Analysis of Ecological and Economic Benefits of Rural Land Integration in the Manas River Basin Oasis
Abstract
1. Introduction
2. Materials and Methods
2.1. Study Area
2.2. Research Methods and Data Sources
2.2.1. The Net Arable Land Coefficient Sampling Experiment
2.2.2. Participatory Rural Appraisal
2.2.3. Landscape Pattern
2.2.4. Farmland Microclimate
2.2.5. Other Data Sources
3. Results and Analysis
3.1. Calculation and Analysis of the Sample Arable Land Coefficient
3.2. Analysis of Economic Benefits of Agricultural Land Integration
3.2.1. Analysis of Newly Added Cultivated Land Rate
3.2.2. Comparative Analysis of Crop Yield and Income before and after Land Consolidation
3.2.3. Comparative Analysis of Farmers’ Income before and after Integration
3.2.4. Comparative Analysis of Irrigation Water Consumption before and after Integration
3.3. Ecological Benefits
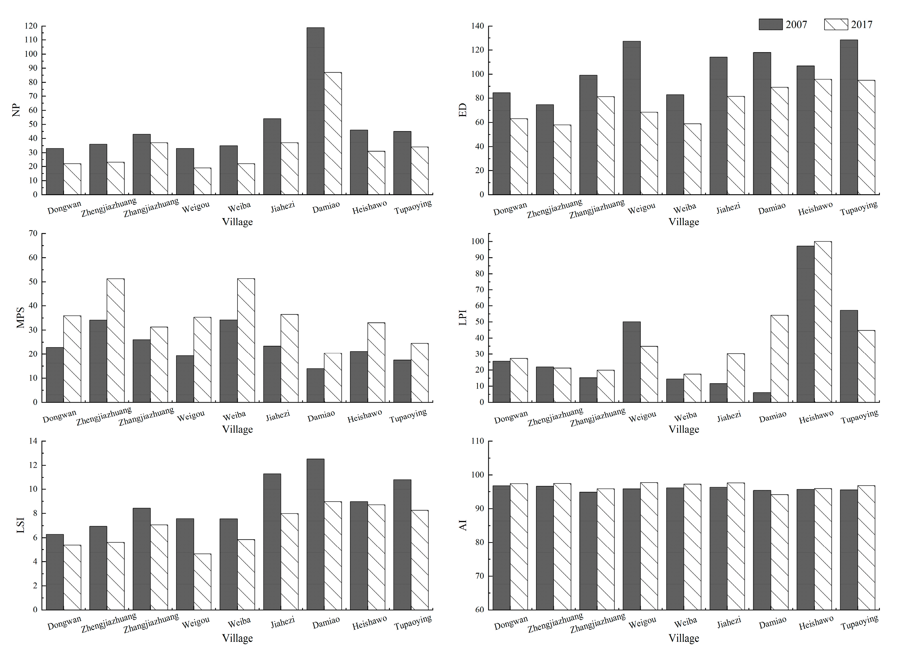
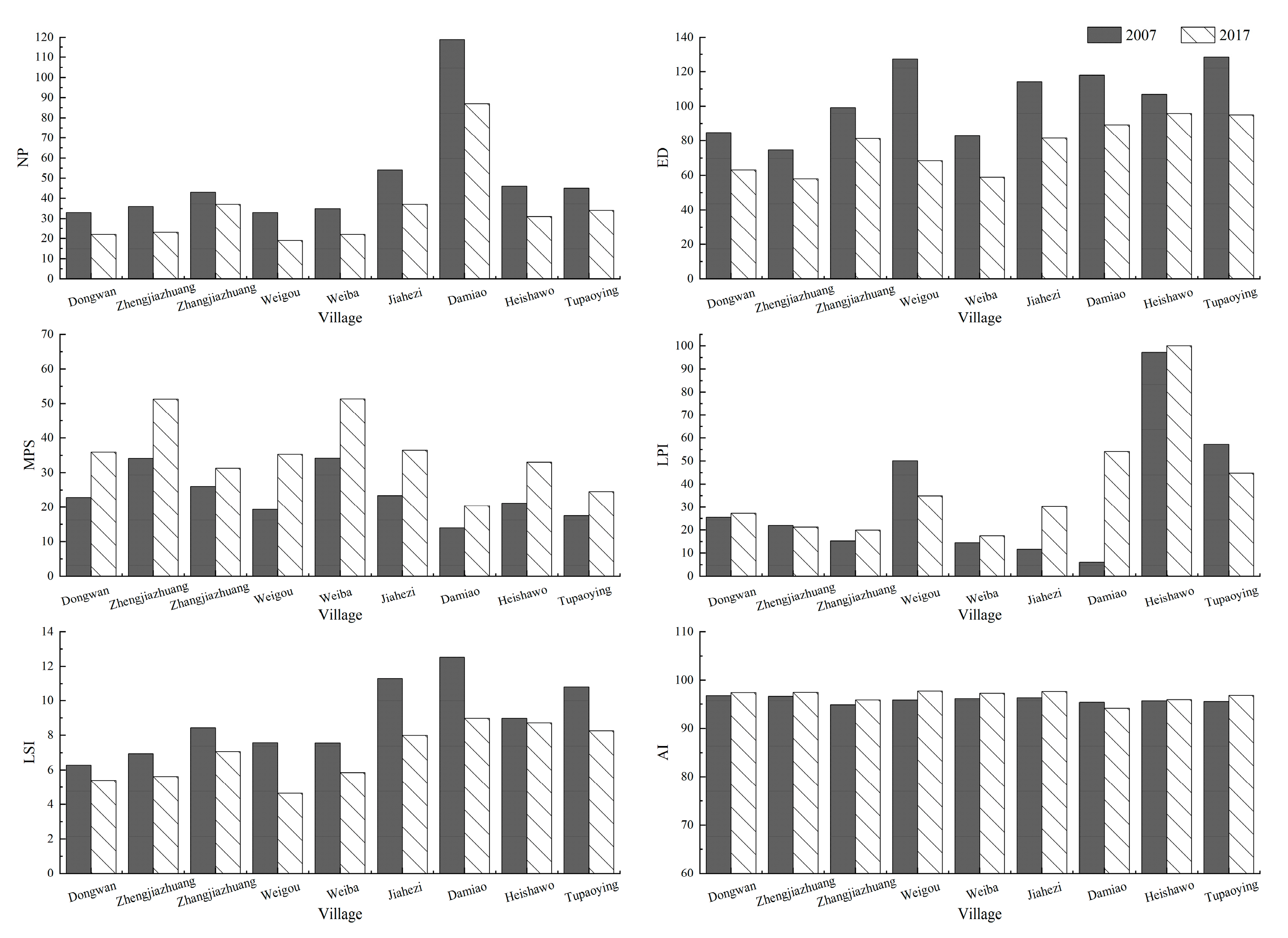
3.3.1. Comparative Analysis of Changes in the Number and Shape of Cultivated Land Plots before and after Integration
3.3.2. Comparative Analysis of Landscape Pattern before and after Integration
3.3.3. Impact on Farmland Microclimate after Integration
4. Discussion
5. Conclusions
Author Contributions
Funding
Institutional Review Board Statement
Informed Consent Statement
Data Availability Statement
Conflicts of Interest
References
- Zhou, J.; Cao, X. What is the policy improvement of China’s land consolidation? Evidence from completed land consolidation projects in Shaanxi Province. Land Use Policy 2020, 99, 104847. [Google Scholar] [CrossRef]
- Wei, Y.; Peng, B.; Liu, H. Discussion on Land Consolidation Model in Urban Fringe Area—Taking Shichuan River in Fuping as an Example. IOP Conf. 2020, 440, 052035. [Google Scholar] [CrossRef]
- Wu, L.; Hou, X.; Xu, X.; Di, X. Land use and landscape pattern changes in coastal areas of Shandong province, China. Trans. Chin. Soc. Agric. Eng. 2013, 29, 207–216. [Google Scholar] [CrossRef]
- Wu, Y.; Feng, W.; Zhou, Y. Practice of barren hilly land consolidation and its impact: A typical case study from Fuping County, Hebei Province of China. J. Geogr. Sci. 2019, 29, 762–778. [Google Scholar] [CrossRef]
- Koshiyama, N. Influence of Field Water Management by Land Consolidation in Paddy Field Zone in Hokkaido, Japan. Irrig. Drain. 2019, 68, 103–108. [Google Scholar] [CrossRef]
- Mihara, M. Effects of agricultural land consolidation on erosion processes in semi-mountainous paddy fields of Japan. J. Agric. Eng. Res. 1996, 64, 237–247. [Google Scholar] [CrossRef]
- Hendricks, A.; Lisec, A. Land Consolidation for Large-Scale Infrastructure Projects in Germany. Geod. Vestn. 2014, 58, 46–68. [Google Scholar] [CrossRef]
- Alvarez, I.C.; Orea, L.; Perez-Mendez, J.A. Rural and Agricultural Development by Land Consolidation: A Spatial Production Analysis of Asturias Parishes; University of Oviedo, Department of Economics, Oviedo Efficiency Group (OEG): Oviedo, Spain, 2019. [Google Scholar]
- Gu, X.K.; Dai, B.; Chen, B.M. Landscape effects of land consolidation projects in Central China—A case study of Tianmen City, Hubei Province. Chin. Geogr. Sci. 2008, 18, 41–46. [Google Scholar] [CrossRef]
- Colombo, S.; Perujo-Villanueva, M. A practical method for the ex-ante evaluation of land consolidation initiatives: Fully connected parcels with the same value. Land Use Policy 2019, 81, 463–471. [Google Scholar] [CrossRef]
- Lu, Y.X.; Huang, S.Y.; Wang, B.Y.; Lu, L.H. The Innovative Pattern of the Rural Land Readjustment:The Implication of the Aggregation from Small to Large Parcel (ASLP) in Longzhou County, Chongzuo City, Guangxi Zhuang Autonomous Region. China Land Sci. 2012, 26, 84–87. (In Chinese) [Google Scholar] [CrossRef]
- Liu, X.M. The Pattern and Regulations of Using Right to Contract for Land Management to Buy Shares of Agricultural Company. J. Hebei Univ. Philos. Soc. Sci. 2012, 37, 90–94. (In Chinese) [Google Scholar] [CrossRef]
- Lige, W.; Anjin, C. Re-discussion of Wenzhou Model from the Perspective of Man-land Relation. Zhejiang Soc. Sci. 2014, 118–123. (In Chinese) [Google Scholar] [CrossRef]
- Yang, L. “Light Management” Concept and Its Practical Outlook—A Survey of Chengdu’s Land Comprehensive Management Mode. China Dev. 2019, 19, 62–65. (In Chinese) [Google Scholar] [CrossRef]
- Wei, H.F.; Shao, Z.L. Analysis on the Reform of Empowering Rural Collective Assets in Shawan County. J. Anhui Agric. Sci. 2019, 47, 241–243. (In Chinese) [Google Scholar]
- Ishii, A. The methods to consolidate scattered tenanted lots into large rice paddy lots by the land consolidation projects in Japan. Paddy Water Environ. 2005, 3, 225–233. [Google Scholar] [CrossRef]
- Junge, X.; Lindemann-Matthies, P.; Hunziker, M.; Schüpbach, B. Aesthetic preferences of non-farmers and farmers for different land-use types and proportions of ecological compensation areas in the Swiss lowlands. Biol. Conserv. 2011, 144, 1430–1440. [Google Scholar] [CrossRef]
- Dunn, C.P.; Stearns, F.; Guntenspergen, G.R.; Sharpe, D.M. Ecological Benefits of the Conservation Reserve Program. Conserv. Biol. 2010, 7, 132–139. [Google Scholar] [CrossRef]
- Jackson, C.R.; Pringle, C.M. Ecological Benefits of Reduced Hydrologic Connectivity in Intensively Developed Landscapes. BioScience 2010, 60, 37–46. [Google Scholar] [CrossRef]
- Iscan, F. The effects of different land reallocation models applied in land consolidation projects on parcel transposition: Example of Karatepe village, Turkey. Sci. Res. Essays 2010, 5, 873–882. [Google Scholar] [CrossRef]
- Kangalawe, R.Y.M.; Christiansson, C.; Ostberg, W. Changing land-use patterns and farming strategies in the degraded environment of the Irangi Hills, central Tanzania. Agric. Ecosyst. Environ. 2008, 125, 33–47. [Google Scholar] [CrossRef]
- Yang, J.; Wang, Z.Q.; Jin, G.; Cheng, B.Y.; Hou, X.H. Post-benefit evaluation of Land Consolidation Project Implementation based on AHP and fuzzy comprehensive evaluation. Resour. Environ. Yangtze Basin 2013, 22, 1036–1042. (In Chinese) [Google Scholar]
- Wang, J.M.; Bai, Z.K.; Su, M.S. A New Approach of Fast Calculating the Sloped Terrace Earthwork in the Hilly Regions. China Land Sci. 2013, 27, 78–83. (In Chinese) [Google Scholar]
- Guo, X. Research on Value Structure and Evaluation Methods of Agrarian Land in China. Master’s Thesis, Wuhan University, Wuhan, China, 2005. (In Chinese). [Google Scholar]
- Liao, N.; Gu, X.; Wang, Y.; Xu, H.; Fan, Z. Analyzing Macro-Level Ecological Change and Micro-Level Farmer Behavior in Manas River Basin, China. Land 2020, 9, 250. [Google Scholar] [CrossRef]
- Yu, J.; Chen, Y.H.; Peng, J.; Li, J.Y.; Nie, Y. Comprehensive evaluation on land ecological quality based on GIS and Fragstats:a case study in Xiantao City, Hubei Province. Acta Ecol. Sin. 2020, 40, 2932–2943. (In Chinese) [Google Scholar]
- Wang, W.J. The Application of Geographic Information Technology in the Deep Teaching Design of Senior Geography: Taking the Application of LocaSpace Viewer as an Example. Sci. Educ. Artic. Collect. 2020, 151–152. (In Chinese) [Google Scholar] [CrossRef]
- Atik, M.; Işikli, R.C.; Ortaçeşme, E.; Yildirim, E. Definition of landscape character areas and types in Side region, Antalya-Turkey with regard to land use planning. Land Use Policy 2015, 44, 90–100. [Google Scholar] [CrossRef]
- Rodriguez-Loinaz, G.; Alday, J.G.; Onaindia, M. Multiple ecosystem services landscape index: A tool for multifunctional landscapes conservation. J. Environ. Manag. 2015, 147, 152–163. [Google Scholar] [CrossRef]
- Chen, W.L.; Xu, Q.; Zhao, K.Y.; Zhou, X.P.; Wang, X.C.; Xu, J.Q. Spatial analysis of land-use management for gully land consolidation on the Loess Plateau in China. Ecol. Indic. 2020, 117, 106633. (In Chinese) [Google Scholar] [CrossRef]
- Yu, P.J.; Xu, H.L.; Qiao, M.; Zhou, S.B.; An, H.Y. Arable Land in the Manas River Basin Based on CBERS Data. Arid Zone Res. 2009, 26, 846–851. (In Chinese) [Google Scholar] [CrossRef]
- Li, H.L.; Ma, H.X.; Yang, R. Influence of cotton farmer’s livelihood capitals on livelihood strategy—Based on the survey data of Manas and Awat counties, Xinjiang. J. Arid Land Resour. Environ. 2017, 31, 57–63. (In Chinese) [Google Scholar] [CrossRef]
- Li, M.Y.; Liang, D.; Xia, J.; Song, J.; Cheng, D.D.; Wu, J.T.; Cao, Y.L.; Sun, H.T.; Li, Q. Evaluation of water conservation function of Danjiang River Basin in Qinling Mountains, China based on InVEST model. J. Environ. Manag. 2021, 286, 112212. (In Chinese) [Google Scholar] [CrossRef]
- Shu-Hao, T.; Heerink, N.; Fu-Tian, Q.U. Impact of land fragmentation on rice producers’ technical efficiency in South-East China. NJAS Wagening J. Life Sci. 2010, 57, 117–123. [Google Scholar] [CrossRef]
- Li, W.H.; Han, D.M.; Hu, S.K. Effect of degradable plastic film mulching on soil moisture and temperature in drip irrigation cotton field in arid oasis area. J. Shihezi Univ. Nat. Sci. 2020, 38, 63–68. (In Chinese) [Google Scholar] [CrossRef]
- Wang, Y.H.; Zang, L.Z.; Araral, E. The impacts of land fragmentation on irrigation collective action: Empirical test of the social-ecological system framework in China. J. Rural Stud. 2020, 78, 234–244. [Google Scholar] [CrossRef]
- Kang, Y.H.; Ming, C.; Wan, S.Q. Effects of drip irrigation with saline water on waxy maize (Zea mays L. var. ceratina Kulesh) in North China Plain. Agric. Water Manag. 2010, 97, 1303–1309. [Google Scholar] [CrossRef]
- Zhu, Y.W.; Sang, B.Y.; Wang, Y.H.; Liu, K.; Chen, Q.M.; Chu, F.F. Carbon Storage and Biomass of Farmland Shelterbelt Forests with Different Ages in Xinjiang. J. Northwest For. Univ. 2018, 2, 7. [Google Scholar]
- Aslan, Ş.T.A. Evaluation of land consolidation projects with parcel shape and dispersion. Land Use Policy 2021, 105, 105401. [Google Scholar] [CrossRef]
- Guo, Z.H.; Gao, J.N.; Sun, P.C.; Dou, S.H.; Li, J.; Lou, X.Y.; Wang, H.; Rafiq, A.; Gao, Z. Influence of Gully Land Consolidation on Phreatic Water Transformation in the Loess Hilly and Gully Region. Water 2021, 13, 538. [Google Scholar] [CrossRef]
- Katarina, D.; Primož, K. Land consolidation negatively affects farmland bird diversity and conservation value. J. Nat. Conserv. 2021, 59, 125934. [Google Scholar] [CrossRef]
- Zhou, Y.; Chen, Y.; Ying, L.X.; Yang, C.Y. A Technical Framework for the Ecological Conservation and Restoration of Full-Array Ecosystems. Earth Sci. Front. 2020, 1–12. [Google Scholar] [CrossRef]
- Zhang, D.L.; Wang, W.X.; Zhou, W.; Zhang, X.L.; Zou, J. The effect on poverty alleviation and income increase of rural land consolidation in different models: A China study. Land Use Policy 2020, 99, 104989. [Google Scholar] [CrossRef]
- Gu, X.; Yang, G.; He, X.; Zhao, L.; Li, X.; Li, P.; Liu, B.; Gao, Y.; Xue, L.; Long, A. Hydrological process simulation in Manas River Basin using CMADS. Open Geosci. 2020, 12, 946. [Google Scholar] [CrossRef]






| Name | Net Cultivated Land Coefficient of Remote Sensing Images in the Study Area | Field Survey Net Cultivated Land Coefficient |
|---|---|---|
| Dongwan Village | 0.7268 | 0.7132 |
| Zhengjiazhuang Village | 0.7327 | 0.7145 |
| Zhangjiazhuang Village | 0.7315 | 0.7201 |
| Weigou Village | 0.7883 | 0.7647 |
| Weiba Village | 0.7635 | 0.7406 |
| Jiahezi Village | 0.7729 | 0.7497 |
| Damiao Village | 0.7644 | 0.7414 |
| Heishawo Village | 0.7843 | 0.7607 |
| Tupaoying Village | 0.7536 | 0.7309 |
| Name of Village | Before Integration/ha | After Integration/ha | Change in Cultivated Land/ha | New Cultivated Land/% | ||||
|---|---|---|---|---|---|---|---|---|
| Corner/ha | Forest Belt/ha | Ditch/ha | Field Ridge/ha | Sporadic Species/ha | ||||
| Dongwan Village | 752.70 | 789.50 | 10.25 | 6.78 | 7.21 | 4.62 | 7.93 | 4.89% |
| Zhengjiazhuang Village | 1180.52 | 1227.52 | 13.83 | 9.0 | 8.63 | 5.62 | 9.91 | 3.98% |
| Zhangjiazhuang Village | 1118.25 | 1155.68 | 10.81 | 7.29 | 7.64 | 4.76 | 6.93 | 3.35% |
| Weigou Village | 636.12 | 671.07 | 9.36 | 6.79 | 8.08 | 3.09 | 7.63 | 5.49% |
| Weiba Village | 1130.10 | 1196.42 | 19.13 | 14.19 | 11.08 | 7.69 | 15.23 | 5.87% |
| Jiahezi Village | 1260.12 | 1348.18 | 32.86 | 17.87 | 11.22 | 8.18 | 17.93 | 6.99% |
| Damiao Village | 1662.99 | 1771.08 | 35.40 | 23.83 | 12.76 | 10.82 | 22.28 | 6.50% |
| Heishawo Village | 972.61 | 1023.83 | 14.21 | 11.66 | 8.79 | 5.24 | 11.32 | 5.27% |
| Tupaoying Village | 787.61 | 834.28 | 14.33 | 9.44 | 8.98 | 3.72 | 10.20 | 5.93% |
| Village | Classification of Integration | Unit Yield (kg/ha) | Plant the Measure of Area/ha | Income/RMB 10,000 |
|---|---|---|---|---|
| Dongwan Village | Before | 4591.36 | 752.70 | 392.72 |
| After | 6835.76 | 789.50 | 1897.95 | |
| Zhengjiazhuang Village | Before | 4809.80 | 1180.52 | 712.65 |
| After | 6819.48 | 1227.52 | 2938.65 | |
| Zhangjiazhuang Village | Before | 5183.24 | 1118.25 | 831.65 |
| After | 6856.96 | 1155.68 | 2793.31 | |
| Weigou Village | Before | 4589.52 | 636.12 | 331.46 |
| After | 6861.84 | 671.07 | 1624.01 | |
| Weiba Village | Before | 4858.28 | 1130.10 | 702.75 |
| After | 6769.68 | 1196.42 | 2827.56 | |
| Jiahezi Village | Before | 4626.20 | 1260.12 | 673.94 |
| After | 7017.52 | 1348.18 | 3391.71 | |
| Damiao Village | Before | 4983.40 | 1662.99 | 1112.16 |
| After | 6980.84 | 1771.08 | 4415.68 | |
| Heishawo Village | Before | 5026.48 | 972.61 | 666.16 |
| After | 6969.80 | 1023.83 | 2545.67 | |
| Tupaoying Village | Before | 4950.96 | 787.61 | 517.15 |
| After | 7113.80 | 834.28 | 2148.26 | |
| Average value | Before | 4846.60 | 1055.67 | 651.84 |
| After | 6913.96 | 1113.06 | 2729.31 |
| Before Integration/ha | Income/RMB | After Integration/ha | Income/RMB |
|---|---|---|---|
| 1.20 | 5163 | 1.26 | 5449 |
| 1.60 | 6885 | 1.73 | 7457 |
| 1.87 | 8032 | 2.00 | 8605 |
| 2.00 | 8268 | 2.20 | 9094 |
| 2.27 | 9753 | 2.47 | 10,612 |
| 2.67 | 11,775 | 2.87 | 12,656 |
| 2.93 | 12,622 | 3.20 | 13,768 |
| 3.33 | 14,343 | 3.60 | 15,489 |
| 3.47 | 14,917 | 3.73 | 16,062 |
| 3.80 | 16,352 | 3.93 | 16,923 |
| 3.93 | 16,704 | 4.20 | 17,834 |
| 4.20 | 18,309 | 4.47 | 19,469 |
| 4.53 | 19,507 | 4.73 | 20,365 |
| 4.80 | 20,655 | 5.07 | 21,799 |
| 5.07 | 21,653 | 5.33 | 22,790 |
| 5.67 | 24,384 | 6.00 | 25,815 |
| 5.93 | 26,533 | 6.27 | 28,020 |
| 6.20 | 26,679 | 6.53 | 28,110 |
| 6.47 | 27,637 | 6.86 | 29,342 |
| 6.67 | 28,687 | 7.13 | 30,691 |
Publisher’s Note: MDPI stays neutral with regard to jurisdictional claims in published maps and institutional affiliations. |
© 2021 by the authors. Licensee MDPI, Basel, Switzerland. This article is an open access article distributed under the terms and conditions of the Creative Commons Attribution (CC BY) license (https://creativecommons.org/licenses/by/4.0/).
Share and Cite
Liao, N.; Gu, X.; Wang, Y.; Xu, H.; Fan, Z. Analysis of Ecological and Economic Benefits of Rural Land Integration in the Manas River Basin Oasis. Land 2021, 10, 451. https://doi.org/10.3390/land10050451
Liao N, Gu X, Wang Y, Xu H, Fan Z. Analysis of Ecological and Economic Benefits of Rural Land Integration in the Manas River Basin Oasis. Land. 2021; 10(5):451. https://doi.org/10.3390/land10050451
Chicago/Turabian StyleLiao, Na, Xinchen Gu, Yuejian Wang, Hailiang Xu, and Zili Fan. 2021. "Analysis of Ecological and Economic Benefits of Rural Land Integration in the Manas River Basin Oasis" Land 10, no. 5: 451. https://doi.org/10.3390/land10050451
APA StyleLiao, N., Gu, X., Wang, Y., Xu, H., & Fan, Z. (2021). Analysis of Ecological and Economic Benefits of Rural Land Integration in the Manas River Basin Oasis. Land, 10(5), 451. https://doi.org/10.3390/land10050451

