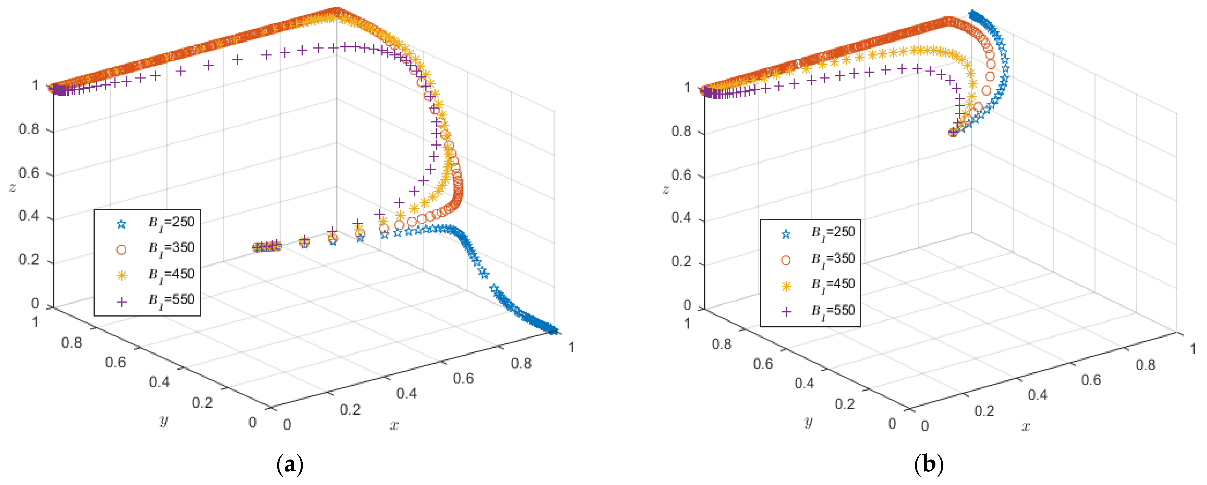
5.2.1. Impact of Farmers’ Subsidy B1
5.2.2. Impact of Farmers’ Fines B2
5.2.3. Impact of Incentive Dedicated Funds C2 and Production Trusteeship Subsidies C3
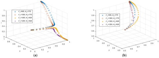
5.2.4. Impact of the Production Trusteeship Charge of LCAT F1 and Low Carbon Production Trusteeship Service Cost M2
6. Discussion
7. Conclusions
- (1)
- Appropriate farmer subsidies can help to carry out arable land protection, which should be 100~140 CNY/mu, and if it is more than 140 CNY/mu, it will lead to the weakening of local government’s willingness to participate in CLP. Therefore, the government’s financial burden should be reduced by eliminating the excessive subsidies to farmers.
- (2)
- An increase in the amount of the fines has a disincentive effect on farmers digging black soil, and the game model achieves an ideal equilibrium when it reaches 10 billion CNY. An effective penalty can make the government achieve its desired goal with fewer subsidies, which can be implemented as a long-term farmland protection policy.
- (3)
- Adequate incentive funds can provide the greatest incentive for ATSOs to promote LCAT, but note that this should be maintained at 5 billion CNY, otherwise it will have a negative impact on local governments. In addition, the production trusteeship subsidy provided by the government has no favorable impact on the ATSOs, which should be replaced by other ways, such as technical support and preferential policies, for guidance.
- (4)
- The main body of ATSOs adopts the method of reducing the service cost of production trusteeship and not raising the service fee, the service fee being maintained at 400 RMB/mu, and the service cost being reduced to 308 RMB/mu, which can most effectively increase the competitiveness of the main body of agrotechnology services in promoting LCAT.
Author Contributions
Funding
Institutional Review Board Statement
Informed Consent Statement
Data Availability Statement
Acknowledgments
Conflicts of Interest
Appendix A
| Parameters | Meaning | The Source of Data | Data |
| C1 | The subsidy for reform and construction of the agricultural technology extension system | In 2015, the subsidy was 2.6 billion CNY in China, covering 1200 agricultural counties nationwide. The annual growth rate is 25%. It is estimated that in northeast China, it is 26 × (121 + 100 + 60 + 36) × (1.25)6/1200 = 2.707 billion CNY. | 27.07 |
| C2 | The incentive dedicated funds set up by local governments for ATSOs promoting LCAT | In 2022, Liaoning province will raise 620 million CNY of funds for protection tillage and blackland protection to support the promotion of advanced applicable technologies of protection tillage, which can be estimated to be 1.8 billion CNY in total. | 18 |
| C3 | The subsidies for production trusteeship of the ATSOs | From 2017 to 2019, the subsidies for agricultural production trusteeship are 11 billion CNY, and the subsidies will increase to 4.5 billion CNY in 2022. It is estimated that 45 × (121 + 100 + 60 + 36)/1200 = 1.189 billion CNY. | 11.89 |
| B1 | The subsidy is given to farmers who protect cultivated land | According to the Notice of Liaoning Province on the Implementation Plan of Black soil Protection Tillage in 2022, the subsidy standard is 58 CNY/mu. The subsidy standard of Heilongjiang Province and Jilin Province is 57 CNY/mu and 40 CNY/mu respectively. The average subsidy is 52 CNY/mu, and we can estimate 52 × 250 = 13 billion CNY. Other subsidies, such as subsoiling and organic fertilizer subsidies, are 12 billion CNY. | 250 |
| B2 | The fine for farmers who do not protect their cultivated land | Due to the illegal occupation of a small number of fines, the main calculation is stolen digging black soil fines. In 2017, 200,000 cubic meters of black soil were stolen and dug in Jilin Province, and the fine for illegally selling black soil was 2000 CNY/m3, which can be estimated as 400 million CNY. It is estimated that 4/60 *× (121 + 100 + 60 + 36) = 2.11 billion CNY. | 21.1 |
| R | The cost of governance and publicity for the deterioration of the cultivated land environment | Refer to the central blackland protection fund of 80 million CNY issued by the Hulunbuir Finance Bureau in 2022 to support the work related to blackland protection in northeast China. We can estimate 8000 × (4 + 8 + 14 + 13) = 3.12 billion CNY. | 31.2 |
| H1 | The performance benefits and social benefits brought by the increase in grain yield | In 2021, the incentive fund for grain-producing counties from Liaoning, Jilin, Heilongjiang, and Inner Mongolia provinces is 1.14, 0.5, 4.312, and 1.42 billion CNY respectively. Total of 7.38 billion CNY. | 73.8 |
| H2 | The long-term comprehensive benefits of governments from carbon neutrality | Long-term comprehensive benefits are difficult to estimate based on existing data and are mainly estimated through expert surveys. | 600 |
| H3 | The economic construction benefits of local governments | Estimated by expert survey method. | 300 |
| V | the long-term benefit loss caused by local governments’ inaction | According to the Ministry of Agriculture and Rural Affairs in China, the annual loss of black soil leads to a decrease in grain production of 20 million tons. Taking corn, the main food crop, as a reference, the average price is 2670 CNY/ton, and the estimated grain loss is 53.4 billion CNY. The growth of construction land brought about 9.98 million tons of carbon emissions from 2000 to 2015. The social cost of carbon dioxide emissions in China is 24 USD/ton [80]. 998 × 24 × 67,000 CNY = 1.6 billion CNY. The long-term benefit loss should be over 55 billion CNY. We can estimate 70 billion CNY. | 700 |
| C4 | Working and operating expenses | Taking the Agricultural Technology Extension Center of Yi’an County in Heilongjiang Province as a reference, the funds for the daily operation of the organs were 937,700 CNY and 488,900 CNY respectively. As of 2016, there are 1555 ATSOs in Heilongjiang Province, 1111 ATSOs in Jilin Province, and 5620 ATSOs in Liaoning Province, with a total of 8286. According to the average estimate of work funds, (93.77 + 48.89)/2 × 8286 = 5.91 billion CNY. | 59.1 |
| T | The capacity building costs for agricultural technicians | According to the Implementation Plan of Subsidy Project for The Reform and Construction of Grassroots Agricultural Technology Extension System in Huoqiu County, Zhejiang Province in 2020, the talent training amount is 569,000 CNY. We estimated 8286 × 569,000 CNY = 4.71 billion CNY. | 47.1 |
| M1 | The expenditures related to the demonstration and promotion of LCAT in villages | Related expenses are mainly through manager survey. | 500 |
| M2 | The costs of ATSOs to provide farmers with low carbon production trusteeship service | The profit of ATSOs’ service is about 30 CNY per mu. Combined with the production trusteeship fee of LCAT, we can estimate the total cost is 2.5 × (400 − 30) = 92.5 billion CNY. | 925 |
| M4 | The costs of ATSOs to provide farmers with conventional production trusteeship service | Combined with the production trusteeship fee of HCAT, we can estimate the total cost is 2.5 × (338 − 30) = 77 billion CNY. | 770 |
| F2 | The production trusteeship fee of HCAT charged to farmers | Taking corn planting in Lanxi County, Heilongjiang province as a reference, the trusteeship service organization can reduce the planting cost by 10–15%, save labor costs by more than 40%, and reduce fertilizer application by more than 20% compared with farmers’ self-planting. The estimated trusteeship cost is 338 CNY/mu, a total of 2.5 × 3.38 million = 84.5 billion CNY. | 845 |
| F1 | The production trusteeship fee of LCAT charged to farmers | ATSOs adopt LCAT needs a higher cost. The estimated cost is 400 CNY/mu. Production trusteeship costs are 250 × 40 billion CNY =100 billion CNY. | 1000 |
| D1 | The long-term development benefit of ATSOs due to the carbon-neutrality effect | It is difficult to estimate long-term comprehensive benefits based on existing data, so it is mainly estimated by experts. | 200 |
| M3 | The related expenditure for conventional agricultural technology popularization | Related expenses are mainly through manager survey. | 100 |
| N | The adverse impact of the promotion of HCAT on long-term development | Adverse effects are mainly estimated by experts. | 240 |
| A1 | The production cost of self-planting with HCAT | Taking the protective tillage task area of 80 million mu in 2022 as the calculation area and corn as the example, farmers’ self-planting cost of conventional agricultural production is 480 CNY/mu (including fertilizer costs of 150 CNY/mu, labor and agricultural machinery costs 280 CNY/mu, pesticides, and other costs 50 CNY/mu). Assuming no land rent cost, 2.5 × 480 = 120 billion CNY. | 1200 |
| K1 | Farmers’ crop benefits caused by yield increase technology of HCAT | The yield of corn in northeast China is calculated according to the high yield of 750 kg/mu, the average purchase price of corn is 0.6 CNY/kg, the corn planting subsidy is 68 CNY/mu, the fertilizer subsidy is 11 CNY/mu, minus the land rental cost of 500 CNY/mu, then the total income is about 1379 CNY/mu, 1379 × 2.5 = 344.75 billion CNY. | 3447.5 |
| K2 | The illegal farmers‘ profits from the digging of black soil | In 2017, about 200,000 cubic meters of black soil were stolen from several regions in Jilin Province, involving more than 10 million CNY. It is estimated that the total illegal income is 1000 × (121 + 100 + 60 + 36) = 3.17 billion CNY. | 31.7 |
| Q1 | The loss of farmland fertility caused by long-term predatory production | According to the statistics of the Ministry of Agriculture and Rural Affairs, the amount of nitrogen, phosphorus, potassium and other minerals lost in the soil in the northeast black soil area every year amounts to 4 million to 5 million tons when converted into standard fertilizers. According to the fertilizer costs 2800 CNY/ton, it is estimated that 450 × 2800 = 12.6 billion CNY. | 126 |
| Q2 | The adverse impact of the increase in carbon emissions caused by HCAT | Estimated by expert survey method. | 200 |
| A2 | The protective production cost paid by farmers for self-planting with LCAT | The cost of organic fertilizer application is 230 CNY/mu, the cost of pesticide reduction is 40 CNY/mu, the cost of technical training and equipment is 300 CNY/mu, and the estimated self-planting cost is about 570 CNY/mu. Excluding the cost of land lease, the total production cost is 2.5 × 570 = 142.5 billion CNY. | 1425 |
| K3 | The crop income earned by farmers from self-planting with LCAT | According to the calculation of the average 600 kg/ mu, the total income is about 1058 CNY/mu, which can be 1008 × 2.5 = 252 billion CNY. | 2520 |
| L1 | The increased potential of future crop yield by low carbon production trusteeship | To implement 250 million mu of protected blackland by 2030, farmers will adopt whole-process trusted-production, including labor costs, and adopt the protection tillage mode of trusted-production, saving 100 CNY and increasing efficiency per mu of corn. It can be assumed that the potential increase in crop income in the future is 100 × 2.5 = 25 billion CNY. | 250 |
| L2 | Carbon-neutrality benefits for farmers | Carbon-neutrality benefits are difficult to estimate based on existing data, so they are mainly estimated by experts. | 300 |
References
- IPCC. Climate Change 2021: The Physical Science Basis; The Intergovernmental Panel on Climate Change: Geneva, Switzerland, 2021. [Google Scholar]
- Zhao, X.; Shang, Y.; Song, M. Industrial structure distortion and urban ecological efficiency from the perspective of green entrepreneurial ecosystems. Socio Econ. Plann. Sci. 2020, 72, 100757. [Google Scholar] [CrossRef]
- Chu, Z.; Cheng, M.; Yu, N.N. A smart city is a less polluted city. Technol. Forecast. Soc. Chang. 2021, 172, 121037. [Google Scholar] [CrossRef]
- Liu, M.; Yang, L. Spatial pattern of China’s agricultural carbon emission performance. Ecol. Indic. 2021, 133, 108345. [Google Scholar] [CrossRef]
- FAO. The State of Food and Agriculture 2016: Climate Change, Agriculture and Food Security; Food and Agriculture Organization of the United Nations: Rome, Italy, 2016. [Google Scholar]
- Frank, S.; Beach, R.; Havlík, P.; Valin, H.; Herrero, M.; Mosnier, A.; Hasegawa, T.; Creason, J.; Ragnauth, S.; Obersteiner, M. Structural change as a key component for agricultural non-CO2 mitigation efforts. Nat. Commun. 2018, 9, 1060. [Google Scholar] [CrossRef] [PubMed]
- Huang, X.; Xu, X.; Wang, Q.; Zhang, L.; Gao, X.; Chen, L. Assessment of Agricultural Carbon Emissions and Their Spatiotemporal Changes in China, 1997–2016. Int. J. Environ. Res. Public Health 2019, 16, 3105. [Google Scholar] [CrossRef] [PubMed]
- He, Y.; Chen, R.; Wu, H.; Xu, J.; Song, Y. Spatial dynamics of agricultural carbon emissions in China and the related driving factors. Chin. J. Eco-Agric. 2018, 26, 1269–1282. (In Chinese) [Google Scholar]
- Zhang, L.; Pang, J.; Chen, X.; Lu, Z. Carbon emissions, energy consumption and economic growth: Evidence from the agricultural sector of China’s main grain-producing areas. Sci. Total Environ. 2019, 665, 1017–1025. [Google Scholar] [CrossRef] [PubMed]
- Sun, L.; Cao, X.; Alharthi, M.; Zhang, J.; Taghizadeh-Hesary, F.; Mohsin, M. Carbon emission transfer strategies in supply chain with lag time of emission reduction technologies and low-carbon preference of consumers. J. Clean. Prod. 2020, 264, 121664. [Google Scholar] [CrossRef]
- Bruvoll, A.; Medin, H. Factors Behind the Environmental Kuznets Curve. A Decomposition of the Changes in Air Pollution. Environ. Resour. Econ. 2003, 24, 27–48. [Google Scholar] [CrossRef]
- Shortle, J.S.; Abler, D.G.; Horan, R.D. Research Issues in Nonpoint Pollution Control. Environ. Resour. Econ. 1998, 11, 571–585. [Google Scholar] [CrossRef]
- Fargione, J.; Hill, J.; Tilman, D.; Polasky, S.; Hawthorne, P. Land Clearing and the Biofuel Carbon Debt. Science 2008, 319, 1235–1238. [Google Scholar] [CrossRef]
- Baumann, M.; Gasparri, I.; Piquer-Rodríguez, M.; Gavier Pizarro, G.; Griffiths, P.; Hostert, P.; Kuemmerle, T. Carbon emissions from agricultural expansion and intensification in the Chaco. Glob. Chang. Biol. 2016, 23, 1902–1916. [Google Scholar] [CrossRef]
- Wang, J.; Epstein, H.E. Estimating carbon source-sink transition during secondary succession in a Virginia valley. Plant Soil. 2012, 362, 135–147. [Google Scholar] [CrossRef]
- Boehm, M.; Junkins, B.; Desjardins, R.; Kulshreshth, S.; Lindwall, W. Sink Potential of Canadian Agricultural Soils. Clim. Chang. 2004, 65, 297–314. [Google Scholar] [CrossRef]
- Jin, S.Q.; Lin, Y.; Niu, K.Y. Driving Green Transformation of Agriculture with Low Carbon: Characteristics of Agricultural Carbon Emissions and Its Emission Reduction Path in China. Reform 2021, 5, 29–37. (In Chinese) [Google Scholar]
- He, P.; Zhang, J.; Li, W. The role of agricultural green production technologies in improving low-carbon efficiency in China: Necessary but not effective. J. Environ. Manag. 2021, 293, 112837. [Google Scholar] [CrossRef]
- Chester, L. Conceptualising energy security and making explicit its polysemic nature. Energy Policy 2010, 38, 887–895. [Google Scholar] [CrossRef]
- Qi, X.; Fu, Y.; Wang, R.Y.; Ng, C.N.; Dang, H.; He, Y. Improving the sustainability of agricultural land use: An integrated framework for the conflict between food security and environmental deterioration. Appl. Geogr. 2018, 90, 214–223. [Google Scholar] [CrossRef]
- Gerlagh, R. Measuring the value of induced technological change. Energy Policy 2007, 35, 5287–5297. [Google Scholar] [CrossRef]
- Yaday, D.; Wang, J. Modelling carbon dioxide emissions from agricultural soils in Canada. Environ. Pollut. 2017, 230, 1040–1049. [Google Scholar] [CrossRef]
- Lu, X.; Zhang, Y.; Tang, H. Modeling and Simulation of Dissemination of Cultivated Land Protection Policies in China. Land 2021, 10, 160. [Google Scholar] [CrossRef]
- Liu, Y.; Li, J.; Yang, Y. Strategic adjustment of land use policy under the economic transformation. Land Use Policy 2018, 74, 5–14. [Google Scholar] [CrossRef]
- Shang, Z.H.; Cao, J.J.; Degen, A.A.; Zhang, D.W.; Long, R.J. A four year study in a desert land area on the effect of irrigated, cultivated land and abandoned cropland on soil biological, chemical and physical properties. Catena 2019, 175, 1–8. [Google Scholar] [CrossRef]
- Li, Y.; Huang, S.; Yin, C.; Sun, G.; Ge, C. Construction and Countermeasure Discussion on Government Performance Evaluation Model of Air Pollution Control: A Case Study from Beijing-Tianjin-Hebei Region. J. Clean. Prod. 2020, 254, 120072. [Google Scholar] [CrossRef]
- Huang, Z.H.; Du, X.J.; Castillo, C.S.Z. How does urbanization affect farmland protection? Evidence from China. Resour. Conserv. Recy. 2019, 145, 139–147. [Google Scholar] [CrossRef]
- Zhao, P.; Li, S.; Wang, E.; Chen, X.; Deng, J.; Zhao, Y. Tillage erosion and its effect on spatial variations of soil organic carbon in the black soil region of China. Soil Tillage Res. 2018, 178, 72–81. [Google Scholar] [CrossRef]
- Zhou, Z.; Sun, O.J.; Huang, J.; Li, L.; Liu, P.; Han, X. Soil carbon and nitrogen stores and storage potential as affected by land-use in an agro-pastoral ecotone of northern China. Biogeochemistry 2007, 82, 127–138. [Google Scholar] [CrossRef]
- Xie, H.; Cheng, L.; Lv, T. Factors influencing farmer willingness to fallow winter wheat and ecological compensation standards in a groundwater funnel area in Hengshui, Hebei Province, China. Sustainability 2017, 9, 839. [Google Scholar] [CrossRef]
- Wang, Q.; Zhao, Z.; Shen, N.; Liu, T. Have Chinese cities achieved the win–win between environmental protection and economic development? Ecol. Indic. 2015, 51, 151–158. [Google Scholar] [CrossRef]
- Qian, F.; Lal, R.; Wang, Q. Land evaluation and site assessment for the basic farmland protection in Lingyuan County, Northeast China. J. Clean. Prod. 2021, 314, 128097. [Google Scholar] [CrossRef]
- Chen, Y.; Yao, M.; Zhao, Q.; Chen, Z.; Jiang, P.; Li, M.; Chen, D. Delineation of a basic farmland protection zone based on spatial connectivity and comprehensive quality evaluation: A case study of Changsha City, China. Land Use Policy 2020, 101, 105145. [Google Scholar] [CrossRef]
- Nixon, D.V.; Newman, L. The efficacy and politics of farmland preservation through land use regulation: Changes in southwest British Columbia’s Agricultural Land Reserve. Land Use Policy 2016, 59, 227–240. [Google Scholar] [CrossRef]
- Kassisa, G.; Bertrand, N. Institutional changes in farmland governance emerging from a collective land preservation procedure upholding local food projects: Evidence from a French case study. Land Use Policy 2022, 120, 106295. [Google Scholar] [CrossRef]
- Tufa, D.E.; Megento, T.L. The effects of farmland conversion on livelihood assets in peri-urban areas of Addis Ababa Metropolitan city, the case of Akaki Kaliti sub-city, Central Ethiopia. Land Use Policy 2022, 119, 106197. [Google Scholar] [CrossRef]
- Van Leeuwen, C.C.E.; Cammeraat, E.L.H.; de Vente, J.; Boix-Fayos, C. The evolution of soil conservation policies targeting land abandonment and soil erosion in Spain: A review. Land Use Policy 2019, 83, 174–186. [Google Scholar] [CrossRef]
- Mulazzani, L.; Manrique, R.; Malorgio, G. The role of strategic behaviour in eco-system service modeling: Integrating Bayesian networks with game theory. Ecol. Econ. 2017, 141, 234–244. [Google Scholar] [CrossRef]
- Zhong, T.; Huang, X.; Zhang, X.; Scott, S.; Wang, K. The effects of basic cultivated land protection planning in Fuyang County, Zhejiang Province, China. Appl. Geogr. 2012, 35, 422–438. [Google Scholar] [CrossRef]
- Barham, B.; Carter, M.R.; Sigelko, W. Agro-export production and peasant land access: Examining the dynamic between adoption and accumulation. J. Dev. Econ. 1995, 46, 85–107. [Google Scholar] [CrossRef]
- Zhang, H.; Li, X.; Shao, X. Impacts of China’s rural land policy and administration on rural economy and grain production. Rev. Policy Res. 2006, 23, 607–624. [Google Scholar] [CrossRef]
- Skinner, M.W.; Kuhn, R.G.; Joseph, A.E. Agricultural land protection in China: A case study of local governance in Zhejiang Province. Land Use Policy 2001, 18, 329–340. [Google Scholar] [CrossRef]
- Perrin, C.; Nougarèdes, B.; Sini, L.; Branduini, P.; Salvati, L. Governance changes in peri -urban farmland protection following decentralisation: A comparison between Montpellier (France) and Rome (Italy). Land Use Policy 2017, 70, 535–546. [Google Scholar] [CrossRef]
- Zellner, M.L.; Page, S.E.; Rand, W.; Brown, D.G.; Robinson, D.T.; Nassauer, J.; Low, B. The emergence of zoning policy games in exurban jurisdictions: Informing collective action theory. Land Use Policy 2009, 26, 356–367. [Google Scholar] [CrossRef]
- Arrow, K. Social Choice and Personal Values; Willy: New York, NY, USA, 1951. [Google Scholar]
- Friedman, D. Evolutionary games in economic. Econometrica 1991, 59, 67–79. [Google Scholar] [CrossRef]
- Fisher, R.A. The Genetic Theory of Natural Selection; Clarendon Press: Oxford, UK, 1930. [Google Scholar]
- Hamilton, W. Extraordinary sex rations. Science 1967, 156, 477–488. [Google Scholar] [CrossRef]
- Sheng, J.; Webber, M. Incentive-compatible payments for watershed services along the eastern route of China’s south-north water transfer project. Ecosyst. Serv. 2017, 25, 213–226. [Google Scholar] [CrossRef]
- Wang, G.; Chao, Y.; Lin, J.; Chen, Z. Evolutionary game theoretic study on the coordinated development of solar power and coal-fired thermal power under the background of carbon neutral. Energy Rep. 2021, 7, 7716–7727. [Google Scholar] [CrossRef]
- Kang, K.; Zhao, Y.; Zhang, J.; Qiang, C. Evolutionary game theoretic analysis on low-carbon strategy for supply chain enterprises. J. Clean. Prod. 2019, 230, 981–994. [Google Scholar] [CrossRef]
- Yang, Y.; Yang, W.; Chen, H.; Li, Y. China’s energy whistleblowing and energy supervision policy: An evolutionary game perspective. Energy 2020, 213, 118774. [Google Scholar] [CrossRef]
- Su, Z.F.; Yang, X.J.; Zhang, L.P. Evolutionary Game of the Civil-Military Integration with Financial Support. IEEE Access 2020, 8, 89510–89519. [Google Scholar] [CrossRef]
- Wang, H.Y.; Gao, L.; Jia, Y. The predicament of clean energy technology promotion in China in the carbon neutrality context: Lessons from China's environmental regulation policies from the perspective of the evolutionary game theory. Energy Rep. 2022, 8, 4706–4723. [Google Scholar]
- Bond, A.; Pope, J.; Morrison-Saunders, A.; Retief, F. A game theory perspective on environmental assessment: What games are played and what does this tell us about decision making rationality and legitimacy? Environ. Impact Assess. Rev. 2016, 57, 187–194. [Google Scholar] [CrossRef]
- Wang, G.; Chao, Y.C.; Cao, Y.; Jiang, T.L.; Han, W.; Chen, Z.S. A comprehensive review of research works based on evolutionary game theory for sustainable energy development. Energy Rep. 2022, 8, 114–136. [Google Scholar] [CrossRef]
- Xie, H.L.; Jin, S.T. Evolutionary Game Analysis of Fallow Farmland Behaviors of Different Types of Farmers and Local Governments. Land Use Policy 2019, 88, 104122. [Google Scholar] [CrossRef]
- Xie, H.; Wang, W.; Zhang, X. Evolutionary game and simulation of management strategies of fallow cultivated land: A case study in Hunan province, China. Land Use Policy 2018, 71, 86–97. [Google Scholar] [CrossRef]
- Chen, Q.; Xie, H.; Zhai, Q. Management Policy of Farmers’ Cultivated Land Abandonment Behavior Based on Evolutionary Game and Simulation Analysis. Land 2022, 11, 336. [Google Scholar] [CrossRef]
- Mirja, M.; Jeroen, C.J.G.; Gundula, F.; Pablo, T. Land use decisions: By whom and to whose benefit? A serious game to uncover dynamics in farm land allocation at household level in Northern Ghana. Land Use Policy 2020, 91, 104325. [Google Scholar]
- Maleki, J.; Masoumi, Z.; Hakimpour, F.; Carlos, A.; Coello, C.A.C. A spatial land-use planning support system based on game theory. Land Use Policy 2020, 99, 105013. [Google Scholar] [CrossRef]
- Hang, X.L.; Bao, H.J.; Skitmore, M. The land hoarding and land inspector dilemma in China: An evolutionary game theoretic perspective. Habitat Int. 2015, 46, 187–195. [Google Scholar]
- Li, C.; Zhang, F.; Cao, C.; Liu, Y.; Qu, T. Organizational coordination in sustainable humanitarian supply chain: An evolutionary game approach. J. Clean. Prod. 2019, 219, 291–303. [Google Scholar] [CrossRef]
- Hejnowicz, A.P.; Rudd, M.A.; White, P.C.L. A survey exploring private farm advisor perspectives of agri-environment schemes: The case of England’s Environmental Stewardship programme. Land Use Policy 2016, 55, 240–256. [Google Scholar] [CrossRef]
- Yu, L.; Qin, H.; Xiang, P.A. Incentive Mechanism of Different Agricultural Models to Agricultural Technology Information Management System. Sustain. Comput. Inform. Syst. 2020, 28, 100423. [Google Scholar] [CrossRef]
- Gao, Y.; Zhao, D.; Yu, L.; Yang, H. Influence of a new agricultural technology extension mode on farmers’ technology adoption behavior in China. J. Rural Stud. 2020, 76, 173–183. [Google Scholar] [CrossRef]
- George, M.; Mao, S.; Qiao, F. Does agricultural training and demonstration matter in technology adoption? The empirical evidence from small rice farmers in Tanzania. Technol. Soc. 2022, 70, 102024. [Google Scholar] [CrossRef]
- Schomers, S.; Matzdorf, B. Payments for ecosystem services: A review and comparison of developing and industrialized countries. Ecosyst. Serv. 2013, 6, 16–30. [Google Scholar] [CrossRef]
- Wang, W.; Xie, H.; Jiang, T.; Zhang, D.; Xie, X. Measuring the Total-Factor Carbon Emission Performance of Industrial Land Use in China Based on the Global Directional Distance Function and Non-Radial Luenberger Productivity Index. Sustainability 2016, 8, 336. [Google Scholar] [CrossRef]
- Umali-Deininger, D. Public and private agricultural extension: Partners or rivals? World Bank Res. Obs. 1997, 12, 203–224. [Google Scholar] [CrossRef]
- Birner, R.; Davis, K.; Pender, J.; Nkonya, E.; Anandajayasekeram, P.; Ekboir, J.; Mbabu, A.N.; Spielman, D.J.; Horna, D.; Benin, S.; et al. From Best Practice to Best Fit: A Framework for Designing and Analyzing Pluralistic Agricultural Advisory Services Worldwide. J. Agric. Educ. Ext. 2009, 15, 341–355. [Google Scholar] [CrossRef]
- Knierim, A.; Boenning, K.; Caggiano, M.; Cristóvão, A.; Dirimanova, V.; Koehnen, T.; Labarthe, P.; Prager, K. The AKIS Concept and its Relevance in Selected EU Member States. Outlook Agric. 2015, 44, 29–36. [Google Scholar] [CrossRef]
- Li, M.; Wang, J.; Zhao, P.; Chen, K.; Wu, L. Factors affecting the willingness of agricultural green production from the perspective of farmers’ perceptions. Sci. Total Environ. 2020, 738, 140289. [Google Scholar] [CrossRef]
- Yang, X.; Zhou, X.; Deng, X. Modeling farmers’ adoption of low-carbon agricultural technology in Jianghan Plain, China: An examination of the theory of planned behavior. Technol. Forecast. Soc. Chang. 2022, 180, 121726. [Google Scholar] [CrossRef]
- Taylor, P.D.; Jonker, L.B. Evolutionary stable strategies and game dynamics. Math. Biosci. 1978, 40, 145–156. [Google Scholar] [CrossRef]
- Wang, P.K.C. Stability analysis of elastic and aeroelastic systems via Lyapunov's direct method. J. Frankl. Inst. 1966, 281, 51–72. [Google Scholar] [CrossRef]
- Law, A.M.; Kelton, W.D. Simulation modeling and analysis. J. Am. Statal Assoc. 2007, 275, 248–293. [Google Scholar]
- Wu, Y.; Shan, L.; Guo, Z.; Peng, Y. Cultivated land protection policies in China facing 2030: Dynamic balance system versus basic cultivated land zoning. Habitat Int. 2017, 69, 126–138. [Google Scholar] [CrossRef]
- Sibande, L.; Bailey, A.; Davidova, S. The impact of farm input subsidies on maize marketing in Malawi. Food Policy 2017, 69, 190–206. [Google Scholar] [CrossRef]
- Ricke, K.; Drouet, L.; Caldeira, K.; Tavoni, M. Country-level social cost of carbon. Nat. Clim. Chang. 2018, 8, 895–900. [Google Scholar] [CrossRef]










| Strategy | Benefits of Local Governments | Benefits of ATSOs | Benefits of Farmers |
|---|---|---|---|
| (0,0,0) | |||
| (0,0,1) | |||
| (0,1,0) | |||
| (0,1,1) | |||
| (1,0,0) | |||
| (1,0,1) | |||
| (1,1,0) | |||
| (1,1,1) |
| Equilibrium Points | λ1 | λ2 | λ3 |
|---|---|---|---|
| X1(0,0,0) | |||
| X2(0,1,0) | |||
| X3(0,0,1) | |||
| X4(0,1,1) | |||
| X5(1,0,0) | |||
| X6(1,0,1) | |||
| X7(1,1,0) | |||
| X8(1,1,1) |
Publisher’s Note: MDPI stays neutral with regard to jurisdictional claims in published maps and institutional affiliations. |
© 2022 by the authors. Licensee MDPI, Basel, Switzerland. This article is an open access article distributed under the terms and conditions of the Creative Commons Attribution (CC BY) license (https://creativecommons.org/licenses/by/4.0/).
Share and Cite
Teng, Y.; Lin, P. Research on Behavioral Decision-Making of Subjects on Cultivated Land Conservation under the Goal of Carbon Neutrality. Land 2022, 11, 1664. https://doi.org/10.3390/land11101664
Teng Y, Lin P. Research on Behavioral Decision-Making of Subjects on Cultivated Land Conservation under the Goal of Carbon Neutrality. Land. 2022; 11(10):1664. https://doi.org/10.3390/land11101664
Chicago/Turabian StyleTeng, Yun, and Peiwen Lin. 2022. "Research on Behavioral Decision-Making of Subjects on Cultivated Land Conservation under the Goal of Carbon Neutrality" Land 11, no. 10: 1664. https://doi.org/10.3390/land11101664
APA StyleTeng, Y., & Lin, P. (2022). Research on Behavioral Decision-Making of Subjects on Cultivated Land Conservation under the Goal of Carbon Neutrality. Land, 11(10), 1664. https://doi.org/10.3390/land11101664
