Assessment of Value Changes and Spatial Differences in Land Use Based on an Empirical Survey in the Manas River Basin
Abstract
1. Introduction
2. Materials and Methods
2.1. Overview of the Study Area
2.2. Data Sources
2.3. Research Methods
2.3.1. Degree of Cultivated Land Integration
2.3.2. Construction of Cultivated Land Value Measurement System
- (1)
- Pro-ecological positive value of cultivated land
- (2)
- Negative pro-ecological value of cultivated land
- (a)
- The negative value of environmental pollution caused by the excessive use of chemical fertilizers and pesticides in cultivated land.In order to prevent diseases and insect pests and increase crop production, farmers have widely used pesticides and fertilizers on cultivated land and their dependence has gradually increased, resulting in water eutrophication, increased nitrate content in crops and groundwater, and pesticide residues that endanger human health. The specific formula is as follows [32]:where is the negative value of the cultivated land in the study area due to the use of pesticides and fertilizers, and are the amounts of fertilizer and pesticides used, and and are the utilization rates of fertilizers and pesticides. We refer to Chen Tongbin [33] and Sun Xinzhang [34] to take 36% and 35%; and gny are the prices of fertilizers and pesticides, respectively.
- (b)
- Negative value caused by residual mulch film on cultivated land.Any mulch film remaining in cultivated land destroys the soil structure, hinders the penetration of moisture into the soil, and affects the growth of crops. Additionally, it affects the environmental landscape of the cultivated land and causes visual pollution. The negative value calculation formula is as follows [32]:where is the negative value caused by the residual mulch film on cultivated land, dm is the area covered by the mulch film, and and o are the residual ratios of mulch film and crop loss ratio. We refer to Chen Tongbin [35] and Sun Xinzhang [36] to take 41.7% and 10%; is the yield per unit of the i-th crop.
3. Results and Analysis
3.1. Intensity of Cultivated Land Integration
3.1.1. Cultivated Land Integration
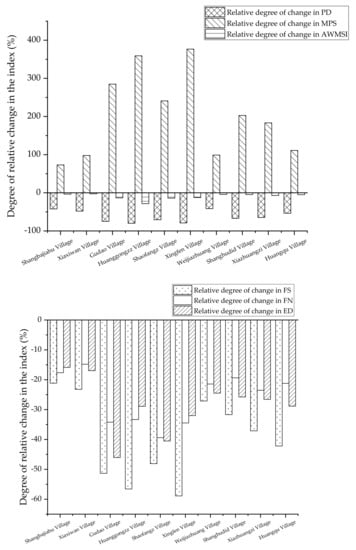
3.1.2. Calculation and Analysis of Cultivated Land Integration
3.2. Integrated Value of Cultivated Land
3.2.1. Economic Value before and after the Integration of Cultivated Land
3.2.2. Social Value before and after the Integration of Cultivated Land
3.2.3. Pro-Ecological Value of Cultivated Land before and after Integration
- (1)
- The positive pro-ecological value of cultivated land before and after integration
- (2)
- Negative pro-ecological value of cultivated land before and after integration
- (3)
- Pro-ecological value of cultivated land before and after integration
3.2.4. Integrative Value of Cultivated Land before and after Integration
4. Discussion
5. Conclusions
Author Contributions
Funding
Institutional Review Board Statement
Informed Consent Statement
Data Availability Statement
Conflicts of Interest
References
- Su, H.; Wu, C.F. Analysis of the influencing factors of the cultivated land resources value in black soil region based on the production-living-ecological functions: A case study in keshan county, Heilongjiang province. China Land Sci. 2020, 34, 77–85. [Google Scholar] [CrossRef]
- Chen, S.; Ye, J.P.; Xue, B.; Yao, R. Property rights decomposition and policy improvement of “tripartite entitlement system” of farmland. China Land Sci. 2020, 34, 42–48. [Google Scholar] [CrossRef]
- Wu, X.C. Research on coupling mechanism and coordinated development model of rural rejuvenation-rural tourism system. Fresenius Environ. Bull. 2020, 29, 9345–9351. [Google Scholar]
- Wang, J.; Yan, S.C.; Guo, Y.Q.; Li, J.R.; Su, G.Q. The effects of land consolidation on the ecological connectivity based on ecosystem service value:A case study of da’an land consolidation project in Jilin province. J. Geogr. Sci. 2015, 25, 603–616. [Google Scholar] [CrossRef]
- Liao, N.; Gu, X.C.; Wang, Y.J.; Xu, H.L.; Fan, Z.L. Analysis of ecological and economic benefits of rural land integration in the Manas river basin oasis. Land 2021, 10, 451. [Google Scholar] [CrossRef]
- Chen, I.C.; Chuo, Y.Y.; Ma, H.W. Uncertainty analysis of remediation cost and damaged land value for brownfield investment. Chemosphere 2019, 220, 371–380. [Google Scholar] [CrossRef] [PubMed]
- Sam, K.; Zabbey, N. Contaminated land and wetland remediation in Nigeria: Opportunities for sustainable livelihood creation. Sci. Total Environ. 2018, 639, 1560–1573. [Google Scholar] [CrossRef] [PubMed]
- Song, Y.N.; Kirkwood, N.; Maksimovic, C.; Zhen, X.D.; O’Connor, D.; Jin, Y.L.; Hou, D.Y. Nature based solutions for contaminated land remediation and brownfield redevelopment in cities: A review. Sci. Total Environ. 2019, 663, 568–579. [Google Scholar] [CrossRef]
- Sullivan, C.A.; Skeffington, M.S.; Gormally, M.J.; Finn, J.A. The ecological status of grasslands on lowland farmlands in western Ireland and implications for grassland classification and nature value assessment. Biol. Conserv. 2010, 143, 1529–1539. [Google Scholar] [CrossRef]
- Bastian, C.T.; McLeod, D.M.; Germino, M.J.; Reiners, W.A.; Blasko, B.J. Environmental amenities and agricultural land values: A hedonic model using geographic information systems data. Ecol. Econ. 2002, 40, 337–349. [Google Scholar] [CrossRef]
- Mitchell, M.; Suarez-Castro, A.; Martinez-Harms, M.; Maron, M.; McAlpine, C.; Gaston, K.J.; Johansen, K.; Rhodes, J.R. Reframing landscape fragmentation’s effects on ecosystem services. Trends Ecol. Evol. 2015, 30, 190–198. [Google Scholar] [CrossRef] [PubMed]
- Rau, A.L.; Burkhardt, V.; Dorninger, C.; Hjort, C.; Ibe, K.; Kessler, L.; Kristensen, J.A.; McRobert, A.; Sidemo-Holm, W.; Zimmermann, H.K.; et al. Temporal patterns in ecosystem services research: A review and three recommendations. Ambio 2020, 49, 1377–1393. [Google Scholar] [CrossRef] [PubMed]
- Xu, L.X.; Yang, D.W.; Wu, T.H.; Yi, S.H.; Fang, Y.P.; Xiao, C.D.; Lin, H.X.; Huang, J.C.; Habimana Simbi, C. An ecosystem services zoning framework for the permafrost regions of China. Adv. Clim. Chang. Res. 2019, 10, 92–98. [Google Scholar] [CrossRef]
- Swinton, S.M.; Lupi, F.; Robertson, G.P.; Hamilton, S.K. Ecosystem services and agriculture: Cultivating agricultural ecosystems for diverse benefits. Ecol. Econ. 2007, 64, 245–252. [Google Scholar] [CrossRef]
- Geneletti, D. An approach based on spatial multicriteria analysis to map the nature conservation value of agricultural land. J. Environ. Manag. 2007, 83, 228–235. [Google Scholar] [CrossRef] [PubMed]
- Wu, Z.J.; Wei, C.F.; Ding, S.Y. Research on the social security function of cultivated land in a hilly-mountainous region. Resour. Sci. 2013, 35, 773–781. [Google Scholar]
- Zhang, Z.F.; Yang, H.; Gu, X.K. Effects of land consolidation in plains and hills on plots use. Trans. Chin. Soc. Agric. Eng. 2013, 29, 1–8. [Google Scholar]
- Wang, Y.Y.; Jin, X.B.; Fan, Y.T.; Xiang, X.M.; Liu, J.; Zhou, Y.K. The impact of rural land consolidation program on promoting the level of agricultural modernization. China Land Sci. 2017, 31, 69–76. [Google Scholar] [CrossRef]
- Liao, N.; Gu, X.C.; Wang, Y.J.; Xu, H.L.; Fan, Z.L. Analyzing macro-level ecological change and micro-level farmer behavior in Manas river basin, China. Land 2020, 9, 250. [Google Scholar] [CrossRef]
- Fan, Z.L.; Yu, P.J.; Qiao, M.; Xu, H.J. Integrative improvement of cultivated land for ecological protection to agriculture in arid areas: A case of Manasi river basin of Xinjiang. Arid. Land Geogr. 2012, 35, 772–777. [Google Scholar]
- Ding, S.Y.; Liang, G.F. Landscape pattern change of regional wetland along the yellow river in henan province in the last two decades. J. Geogr. Sci. 2004, 653–661. [Google Scholar] [CrossRef]
- Corry, R.C.; Nassauer, J.I. Limitations of using landscape pattern indices to evaluate the ecological consequences of alternative plans and designs. Landsc. Urban Plan. 2005, 72, 265–280. [Google Scholar] [CrossRef]
- Lu, C.; Qi, W.; Li, L.; Sun, Y.; Qin, T.T.; Wang, N.N. Applications of 2d and 3d landscape pattern indices in landscape pattern analysis of mountainous area at county level. Chin. J. Appl. Ecol. 2012, 23, 1351–1358. [Google Scholar] [CrossRef]
- Suo, A.N.; Wang, C.; Zhang, M.H. Analysis of sea use landscape pattern based on Gis: A case study in Huludao, China. Springerplus 2016, 5, 1–12. [Google Scholar] [CrossRef]
- Yang, B. Performance evaluation model of economic compensation policy for cultivated land protection in coastal areas based on propensity value matching method. J. Coast. Res. 2020, 103, 19–23. [Google Scholar] [CrossRef]
- Wang, Y.H.; Li, X.B.; He, H.Y.; Xin, L.J.; Tan, M.H. How reliable are cultivated land assets as social security for chinese farmers? Land Use Policy 2020, 90, 104318. [Google Scholar] [CrossRef]
- Wu, D.F.; Liu, Y.Y.; Zhang, X.L. Analysis of cultivated land function evaluation in Guangzhou city from 1990 to 2014. Chin. J. Agric. Resour. Reg. Plan. 2019, 40, 64–72. [Google Scholar] [CrossRef]
- Ren, P.; Wu, T.; Zhou, J.M. Method of quantitative compensation for cultivated land conversion based on spatial characteristics of cultivated land protection value. Trans. Chin. Soc. Agric. Eng. 2014, 30, 277–287. [Google Scholar] [CrossRef]
- Dai, W.Y.; Jiang, F.Q.; Huang, W.L.; Liao, L.H.; Jiang, K. Study on transition of land use function and ecosystem service value based on the conception of production, living and ecological space: A case study of the Fuzhou new area. J. Nat. Resour. 2018, 33, 2098–2109. [Google Scholar] [CrossRef][Green Version]
- Yang, W.J.; Liu, D.; Gong, Q.W. Estimation loss of agroecosystem service value in farmland conversion and its provincial difference in 2001–2016. Econ. Geogr. 2019, 39, 201–209. [Google Scholar] [CrossRef]
- Xie, G.D.; Zhang, C.X.; Zhang, L.M.; Chen, W.H.; Li, S.M. Improvement of the evaluation method for ecosystem service value based on per unit area. J. Nat. Resour. 2015, 30, 1243–1254. [Google Scholar] [CrossRef]
- Liu, L.H.; Zhang, B.X.; Liu, X.H. Compensation of provincial cultivated land protection in China from the dual perspectives of food security and ecological security. Trans. Chin. Soc. Agric. Eng. 2020, 36, 252–263. [Google Scholar] [CrossRef]
- Chen, T.B.; Zeng, X.B.; Hu, Q.X. Utilization efficiency of chemical fertilizers among different counties of China. Acta Geogr. Sin. 2002, 57, 531–538. [Google Scholar] [CrossRef]
- Sun, X.Z.; Zhou, H.L.; Xie, G.D. Ecological services and their values of chinese agroecosystem. China Popul. Resour. Environ. 2007, 17, 55–60. [Google Scholar] [CrossRef]
- Huang, W.J.; Sun, D.L.; Lu, Y.L.; Dai, S.X.; Chen, L.J.; An, Y.X. Effects of pesticide-fertilizer combinations on the rhizosphere microbiome of sugarcane: A preliminary study. Sugar Tech 2021, 23, 571–579. [Google Scholar] [CrossRef]
- Liu, Y.B.; Pan, X.B.; Li, J.S. A 1961–2010 record of fertilizer use, pesticide application and cereal yields: A review. Agron. Sustain. Dev. 2015, 35, 83–93. [Google Scholar] [CrossRef]
- Sun, S.H.; Zhou, M.H. Analysis of farmers’ land transfer willingness and satisfaction based on SPSS analysis of computer software. Clust. Comput. J. Netw. Softw. Tools Appl. 2019, 22, S9123–S9131. [Google Scholar] [CrossRef]
- Zheng, A.M.; Li, Z. The impact mechanism of rural land circulation on promoting rural revitalization based on wireless network development. EURASIP J. Wirel. Commun. Netw. 2019. [Google Scholar] [CrossRef]
- Song, Y.N.; Wang, M.Y.; Lei, X.T. Following the money: Corruption, conflict, and the winners and losers of suburban land acquisition in China. Geogr. Res. 2016, 54, 86–102. [Google Scholar] [CrossRef]
- Wen, L.J.; Chatalova, L.; Butsic, V.; Hu, Z.Y.; Zhang, A.L. Capitalization of land development rights in rural China: A choice experiment on individuals’ preferences in peri-urban Shanghai. Land Use Policy 2020, 97, 104803. [Google Scholar] [CrossRef]
- Liu, W.; Xu, J.; Li, J. The influence of poverty alleviation resettlement on rural household livelihood vulnerability in the western mountainous areas, China. Sustainability 2018, 10, 2793. [Google Scholar] [CrossRef]
- Yan, J.Z.; Li, H.L.; Hua, X.B.; Peng, K.; Zhang, Y.L. Determinants of engagement in off-farm employment in the Sanjiangyuan region of the Tibetan plateau. Mt. Res. Dev. 2017, 37, 464–473. [Google Scholar] [CrossRef]






| Analytical Index | Calculation Formula | Selection Basis |
|---|---|---|
| Patch Density | , M is the total area of patches; N is the total number of patches. | The ratio of patch number to total area; the greater the value, the higher the fragmentation. |
| Mean Patch Size | The larger the average patch area, the lower the fragmentation. | |
| Area Weighted Mean Shape Index | , Li and Mi are the perimeter and area of the ith patch. | To reflect the complexity of patch shape, the larger the value is, the more irregular the shape is. |
| Edge Density | , L is the total boundary length of patches. | The greater the degree of landscape segmentation by edge is, the higher the degree of fragmentation is. |
| Fragmentation index of landscape patch number | , Mmin is the minimum area of patch. | The degree of fragmentation of the landscape reflects the complexity of the spatial structure of the landscape. The larger the value is, the more fragmented the landscape is. |
| Fragmentation index of landscape patch shape | The shape feature of the landscape spatial structure; the larger the value, the more irregular the shape of the landscape patch. |
| Village | Cultivated Land Area before Integration (ha) | Cultivated Land Area after Integration (ha) | Change of Area (ha) | Increase Area (ha) | |||||
|---|---|---|---|---|---|---|---|---|---|
| Tian Kan | Way | Ditches | Sporadically | Unused Land | The Percentage Increase in Cultivated Area after Integration (%) | ||||
| Shangbajiahu Village | 357.55 | 378.9 | 3.26 | 2.14 | 1.57 | 5.84 | 8.54 | 21.35 | 5.97 |
| Xiaxiwan Village | 352.48 | 382.38 | 3.98 | 2.98 | 2 | 7.98 | 12.96 | 29.90 | 8.48 |
| Gudao Village | 405.81 | 455.09 | 6.86 | 6.43 | 7.21 | 13.07 | 15.71 | 49.28 | 12.14 |
| Huanggongzhunagzi Village | 338.67 | 388.5 | 29.59 | 12.73 | 7.51 | 0 | 0 | 49.83 | 14.71 |
| Shaofangzhuang Village | 344.26 | 399.39 | 9.03 | 4.51 | 2.26 | 18.28 | 21.05 | 55.13 | 16.01 |
| Xingfen Village | 447.44 | 499.12 | 8.34 | 5.17 | 2.58 | 14.92 | 20.67 | 51.68 | 11.55 |
| Weijiazhuang Village | 367.42 | 299.34 | 3.98 | 0.91 | 1.08 | 10.98 | 14.97 | 31.92 | 8.69 |
| Shanghudidong Village | 441.11 | 475.36 | 3.32 | 1.13 | 1.39 | 12.59 | 15.82 | 34.25 | 7.76 |
| Xiazhuangzi Village | 397.09 | 435.15 | 3.09 | 1.23 | 1.32 | 17.75 | 14.67 | 38.06 | 9.58 |
| Huangqu Village | 335.77 | 365.94 | 3.34 | 1.68 | 1.51 | 9.51 | 14.13 | 30.17 | 8.99 |
| Village | Economic Value before Integration (RMB Thousand/ha) | Economic Value after Integration (RMB Thousand/ha) | Absolute Net Gain before and after Consolidation of Cultivated land (RMB Thousand/ha) | Change in Net Return before and after Consolidation of Cultivated Land (%) | |||||
|---|---|---|---|---|---|---|---|---|---|
| Unit Output Value | Unit Cost | Net Income | Unit Output Value | Unit Cost | Net Income | ||||
| Shangbajiahu Village | LMHA | 14.20 | 8.70 | 5.50 | 18.60 | 11.30 | 7.20 | 1.70 | 30.91 |
| Xiaxiwan Village | 14.50 | 8.70 | 5.80 | 19.10 | 11.00 | 8.10 | 2.30 | 39.66 | |
| Gudao Village | OAA | 16.50 | 8.70 | 7.90 | 23.80 | 10.00 | 13.80 | 5.90 | 74.68 |
| Huanggongzhuangzi Village | 15.90 | 8.70 | 7.20 | 22.00 | 10.30 | 11.70 | 4.50 | 62.50 | |
| Shaofangzhuang Village | 16.10 | 8.70 | 7.40 | 22.80 | 10.20 | 12.60 | 5.20 | 70.27 | |
| Xingfen Village | 16.60 | 8.60 | 8.00 | 25.00 | 10.30 | 14.70 | 6.70 | 83.75 | |
| Weijiazhuang Village | ODIA | 15.40 | 8.70 | 6.70 | 20.20 | 10.50 | 9.70 | 3.00 | 44.78 |
| Shanghudidong Village | 15.60 | 8.70 | 7.00 | 21.50 | 10.70 | 10.90 | 3.90 | 55.71 | |
| Xiazhuangzi Village | 15.50 | 8.70 | 6.80 | 21.40 | 10.50 | 10.90 | 4.10 | 60.29 | |
| Huangqu Village | 14.90 | 8.70 | 6.20 | 19.80 | 10.50 | 9.40 | 3.20 | 51.61 | |
| Village | Positive Pro-Ecological Value of Cultivated Land before Consolidation (RMB Thousand/ha) | Positive Pro-Ecological Value of Cultivated Land after Consolidation (RMB Thousand/ha) | Amount of Change in Value (RMB Thousand/ha) | |
|---|---|---|---|---|
| Shangbajiahu Village | LMHA | 21.20 | 27.80 | 6.60 |
| Xiaxiwan Village | 22.40 | 31.30 | 8.90 | |
| Gudao Village | OAA | 30.50 | 53.30 | 22.80 |
| Huanggongzhuangzi Village | 27.80 | 45.20 | 17.40 | |
| Shaofangzhuang Village | 28.60 | 48.60 | 20.10 | |
| Xingfen Village | 30.90 | 56.70 | 25.90 | |
| Weijiazhuang Village | ODIA | 25.90 | 37.40 | 11.60 |
| Shanghudidong Village | 27.00 | 42.10 | 15.10 | |
| Xiazhuangzi Village | 26.20 | 42.10 | 15.80 | |
| Huangqu Village | 23.90 | 36.30 | 12.40 | |
| Village | Pro-Ecological Value of Cultivated Land before Integration (RMB Thousand/ha) | Pro-Ecological Value of Cultivated Land after Integration (RMB Thousand/ha) | Value Increment (RMB Thousand/ha) | Percentage Change in Value (%) | |
|---|---|---|---|---|---|
| Shangbajiahu Village | LMHA | 18.9 | 25.20 | 6.30 | 33.33 |
| Xiaxiwan Village | 20.2 | 28.60 | 8.40 | 41.58 | |
| Gudao Village | OAA | 26.8 | 48.60 | 21.80 | 81.34 |
| Huanggongzhuangzi Village | 25.9 | 42.10 | 16.20 | 62.55 | |
| Shaofangzhuang Village | 26.7 | 45.50 | 18.80 | 70.41 | |
| Xingfen Village | 26.9 | 51.80 | 24.90 | 92.57 | |
| Weijiazhuang Village | ODIA | 24.6 | 35.40 | 10.80 | 43.90 |
| Shanghudidong Village | 23.2 | 37.50 | 14.40 | 62.07 | |
| Xiazhuangzi Village | 22.7 | 37.90 | 15.30 | 67.40 | |
| Huangqu Village | 22.4 | 34.00 | 11.60 | 51.79 | |
| Village | The Integrative Value of Cultivated Land before Consolidation. (RMB Thousand/ha) | The Integrative Value of Cultivated Land after Consolidation. (RMB Thousand/ha) | Incremental Integrated Value (RMB Thousand/ha) | Percentage Change in Value (%) | |
|---|---|---|---|---|---|
| Shangbajiahu Village | LMHA | 321.10 | 598.80 | 277.70 | 86.47 |
| Xiaxiwan Village | 318.80 | 603.80 | 285.00 | 89.38 | |
| Gudao Village | OAA | 398.00 | 692.20 | 294.20 | 73.91 |
| Huanggongzhuangzi Village | 386.80 | 653.10 | 266.30 | 68.86 | |
| Shaofangzhuang Village | 386.30 | 684.80 | 298.50 | 77.27 | |
| Xingfen Village | 392.50 | 734.70 | 342.20 | 87.17 | |
| Weijiazhuang Village | ODIA | 348.20 | 716.70 | 368.50 | 105.85 |
| Shanghudidong Village | 347.70 | 748.70 | 401.10 | 115.36 | |
| Xiazhuangzi Village | 349.30 | 778.50 | 429.20 | 122.89 | |
| Huangqu Village | 345.50 | 706.40 | 360.90 | 104.45 | |
Publisher’s Note: MDPI stays neutral with regard to jurisdictional claims in published maps and institutional affiliations. |
© 2021 by the authors. Licensee MDPI, Basel, Switzerland. This article is an open access article distributed under the terms and conditions of the Creative Commons Attribution (CC BY) license (https://creativecommons.org/licenses/by/4.0/).
Share and Cite
Yan, X.; Wang, Y.; Liao, N.; Xu, H.; Fan, Z. Assessment of Value Changes and Spatial Differences in Land Use Based on an Empirical Survey in the Manas River Basin. Land 2021, 10, 961. https://doi.org/10.3390/land10090961
Yan X, Wang Y, Liao N, Xu H, Fan Z. Assessment of Value Changes and Spatial Differences in Land Use Based on an Empirical Survey in the Manas River Basin. Land. 2021; 10(9):961. https://doi.org/10.3390/land10090961
Chicago/Turabian StyleYan, Xin, Yuejian Wang, Na Liao, Hailiang Xu, and Zili Fan. 2021. "Assessment of Value Changes and Spatial Differences in Land Use Based on an Empirical Survey in the Manas River Basin" Land 10, no. 9: 961. https://doi.org/10.3390/land10090961
APA StyleYan, X., Wang, Y., Liao, N., Xu, H., & Fan, Z. (2021). Assessment of Value Changes and Spatial Differences in Land Use Based on an Empirical Survey in the Manas River Basin. Land, 10(9), 961. https://doi.org/10.3390/land10090961
