Environmental Threats over Amazonian Indigenous Lands
Abstract
1. Introduction
2. Environmental Threats and Their Impacts on Amazonian Indigenous Lands
2.1. Deforestation
2.2. Forest Degradation
2.3. Fires
2.4. Agricultural and Livestock Expansion
2.5. Road Access
2.6. Mining
3. Materials and Methods
3.1. Overview
3.2. Study Area
3.3. Environmental Threat Indicators and Data
3.4. Cluster Analysis
4. Results and Discussion
4.1. General View of Environmental Threats within and around Indigenous Lands
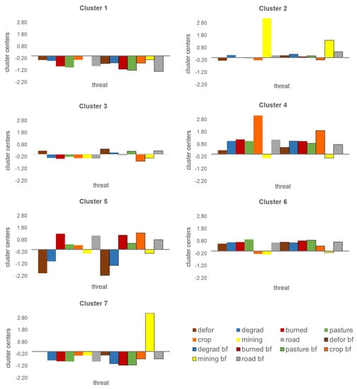
4.2. Clusters of Indigenous Lands
4.3. Public Policies to Protect the Environmental Integrity of Indigenous Lands
4.3.1. Protecting Indigenous Lands’ Buffer Zones
4.3.2. Preventing and Combating Illegal Activities in Indigenous Lands
4.3.3. Preventing and Combating Fires in Indigenous Lands
4.3.4. Extrusion of Illegal Non-Indigenous Invaders of Indigenous Lands
4.4. Beyond Public Policies
4.5. Limitations and Future Work
5. Conclusions
Author Contributions
Funding
Conflicts of Interest
Abbreviations
| IL | Indigenous Land |
| BF | buffer zone |
| defor | deforestation |
| degrad | forest degradation |
Appendix A
| Stage | Description |
|---|---|
| In study | Conducting anthropological, historical, land, cartographic and environmental studies, which support the identification and delimitation of Indigenous Land. |
| Delimited | Lands that had their studies approved by the Funai Presidency, with their conclusion published in the Official Gazette of the Union and the State, and that are in the administrative contradictory phase or under analysis by the Ministry of Justice, for a decision on the issuing of a Declaratory Ordinance traditional Indigenous possession. |
| Declarated | Lands that obtained the expedition of the Declaratory Ordinance by the Minister of Justice and are authorized to be physically demarcated, with the materialization of the landmarks and georeferencing. |
| Homologated | Lands that have their materialized and georeferenced limits, whose administrative demarcation was approved by Presidential decree. |
| Regularized | Land that, after the homologation decree, was registered in a Notary’s Office in the name of the Union and in the Federal Heritage Secretariat. |
| Forwarded with Indigenous Reserve | The Indigenous Reserve constitutes a differentiated category of Indigenous Land, mainly due to the way it is acquired by the State and intended for the Indigenous population. In this way, this category is out of the stages of the recognition process cited above. The Indigenous Reserves are areas that are in the administrative process of acquisition by the Union (direct purchase, expropriation or donation) intended for the possession and occupation of Indigenous peoples; where they can live and obtain means of subsistence, with the right to enjoy and use natural resources, guaranteeing the conditions for their physical and cultural reproduction. |
| Where | Threat | Cluster 1 | Cluster 2 | Cluster 3 | Cluster 4 | Cluster 5 | Cluster 6 | Cluster 7 |
|---|---|---|---|---|---|---|---|---|
| Indigenous Land | deforestation | −0.35 | −0.26 | 0.29 | 0.31 | −1.98 | 0.58 | 0.03 |
| degradation | −0.43 | 0.20 | −0.30 | 1.06 | −0.99 | 0.69 | −0.73 | |
| burned | −0.88 | 0.02 | −0.37 | 1.19 | 1.31 | 0.71 | −0.82 | |
| pasture | −0.96 | −0.06 | −0.22 | 1.06 | 0.43 | 0.93 | −0.83 | |
| crop | −0.34 | −0.21 | −0.32 | 3.11 | 0.35 | −0.23 | −0.34 | |
| mining | −0.02 | 3.17 | −0.32 | −0.32 | −0.32 | −0.29 | −0.32 | |
| roads | −0.86 | 0.19 | −0.36 | 1.16 | 1.15 | 0.68 | −0.83 | |
| Buffer Zone | deforestation | −0.63 | 0.16 | 0.43 | 0.53 | −2.15 | 0.70 | −0.30 |
| degradation | −0.59 | 0.27 | 0.12 | 1.04 | −1.33 | 0.64 | −1.01 | |
| burned | −1.12 | 0.06 | −0.04 | 1.03 | 1.18 | 0.81 | −1.15 | |
| pasture | −1.21 | 0.14 | 0.24 | 0.87 | 0.52 | 0.87 | −1.12 | |
| crop | −0.61 | −0.20 | −0.58 | 1.91 | 1.38 | 0.39 | −0.61 | |
| mining | −0.31 | 1.40 | −0.31 | −0.31 | −0.31 | -0.11 | 3.18 | |
| roads | −1.30 | 0.46 | 0.29 | 0.78 | 0.81 | 0.72 | −0.61 |

References
- National Indian Foundation—FUNAI. National Indian Foundation. Available online: https://www.gov.br/funai/pt-br (accessed on 20 November 2019).
- Brazilian Federal Constitution. Article 231/1988. 1988. Available online: http://www.planalto.gov.br/ccivil_03/constituicao/constituicao.htm (accessed on 12 April 2020).
- Brazilian Legislative Power. Law 6.001/1973. 1973. Available online: http://www.planalto.gov.br/ccivil_03/leis/l6001.htm (accessed on 12 April 2020).
- Brazilian Executive Power. Law 5.173/1966. 1966. Available online: http://www.planalto.gov.br/ccivil_03/leis/L5173.htm (accessed on 13 May 2020).
- Socioenvironmental Institute—ISA. Terras Indígenas no Brasil. 2019. Available online: https://terrasindigenas.org.br/ (accessed on 20 April 2019).
- Walker, W.; Baccini, A.; Schwartzman, S.; Ríos, S.; Oliveira-Miranda, M.A.; Augusto, C.; Ruiz, M.R.; Arrasco, C.S.; Ricardo, B.; Smith, R.; et al. Forest Carbon in Amazonia: The Unrecognized Contribution of Indigenous Territories and Protected Natural Areas. Carbon Manag. 2014, 5, 479–485. [Google Scholar] [CrossRef]
- Ricketts, T.H.; Soares-Filho, B.; da Fonseca, G.A.; Nepstad, D.; Pfaff, A.; Petsonk, A.; Anderson, A.; Boucher, D.; Cattaneo, A.; Conte, M.; et al. Indigenous lands, protected areas, and slowing climate change. PLoS Biol. 2010, 8, e1000331. [Google Scholar] [CrossRef]
- Fernández-Llamazares, Á.; Terraube, J.; Gavin, M.C.; Pyhälä, A.; Siani, S.M.; Cabeza, M.; Brondizio, E.S. Reframing the wilderness concept can bolster collaborative conservation. Trends Ecol. Evol. 2020, 35, 750–753. [Google Scholar] [CrossRef]
- Begotti, R.A.; Peres, C.A. Rapidly escalating threats to the biodiversity and ethnocultural capital of Brazilian Indigenous Lands. Land Use Policy 2020, 96, 104694. [Google Scholar] [CrossRef]
- Nepstad, D.; Schwartzman, S.; Bamberger, B.; Santilli, M.; Ray, D.; Schlesinger, P.; Lefebvre, P.; Alencar, A.; Prinz, E.; Fiske, G.; et al. Inhibition of Amazon deforestation and fire by parks and indigenous lands. Conserv. Biol. 2006, 20, 65–73. [Google Scholar] [CrossRef]
- Soares-Filho, B.; Moutinho, P.; Nepstad, D.; Anderson, A.; Rodrigues, H.; Garcia, R.; Dietzsch, L.; Merry, F.; Bowman, M.; Hissa, L.; et al. Role of Brazilian Amazon Protected Areas in Climate Change Mitigation. Proc. Natl. Acad. Sci. USA 2010, 107, 10821–10826. [Google Scholar] [CrossRef]
- Nelson, A.; Chomitz, K.M. Effectiveness of strict vs. multiple use protected areas in reducing tropical forest fires: A global analysis using matching methods. PLoS ONE 2011, 6, e22722. [Google Scholar] [CrossRef] [PubMed]
- Nepstad, D.C.; Stickler, C.M.; Filho, B.S.; Merry, F. Interactions among Amazon land use, forests and climate: Prospects for a near-term forest tipping point. Philos. Trans. R. Soc. Biol. Sci. 2008, 363, 1737–1746. [Google Scholar] [CrossRef] [PubMed]
- Carneiro Filho, A.; Souza, O.B. Atlas de Pressões e Ameaças às Terras Indígenas na Amazônia Brasileira. 2009. Available online: https://www.socioambiental.org/pt-br/o-isa/publicacoes/atlas-de-pressoes-e-ameacas-as-terras-indigenas-na-amazonia-brasileira (accessed on 20 August 2018).
- Ricardo, B.; Ricardo, F. Povos Indígenas no Brasil: 2006/2010; Instituto Socioambiental: São Paulo, Brasil, 2011. [Google Scholar]
- Le Tourneau, F.M. The Sustainability Challenges of Indigenous Territories in Brazil’s Amazonia. Curr. Opin. Environ. Sustain. 2015, 14, 213–220. [Google Scholar] [CrossRef]
- Socioenvironmental Institute—ISA. Terras+. 2019. Available online: http://terrasmais.eco.br (accessed on 30 April 2019).
- National Institute for Space Research—INPE. Amazon Deforestation Monitoring Project (PRODES). 2020. Available online: http://terrabrasilis.dpi.inpe.br/downloads/ (accessed on 30 April 2020).
- National Institute for Space Research—INPE. Portal for Monitoring Fires. 2020. Available online: http://http://queimadas.dgi.inpe.br/queimadas/bdqueimadas (accessed on 15 August 2019).
- Ferrante, L.; Gomes, M.; Fearnside, P.M. Amazonian indigenous peoples are threatened by Brazil’s Highway BR-319. Land Use Policy 2020, 94, 104548. [Google Scholar] [CrossRef]
- Sonter, L.J.; Herrera, D.; Barrett, D.J.; Galford, G.L.; Moran, C.J.; Soares-Filho, B.S. Mining Drives Extensive Deforestation in the Brazilian Amazon. Nat. Commun. 2017, 8, 1–7. [Google Scholar] [CrossRef] [PubMed]
- Rorato, A.C.; Camara, G.; Escada, M.I.S.; Picoli, M.C.A.; Moreira, T.; Verstegen, J.A. Brazilian Amazon indigenous peoples threatened by mining bill. Environ. Res. Lett. 2020, 15, 1040a3. [Google Scholar] [CrossRef]
- Siqueira-Gay, J.; Soares-Filho, B.; Sanchez, L.E.; Oviedo, A.; Sonter, L.J. Proposed Legislation to Mine Brazil’s Indigenous Lands Will Threaten Amazon Forests and Their Valuable Ecosystem Services. One Earth 2020, 3, 356–362. [Google Scholar] [CrossRef]
- Nepstad, D.C.; Stickler, C.M.; Almeida, O.T. Globalization of the Amazon soy and beef industries: Opportunities for conservation. Conserv. Biol. 2006, 20, 1595–1603. [Google Scholar] [CrossRef] [PubMed]
- Gibbs, H.K.; Ruesch, A.S.; Achard, F.; Clayton, M.K.; Holmgren, P.; Ramankutty, N.; Foley, J.A. Tropical Forests Were the Primary Sources of New Agricultural Land in the 1980s and 1990s. Proc. Natl. Acad. Sci. USA 2010, 107, 16732–16737. [Google Scholar] [CrossRef] [PubMed]
- Laurance, W.F.; Clements, G.R.; Sloan, S.; O’connell, C.S.; Mueller, N.D.; Goosem, M.; Venter, O.; Edwards, D.P.; Phalan, B.; Balmford, A.; et al. A global strategy for road building. Nature 2014, 513, 229–232. [Google Scholar] [CrossRef]
- Costa, F.d.A. Land market and technological trajectories in Amazonia. Economia e Sociedade 2012, 21, 245–273. [Google Scholar] [CrossRef]
- Camara, G.; Soterroni, A.; Ramos, F.; Carvalho, A.; Andrade, P.; Cartaxo, R.; Mosnier, A.; Mant, R.; Buurman, M.; Pena, M.; et al. Modelling Land Use Change in Brazil: 2000–2050; Technical Report; INPE; IPEA: Sao Jose dos Campos, Brazil; IIASA: Laxenburg, Austria; UNEP-WCMC: Cambridge, UK, 2015.
- de Araujo Lima Constantino, P. Deforestation and hunting effects on wildlife across Amazonian indigenous lands. Ecol. Soc. 2016, 21. [Google Scholar] [CrossRef]
- Indigenist Missionary Council—CIMI. Violence against Indigenous Peoples in Brazil (Data for 2018). 2019. Available online: https://cimi.org.br/observatorio-da-violencia/edicoes-anteriores/ (accessed on 20 January 2020).
- Indigenist Missionary Council—CIMI. Violence against Indigenous Peoples in Brazil (Data for 2019). 2019. Available online: https://cimi.org.br/observatorio-da-violencia/edicoes-anteriores/ (accessed on 10 December 2020).
- Abessa, D.; Famá, A.; Buruaem, L. The Systematic Dismantling of Brazilian Environmental Laws Risks Losses on All Fronts. Nat. Ecol. Evol. 2019, 3, 510–511. [Google Scholar] [CrossRef] [PubMed]
- Pereira, E.J.d.A.L.; Ferreira, P.J.S.; de Santana Ribeiro, L.C.; Carvalho, T.S.; de Barros Pereira, H.B. Policy in Brazil (2016–2019) threaten conservation of the Amazon rainforest. Environ. Sci. Policy 2019, 100, 8–12. [Google Scholar] [CrossRef]
- Brazilian Executive Power. Bill 191/2020. 2020. Available online: https://www.camara.leg.br/proposicoesWeb/fichadetramitacao?idProposicao=2236765 (accessed on 10 August 2020).
- Artaxo, P. Working together for Amazonia. Science 2019, 363, 323. [Google Scholar] [CrossRef] [PubMed]
- Escobar, H. Scientists, environmentalists brace for Brazil’s right turn. Science 2018, 362, 273–274. [Google Scholar] [CrossRef]
- Begotti, R.A.; Peres, C.A. Brazil’s Indigenous Lands under Threat. Science 2019, 363, 592. [Google Scholar] [CrossRef]
- Human Rights Watch. Rainforest Mafias: How Violence and Impunity Fuel Deforestation in Brazil’s Amazon. 2019. Available online: https://www.hrw.org/report/2019/09/17/rainforest-mafias/how-violence-and-impunity-fuel-deforestation-brazils-amazon#_ftn37 (accessed on 25 June 2020).
- World Gold Council. Gold Price & Gold Market Data and Research. 2020. Available online: https://www.gold.org/goldhub/data/gold-prices (accessed on 29 July 2020).
- DeFries, R.; Hansen, A.; Newton, A.C.; Hansen, M.C. Increasing isolation of protected areas in tropical forests over the past twenty years. Ecol. Appl. 2005, 15, 19–26. [Google Scholar] [CrossRef]
- Joppa, L.N.; Loarie, S.R.; Pimm, S.L. On the protection of “protected areas”. Proc. Natl. Acad. Sci. USA 2008, 105, 6673–6678. [Google Scholar] [CrossRef]
- Cabral, A.I.; Saito, C.; Pereira, H.; Laques, A.E. Deforestation pattern dynamics in protected areas of the Brazilian Legal Amazon using remote sensing data. Appl. Geogr. 2018, 100, 101–115. [Google Scholar] [CrossRef]
- Nogueira, E.M.; Yanai, A.M.; de Vasconcelos, S.S.; de Alencastro Graça, P.M.L.; Fearnside, P.M. Carbon stocks and losses to deforestation in protected areas in Brazilian Amazonia. Reg. Environ. Chang. 2018, 18, 261–270. [Google Scholar] [CrossRef]
- Lapola, D.M.; Silva, J.M.C.d.; Braga, D.R.; Carpigiani, L.; Ogawa, F.; Torres, R.R.; Barbosa, L.C.; Ometto, J.P.; Joly, C.A. A climate-change vulnerability and adaptation assessment for Brazil’s protected areas. Conserv. Biol. 2020, 34, 427–437. [Google Scholar] [CrossRef] [PubMed]
- Wolters, V.; Silver, W.L.; Bignell, D.E.; Coleman, D.C.; Lavelle, P.; Van Der Putten, W.H.; De Ruiter, P.; Rusek, J.; Wall, D.H.; Wardle, D.A.; et al. Effects of Global Changes on Above-and Belowground Biodiversity in Terrestrial Ecosystems: Implications for Ecosystem Functioning: We identify the basic types of interaction between vascular plants and soil biota; describe the sensitivity of each type to changes in species composition; and, within this framework, evaluate the potential consequences of global change drivers on ecosystem processes. Bioscience 2000, 50, 1089–1098. [Google Scholar] [CrossRef]
- Morris, R.J. Anthropogenic impacts on tropical forest biodiversity: A network structure and ecosystem functioning perspective. Philos. Trans. R. Soc. Biol. Sci. 2010, 365, 3709–3718. [Google Scholar] [CrossRef]
- Diniz, C.G.; Souza, A.A.d.A.; Santos, D.C.; Dias, M.C.; da Luz, N.C.; de Moraes, D.R.V.; Maia, J.S.A.; Gomes, A.R.; Narvaes, I.d.S.; Valeriano, D.M.; et al. DETER-B: The New Amazon Near Real-Time Deforestation Detection System. IEEE J. Sel. Top. Appl. Earth Obs. Remote. Sens. 2015, 8, 3619–3628. [Google Scholar] [CrossRef]
- National Institute for Space Research—INPE. Monitoramento da Cobertura Florestal da Amazônia por satéLites. Sistemas PRODES, DETER, DEGRAD e Queimadas; Technical Report; National Institute for Space Research—INPE: São José dos Campos, Brazil, 2008.
- Barlow, J.; Berenguer, E.; Carmenta, R.; França, F. Clarifying Amazonia’s burning crisis. Glob. Chang. Biol. 2020, 26, 319–321. [Google Scholar] [CrossRef] [PubMed]
- Lacerda, F. Prevenção e Monitoramento de Incêndios Florestais em terras indíGenas: Programa de Capacitação em Proteção Territorial. 2013. Available online: http://www.funai.gov.br/arquivos/conteudo/cgmt/pdf/Prevencao_e_Monitoramento_de_Incendios_Florestais_em_TIs.pdf (accessed on 12 September 2020).
- Aragão, L.E.; Anderson, L.O.; Fonseca, M.G.; Rosan, T.M.; Vedovato, L.B.; Wagner, F.H.; Silva, C.V.; Junior, C.H.S.; Arai, E.; Aguiar, A.P.; et al. 21st Century drought-related fires counteract the decline of Amazon deforestation carbon emissions. Nat. Commun. 2018, 9, 1–12. [Google Scholar] [CrossRef]
- Cochrane, M.A.; Schulze, M.D. Fire as a Recurrent Event in Tropical Forests of the Eastern Amazon: Effects on Forest Structure, Biomass, and Species Composition 1. Biotropica 1999, 31, 2–16. [Google Scholar] [CrossRef]
- Ribeiro, M.F.; Barba, M.D. Abandonadas pela Funai, 60% das terras indígenas são devastadas por mais de 100 mil focos de incêndio. Available online: https://reporterbrasil.org.br/2020/11/abandonadas-pela-funai-60-das-terras-indigenas-sao-devastadas-100-mil-focos-de-incendio/?utm_campaign=shareaholic&utm_medium=twitter&utm_source=socialnetwork (accessed on 20 November 2020).
- Angelo, M. Enquanto Brasil Queima, Brigadas IndíGenas de Combate ao fogo Encaram Futuro Incerto. 2020. Available online: https://brasil.mongabay.com/2020/10/enquanto-brasil-queima-brigadas-indigenas-de-combate-ao-fogo-encaram-futuro-incerto/ (accessed on 15 November 2020).
- Lambin, E.F.; Meyfroidt, P. Global Land Use Change, Economic Globalization, and the Looming Land Scarcity. Proc. Natl. Acad. Sci. USA 2011, 108, 3465–3472. [Google Scholar] [CrossRef] [PubMed]
- Turner, B.L.; Lambin, E.F.; Reenberg, A. The emergence of land change science for global environmental change and sustainability. Proc. Natl. Acad. Sci. USA 2007, 104, 20666–20671. [Google Scholar] [CrossRef]
- Harper, K.A.; Macdonald, S.E.; Burton, P.J.; Chen, J.; Brosofske, K.D.; Saunders, S.C.; Euskirchen, E.S.; Roberts, D.; Jaiteh, M.S.; Esseen, P.A. Edge influence on forest structure and composition in fragmented landscapes. Conserv. Biol. 2005, 19, 768–782. [Google Scholar] [CrossRef]
- Escada, M.I.S.; Alves, D.S. Mudanças de uso e Cobertura do solo na Amazônia: Impactos Sócio-Ambientais na Ocupação de Regiões de Fronteira Agrícola; Technical Report; National Institute for Space Research—INPE: São José dos Campos, Brasil, 2001.
- Alves, D.S. Space-time dynamics of deforestation in Brazilian Amazonia. Int. J. Remote. Sens. 2002, 23, 2903–2908. [Google Scholar] [CrossRef]
- Soares-Filho, B.; Alencar, A.; Nepstad, D.; Cerqueira, G.; Vera Diaz, M.d.C.; Rivero, S.; Solórzano, L.; Voll, E. Simulating the response of land-cover changes to road paving and governance along a major Amazon highway: The Santarém–Cuiabá corridor. Glob. Chang. Biol. 2004, 10, 745–764. [Google Scholar] [CrossRef]
- Soares-Filho, B.S.; Nepstad, D.C.; Curran, L.M.; Cerqueira, G.C.; Garcia, R.A.; Ramos, C.A.; Voll, E.; McDonald, A.; Lefebvre, P.; Schlesinger, P. Modelling conservation in the Amazon basin. Nature 2006, 440, 520–523. [Google Scholar] [CrossRef]
- Hilson, G. An Overview of Land Use Conflicts in Mining Communities. Land Use Policy 2002, 19, 65–73. [Google Scholar] [CrossRef]
- Horowitz, L.S.; Keeling, A.; Lévesque, F.; Rodon, T.; Schott, S.; Thériault, S. Indigenous Peoples’ Relationships to Large-Scale Mining in Post/Colonial Contexts: Toward Multidisciplinary Comparative Perspectives. Extr. Ind. Soc. 2018, 5, 404–414. [Google Scholar] [CrossRef]
- Vega, C.M.; Orellana, J.D.Y.; Oliveira, M.W.; Hacon, S.S.; Basta, P.C. Human Mercury Exposure in Yanomami Indigenous Villages from the Brazilian Amazon. Int. J. Environ. Res. Public Health 2018, 15, 1051. [Google Scholar] [CrossRef]
- Oiveira, V. Brazil: Prospectors Murder 2 Yanomamis over Land. Available online: http://www.hlrn.org/news.php?id=p3FraQ==#.XySNnyhKjIU (accessed on 31 July 2020).
- Phillips, D. Amazon Gold Miners Invade Indigenous Village in Brazil after Its Leader Is Killed. Available online: https://www.theguardian.com/world/2019/jul/28/amazon-gold-miners-invade-indigenous-village-brazil-leader-killed (accessed on 31 July 2020).
- Global Witness. DEFENDING TOMORROW: The Climate Crisis and Threats against Land and Environmental Defenders. Available online: https://www.globalwitness.org/en/campaigns/environmental-activists/defending-tomorrow/ (accessed on 29 July 2020).
- Ferreira, J.; Aragao, L.; Barlow, J.; Barreto, P.; Berenguer, E.; Bustamante, M.; Gardner, T.A.; Lees, A.C.; Lima, A.; Louzada, J.; et al. Brazil’s Environmental Leadership at Risk. Science 2014, 346, 706–707. [Google Scholar] [CrossRef]
- Alvarez-Berrios, N.L.; Aide, T.M. Global Demand for Gold Is Another Threat for Tropical Forests. Environ. Res. Lett. 2015, 10, 014006. [Google Scholar] [CrossRef]
- National Institute for Space Research—INPE. Near Real-Time Deforestation Detection System (DETER). 2020. Available online: http://terrabrasilis.dpi.inpe.br/downloads/ (accessed on 30 April 2020).
- National Indian Foundation—FUNAI. Terras Indígenas/Terras Indígenas em Estudos. 2019. Available online: http://www.funai.gov.br/index.php/shape (accessed on 20 November 2019).
- National Indian Foundation—FUNAI. Indigenous Lands/Indigenous Lands in Studies. 2019. Available online: http://www.funai.gov.br/index.php/shape (accessed on 20 November 2019).
- Ministério do Meio Ambiente—MMA. Portaria Interministerial 60/2015. 2015. Available online: http://www.lex.com.br/legis_26632223_portaria_interministerial_n_60_de_24_de_marco_de_2015.aspx (accessed on 12 April 2020).
- Giglio, L.; Boschetti, L.; Roy, D.P.; Humber, M.L.; Justice, C.O. The Collection 6 MODIS burned area mapping algorithm and product. Remote. Sens. Environ. 2018, 217, 72–85. [Google Scholar] [CrossRef]
- Camara, G.; Simoes, R.; Picoli, M.; Andrade, P.R.; Rorato, A.; Santos, L.; Maciel, A.; Sanches, I.; Coutinho, A.; Esquerdo, J.; et al. Land Use and Land Cover Maps for Amazon Biome in Brazil for 2001–2019 Derived from MODIS Time Series. Sci. Data 2020, 7, 34. [Google Scholar] [CrossRef]
- Rede Amazônica de Informação Socioambiental Georreferenciada—RAISG. Dados Cartográficos. Available online: https://www.amazoniasocioambiental.org/es/mapas/ (accessed on 20 November 2019).
- Javadi, S.; Hashemy, S.; Mohammadi, K.; Howard, K.; Neshat, A. Classification of aquifer vulnerability using K-means cluster analysis. J. Hydrol. 2017, 549, 27–37. [Google Scholar] [CrossRef]
- Fernandez, P.; Mourato, S.; Moreira, M.; Pereira, L. A new approach for computing a flood vulnerability index using cluster analysis. Phys. Chem. Earth Parts A/B/C 2016, 94, 47–55. [Google Scholar] [CrossRef]
- Mohamad, I.; Usman, D. Standardization and Its Effects on K-Means Clustering Algorithm. Res. J. Appl. Sci. Eng. Technol. 2013, 6, 3299–3303. [Google Scholar] [CrossRef]
- Maroco, J. Análise estatística: Com Utilização do SPSS; Edições Sílabo: Lisboa, Portugal, 2007. [Google Scholar]
- Han, J.; Pei, J.; Kamber, M. Data Mining: Concepts and Techniques; Elsevier: Amsterdam, The Netherlands, 2011. [Google Scholar]
- Calinski, T.; Harabasz, J. A dendrite method for cluster analysis. Commun. Stat. Theory Methods 1974, 3, 1–27. [Google Scholar] [CrossRef]
- R Core Team. R: A Language and Environment for Statistical Computing; R Foundation for Statistical Computing: Vienna, Austria, 2014. [Google Scholar]
- ESRI. ArcGIS Desktop 10.4; Environmental Systems Research Institute (ESRI): Redlands, CA, USA, 2016. [Google Scholar]
- QGIS Development Team. QGIS Geographic Information System; Open Source Geospatial Foundation: Brazil, 2009; Available online: https://qgis.org/en/site/ (accessed on 10 December 2020).
- IBM Corp. IBM SPSS Statistics for Windows; IBM Corp: Armonk, NY, USA, 2013. [Google Scholar]
- Becker, B.K. Geopolitics of the Amazon. Area Dev. Policy 2016, 1, 15–29. [Google Scholar] [CrossRef]
- Nolte, C.; Agrawal, A.; Silvius, K.M.; Soares-Filho, B. Governance Regime and Location Influence Avoided Deforestation Success of Protected Areas in the Brazilian Amazonia. Proc. Natl. Acad. Sci. USA 2013, 110, 4956–4961. [Google Scholar] [CrossRef] [PubMed]
- Aguiar, A.; Camara, G.; Escada, I. Spatial Statistical Analysis of Land-Use Determinants in the Brazilian Amazonia: Exploring Intra-Regional Heterogeneity. Ecol. Model. 2007, 209, 169–188. [Google Scholar] [CrossRef]
- Raisg. Amazonía bajo Presión, 2020. Available online: https://www.amazoniasocioambiental.org/pt-br/publicacao/amazonia-sob-pressao-2020/ (accessed on 10 December 2020).
- Schielein, J.; Börner, J. Recent transformations of land-use and land-cover dynamics across different deforestation frontiers in the Brazilian Amazon. Land Use Policy 2018, 76, 81–94. [Google Scholar] [CrossRef]
- Brazilian Institute of Geography and Statistics—IBGE. Municipal Agricultural Production. 2020. Available online: https://sidra.ibge.gov.br/pesquisa/pam/tabelas (accessed on 1 November 2020).
- Brazilian Institute of Geography and Statistics—IBGE. Municipal Livestock Research. Available online: https://sidra.ibge.gov.br/pesquisa/ppm/tabelas (accessed on 1 November 2020).
- Arima, E.Y.; Barreto, P.; Araujo, E.; Soares-Filho, B. Public Policies Can Reduce Tropical Deforestation: Lessons and Challenges from Brazil. Land Use Policy 2014, 41, 465–473. [Google Scholar] [CrossRef]
- Trebat, T.J.; Nora, L.; Caldwell, I. Threats to the Brazilian Environment and Environmental Policy. Available online: https://globalcenters.columbia.edu/sites/default/files/content/Workshop_Report_Threats%20to%20the%20Brazilian%20Environment.pdf (accessed on 5 November 2020).
- Junior, C.H.S.; Celentano, D.; Rousseau, G.X.; de Moura, E.G.; van Deursen Varga, I.; Martinez, C.; Martins, M.B. Amazon forest on the edge of collapse in the Maranhão State, Brazil. Land Use Policy 2020, 97, 104806. [Google Scholar] [CrossRef]
- Editorial of O Estado de S. Paulo. O Ibama Sem Dentes. Available online: https://opiniao.estadao.com.br/noticias/notas-e-informacoes,o-ibama-sem-dentes,70003530150 (accessed on 29 November 2020).
- Dantas, C. Apenas 3 de Quase mil autuações aplicadas pelo Ibama por Desmate na Amazônia em 2020 Foram Quitadas. 2020. Available online: https://g1.globo.com/natureza/amazonia/noticia/2020/10/31/apenas-3-de-quase-mil-autuacoes-aplicadas-pelo-ibama-por-desmate-na-amazonia-foram-quitadas-em-2020.ghtml (accessed on 31 October 2020).
- Camargos, D. In an Offensive against Indigenous People in Pará, illegal gold Miners Move Billionaire Market. 2019. Available online: https://reporterbrasil.org.br/2019/11/em-ofensiva-contra-indigenas-no-para-garimpeiros-ilegais-movimentam-mercado-bilionario/ (accessed on 2 February 2020).
- Brancalion, P.H.; de Almeida, D.R.; Vidal, E.; Molin, P.G.; Sontag, V.E.; Souza, S.E.; Schulze, M.D. Fake legal logging in the Brazilian Amazon. Sci. Adv. 2018, 4, eaat1192. [Google Scholar] [CrossRef]
- Brazilian Institute of the Environment and Renewable Natural Resources—IBAMA. National Center for the Prevention and Fighting of Forest Fires (Prevfogo). Available online: https://www.ibama.gov.br/prevfogo (accessed on 20 November 2020).
- Ferrante, L.; Fearnside, P.M. Brazil threatens Indigenous lands. Science 2020, 368, 481–482. [Google Scholar] [PubMed]
- Eloy, L.; A. Bilbao, B.; Mistry, J.; Schmidt, I.B. From fire suppression to fire management: Advances and resistances to changes in fire policy in the savannas of Brazil and Venezuela. Geogr. J. 2019, 185, 10–22. [Google Scholar] [CrossRef]
- Verdélio, A. Força Nacional permanecerá por mais 90 dias em terra indígena no Pará. 2020. Available online: https://agenciabrasil.ebc.com.br/geral/noticia/2020-07/forca-nacional-permanecera-por-mais-90-dias-em-terra-indigena-no-para (accessed on 21 August 2020).
- Phillips, D. ‘Like a Bomb Going off’: Why Brazil’s Largest Reserve Is Facing Destruction. Available online: https://www.theguardian.com/environment/2020/jan/13/like-a-bomb-going-off-why-brazils-largest-reserve-is-facing-destruction-aoe (accessed on 2 February 2020).
- Socioenvironmental Institute—ISA. The Impact of the Pandemic on the Yanomami Indigenous Land (O Impacto da Pandemia na Terra Indígena Yanomami—in Portuguese); Technical Report; Instituto Socioambiental: São Paulo, Brazil, 2020. [Google Scholar]
- Walker, R.T.; Simmons, C.; Arima, E.; Galvan-Miyoshi, Y.; Antunes, A.; Waylen, M.; Irigaray, M. Avoiding Amazonian catastrophes: Prospects for conservation in the 21st century. One Earth 2019, 1, 202–215. [Google Scholar] [CrossRef]
- Athayde, S. Introduction: Indigenous peoples, dams and resistance. Tipiti J. Soc. Anthropol. Lowl. S. Am. 2014, 12, 80–92. [Google Scholar]
- Walker, R.; Simmons, C. Endangered Amazon: An indigenous tribe fights back against hydropower development in the Tapajós Valley. Environ. Sci. Policy Sustain. Dev. 2018, 60, 4–15. [Google Scholar] [CrossRef]
- Maconachie, R. Diamonds, governance and ‘local’development in post-conflict Sierra Leone: Lessons for artisanal and small-scale mining in sub-Saharan Africa? Resour. Policy 2009, 34, 71–79. [Google Scholar] [CrossRef]
- Garnett, S.T.; Burgess, N.D.; Fa, J.E.; Fernández-Llamazares, Á.; Molnár, Z.; Robinson, C.J.; Watson, J.E.; Zander, K.K.; Austin, B.; Brondizio, E.S.; et al. A spatial overview of the global importance of Indigenous lands for conservation. Nat. Sustain. 2018, 1, 369. [Google Scholar] [CrossRef]
- Baragwanath, K.; Bayi, E. Collective property rights reduce deforestation in the Brazilian Amazon. Proc. Natl. Acad. Sci. USA 2020, 117, 20495–20502. [Google Scholar] [CrossRef] [PubMed]
- Brazilian Executive Power. Decree 7.747/2012. 2012. Available online: http://www.planalto.gov.br/ccivil_03/_ato2011-2014/2012/decreto/d7747.htm (accessed on 20 December 2020).
- SOMAI. Sistema de OBSERVAÇÃO E Monitoramento da AMAZÔNIA indÍgena. 2020. Available online: http://www.somai.org.br/plataforma/ (accessed on 20 December 2020).
- National Indian Foundation. Normative Instruction 9/2020. 2020. Available online: https://www.in.gov.br/web/dou/-/instrucao-normativa-n-9-de-16-de-abril-de-2020-253343033 (accessed on 20 February 2021).
- de Gusmão, H.N.B.; Baldassa, T.T. Indigenous Lands overlaid by Rural Registries in Brazil. 2020. Available online: https://deolhonosruralistas.com.br/overlap-indigenouslands/ (accessed on 20 February 2021).
- Siqueira-Gay, J.; Sonter, L.J.; Sánchez, L.E. Exploring potential impacts of mining on forest loss and fragmentation within a biodiverse region of Brazil’s northeastern Amazon. Resour. Policy 2020, 67, 101662. [Google Scholar] [CrossRef]








| Where | Threat | Quantification | Period | Source |
|---|---|---|---|---|
| Indigenous Land | Deforestation | accumulated deforested area (%) | 1988–2019 | [18] |
| Forest degradation | accumulated degraded forest area (%) | 2007–2019 | [70] | |
| Forest fires | accumulated burned area (%) | 2001–2019 | [74] | |
| Mining | n° of mining occurrences | 2018 | [76] | |
| Agriculture | cropland area (%) | 2018 | [75] | |
| Livestock | pasture area (%) | 2018 | [75] | |
| Road access | road density (km/km) | 2017 | [76] | |
| Buffer Zone | Deforestation | accumulated deforested area (%) | 1988–2019 | [18] |
| Forest degradation | accumulated degraded forest area (%) | 2007–2019 | [70] | |
| Forest fires | accumulated burned area (%) | 2001–2019 | [74] | |
| Mining | n° of mining occurrences | 2018 | [76] | |
| Agriculture | cropland area (%) | 2018 | [75] | |
| Livestock | pasture area (%) | 2018 | [75] | |
| Road access | road density (km/km) | 2017 | [76] |
Publisher’s Note: MDPI stays neutral with regard to jurisdictional claims in published maps and institutional affiliations. |
© 2021 by the authors. Licensee MDPI, Basel, Switzerland. This article is an open access article distributed under the terms and conditions of the Creative Commons Attribution (CC BY) license (http://creativecommons.org/licenses/by/4.0/).
Share and Cite
Rorato, A.C.; Picoli, M.C.A.; Verstegen, J.A.; Camara, G.; Silva Bezerra, F.G.; Escada, M.I.S. Environmental Threats over Amazonian Indigenous Lands. Land 2021, 10, 267. https://doi.org/10.3390/land10030267
Rorato AC, Picoli MCA, Verstegen JA, Camara G, Silva Bezerra FG, Escada MIS. Environmental Threats over Amazonian Indigenous Lands. Land. 2021; 10(3):267. https://doi.org/10.3390/land10030267
Chicago/Turabian StyleRorato, Ana C., Michelle C. A. Picoli, Judith A. Verstegen, Gilberto Camara, Francisco Gilney Silva Bezerra, and Maria Isabel S. Escada. 2021. "Environmental Threats over Amazonian Indigenous Lands" Land 10, no. 3: 267. https://doi.org/10.3390/land10030267
APA StyleRorato, A. C., Picoli, M. C. A., Verstegen, J. A., Camara, G., Silva Bezerra, F. G., & Escada, M. I. S. (2021). Environmental Threats over Amazonian Indigenous Lands. Land, 10(3), 267. https://doi.org/10.3390/land10030267

