Next Article in Journal
Compensation for the Lack of Measured Data on Decisive Cultivation Conditions in Diversified Territories without Losing Correct Information
Next Article in Special Issue
China Viewed by the West before COVID-19: Spaniards’ Perceptions and Knowledge of China as a Tourist Destination
Previous Article in Journal
Editorial for Special Issue “Nature-Based Solutions (NBS) in Cities and Their Interactions with Urban Land, Ecosystems, Built Environments and People: Debating Societal Implications”
Previous Article in Special Issue
A Nature Tourism Route through GIS to Improve the Visibility of the Natural Resources of the Altar Volcano, Sangay National Park, Ecuador
 
 
Font Type:
Arial Georgia Verdana
Font Size:
Aa Aa Aa
Line Spacing:
Column Width:
Background:
Article

Drivers for Sustainability Awareness Development in Tourism Curricula: The Case of Spanish Universities

by
Libertad Moreno-Luna
1,
Rafael Robina-Ramírez
2,*,
Marcelo Sánchez-Oro
2 and
José Castro Serrano
3
1
Department of Finance and Accounting, Faculty of Business, Finance and Tourism, University of Extremadura, 10071 Cáceres, Spain
2
Department of Business and Sociology, Faculty of Business, Finance and Tourism, University of Extremadura, 10071 Cáceres, Spain
3
Department of Art and Land Sciences, Faculty of Philosophy, University of Extremadura, 10071 Cáceres, Spain
*
Author to whom correspondence should be addressed.
Land 2021, 10(9), 939; https://doi.org/10.3390/land10090939
Submission received: 24 July 2021 / Revised: 1 September 2021 / Accepted: 3 September 2021 / Published: 7 September 2021

Abstract

Spain is one of the most popular tourism destinations in the world, and one of the top ten countries in terms of tourism contribution to its economy. As tourism is causing a gravely negative impact on the environment, universities play a key role in raising student awareness and reducing the damaging consequences of said tourism. Connections between sustainability and tourism studies have received little attention in higher education. The lecturing staff and student bodies from universities were interviewed with the aim of finding out what motivates academics to develop conductors and indicators that raise environmental awareness within under-graduate Tourism degrees. Results show a different perspective on teaching sustainability within the tourism curricula at public and private universities. According to the participants, motivation and training lecturers have been the two main drivers. Results can be applied to other Tourism degrees in order to overcome the common barriers that these studies have to face to introduce sustainability in the tourism curricula.

1. Introduction

In the early stages of the COVID-19 pandemic, most research focused on the medical and health aspects of the pandemic [1], but immediately raised concerns about the social, economic, and environmental aspects of this health crisis and how it could affect sustainable development. The environmental effects of the measures adopted by governments against the pandemic have had an impact on the environment. By restricting human activities in most countries, reductions of more than 50% in air pollutant emissions have been observed in some cities, improving air quality and contributing to better public health in countries such as France, Germany, Italy, or Spain [2]. From the point of view of economic repercussions, this pandemic is unprecedented, given its evolution from an initial health crisis to a humanitarian and development crisis on a global scale. Both the health and economic effects are pushing large sections of society into poverty in many parts of the world.
As we pointed out in our article published in this magazine last February, the consequences of the pandemic outbreak have led to negative growth of the Gross Domestic Product (GDP) and have increased inequality and poverty. Millions of people have lost their jobs at the height of the crisis. However, the sectors with the greatest increase in unemployment have been the hotel and catering industry, where demand for these services has ceased to exist for many months [3]. This has affected less qualified workers the most, as their work situation does not allow the possibility of working remotely, with a higher probability of unemployment and exposure to the virus.
Humanity is currently facing an unprecedented environmental crisis, reflected not only in the natural environment [4,5], but also in the social sphere [6,7]. Three decades of discussion about sustainability have clarified that it does not exclusively concern environmental issues, but also includes the social and economic field [8,9]. To reach a socio-economic balanced development in society [10], Education for Sustainability has become crucial. Its unprecedented role was recognized in the Bruntland Report [11] as well as at the UN Conference held in Rio de Janeiro in 1992 [12,13]. However, as the UN confirmed in 2002, the progress of implementing education has been slower than predicted [14]. Additionally, in some cases, the state of education for sustainability in society was even worse [15].
This uneven progress was highlighted in the UNESCO study called: ‘Decade of Education for Sustainable Development 2005–2014’ [16]. It not only explains the vital role that education plays on youth towards a societal transformation, but also provides an equal access to education in sustainability, which has been endorsed by ‘Agenda 2030’ [17]. At its heart, the seventeen Sustainable Development Goals (SDG) were determined in order to guide the social, economic, and environmental development for the next 15 years [18,19,20].
The environmental projection is significantly threatened by the pollution generated in the tourism sector [21]. This sector is responsible for about 5% of global emissions, which contributes to 4.6% of global warming [22] and motivates billions of people to travel every year. In fact, in 2018, international tourist arrivals grew by 5%, reaching 1.4 billion worldwide [19,20,23,24]. Thus, tourism plays a crucial role in many countries’ development as is one of the most labour-intensive sectors of the economy. Spain is one of the main tourist destinations in the world, holding second place within international arrivals with more than 83 million per year [20]. Therefore, the tourism sector is of major economic importance for this country. The COVID-19 outbreak has affected the Spanish tourism industry in an unprecedented scale. From January until July 2020, Spain received 72.4% fewer visitors compared to the same period 2019. Only in July, Spain received 75% fewer tourists in comparison to the same period last year [25].
This dependence on tourism makes it the third most vulnerable destination in the world when demand for these services ceases to exist [26]. Therefore, for Spain, the social, economic, and environmental development are strongly linked to the tourism industry, and these figures show the key role that sustainability plays for this sector [27]. Although this importance has been recognized in the last 30 years, limited attention has been paid to the relationship between education, tourism, and sustainability [28]. What role does sustainability play in Spanish Tourism degrees? What currently drives lecturing staff to introduce sustainability into tourism studies?
According to Teruel-Serrano and Vinals [29,30], the problem of environmental sustainability in the case of tourism is crucial as it is a global phenomenon based on the use of the territory and its resources, which can have negative consequences for the population and the environment. In line with these authors [29], this article presents an overview of education for sustainable development in Tourism degree programs in Spanish universities, with two objectives: 1. To propose an interactive methodology to define the main drivers to introduce education for sustainability in the tourism curriculum; 2. According to the main drivers established, the paper ranks a list of seventeen indicators to guide Tourism degrees to implement sustainability in the curricula.
Following this introductory Section 1, the structure of this paper is divided into four sections: Section 2. Background and context; Section 3. Methodology; and Section 4. Conclusions.

2. Background and Context

2.1. Tourism for Sustainable Development

Tourism is the sector with the greatest social impact due to its economic results and the mass of its movements. This makes destinations responsible for a more sustainable tourism management that minimizes any negative effect [20,24], contributing not only to stopping the deterioration of the planet, but also to economic benefits for locals [29]. In the relations established in the tourism system, there is always a cultural exchange that will affect tourists and local communities, the results of which may be beneficial or harmful [31]. Furthermore, the jobs generated in the hospitality sector are mostly seasonal and not qualified; usually the job creation is prioritized in exchange for collateral damage to natural resources and local community welfare [32].
With the COVID-19 health crisis, the least qualified workers are more vulnerable, as their work situation does not allow the possibility to work from home, resulting in higher probability of unemployment and exposure to infection, increasing the risk of falling into poverty [33]. Based on the original conceptualization, sustainability in tourism development should relate to the needs of people and the use of natural and cultural resources, increasing long-term well-being for its residents [24,31]. Well-managed tourism can make a significant contribution to social, economic, and environmental dimensions of sustainable development [34]. Thus, future tourism professionals must be able to promote tourism through the minimization of negative environmental and social repercussions [35].

2.2. Universities for Sustainable Development

In the last decades, Spanish regional and national governments have timidly started to invest in raising a pro-environmental behaviour in the educational system [36]. To respond to the interconnected economic, social, and environmental needs, training in sustainability has become the main educational issue to mitigate the negative impacts into the environment [37,38,39,40]. According to Ferrer-Balas et al. [40], it is clear that universities should play a much more active role in the transition process towards sustainable societies. Change towards sustainability requires an institutional management compatible with a sustainable development [41] which connects mission and policies with curriculum, campus, research, and teaching [13,21,42].
However, environmental missions and policies in Spanish Universities have just started two decades ago, as society demanded to reach a sustainable world [36]. Even though multidisciplinary research has been widely expanded amongst lecturers, there is still no well-developed teaching strategy [37]. In this regard, some progress has been made over the past decade making sustainability part of the universities’ operations [43,44]. As a result, the damage of unsustainable practices has become a common issue in the Spanish universities [15]. However, despite the urgent call for responsibility, much remains to be done [19,45]. Wals [46] claims that most of our universities are still articulating procedures to promote environmental behaviours amongst universities to tackle the existing social inequalities and the overexploitation of human and natural resources [14,28].
The challenge to tackle these inequalities lays on the responsibility of contributing to create sustainable societies from the university [13,20,36,47]. Otherwise, universities will be failing to involve students in one of the biggest demands of our time [5]. As the UNESCO [48] states, the change process begins by integrating new understandings and behaviours for actions into the education system at all levels. This can only be achieved through continuous educational work and the commitment of universities and academics, as well as in companies [29,49]. This education process ensures that graduates are equipped with the necessary knowledge, skills, and values helping to transform their workplaces and live as responsible global citizens [18,20,50].
To equip students with the necessary skills at universities, innovative practices have emerged from committed work in their operations, curriculum, research programmes, and academic investigation [41]. Thus, in order to reorient teaching methods with sustainability criteria [29,40] investing on research and innovation for sustainable development must become a priority [36,50]. This implies the introduction of a curricular reform for sustainability skills development from an interdisciplinary and transdisciplinary approach [51]. In other words, it should involve the integration between theory and practice, ethical discussions, and reflections [5,52]. Students will not be efficiently motivated if they only grasp theoretical training without being applied by universities in their daily policies [44,49].
Pedagogical methodologies should be focused on the active and experiential participation of students and teachers throughout academic training [50,53]. Opportunities to learn about the different experienced problems by the community can become topics to be debated in the classroom [54,55]. As a result, using problem-based-learning and participatory engagement with local communities might influence the students’ behaviour, as well as to challenge their own stereotypes and personal values [21,42,56]. When pedagogical methodologies are overlapped to effective sustainable policies at the university, educational student behavioural outputs are fully achieved. Then, graduates start learning to connect society and environment in their daily academic routine [47,49,57]. In particular, active campuses that help students to embrace sustainability [12,31] introduce them into ways of mitigating the university campus’ negative impact into the environment [7,20].
This way of encouraging sustainability awareness teaches students how to think and act for themselves [43,45,49,51], building capability to make critical analysis and enabling actions [7,10]. Critical thinking should be focused not only on teaching and research activities, but also on university policies such as resource conservation, waste management, and equity and social justice promotion [58]. In the depicted scenario, the progress of implementing sustainability in many Spanish universities has been very slow [18]. Although there has been an increasing interest over the past few decades [45,59], they still need to increase their commitment considerably in order to shift the students’ environmental mentality [51,58].
The resistance of Spanish universities to engage with sustainability related pedagogical methodologies as well as environmental policies, entails a lack of awareness and support from university administrators [39,43]. Barriers related to the inclusion of sustainability into the university structure are repeatedly risen [45], not only due to the lack of incentives and financial resources, but also as sustainability is not a priority in the academic system [41,42]. Consequently, few universities were focused on the creation of green areas, waste management and energy efficiency [10], with a reduced number of educators and researchers actively involved in promoting those sustainable resources [49].
That lack of interest at the Spanish universities has recently increased due to the economic crisis [58]. As a result, the ACES network (Curricular Environmentalization of University Studies) and the CRUE Spanish Universities Association [18] set a guideline to integrate sustainability in European and Latin American universities [60]. This programme has had a reduced impact in Spanish universities [61]. To overcome this inactivity, the Spanish government developed the ‘University Strategy 2015’ [38]. It states that universities should be more socially and environmentally responsible to develop ethical and sustainable values to contribute to the socioeconomic development [58].

2.3. Sustainable Development in Tourism Studies

In Spain, the number of universities engaged in teaching for a sustainable behaviour is still scarce [35,41]. In 2010, the CRUE developed a sustainability self-diagnosis tool for universities, focusing on measuring the progress of the application of the 17 Sustainable Development Goals (SDG). The first implementation of that platform was in 2017, particularly, in the Tourism degrees, thirty-three universities were analysed in 2018. Results observed little improvement in methods of teaching sustainability. The slowest progress was found in the implementation of curricular sustainability and research [62]. This lack of the Tourism degree’s interest for sustainable issues contrasts with the negative contribution to climate change [28] and its consequences to the environment due to the tourism influence in the worldwide economy [63]. The tourism sector grew 2.9% in 2018 compared to the previous year, contributing a record 319 million jobs to the world economy, generating 10.4% of all global economic activity [64].
In Spain, the contribution to the GDP represented is even higher, 14.6% of the total economy, with a 3.4% growth in 2018 in relation to the previous year, generating three million jobs. It represents the 14.7% of total Spanish employment, which makes tourism a true global force for economic growth and development [65]. These figures place tourism as the second most important sector in the Spanish economy [66], positioning the country among the top ten global destinations in terms of the tourism contribution to its economy [67]. Despite its economic benefits, on the other hand, tourism’s growth has become responsible for negative impacts on a global and local scale [68], contributing significantly to environmental degradation and representing 5% of total global emissions derived from transport and tourist accommodation [22].
In this controversial and damaging environmental scenario, sustainability plays a key role in the tourism industry [23]. Unfortunately, destinations are viewed as resources for tourism, rather than tourism as a resource to preserve the destinations [69,70]. Hence, sustainability in the tourism industry relates the use of natural and cultural destinations to the residents’ quality of life while providing a high-quality experience for visitors, promoting ethical touristic consumption [71,72,73,74]. To achieve that goal, the direct involvement of the local stakeholders such as businesses, residents, and visitors, has become essential to identify weak points to contribute to sustainable development [27,67]. This collaborative process not only improves the environmental quality in destinations, but also increases the social welfare of the region [68] by preserving natural and cultural heritage to contribute to the residents’ well-being [24,30,75]. To preserve the natural and cultural heritage, educational training needs to be implemented at the universities [76,77]. They have the responsibility of developing alternative thinking to protect the environment [78]; this comes from introducing sustainable perspectives for managing the tourism industry.
In Spain, tourism curricula have been growing from 30 public and 13 private universities in 1995, to 48 and 27, respectively, in 2019 (see Table 1). During that time, sustainability was taught through two different denominations: “sustainable tourism”, which involves a more general term, including the three main pillars of sustainable development, and “environmental tourism”, which refers mainly to the environmental issues related to tourism. While in 1995, 33% of Tourism studies in public universities taught “sustainability tourism” and 5% “environmental tourism”, in 2019, those percentages remained quite similar, at 32% and 7%. However, in private universities, the percentage has increased from 0% in 1995 to 4% in 2019, either in teaching sustainable or environmental tourism. This allows us to say that sustainability is growing faster at private universities. Table 1 shows the variation in percentage between the three periods of time.
Table 2 compares the presence of sustainability in Tourism degree programs in public and private universities per region in 2019. In regions such as Canarias, Region de Murcia, Asturias, Islas Baleares, Cantabria, and Extremadura, tourism curricula is taught in every university; however, in those regions where tourism has a high impact, such as Andalusia, Comunidad de Madrid, Castilla León, Cataluña, Comunidad Valenciana, Canarias, and Region de Murcia, Tourism degrees do not play such an important role. Although sustainability is present in the 60% of the tourism curricula, the impact on environmental policies at the university, as well as the lecturing staff and students, is scarce [55].

3. Methodology

To propose what drivers should be implemented by universities to successfully introduce sustainability in Tourism degree programs, the research team contacted fifty-six Spanish universities from September to December 2019. The list was offered by the Spanish National Government of Education. Thirty-nine were public and seventeen private universities. A letter of invitation was addressed to the Dean of each Tourism degree. Forty of them responded favourably to the research; thirty-one from public universities and nine from private. Amongst those, five eventually stepped down. Thirty-five degrees in Tourism were eventually involved in the research. Almost 90% delegated that responsibility to lecturers in charge of the Undergraduate Quality Commission in tourism.
Table 3 shows the number of Deans and lecturers in charge of Undergraduate Quality Commission in Tourism degrees interviewed per Spanish regions. Only three Deans were directly involved in the research; one each from the Andalucia, Asturias, and Cantabria regions.
Table 4 shows that 57% of the in charge of Undergraduate Quality Commission in tourism interviewed were male, and 43% female. Most of them had an age range of 46–55 years (40%) and 56–65 years (29%).
Three online meetings were organized in January and February 2020. On average, 75% of the participants attended the meetings. In the first the objectives of the study were debated, as well as barriers to education for sustainability in Tourism degrees. Interesting qualitative arguments were highlighted. Three barriers to teach sustainability at university were pointed out: (1) the inexistence of an academic gap to introduce more subjects in the current curricula approved by the National Government; (2) the common staff resistance to teach about sustainability; and (3) the lack of interest from the academic boards to implement environmental policies on campus. All those three aspects are well aligned with Wilson and von der Heidt [79].
In the second week of January, in the first debate, the vast majority of the lecturers stressed two current factors that might help to shift those barriers: (1) the pressure of international organizations to look after the environment which has positively influenced the perception of sustainability in young generations of students; and (2) the key role that culture and society play in developing sustainability. Regarding these two factors, in a second meeting in the first week of February, a rich debate was raised to overcome those barriers to teach sustainability in Tourism degrees. Then, four drivers were proposed by the authors according to the literature review: (1) lecturing staff and student motivation; (2) training teachers in sustainability; (3) Methods to teach sustainability; and (4) subjects, skills, and competences. In the third meeting, in the last week of February, items to define those drivers were proposed. The debate shows detailed experiences and proposals to enlighten why those drivers and items were chosen. Arguments are developed in the following paragraphs. Participants also raised specific studies to back up their proposals.
In order to contrast the theoretical indicators, two focus groups were organized separately with lecturers and students from six private and public universities in Spain [68,80], three universities from Andalusia, one from Alicante, one from Castilla y León, and one from Madrid, based on a participatory procedure. A total of 26 lecturers and 30 students were involved to debate through online meetings. The aim of these meetings was to polish the indicators based on the daily activity at the University. As a result of the first debate, fourteen items were approved in the second meeting.
In the third meeting, several proposals were debated to translate the items to expected outcomes to effectively implement the academic regulatory system in sustainability into Tourism degrees:
  • Integrate the academic policies of the Tourism degree and sustainability.
  • Promote sustainable tourism amongst students by highlighting sustainable companies and future jobs in the private sector.
  • Undertake a variety of teaching methodologies regarding to sustainability topic.
  • Introduce long-term sustainable policies at the Tourism degree in electricity consumption, use of water, gardening, and building maintenance.
  • Promote cooperation with public institutions and private touristic companies.
  • Set up learning cooperation and networking amongst lecturers to share experiences in teaching sustainability.
  • Incentivise lecturing staff to promote social and environmental values in students.
  • Define methodologies to link teaching in sustainability with real social and environmental challenges.
  • Develop reputable and high-quality teaching and research programs in sustainability related to economic and social well-being and environmental protection.

3.1. Drivers to Implement Sustainability in Tourism Degree Programs

3.1.1. Lecturing Staff and Student’s Motivation (SSM)

Sustainability in the tourism industry is not only relevant and crucial for the people’s well-being; a declaration to introduce sustainability in education is also widely mentioned by the Association of University Leaders for a Sustainable Future, Kyoto Declaration, Swansea Declaration, COPERNICUS University Charter, Global Higher Education for Sustainability Partnership, Lüneburg Declaration, Declaration of Barcelona, Graz Declaration on Committing Universities to SD, Abuja Declaration, and Torino Declaration [41]. However, results are far from the expectation created by tourist international organizations [17]. Participants also debate about the slow process experienced in Tourism degrees to integrate sustainability into education, as recommended by UNESCO [16].
The international agency has stressed the relevance of providing knowledge about sustainability, but also to sympathetically inspire affections and values for nature amongst stakeholders in the tourist sector to protect the tourist destinations. The complex process of inspiring affections and emotions toward nature has been highly valued by the participants triggering successful environmental experiences [81,82,83]. Apart from motivation and environmental experiences, Gutiérrez et al. [61] pointed out that academic and economic support is required to introduce motivational procedures. Experiential learning economically supported by the university is highly valued to better implement sustainability practices in the local territory [58]. However, unsurmountable barriers are currently raised at Spanish universities due to overcoming the structural resistance to spend funds in those activities [42].

3.1.2. Training Teachers (TT)

The second aspect stressed by the lecturing staff was the need of receiving adequate training at the universities. The affective relationship between the environment and economic-social, cultural, and political actors is not appropriately treated at universities, and is degrading the environmental resources. As a result, teaching sustainability is a complex issue; it is comprised by environmental, economic, and social perspectives, which makes them an interdisciplinary composite process of teaching and learning [84]. This interdisciplinary perspective is also extended to different subjects in the tourism curricula. Responsible training processes to build the individual or collective common sense for tourist destinations’ components and awareness of its values [85,86] should be mixed with examples of the degradation rhythm in a process of excessive exploitation [46].
Training resources play a key role in the challenge of implementing sustainability in the tourism curricula [60] as was supported by 90% of the participants. Thus, not only is investment in training resources essential to develop the tourism curricula, but as is cooperation and networking processes between lecturing staff in sustainable activities in the Tourism degree programs [87]. The points analysed above revealed several relationships that allowed us to formulate the following hypothesis:
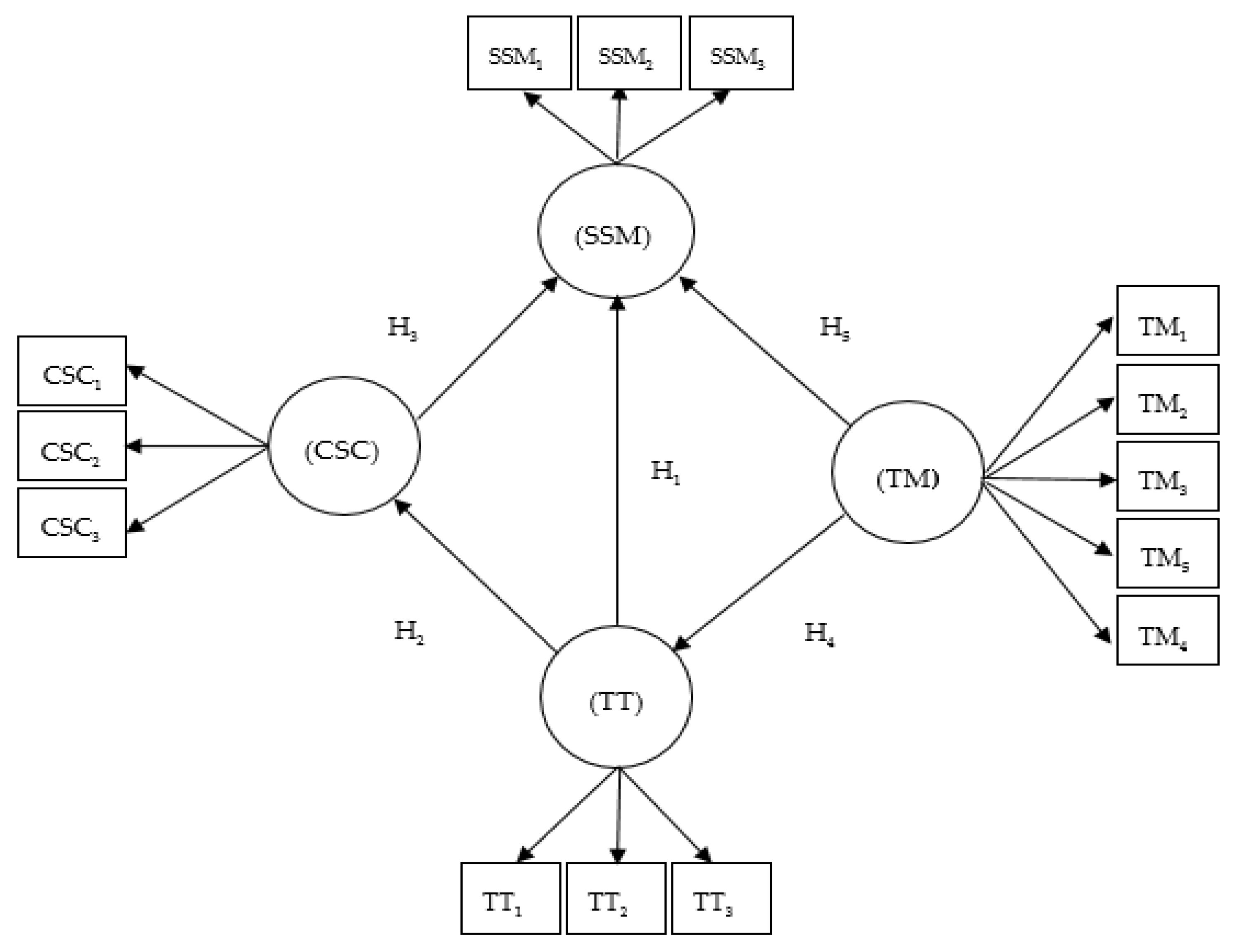
Hypothesis 1 (H1).
The correct training of lecturing staff in sustainability (TT) positively influences the development of staff and students’ motivation (SSM).
Hypothesis 2 (H2).
Training lecturing staff in sustainability (TT) positively influences the skills and competences development in the curricula (CSC).

3.1.3. Subjects, Skills, and Competences Development in the Curricula (CSC)

Addressing last driver, participants debated about how to insert critical thinking through environmental skills and competences into the tourism curricula. In the work of Jamal et al. [88], Sustainable tourism pedagogy and academic-community collaboration: A progressive service-learning approach, different approaches to develop skills and competences are proposed. New concepts and values are mixed with tools, and new procedures implemented to introduce subjects, skills, and competences about sustainable development in the university. As a result, academic, social, and economic incentives to lecturers should be performed in order to transform students’ attitudes [89] by developing their proper teaching methods [90]. Moreover, tourism curricula must pay attention to better connect sustainable touristic companies and the Tourism degree [91]. This leads to the formulation of the following hypothesis:
Hypothesis 3 (H3).
The skills and competences development in the curricula (CSC) positively influences staff and students’ motivation (SSM).

3.1.4. Methods to Teach Sustainability (TM)

In relation to the proper training, the third issue discussed amongst lecturers was the innovative pedagogical practices to teach sustainability based on critical and creative thinking as well as responsible decision making [92]. This way of encouraging environmental awareness teaches students how to think and act by themselves [49,51], building their capability to make critical analysis and enabling actions [10]. Those analyses and actions trigger deep learning in sustainability by promoting the integration between practice and theory through the interaction and collaboration with diverse stakeholders [28,54,55]. In other words, the local and global problems should be approached by involving the students in the decision making [59]. Consequently, education for sustainability is about training people to learn how to critically analyse the connections between the economic, social, and environmental areas, and finding an equilibrium amongst them [53,81].
During the debate, student’s critical analysis were addressed towards having self-experiences triggered outside the formal education system [51,93]. According to the participants, inserting critical thinking and reflection in the curricula are, perhaps, one of the most important claims for the transformation of the current education system [59]. UNESCO [94] has come to the same conclusion, saying that skills in sustainability basically comes from critical and reflective experiential thinking, which is based on participation in decision-making, and cooperation in problem solving. These educational approaches allow them to think and learn about the collaborating process with colleagues and students observing different points of view to identify possible actions [95].
In the context of sustainability, intention to apply sustainability, skills, and know-how to achieve such is crucial [1]. This leads us to propose the following hypotheses:
Hypothesis 4 (H4).
New teaching methods for sustainability subjects (TM) positively influences the development of staff and students’ motivation (SSM) towards sustainability.
Hypothesis 5 (H5).
New teaching methods™ for sustainability subjects positively influences the development of new skills and competences for sustainability in the curricula (CSC).

3.1.5. Indicators Selected from the Literature Review

The indicators used in the model we propose have been obtained from the existing literature, although the opinions of the participants in the focus groups and the results of the student surveys have been taken into account in the process of developing them in order to narrow down their scope and meaning (see Table 5).
As a result of the focus groups that have been carried out, a series of items have been established and systematized in Table 6.
With the intention to highlight those items that are more relevant for each driver, lecturers from public or private universities ranked each indicator from 0 (less important) to 10 (most important), following the process of generating indicators based on Likert scales explained by González Blázquez, [98] (see Table 7).
According to the literature review, a theoretical model is presented to be used as a tool for universities [99]. Results will be delivered in public and private universities in Spain and South America. The model is shown in Figure 1.

4. Conclusions

Firstly, from a descriptive perspective, we highlight that 90% of the participants agreed to highlight barriers to teach sustainability as a way to express their worries about the current Spanish academic regulatory system. They came from different areas such as: lack of interest from boards of directors, economic constraints, lack of human resources, knowledge and infrastructure, and academic careers based on publications rather than in excellence in teaching methods. Almost 100% of the attendees to the debate addressed motivation as the main driver to overcome those barriers. They agreed that motivation is a pre-condition to engage staff themselves in teaching and learning process [44]. According to Lazarus [68,80], people feel motivated when the action is relevant or important to their needs or well-being.
Teruel-Serrano and Vinals (2020) [29] consider that, in the curricula of Tourism degrees in Spain, more than 30 of the optional subjects are related to topics related to the environment, sustainability, and resources related to tourism, and that practically all universities offer at least one subject with these characteristics. However, shortcomings are evident; for example, few universities address ‘Tourism and Transport’, which deals with some environmental issues that are explored in order to establish the relationship between the sector and the sustainability of tourism activity, although there are subjects such as ‘Territory, Sustainable Tourism and Development’ that have included aspects related to the above.
In any case, these authors [29] points out that the study and application of sustainable management tools, such as recreational carrying capacity, the inventory and assessment of tourism potential, and the management of visitor flows are included.
The study and application of sustainable management tools such as recreational carrying capacity, inventory, and assessment of tourism potential and visitor flow management are included in one way or another in the development of the programmes. Some universities have also included optional subjects that deal with aspects related to new forms of tourism consumption more in line with the principles of environmental and social responsibility. These are often referred to as “Ecotourism”, or “Environmental Sustainability and Ecotourism”. Following this line of research, in our work we have looked in depth at the offer of universities in these subjects, which in relative terms is, in our opinion, low. In addition, we consider that private or public dependence on universities is, among other factors, an important factor in the weight of these subjects.
The paper has delved into the challenges that tourism curricula are facing to teach sustainability in Spanish universities. Barriers are currently raised due to the Spanish universities’ lack of determination to address that issue as a priority. Although tourism is in second place among the sectors that contribute most to GDP in Spain, representing more than 14% of the country’s employment, only 32% of Tourism degrees are teaching subjects related to sustainable tourism and 7% includes subjects about tourism and environment in public universities. Only 8% of the private universities have implemented subjects related both to sustainable tourism or environment and tourism.
Through an interactive methodology, lecturing staff from thirty-five Spanish universities have debated four drivers drawn from the literature review. Seventeen items were considered as a way of introducing sustainability and all the three pillars in Tourism degrees. Public universities tend to highlight the relevance of investing economic resources for the introduction of educational reforms for sustainable development (SSM1). Special training to the lecturing staff (TT1) as well as academic, social, and economic incentives to lecturers should be undertaken with the aim to integrate skills and competences in sustainability into their courses (CSC1). In that process, collaborative actions between teachers and stakeholders are crucial (TM2).
However, private universities are more prompted to develop professional competences amongst students by promoting better connection between sustainable touristic companies and the Tourism degrees (CSC2) to have an impact on campus (TM5). Tourism degrees in private universities also stress the role that investing economic resource play in the promoting sustainability in the tourism curricula (SSM1), as well as the cooperation and networking between lecturing staff in sustainable activities in Tourism degree (TT3). As a result, the Spanish universities’ lecturing staff need to increase their commitment to the creation of sustainable societies and, therefore, to manage tourism in a sustainable way. Promoting massive and irresponsible tourism towards the environment can only lead to the detriment of the destination and its population, gradually causing the depletion of natural and cultural resources, and the loss of their identity.
Participants in the meetings stressed that development of sustainable tourism awareness is essential to contribute to education as citizens, tourists, and professionals. Almost 100% of the participants postulated that change in teaching and curricular content towards the inclusion of the Sustainable Development Goals (SDGs) is necessary to help us change to a way of thinking which leads the fight against the degradation of the planet and the loss of quality of life worldwide. Companies and society must contribute by moving towards a responsible production and consumption model. This, together with university education, will allow students to develop sustainable behaviour.

Author Contributions

Paper design and data collection: L.M.-L.; Supervision of the paper: R.R.-R.; discussion and conclusion: M.S.-O.; And figures and tables reformulated: J.C.S. All authors have read and agreed to the published version of the manuscript.

Funding

This paper publication has been made possible thanks to funding granted by the Regional Department of Economy, Science and Digital Agenda of the Junta de Extremadura and by the European Regional Development Fund of the European Union through the reference grant GR18052.

Institutional Review Board Statement

Not applicable.

Informed Consent Statement

Not applicable.

Data Availability Statement

The data that support the findings of this study are available from the corresponding author, upon reasonable request.

Conflicts of Interest

The authors declare no conflict of interest.

References

  1. Moreno-Luna, L.; Robina-Ramírez, R.; Sánchez, M.S.-O.; Castro-Serrano, J. Tourism and Sustainability in Times of COVID-19: The Case of Spain. Int. J. Environ. Res. Public Health 2021, 18, 1859. [Google Scholar] [CrossRef] [PubMed]
  2. Llorente, R. Impacto del COVID-19 en el Mercado de Trabajo: Un Análisis de los Colectivos Vulnerables. Instituto Universitario de Análisis Económico y Social. 2020. Available online: http://hdl.handle.net/10486/691084 (accessed on 2 July 2021).
  3. Ferrer-Balas, D.; Adachi, J.; Banas, S.; Davidson, C.; Hoshikoshi, A.; Mishra, A.; Motodoa, Y.; Onga, M.; Ostwald, M. An international comparative analysis of sustainability transformation across seven universities. Int. J. Sustain. High. Educ. 2008, 9, 295–316. [Google Scholar] [CrossRef]
  4. Holdsworth, S.; Sandri, O.; Thomas, I.; Wong, P.S.; Chester, A.; McLaughlin, P. The assessment of graduate sustainability attributes in the workplace: Potential advantages of using the theory of planned behaviour (TPB). J. Clean. Prod. 2019, 238, 117929. [Google Scholar] [CrossRef]
  5. Wals, A.; Jickling, B. “Sustainability” in higher education: From doublethink and newspeak to critical thinking and meaningful learning. Int. J. Sustain. High. Educ. 2002, 3, 221–232. [Google Scholar] [CrossRef]
  6. Sanahuja, J.A.; Tezanos-Vázquez, S. “Del milenio a la sostenibilidad”: Retos y perspectivas de la Agenda 2030 para el desarrollo sostenible. Polít. Soc. 2017, 54, 521–543. [Google Scholar] [CrossRef]
  7. Wiek, A.; Withycombe, L.; Redman, C.L. Key competencies in sustainability: A reference framework for academic program development. Sustain. Sci. 2011, 6, 203–218. [Google Scholar] [CrossRef]
  8. Albareda-Tiana, S.; Villarreal, A.A. A collaborative programme in sustainability and social responsibility. Int. J. Sustain. High. Educ. 2016, 17, 719–736. [Google Scholar] [CrossRef]
  9. Vilches, A.; Gil, D. Ciencia de la Sostenibilidad: ¿Una Nueva Disciplina o un Nuevo Enfoque para Todas las Disciplinas? Rev. Iberoam. Educ. 2015, 69, 39–60. Available online: https://www.researchgate.net/publication/282808624_Ciencia_de_la_Sostenibilidad_Una_nueva_disciplina_o_un_nuevo_enfoque_para_todas_las_disciplinas_Sustainability_Science_A_new_discipline_or_a_new_approach_for_all_disciplines (accessed on 7 April 2019). [CrossRef][Green Version]
  10. Barrón, Á.; Ferrer-Balas, D.; Navarrete Salvador, A. Sostenibilización Curricular en las Universidades Españolas. ¿Ha Llegado la Hora de Actuar? Rev. Eureka Sobre Enseñanza Divulg. Cienc. 2010, 7, 388–399. Available online: http://www.redalyc.org/articulo.oa?id=92013009018 (accessed on 5 April 2019). [CrossRef]
  11. WCED. World Commission on Environment and Development. Our Common Future; Oxford University Press: Oxford, UK, 1987. [Google Scholar]
  12. Filho, W.L.; Manolas, E.; Pace, P. The future we want: Key issues on sustainable development in higher education after Rio and the UN decade of education for sustainable development. Int. J. Sustain. High. Educ. 2015, 16, 112–129. [Google Scholar] [CrossRef]
  13. Wright, T.S. Definitions and frameworks for environmental sustainability in higher education. High. Educ. Policy 2002, 15, 105–120. [Google Scholar] [CrossRef]
  14. Jickling, B.; Wals, A. Globalization and environmental education: Looking beyond sustainable development. J. Curric. Stud. 2008, 40, 1–21. [Google Scholar] [CrossRef]
  15. Velazquez, L.; Munguia, N.; Platt, A.; Taddei, J. Sustainable university: What can be the matter? J. Clean. Prod. 2006, 14, 810–819. [Google Scholar] [CrossRef]
  16. UNESCO. United Nations Educational, Scientific and Cultural Organization. UN Decade of Education for Sustainable Development 2005–2014. 2005. Available online: https://unesdoc.unesco.org/ark:/48223/pf0000141629 (accessed on 7 April 2019).
  17. United Nations. Transforming our world: The 2030 Agenda for Sustainable Development. 2015. Available online: https://sustainabledevelopment.un.org/post2015/transformingourworld (accessed on 7 April 2019).
  18. Tiana, S.A.; Morilla, M.F.; Carrera, J.M.M.; Ramèntol, S.V. Barreras para la sostenibilidad integral en la Universidad. Rev. Iberoam. Educ. 2017, 73, 253–272. [Google Scholar] [CrossRef]
  19. Larrán, M.; Andrades, J. Determining factors of environmental education in Spanish universities. Int. J. Sustain. High. Educ. 2015, 16, 251–271. [Google Scholar] [CrossRef]
  20. Puertas, R.; Marti, L. Sustainability in Universities: DEA-GreenMetric. Sustainability 2019, 11, 3766. [Google Scholar] [CrossRef]
  21. Robina-Ramírez, R.; Sánchez, M.S.-O.; Jiménez-Naranjo, H.V.; Castro-Serrano, J. Tourism governance during the COVID-19 pandemic crisis: A proposal for a sustainable model to restore the tourism industry. Environ. Dev. Sustain. 2021, 1–22. [Google Scholar] [CrossRef]
  22. WTTC. World Travel and Tourism Council. Travel & Tourism Economic Impact 2019 World. 2019. Available online: https://www.wttc.org/-/media/files/reports/economic-impact-research/regions-2019/world2019.pdf (accessed on 7 September 2019).
  23. UNWTO. United Nations World Tourism Organization. The Tourism Sector and the Sustainable Development Goals—Responsible Tourism, a Global Commitment. 2016. Available online: http://cf.cdn.unwto.org/sites/all/files/pdf/turismo_responsable_omt_acc.pdf (accessed on 18 August 2019).
  24. UNWTO (United Nations World Tourism Organization). International Tourism Highlights 2019 Edition. 2019. Available online: https://www.e-unwto.org/doi/pdf/10.18111/9789284421152 (accessed on 18 August 2019).
  25. FRONTUR—Instituto Nacional de Estadística. Estadística de Movimientos Turísticos en Fronteras. Julio 2020. 2020. Available online: https://www.ine.es/daco/daco42/frontur/frontur0720.pdf (accessed on 8 August 2021).
  26. UNWTO. World Tourism Organization. UNWTO Tourism Dashboard. Vulnerability of Destinations. 2020. Available online: https://www.unwto.org/international-tourism-and-covid-19 (accessed on 8 July 2021).
  27. Goffi, G.; Cucculelli, M.; Masiero, L. Fostering tourism destination competitiveness in developing countries: The role of sustainability. J. Clean. Prod. 2018, 209, 101–115. [Google Scholar] [CrossRef]
  28. Moscardo, G. The Importance of Education for Sustainability in Tourism. Education for Sustainability in Tourism, 1–21; Springer: Berlin/Heidelberg, Germany, 2015. [Google Scholar] [CrossRef]
  29. Teruel-Serrano, M.D.; Vinals, M. Teaching environmental sustainability and responsibility in the Anthropocene: Overview of Tourism Studies in Spain. J. Teach. Travel Tour. 2020, 20, 216–231. [Google Scholar] [CrossRef]
  30. Viñals, M.J.; Teruel, L. La perspectiva de la sostenibilidad medioambiental en los estudios de máster y doctorado en turismo en españa. Cuad. Tur. 2021, 487–513. [Google Scholar] [CrossRef]
  31. Osorio, A.; Solís, M.; Muñoz, J. La Integración de Saberes en la Enseñanza del Turismo en Función del Desarrollo Sostenible. Rev. Turydes Tur. Desarro. 2017, 10. Available online: http://www.eumed.net/rev/turydes/22/desarrollo-sostenible-turismo.html (accessed on 1 April 2019).
  32. La Planificación Turística Sostenible: Un Análisis Aplicado al Municipio de Caldas de Reis. Available online: https://dialnet.unirioja.es/servlet/articulo?codigo=1104487 (accessed on 8 July 2021).
  33. Robina-Ramírez, R.; Medina-Merodio, J.A.; Moreno-Luna, L.; Jiménez-Naranjo, H.V.; Sánchez-Oro, M. Safety and Health Measures for COVID-19 Transition Period in the Hotel Industry in Spain. Int. J. Environ. Res. Public Health 2021, 18, 718. [Google Scholar] [CrossRef]
  34. Scott, J.; Marshall, G. Dictionary of Sociology; Oxford University Press: Oxford, UK, 2005. [Google Scholar]
  35. Robina-Ramírez, R.; Sánchez-Oro, M.; Cabezas-Hernández, M.; Calleja-Aldana, M. Host and guest social exchange in developing tourist sites: The case of the International Tagus Natural Park. Sustainability 2020, 12, 7248. [Google Scholar] [CrossRef]
  36. Junyent, M.; De Ciurana, A.M.G. Education for sustainability in university studies: A model for reorienting the curriculum. Br. Educ. Res. J. 2008, 34, 763–782. [Google Scholar] [CrossRef]
  37. Minguet, P.A.; Ull, M.A.; Piñero, A.; Martínez-Agut, M.P. La sostenibilidad en la formación universitaria: Desafíos y oportunidades. Educación xx1 2013, 17, 133–158. [Google Scholar] [CrossRef]
  38. Lozano, R. Incorporation and institutionalization of SD into universities: Breaking through barriers to change. J. Clean. Prod. 2006, 14, 787–796. [Google Scholar] [CrossRef]
  39. Robina-Ramírez, R.; Medina-Merodio, J.-A. Transforming Students’ Environmental Attitudes in Schools through External Communities. J. Clean. Prod. 2019, 232, 629–638. Available online: https://www.sciencedirect.com/science/article/pii/S0959652619319341?dgcid=author (accessed on 23 June 2019). [CrossRef]
  40. Robina-Ramírez, R.; Cotano-Olivera, C. Driving private schools to go green: The case of Spanish and Italian religious schools. Teach. Theol. Relig. 2020, 23, 175–188. [Google Scholar] [CrossRef]
  41. Lozano, R.; Lukman, R.; Lozano, F.J.; Huisingh, D.; Lambrechts, W. Declarations for sustainability in higher education: Becoming better leaders, through addressing the university system. J. Clean. Prod. 2013, 48, 10–19. [Google Scholar] [CrossRef]
  42. Cebrián, G.; Grace, M.; Humphris, D. Academic staff engagement in education for sustainable development. J. Clean. Prod. 2015, 106, 79–86. [Google Scholar] [CrossRef]
  43. León-Fernández, Y.; Domínguez-Vilches, E. Environmental management and sustainability in higher education. Int. J. Sustain. High. Educ. 2015, 16, 440–455. [Google Scholar] [CrossRef]
  44. Verhulst, E.; Lambrechts, W. Fostering the incorporation of sustainable development in higher education. Lessons learned from a change management perspective. J. Clean. Prod. 2015, 106, 189–204. [Google Scholar] [CrossRef]
  45. Ramos, T.B.; Caeiro, S.; van Hoof, B.; Lozano, R.; Huisingh, D.; Ceulemans, K. Experiences from the implementation of sustainable development in higher education institutions: Environmental Management for Sustainable Universities. J. Clean. Prod. 2015, 106, 3–10. [Google Scholar] [CrossRef]
  46. Wals, A.E. Between knowing what is right and knowing that is it wrong to tell others what is right: On relativism, uncertainty and democracy in environmental and sustainability education. Environ. Educ. Res. 2010, 16, 143–151. [Google Scholar] [CrossRef]
  47. Minguet, P.A.; Martínez-Agut, M.P.; Palacios, B.; Piñero, A.; Ull, M.A. Introducing sustainability into university curricula: An indicator and baseline survey of the views of university teachers at the University of Valencia. Environ. Educ. Res. 2011, 17, 145–166. [Google Scholar] [CrossRef]
  48. UNESCO. United Nations Educational, Scientific and Cultural Organization. Sustainable Development Begins with Education: How Education Can Contribute to the Proposed Post-2015 Goals. 2014. Available online: https://unesdoc.unesco.org/ark:/48223/pf0000230508_spa (accessed on 8 April 2019).
  49. Filho, W.L.; Raath, S.; Lazzarini, B.; Vargas, V.; de Souza, L.; Anholon, R.; Quelhas, O.; Haddad, R.; Klavins, M.; Orlovic, V. The role of transformation in learning and education for sustainability. J. Clean. Prod. 2018, 199, 286–295. [Google Scholar] [CrossRef]
  50. United Nations. The Future We Want—Outcome Document Adopted at Rio+ 20. 2012. Available online: https://sustainabledevelopment.un.org/rio20/futurewewant (accessed on 2 November 2019).
  51. Howlett, C.; Ferreira, J.-A.; Bloomfield, J. Teaching sustainable development in higher education. Int. J. Sustain. High. Educ. 2016, 17, 305–321. [Google Scholar] [CrossRef]
  52. Robina-Ramírez, R.; Sánchez-Hernández, M.I.; Jiménez-Naranjo, H.V.; Díaz-Caro, C. The Challenge of Greening Religious Schools by Improving the Environmental Competencies of Teachers. Front. Psychol. 2020, 11, 520. [Google Scholar] [CrossRef]
  53. Lozano, R.; Ceulemans, K.; Alonso-Almeida, M.; Huisingh, D.; Lozano, F.J.; Waas, T.; Lambrechts, W.; Lukman, R.; Hugé, J. A review of commitment and implementation of sustainable development in higher education: Results from a worldwide survey. J. Clean. Prod. 2015, 108, 1–18. [Google Scholar] [CrossRef]
  54. Ferrer-Balas, D.; Buckland, H.; de Mingo, M. Explorations on the University’s role in society for sustainable development through a systems transition approach. Case-study of the Technical University of Catalonia (UPC). J. Clean. Prod. 2009, 17, 1075–1085. [Google Scholar] [CrossRef]
  55. Wiek, A.; Xiong, A.; Brundiers, K.; Van Der Leeuw, S. Integrating problem- and project-based learning into sustainability programs. Int. J. Sustain. High. Educ. 2014, 15, 431–449. [Google Scholar] [CrossRef]
  56. Robina-Ramírez, R.; Merodio, J.A.M.; McCallum, S. What role do emotions play in transforming students’ environmental behaviour at school? J. Clean. Prod. 2020, 258, 120638. [Google Scholar] [CrossRef]
  57. Estriegana, R.; Medina, J.; Robina, R.; Barchino, R. Virtual Learning Environment to Encourage Students’ Relationships and Cooperative Competence Acquisition. In Proceedings of the 26th ACM Conference on Innovation and Technology in Computer Science Education V. 1, Paderborn, Germany, 26 June–1 July 2021; pp. 53–59. [Google Scholar] [CrossRef]
  58. Robina-Ramírez, R. Consumo Ético y Responsable del Agua en la Península de Yucatán, Comisión Nacional del Agua. CONAGUA; Gobierno de la República de México, Secretaría de Medio Ambiente y Recursos Naturales: Mexico City, Mexico, 2016; ISBN 978-607-626-039-5. [Google Scholar]
  59. Parvez, N.; Agrawal, A. Assessment of sustainable development in technical higher education institutes of India. J. Clean. Prod. 2019, 214, 975–994. [Google Scholar] [CrossRef]
  60. Expósito, L.M.C.; De Ciurana, A.M.G. Avanzar en la educación para la sostenibilidad. Combinación de metodologías para trabajar el pensamiento crítico y autónomo, la reflexión y la capacidad de transformación del sistema. Revista Iberoamericana de Educación 2017, 73, 131–154. [Google Scholar] [CrossRef]
  61. Gutiérrez, J.; Benayas, J.; Calvo, S. Educación para el desarrollo sostenible: Evaluación de retos y oportunidades del decenio 2005–2014. Rev. Iberoam. Educ. 2006, 40, 25–60. [Google Scholar] [CrossRef]
  62. CRUE. Diagnóstico de la Sostenibilidad Ambiental en las Universidades Españolas. Grupo de Trabajo Sobre Evaluación de Sostenibilidad Universitaria (GESU). 2019. Available online: http://www.crue.org/Boletin_SG/2018/2018.04.10%20Informe%20Sostenibilidad%20Universidades%20v3.4.pdf (accessed on 29 September 2019).
  63. Siddiqui, S.; Imran, M. Impact of Climate Change on Tourism. In Environmental Impacts of Tourism in Developing Nations; IGI Global: Hershey, PA, USA, 2019; pp. 68–83. [Google Scholar] [CrossRef]
  64. WTTC. World Travel and Tourism Council. Travel & Tourism Continues Strong Growth above Global GDP. 2019. Available online: https://www.wttc.org/about/media-centre/press-releases/press-releases/2019/travel-tourism-continues-strong-growth-above-global-gdp/ (accessed on 7 September 2019).
  65. WTTC. World Travel and Tourism Council. Annual Research: Key Highlights Spain. 2019. Available online: https://www.wttc.org/economic-impact/country-analysis/country-reports/ (accessed on 7 September 2019).
  66. WTTC. World Travel and Tourism Council. How does Travel and Tourism Compare to Other Sectors? 2017. Available online: https://www.wttc.org/-/media/files/reports/benchmark-reports/country-reports-2017/spain.pdf (accessed on 7 September 2019).
  67. WTTC. World Travel and Tourism Council. Climate Friendly Travel—Annual Ambitions Report: Baseline 2020 for Climate Neutral 2050. 2019. Available online: https://www.wttc.org/priorities/sustainable-growth/climate-change/ (accessed on 7 September 2019).
  68. Brida, J.G.; London, S.; Rojas, M. El turismo como fuente de crecimiento económico: Impacto de las preferencias intertemporales de los agentes. Investig. Económica 2014, 73, 59–77. [Google Scholar] [CrossRef]
  69. Sañudo-Fontaneda, L.A.; Robina-Ramírez, R. Bringing community perceptions into sustainable urban drainage systems: The experience of Extremadura, Spain. Land Use Policy 2019, 89, 104251. [Google Scholar] [CrossRef]
  70. Sánchez-Oro, M.; Robina-Ramírez, R.; Portillo-Fernández, A.; Jiménez-Naranjo, H.V. Tourist Expectations and Motivations in Visiting Rural Destinations. The Case of Extremadura (Spain). Rev. Española Investig. Sociológicas 2021, 175, 105–128. [Google Scholar] [CrossRef]
  71. Saarinen, J. Critical Sustainability: Setting the Limits to Growth and Responsibility in Tourism. Sustainability 2013, 6, 1–17. [Google Scholar] [CrossRef]
  72. Tourspain. Ministerio de Industria, Turismo y Comercio. Gobierno de España. Plan del Turismo Español Horizonte 2020. 2007. Available online: https://www.tourspain.es/es-es/Conozcanos/Documents/HistoricoPoliticaTuristica/PlanTurismoEspanolHorizonte2020.pdf (accessed on 1 April 2019).
  73. Robina-Ramírez, R.; Sánchez-Hernández, M.I.; Díaz-Caro, C. Hotel manager perceptions about corporate compliance in the tourism industry: An empirical regional case study in Spain. J. Manag. Gov. 2020, 25, 627–654. [Google Scholar] [CrossRef]
  74. Robina-Ramírez, R. La Enseñanza de la Ética Empresarial a Través del Cine; Editamas: Badajoz, España, 2021. [Google Scholar]
  75. Cucculelli, M.; Goffi, G. Does sustainability enhance tourism destination competitiveness? Evidence from Italian Destinations of Excellence. J. Clean. Prod. 2016, 111, 370–382. [Google Scholar] [CrossRef]
  76. Robina-Ramírez, R.; Luna, L.M. Gestión de políticas de sostenibilidad en organizaciones académicas: El caso de la Universidad de Extremadura. Rev. Int. Organ. 2020, 24, 63–90. [Google Scholar] [CrossRef]
  77. Sánchez, M.D.C.G.; De-Pablos-Heredero, C.; Medina-Merodio, J.A.; Robina-Ramírez, R.; Fernandez-Sanz, L. Relationships among relational coordination dimensions: Impact on the quality of education online with a structural equations model. Technol. Forecast. Soc. Chang. 2021, 166, 120608. [Google Scholar] [CrossRef]
  78. Wals, A.; Blaze, P. Sustainability as an Outcome of Transformative Learning. Drivers and Barriers for Implementing Sustainable Development in Higher Education. Sustainability as an Outcome of Transformative Learning. Göteborg Work-Shop, 7–9 December 2005. UNESCO. 2006, pp. 103–111. Available online: https://unesdoc.unesco.org/ark:/48223/pf0000148466_eng (accessed on 20 December 2019).
  79. Wilson, E.; Von Der Heidt, T. Business as Usual? Barriers to Education for Sustainability in the Tourism Curriculum. J. Teach. Travel Tour. 2013, 13, 130–147. [Google Scholar] [CrossRef]
  80. Lazarus, R.S. Progress on a cognitive motivational relational theory of emotion. Am. Psychol. 1991, 46, 819–834. [Google Scholar] [CrossRef]
  81. Pooley, J.; O’Connor, M. Environmental Education and Attitudes: Emotions and Beliefs Are What Is Needed. Environ. Behav. 2000, 32, 711–723. [Google Scholar] [CrossRef]
  82. Raeisi, A.; Bijani, M.; Chizari, M. The mediating role of environmental emotions in transition from knowledge to sustainable use of groundwater resources in Iran’s agriculture. Int. Soil Water Conserv. Res. 2018, 6, 143–152. [Google Scholar] [CrossRef]
  83. Robina Ramirez, R.; Pulido Fernandez, M. Religious travellers’ improved attitude towards nature. Sustainability 2018, 10, 3064. [Google Scholar] [CrossRef]
  84. Ramírez, R.R.; Palos-Sánchez, P.R. Environmental firms’ better attitude towards nature in the context of corporate compliance. Sustainability 2018, 10, 3321. [Google Scholar] [CrossRef]
  85. Taylor, P.W. Respect for Nature: A Theory of Environmental Ethics; Princeton University Press: Princeton, NJ, USA, 2011. [Google Scholar]
  86. Varela-Losada, M.; Álvarez-Lires, X.; Lorenzo-Rial, M.; Pérez-Rodríguez, U. Pursuing the Goal of Sustainable Action in the Basic Training of Teachers. Procedia Soc. Behav. Sci. 2016, 228, 587–592. [Google Scholar] [CrossRef]
  87. Macris, A.M.; Georgakellos, D.A. A new teaching tool in education for sustainable development: Ontology-based knowledge networks for environmental training. J. Clean. Prod. 2006, 14, 855–867. [Google Scholar] [CrossRef]
  88. Jamal, T.; Taillon, J.; Dredge, D. Sustainable tourism pedagogy and academic-community collaboration: A progressive service-learning approach. Tour. Hosp. Res. 2011, 11, 133–147. [Google Scholar] [CrossRef]
  89. Moore, J. Seven recommendations for creating sustainability education at the university level. Int. J. Sustain. High. Educ. 2005, 6, 326–339. [Google Scholar] [CrossRef]
  90. Sinakou, E.; Pauw, J.B.-D.; Goossens, M.; Van Petegem, P. Academics in the field of Education for Sustainable Development: Their conceptions of sustainable development. J. Clean. Prod. 2018, 184, 321–332. [Google Scholar] [CrossRef]
  91. Mihalic, T. Sustainable-responsible tourism discourse—Towards ‘responsustable’ tourism. J. Clean. Prod. 2016, 111, 461–470. [Google Scholar] [CrossRef]
  92. Ull, M. Sostenibilidad y Educación Superior: La Formación Para la Sostenibilidad en los Nuevos Títulos de Grado. Carpeta Informativa del CENEAM. 7-12. 2011. Available online: https://www.miteco.gob.es/es/ceneam/articulos-de-opinion/2011_01ull_tcm30-163603.pdf (accessed on 1 April 2019).
  93. Albareda-Tiana, S.; Gonzalvo-Cirac, M. Competencias genéricas en sostenibilidad en la educación superior. Revisión y compilación. Rev. Comun. SEECI 2013, 32, 141–159. [Google Scholar] [CrossRef]
  94. UNESCO. United Nations Educational, Scientific and Cultural Organization. ESD+TVET: Promoting Skills for Sus-Tainable Development. 2012. Available online: https://unesdoc.unesco.org/ark:/48223/pf0000216269 (accessed on 7 April 2019).
  95. Ferreira, J.-A.; Keliher, V.; Blomfield, J. Becoming a reflective environmental educator: Students’ insights on the benefits of reflective practice. Reflective Pract. 2013, 14, 368–380. [Google Scholar] [CrossRef]
  96. Wright, T. University presidents’ conceptualizations of sustainability in higher education. Int. J. Sustain. High. Educ. 2010, 11, 61–73. [Google Scholar] [CrossRef]
  97. Thurow, L. Building Wealth: The New Rulesfor Individuals, Companies and Nations in a Knowledge-Based Economy; Harper Business: New York, NY, USA, 1999. [Google Scholar]
  98. El Análisis de la Realidad Social. Métodos y Técnicas de Investigación. Available online: http://metodo1.sociales.uba.ar/wp-content/uploads/sites/164/2014/10/33-Gonzlez-Blasco-Pedro-2000-El-anlisis-de-la-realidad-social-mtodos-y-tcnicas-de-investigacin.-Unidad-2.7-Medir-en-las-ciencias-sociales.pdf (accessed on 8 July 2021).
  99. Sánchez-Oro Sánchez, M.; Robina-Ramírez, R. Los Grupos Focales (“Focus Group”) Como Herramienta de Investi-Gación Turística; Universidad de Extremadura: Extremadura, Spain, 2020. [Google Scholar]
Figure 1. Structural Model (Source: Self-made. SSM: Staff motivation; TT: Training staff lecturing; TM: Teaching methods; and CSC: Curricula, skills, and competences).
Figure 1. Structural Model (Source: Self-made. SSM: Staff motivation; TT: Training staff lecturing; TM: Teaching methods; and CSC: Curricula, skills, and competences).
Land 10 00939 g001
Table 1. Sustainability related subjects in Spanish under-graduate Tourism degree programs.
Table 1. Sustainability related subjects in Spanish under-graduate Tourism degree programs.
Tourism Degrees1995%2010%2019%
Public Universities3070%4166%4864%
- Teach Sustainable Tourism1433%1727%2432%
- Teach Environmental Tourism25%35%57%
- Do not teach any of the subjects819%915%912%
Private Universities1330%2134%2736%
- Teach Sustainable Tourism00%12%34%
- Teach Environmental Tourism00%00%34%
- Do not teach any of the subjects25%23%11%
- Do not offer a Tourism degree program1637%2134%2026%
TOTAL43 62 76
Source: Self-made from CRUE data.
Table 2. Sustainability related subjects in Spanish Tourism degree programs per regions.
Table 2. Sustainability related subjects in Spanish Tourism degree programs per regions.
RegionsTourism Degree ProgramsTotal Universities%Sustainability in Tourism Degrees %
Andalucía81173%8100%
Comunidad de Madrid71450%686%
Castilla y León5863%480%
Cataluña71258%457%
Comunidad Valenciana4757%4100%
Canarias33100%3100%
Región de Murcia33100%267%
Aragón1250%1100%
Asturias11100%1100%
Islas baleares11100%1100%
Universidad (UNED)1250%1100%
Cantabria11100%00%
Castilla la Mancha010%00%
Extremadura11100%00%
Galicia2367%00%
La Rioja1250%00%
Comunidad Foral de Navarra020%00%
País Vasco2545%00%
TOTAL4879 35
Source: Self-made from ANECA data 2019.
Table 3. Spanish Tourism degree programs’ type of involvement per regions.
Table 3. Spanish Tourism degree programs’ type of involvement per regions.
RegionsTourism Tourism Dean Involved in the ResearchUndergraduate Quality Commission Involved in the Research
Degree Degree
ProgramsInvolved
Andalucía8716
Comunidad de Madrid7505
Castilla y León5303
Cataluña7202
Comunidad Valenciana4404
Canarias3303
Región de Murcia3303
Aragón1101
Asturias1110
Islas baleares1000
Universidad (UNED)1101
Cantabria1110
Castilla la Mancha0000
Extremadura1101
Galicia2101
La Rioja1101
Comunidad Foral de Navarra0000
País Vasco2101
TOTAL4835332
Source: Undergraduate Quality Commission in tourism.
Table 4. Sample composition.
Table 4. Sample composition.
GenderN = 35%
Male2057
Female1543
No response000
Total35100
AgeN = 35%
25–35206
36–45823
46–551440
56–651029
More than 66103
No response000
Total35100
TotalN = 35%
Source: Undergraduate Quality Commission in tourism.
Table 5. Preliminary study and list of indicators.
Table 5. Preliminary study and list of indicators.
DriversItemsAuthors
Staff and students’ motivation
(SSM)
Sustainability in the tourism curricula (SSM1)Junyent and Geli [36], UN [50], Wals and Jickling [5]
Practical teaching in sustainability (SSM2)Aznar et al. [37], Wals and Jickling [5], Robina-Ramírez et al. [52], Puertas and Marti [20], Wiek et al. [7], Wright [96]
Academic involvement in sustainable tourism in the local territory (SSM3)Aznar et al. [37], Holdsworth et al. [4], Lozano [38], Robina-Ramírez and Medina-Merodio [39], Wiek et al. [7,55]
Training staff lecturing
(TT)
Develop training courses at the universityAlbareda et al. [18], Ferrer-Balas et al. [40], Puertas and Marti [20], UN [50], Leal Filho et al. [49]
Interdisciplinary knowledge about sustainability (TT2)Howlett et al. [51]
Cooperative activities in tourism programs among staff (TT3)Brida et al. [68], Cucculelli and Goffi [75], Osorio et al. [31], UNWTO [24]
Teaching methods
(TM)
Innovative pedagogical practices (TM1)Howlett et al. [51], Leal Filho et al. [49], Barrón et al. [10]
Collaborative processes between teachers and stakeholders (TM2)Goffi et al. [27], WTTC [67], Saarinen [71], Tourspain [72]
Awake students about the real challenges they need to face (TM3)Wals and Blaze [78]
Reduce negative impacts into the social and environment (TM4)Aznar et al. [37], Holdsworth et al. [4], Lozano, [38], Robina-Ramírez and Medina-Merodio [39], Wiek et al. [55]
Activities to positively impact on campus (TM5)Jickling and Wals [14], Moscardo [28]
Curricula, skills, and competences
(CSC)
Integrate skills and competences in sustainability (CSC1)Albareda et al. [18], Ferrer-Balas et al. [40], Puertas and Marti [20], UN [50]
Professional competences amongst students (CSC2)Jamal et al. [88], Moore [89], Sinakou et al. [90]
Student’s skills and competences in Tourism degree (CSC3)Holdsworth et al. [4], Howlett et al. [51], Lozano et al. [38], Thurow [97]
Source: Self-made.
Table 6. Preliminary study and list of items corrected by Managers.
Table 6. Preliminary study and list of items corrected by Managers.
DriversItems
Staff and students’ motivation
(SSM)
Invest economic resources and pay academic attention to introduce sustainability in the Tourism curricula (SSM1)
Connect theoretical knowledge and practical teaching (SSM2)
Academic support to undertake initiatives to impact the sustainable tourism in the local territory (SSM3)
Training lecturing staff
(TT)
Provide training for lecturers by organizing specific seminars and courses aligned with the Sustainable Development Goals (SDGs) (TT1)
Promote interdisciplinary approaches towards sustainability and issues related (TT2)
Introduce cooperation and networking processes amongst lecturing staff in sustainable activities in tourism programs (TT3)
Teaching methods
(TM)
Introduce innovative pedagogical practices based on critical and creative thinking (TM1)
Establish collaborative processes between teachers and stakeholders to address better outputs of the teaching process (TM2)
Address local and international environmental problems to make students aware of the real challenges they need to face (TM3)
Propose activities based on reducing negative impacts into the social and environmental sphere to be performed by students out of class (TM4)
Describe a group of activities to make positive social, economic, and environmental impact on campus (TM5)
Curricula, skills, and competences
(CSC)
Establish academic, social, and economic incentives to lecturers to integrate skills and competences in sustainability into their courses (CSC1)
Develop professional competences amongst student by promoting better connections between sustainable touristic companies and the Tourism degrees (CSC2)
Develop the student’s skills in sustainability in Tourism degrees by performing sustainable activities in the territory (CSC3)
Source: Self-made.
Table 7. Indicators ranked in every driver.
Table 7. Indicators ranked in every driver.
ItemsPublic Universities %Private Universities %
Staff motivation
(SSM)
SM113636%5844%
SM212734%3829%
SM311530%3527%
Total378100%131100%
Training staff lecturing
(TT)
TT111536%2433%
TT210332%2231%
TT310132%2636%
Total319100%72100%
Teaching methods
(TM)
TM19719%2119%
TM211623%2321%
TM310521%2321%
TM49819%2018%
TM59418%2522%
Total510100%112100%
Curricula, skills, and competences
(CSC)
CSC113837%4735%
CSC212233%5943%
CSC311230%3022%
Total372100%136100%
Source: Self-made.
Publisher’s Note: MDPI stays neutral with regard to jurisdictional claims in published maps and institutional affiliations.

Share and Cite

MDPI and ACS Style

Moreno-Luna, L.; Robina-Ramírez, R.; Sánchez-Oro, M.; Serrano, J.C. Drivers for Sustainability Awareness Development in Tourism Curricula: The Case of Spanish Universities. Land 2021, 10, 939. https://doi.org/10.3390/land10090939

AMA Style

Moreno-Luna L, Robina-Ramírez R, Sánchez-Oro M, Serrano JC. Drivers for Sustainability Awareness Development in Tourism Curricula: The Case of Spanish Universities. Land. 2021; 10(9):939. https://doi.org/10.3390/land10090939

Chicago/Turabian Style

Moreno-Luna, Libertad, Rafael Robina-Ramírez, Marcelo Sánchez-Oro, and José Castro Serrano. 2021. "Drivers for Sustainability Awareness Development in Tourism Curricula: The Case of Spanish Universities" Land 10, no. 9: 939. https://doi.org/10.3390/land10090939

APA Style

Moreno-Luna, L., Robina-Ramírez, R., Sánchez-Oro, M., & Serrano, J. C. (2021). Drivers for Sustainability Awareness Development in Tourism Curricula: The Case of Spanish Universities. Land, 10(9), 939. https://doi.org/10.3390/land10090939

Note that from the first issue of 2016, this journal uses article numbers instead of page numbers. See further details here.

Article Metrics

Back to TopTop