Identifying the Determinants of Nongrain Farming in China and Its Implications for Agricultural Development
Abstract
:1. Introduction
2. Materials and Methodology
2.1. Methods
2.1.1. Measurement of NGF
2.1.2. Spatial Autocorrelation Analysis
2.1.3. Spatial Panel Model
2.2. Variable Selection
2.3. Materials
3. Results Analysis
3.1. Spatiotemporal Pattern of NGF in China
3.1.1. Historical Evolution of NGF in China
3.1.2. Regional Pattern of NGF in China
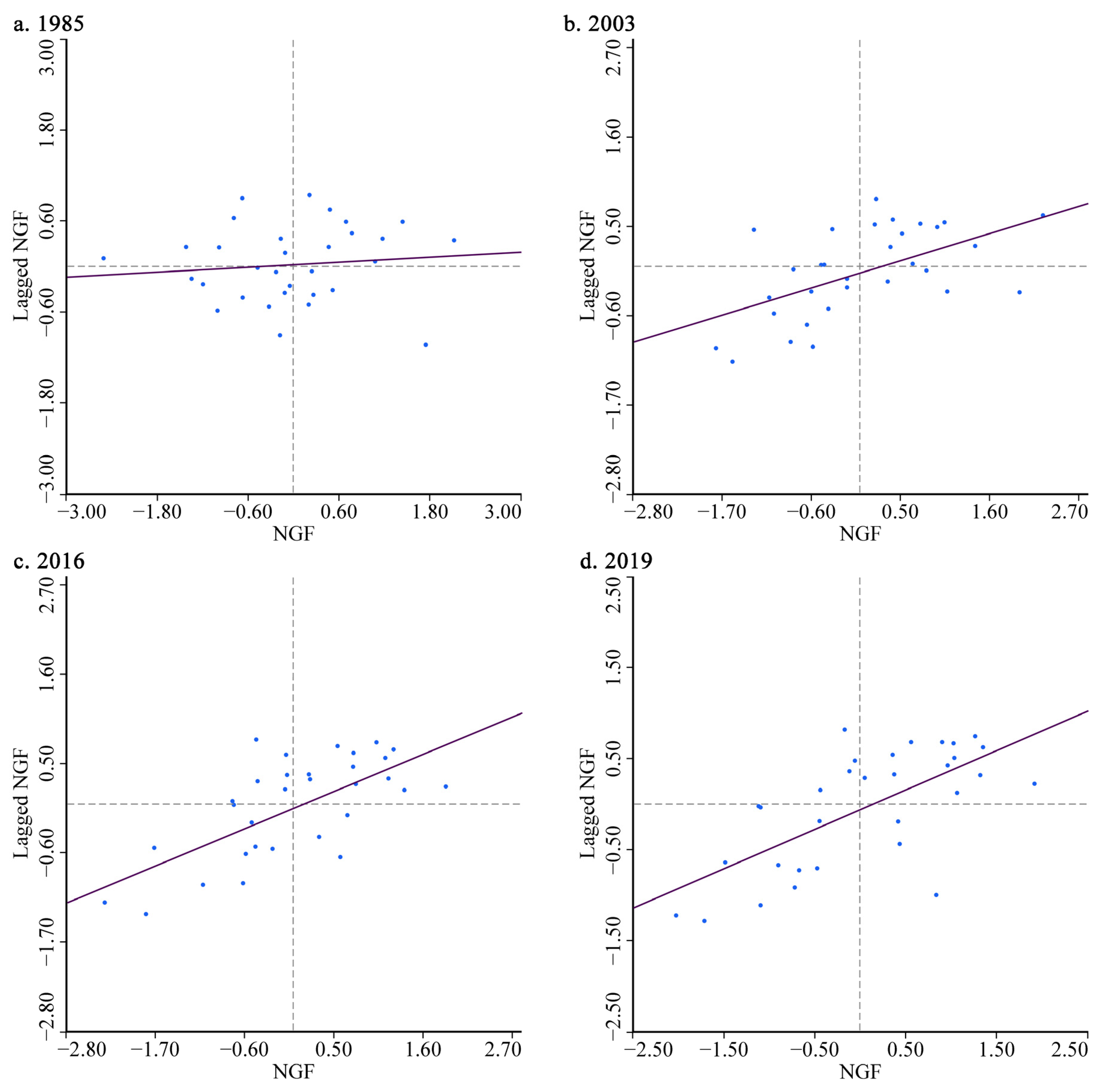
3.1.3. Spatial Autocorrelation of NGF in China
3.2. Factors Influencing NGF in China
4. Discussion and Policy Implications
4.1. Scientific Understanding of China’s NGF
4.2. Policy Implications for China’s Agricultural Development
4.3. Limitations and Future Developments
5. Conclusions
Author Contributions
Funding
Institutional Review Board Statement
Informed Consent Statement
Data Availability Statement
Acknowledgments
Conflicts of Interest
References
- Han, S.; Pan, W.; Zhou, Y.; Liu, Z. Construct the prediction model for China agricultural output value based on the optimization neural network of fruit fly optimization algorithm. Future Gener. Comput. Syst. 2018, 86, 663–669. [Google Scholar] [CrossRef]
- Gepts, P.; Papa, R. Evolution During Domestication; ELS Language Centers: Princeton, NJ, USA, 2002. [Google Scholar]
- Johnston, B.F.; Mellor, J.W. The role of agriculture in economic development. Am. Econ. Rev. 1961, 4, 566–593. [Google Scholar]
- Zhao, R.; Wang, E.; Zhang, X.; Liu, J.; Zhou, S.; Li, G.; Han, M. Human Geography; Higher Education Press: Beijing, China, 2010. [Google Scholar]
- Cajete, G. A People’s Ecology: Explorations in Sustainable Living; Book Marketing Group: Santa Fe, NM, USA, 1999. [Google Scholar]
- Welch, R.M.; Graham, R.D. Breeding for micronutrients in staple food crops from a human nutrition perspective. J. Exp. Bot. 2004, 396, 353–364. [Google Scholar] [CrossRef] [Green Version]
- Ayanlade, A.; Radeny, M. COVID-19 and food security in Sub-Saharan Africa: Implications of lockdown during agricultural planting seasons. Npj Sci. Food 2020, 4, 13. [Google Scholar] [CrossRef] [PubMed]
- Guo, Y.; Liu, Y. The process of rural development and paths for rural revitalization in China. Acta Geogr. Sin. 2021, 6, 1408–1421. [Google Scholar]
- Chen, J. Rapid urbanization in China: A real challenge to soil protection and food security. Catena 2007, 69, 1–15. [Google Scholar] [CrossRef]
- Long, H.; Tang, G.; Li, X.; Heilig, G.K. Socio-economic driving forces of land-use change in Kunshan, the Yangtze River Delta economic area of China. J. Environ. Manag. 2007, 3, 351–364. [Google Scholar] [CrossRef]
- Su, Y.; Qian, K.; Lin, L.; Wang, K.; Guan, T.; Gan, M. Identifying the driving forces of non-grain production expansion in rural China and its implications for policies on cultivated land protection. Land Use Policy 2020, 92, 104435. [Google Scholar] [CrossRef]
- National Bureau of Statistics of China (NBS). China Statistics Yearbook; China Statistics Press: Beijing, China, 2020.
- Johnson, D.G. Does China have a grain problem? China Econ. Rev. 1994, 5, 1–14. [Google Scholar] [CrossRef]
- Wang, J.; Zhang, Z.; Liu, Y. Spatial shifts in grain production increases in China and implications for food security. Land Use Policy 2018, 74, 204–213. [Google Scholar] [CrossRef]
- Wang, Y. The challenges and strategies of food security under rapid urbanization in China. Sustainability 2019, 2, 542. [Google Scholar] [CrossRef] [Green Version]
- Yin, P.; Fang, X.; Tian, Q.; Ma, Y. The changing regional distribution of grain production in China in the 21st century. J. Geogr. Sci. 2006, 4, 396–404. [Google Scholar] [CrossRef]
- Zhang, T. Why are Chinese small farmers planting more grain crops? —Review of the Logic of Grain Planting (2018). China Agric. Econ. Rev. 2019, 1, 173–175. [Google Scholar] [CrossRef]
- Hou, M.; Deng, Y.; Yao, S. Spatial Agglomeration pattern and driving factors of grain production in China since the reform and opening up. Land 2021, 1, 10. [Google Scholar] [CrossRef]
- Zhao, X.; Zheng, Y.; Huang, X.; Kwan, M.P.; Zhao, Y. The effect of urbanization and farmland transfer on the spatial patterns of non-grain farmland in China. Sustainability 2017, 8, 1438. [Google Scholar] [CrossRef] [Green Version]
- Qiu, T.; Choy, S.T.B.; Li, S.; He, Q.; Luo, B. Does land renting-in reduce grain production? Evidence from rural China. Land Use Policy 2020, 90, 104311. [Google Scholar] [CrossRef]
- Zhao, X.; Li, Y.; Zheng, Y.; Jin, Z.; Zhang, X. Impact of industrial structure and farmers’ income structure on the non-grain conversion of arable land. Sci. Technol. Manag. Land Resour. 2019, 5, 66–77. [Google Scholar]
- Zhang, O.; Jiang, C. Analysis on differences of ‘non-grain’ of different types farmers in transfer-in farmland. J. Financ. Trade Res. 2016, 4, 24–31. [Google Scholar]
- Pan, J.; Chen, Y.; Zhang, Y.; Chen, M.; Fennell, S.; Luan, B.; Wang, F.; Meng, D.; Liu, Y.; Jiao, L.; et al. Spatial-temporal dynamics of grain yield and the potential driving factors at the county level in China. J. Clean. Prod. 2020, 255, 120312. [Google Scholar] [CrossRef]
- Zhong, F.; Zhu, J. Food security in China from a global perspective. Choices 2017, 32, 1–5. [Google Scholar]
- Liu, Y.; Wang, C.; Tang, Z.; Nan, Z. Will farmland transfer reduce grain acreage? Evidence from Gansu province, China. China Agric. Econ. Rev. 2018, 2, 277–292. [Google Scholar] [CrossRef] [Green Version]
- Wu, S.; Yu, H.; Chu, Y. Limitations and breakthroughs in the study of “non-grain” in cultivated land under agricultural scale management. J. Northwest A&F Univ. 2019, 3, 142–151. [Google Scholar]
- Huang, Y.; Tian, X. Food accessibility, diversity of agricultural production and dietary pattern in rural China. Food Policy 2019, 84, 92–102. [Google Scholar] [CrossRef]
- Kong, X. The basic connotation and policy suggestions on the structural reform of agricultural supply side. Reform 2016, 2, 104–115. [Google Scholar]
- Tobler, W.R. A computer movie simulating urban growth in the Detroit Region. Econ. Geogr. 1970, 46 (Suppl. 1), 234–240. [Google Scholar] [CrossRef]
- Moran, P.A. Notes on continuous stochastic phenomena. Biometrika 1950, 37, 17–23. [Google Scholar] [CrossRef]
- Getis, A.; Ord, J.K. The Analysis of Spatial Association by Use of Distance Statistics. Geogr. Anal. 1992, 3, 89–206. [Google Scholar] [CrossRef]
- Geary, R.C. The contiguity ratio and statistical mapping. Inc. Stat. 1954, 5, 115–146. [Google Scholar] [CrossRef]
- Wang, J.; Liao, Y.; Liu, X. Spatial Data Analysis Tutorial; Science Press: Beijing, China, 2010. [Google Scholar]
- Liu, Y.; Liu, J.; Zhou, Y. Spatio-temporal patterns of rural poverty in China and targeted poverty alleviation strategies. J. Rural Stud. 2017, 52, 66–75. [Google Scholar] [CrossRef]
- Prasannakumar, V.; Vijith, H.; Charutha, R.; Geetha, N. Spatio-temporal clustering of road accidents: GIS based analysis and assessment. Procedia-Soc. Behav. Sci. 2011, 21, 317–325. [Google Scholar] [CrossRef] [Green Version]
- Anselin, L. Local indicators of spatial association—LISA. Geogr. Anal. 1995, 2, 93–115. [Google Scholar] [CrossRef]
- Eilat, Y.; Einav, L. Determinants of international tourism: A three-dimensional panel data analysis. Appl. Econ. 2004, 12, 1315–1327. [Google Scholar] [CrossRef]
- Hsiao, C. Panel data analysis—Advantages and challenges. Test 2007, 16, 1–22. [Google Scholar] [CrossRef] [Green Version]
- Wang, Z.; Cui, B.; Zhang, Y. Spatial Econometrics: Modern Models and Methods; Peking University Press: Beijing, China, 2017. [Google Scholar]
- LeSage, J.; Pace, R.K. Introduction to Spatial Econometrics; Chapman and Hall/CRC: New York, NY, USA, 2009. [Google Scholar]
- Chen, S.; Zeng, F.; Liu, H.; Xu, H. Factors affecting farmers’ willingness to grow grain in key grain-producing areas: Based on the investigation of 475 rural households of Hunan Province. J. Hunan Agric. Univ. 2012, 5, 29–35. [Google Scholar]
- Jin, T. Analysis on Farmers’ willingness to grow grain and its influencing factors in major grain producing areas. Stat. Decis. 2013, 17, 91–95. [Google Scholar]
- Paul, C.; Nehring, R.; Banker, D.; Somwaru, A. Scale economies and efficiency in US agriculture: Are traditional farms history? J. Prod. Anal. 2004, 3, 185–205. [Google Scholar] [CrossRef]
- Max-Neef, M. Development and human needs. In Development Ethics; Routledge: London, UK, 2017; pp. 169–186. [Google Scholar]
- Wu, S. A study of the regional characteristics of China’s grain production and its cause of formation: An empirical analysis since the market-oriented reform. Econ. Res. J. 2000, 10, 38–45. [Google Scholar]
- Liu, Y.; Fang, F.; Li, Y. Key issues of land use in China and implications for policy making. Land Use Policy 2014, 40, 6–12. [Google Scholar] [CrossRef]
- FAO. The 10 Elements of Agroecology: Guiding the Transition to Sustainable Food and Agricultural Systems; Food and Agriculture Organization of the United Nations: Rome, Italy, 2018. [Google Scholar]
- Long, H.; Tu, S.; Ge, D.; Li, T.; Liu, Y. The allocation and management of critical resources in rural China under restructuring: Problems and prospects. J. Rural Stud. 2016, 47, 392–412. [Google Scholar] [CrossRef] [Green Version]
- Luo, Z.; Rao, H.; Huang, L.; Liu, M.; Chen, T.; Yao, M.; Li, J. Effect of Cu stress on minerals in rice by analyzing husk based on laser-induced breakdown spectroscopy. Appl. Phys. B 2020, 126, 8. [Google Scholar] [CrossRef]
- Zhou, Y. Environmental planning and design of pollution-free pig farms in rural areas. Rev. Científica Fac. Cienc. Vet. 2019, 5, 1345–1354. [Google Scholar]
- Fang, F. Seeking the theoretical origins of supply-side structural reform. Soc. Sci. China 2018, 4, 37–52. [Google Scholar]
- Kong, X. Problems, causes and countermeasures of “non grain” of cultivated land. China Land 2020, 11, 17–19. [Google Scholar]
- Shang, Q. Understanding of tight grain balance should be persisted for a long time. China Grain Econ. 2014, 4, 34–37. [Google Scholar]
- Guo, Y.; Liu, Y. Poverty alleviation through land assetization and its implications for rural revitalization in China. Land Use Policy 2021, 105, 105418. [Google Scholar] [CrossRef]
- Han, H.; Wu, S. Structural change and its impact on the energy intensity of agricultural sector in China. Sustainability 2018, 12, 4591. [Google Scholar] [CrossRef] [Green Version]
- Wang, Y.; Chen, Y.; Yi, X.; Xiao, B. The non-grain problem in the process of land transfer and the countermeasures. Chin. J. Agric. Resour. Reg. Plan. 2011, 4, 13–16. [Google Scholar]
- Yang, R.; Chen, Y.; Yi, X.; Fang, L. The causes and countermeasures on the excessive “non-food” tendency in the process of land transfer. Chin. J. Agric. Resour. Reg. Plan. 2012, 3, 14–17. [Google Scholar]
- Li, T.; Long, H.; Zhang, Y.; Tu, S.; Ge, D.; Li, Y.; Hu, B. Analysis of the spatial mismatch of grain production and farmland resources in China based on the potential crop rotation system. Land Use Policy 2017, 60, 26–36. [Google Scholar] [CrossRef]
- Qian, W.; Wang, D.; Zheng, L. The impact of migration on agricultural restructuring: Evidence from Jiangxi Province in China. J. Rural Stud. 2016, 47, 542–551. [Google Scholar] [CrossRef]




| Variables | Description |
|---|---|
| 1. Per capita farmland (PFARM) | Farmland area per person employed in primary industry |
| 2. Urbanization rate (UR) | Proportion of urban resident population in total resident population |
| 3. Per capita GDP (PGDP) | Calculated according to the caliber of resident population |
| 4. Per capita disposable income of rural households (PCDIR) | Excluding migrant workers, but including college students who are supported by the family |
| 5. Road density (RDEN) | Excluding urban streets, dead end highways, streets built for agricultural production and inside factories |
| 6. Rural population aging (AGING) | Proportion of rural population aged 65 and above in total rural population |
| 7. Function orientation of main grain-producing areas (FUNO) | If it is the main grain-producing area, FUNO is as-signed “1”, otherwise it is 0. |
| Test | Spatial Error | Spatial Lag | ||
|---|---|---|---|---|
| Statistic | p-Value | Statistic | p-Value | |
| Moran’s I | 12.794 | 0.000 | ||
| Lagrange multiplier | 157.831 | 0.000 | 270.165 | 0.000 |
| Robust Lagrange multiplier | 53.748 | 0.000 | 166.081 | 0.000 |
| LR Test | Wald Test | ||||
|---|---|---|---|---|---|
| LR chi2(7) | Prob > chi2 | chi2(6) | Prob > chi2 | ||
| Comparison of SDM and SAR | 245.50 | 0.0000 | The first test method | 12.44 | 0.0528 |
| Comparison of SDM and SER | 211.44 | 0.0000 | The second test method | 16.51 | 0.0113 |
| Model (1) | Model (2) | Model (3) | Model (4) | |
|---|---|---|---|---|
| NGF | NGF | NGF | NGF | |
| PFARM | −0.713 *** | −0.458 *** | −0.195 *** | −0.112 ** |
| (0.0408) | (0.0521) | (0.0587) | (0.0560) | |
| UR | −0.0999 *** | 0.0812 ** | 0.114 *** | 0.116 *** |
| (0.0271) | (0.0367) | (0.0322) | (0.0307) | |
| lnPGDP | 3.974 ** | −2.139 | 9.565 *** | 7.026 *** |
| (1.659) | (1.911) | (1.238) | (1.453) | |
| lnPCDIR | 2.184 | 12.55 *** | −8.411 *** | −5.157 ** |
| (2.085) | (2.414) | (2.196) | (2.321) | |
| RDEN | −1.965 | −3.634 *** | −2.077 ** | −3.620 *** |
| (1.235) | (1.133) | (0.845) | (0.882) | |
| AGING | −0.211 | −0.109 | −0.123 | −0.333 ** |
| (0.183) | (0.175) | (0.133) | (0.131) | |
| FUNO | −7.250 *** | −9.150 *** | ||
| (0.608) | (0.705) | |||
| Constant | −7.831 * | |||
| (4.129) | ||||
| PFARM × W | −0.0542 | −0.0136 | 0.107 | |
| (0.133) | (0.135) | (0.132) | ||
| UR × W | 0.628 *** | 0.0303 | 0.0176 | |
| (0.0665) | (0.0664) | (0.0672) | ||
| lnPGDP × W | −3.024 | 1.227 | −4.672 | |
| (4.218) | (1.558) | (3.065) | ||
| lnPCDIR × W | 39.96 *** | 1.348 | 10.28 * | |
| (4.701) | (2.523) | (5.474) | ||
| RDEN × W | −8.208 *** | −11.33 *** | −15.20 *** | |
| (2.456) | (1.473) | (1.902) | ||
| AGING × W | −0.215 | 0.0986 | −0.672 *** | |
| (0.355) | (0.203) | (0.244) | ||
| FUNO × W | −2.369 | |||
| (1.707) | ||||
| Rho | −0.266 *** | 0.206 *** | 0.0224 | |
| (0.0452) | (0.0401) | (0.0444) | ||
| Observations | 930 | 930 | 930 | 930 |
| R-square | 0.371 | 0.217 | 0.154 | 0.0966 |
Publisher’s Note: MDPI stays neutral with regard to jurisdictional claims in published maps and institutional affiliations. |
© 2021 by the authors. Licensee MDPI, Basel, Switzerland. This article is an open access article distributed under the terms and conditions of the Creative Commons Attribution (CC BY) license (https://creativecommons.org/licenses/by/4.0/).
Share and Cite
Guo, Y.; Wang, J. Identifying the Determinants of Nongrain Farming in China and Its Implications for Agricultural Development. Land 2021, 10, 902. https://doi.org/10.3390/land10090902
Guo Y, Wang J. Identifying the Determinants of Nongrain Farming in China and Its Implications for Agricultural Development. Land. 2021; 10(9):902. https://doi.org/10.3390/land10090902
Chicago/Turabian StyleGuo, Yuanzhi, and Jieyong Wang. 2021. "Identifying the Determinants of Nongrain Farming in China and Its Implications for Agricultural Development" Land 10, no. 9: 902. https://doi.org/10.3390/land10090902
APA StyleGuo, Y., & Wang, J. (2021). Identifying the Determinants of Nongrain Farming in China and Its Implications for Agricultural Development. Land, 10(9), 902. https://doi.org/10.3390/land10090902

