Soil Water Retention as Affected by Management Induced Changes of Soil Organic Carbon: Analysis of Long-Term Experiments in Europe
Abstract
:1. Introduction
2. Materials and Methods
2.1. Experiments’ Descriptions
2.2. WRC Points Determination
2.3. OC Determination
2.4. Statistical Analysis and Visualization Tools
3. Results and Discussion
3.1. Soil Organic Carbon
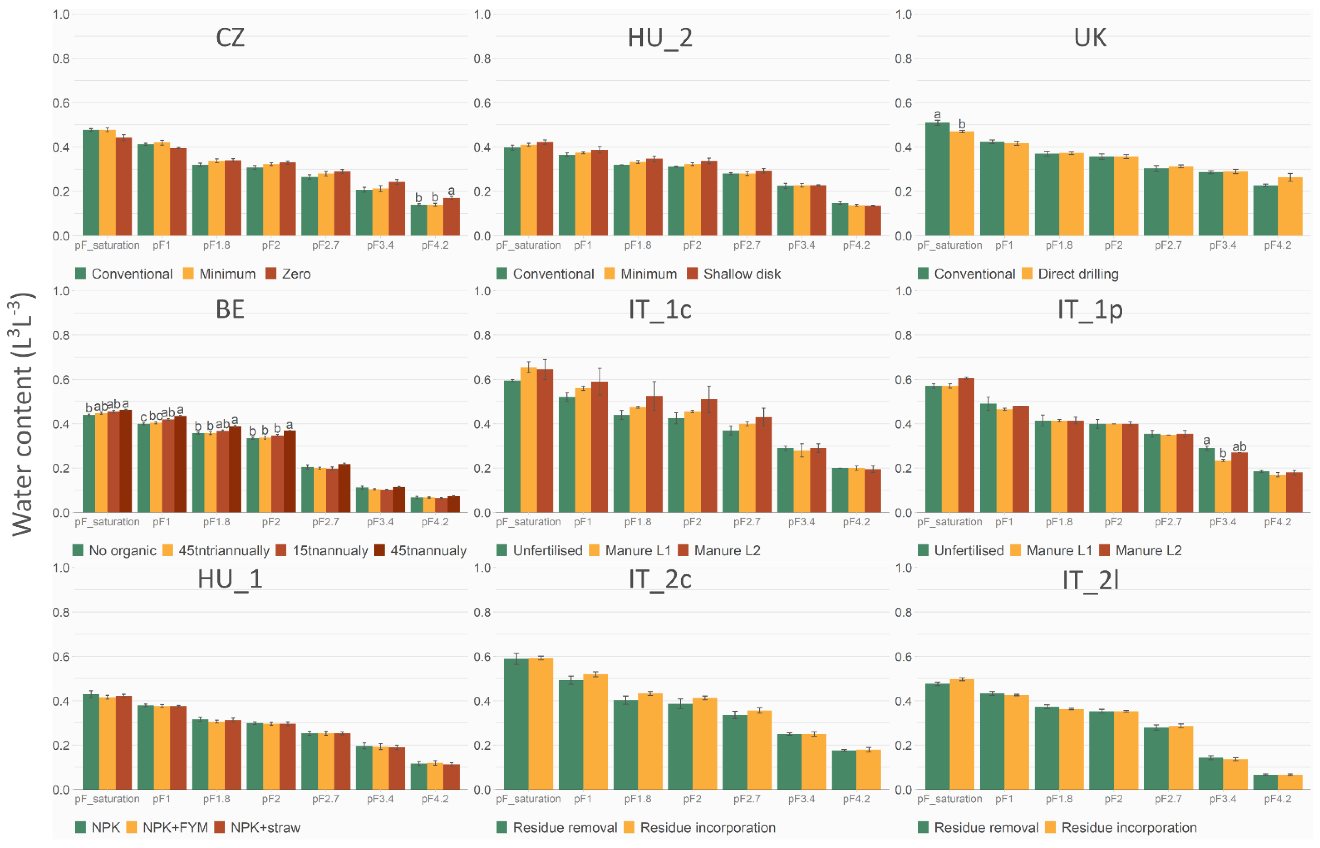
3.2. WRC
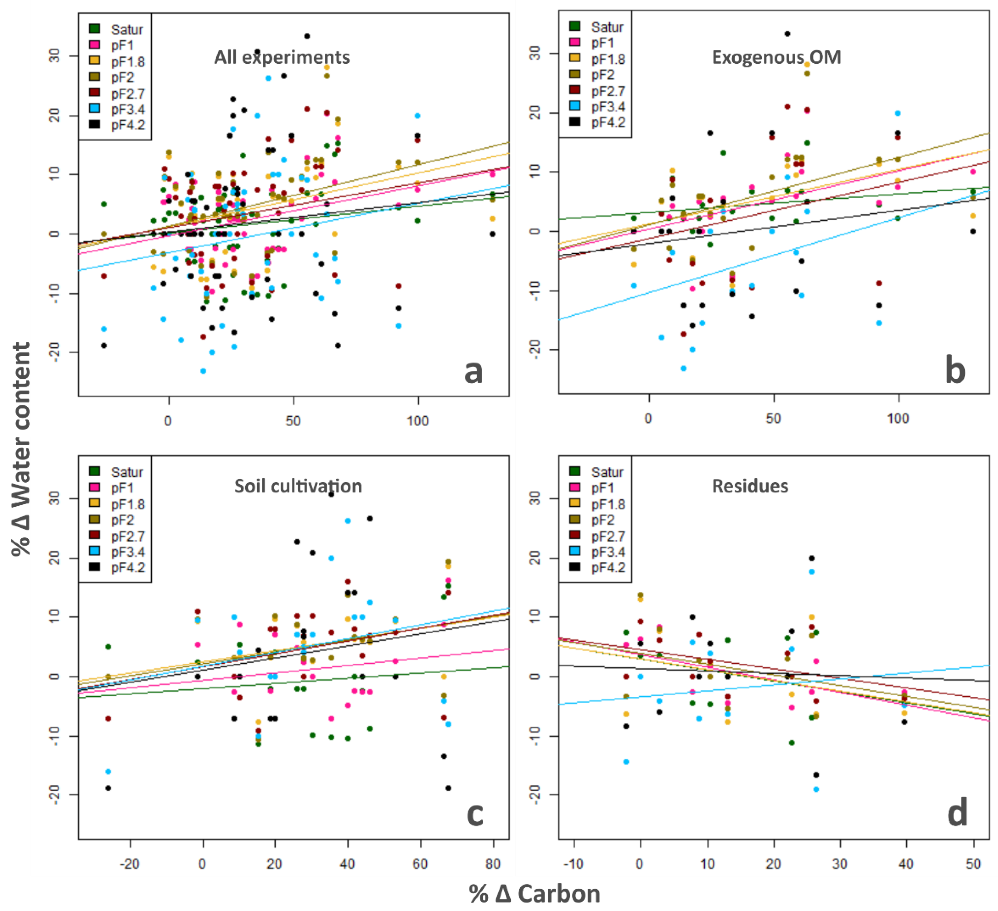
3.3. Water Retention as Affected by Carbon Changes and Management Practices
4. Conclusions
Supplementary Materials
Author Contributions
Funding
Institutional Review Board Statement
Informed Consent Statement
Data Availability Statement
Acknowledgments
Conflicts of Interest
References
- Vereecken, H.; Maes, J.; Feyen, J.; Darius, P. Estimating the soil moisture retention characteristic from texture, bulk density, and carbon content. Soil Sci. 1989, 148, 389–403. [Google Scholar] [CrossRef]
- Stephens, D.B. Vadose Zone Hydrology, 1st ed.; CRC Press: Boca Raton, FL, USA, 1996. [Google Scholar]
- Grillakis, M.G.; Koutroulis, A.G.; Alexakis, D.D.; Polykretis, C.; Daliakopoulos, I.N. Regionalizing Root-Zone Soil Moisture Estimates From ESA CCI Soil Water Index Using Machine Learning and Information on Soil, Vegetation, and Climate. Water Resour. Res. 2021, 57, e2020WR029249. [Google Scholar] [CrossRef]
- Pan, T.; Hou, S.; Liu, Y.; Tan, Q. Comparison of three models fitting the soil water retention curves in a degraded alpine meadow region. Sci. Rep. 2019, 9, 18407. [Google Scholar] [CrossRef] [PubMed]
- Vereecken, H.; Weynants, M.; Javaux, M.; Pachepsky, Y.; Schaap, M.G.; van Genuchten, M.T. Using Pedotransfer Functions to Estimate the van Genuchten-Mualem Soil Hydraulic Properties: A Review. Vadose Zone J. 2010, 9, 795–820. [Google Scholar] [CrossRef]
- Zhang, L.; Han, J. Improving water retention capacity of an aeolian sandy soil with feldspathic sandstone. Sci. Rep. 2019, 9, 14719. [Google Scholar] [CrossRef] [Green Version]
- Fatichi, S.; Or, D.; Walko, R.; Vereecken, H.; Young, M.H.; Ghezzehei, T.A.; Hengl, T.; Kollet, S.; Agam, N.; Avissar, R. Soil structure is an important omission in Earth System Models. Nat. Commun. 2020, 11, 522. [Google Scholar] [CrossRef] [Green Version]
- Van Looy, K.; Bouma, J.; Herbst, M.; Koestel, J.; Minasny, B.; Mishra, U.; Montzka, C.; Nemes, A.; Pachepsky, Y.A.; Padarian, J.; et al. Pedotransfer Functions in Earth System Science: Challenges and Perspectives. Rev. Geophys. 2017, 55, 1199–1256. [Google Scholar] [CrossRef] [Green Version]
- Lu, D.; Wang, H.; Huang, D.; Li, D.; Sun, Y. Measurement and Estimation of Water Retention Curves Using Electrical Resistivity Data in Porous Media. J. Hydrol. Eng. 2020, 25, 04020021. [Google Scholar] [CrossRef]
- Sun, D.; You, G.; Annan, Z.; Daichao, S. Soil–water retention curves and microstructures of undisturbed and compacted Guilin lateritic clay. Bull. Eng. Geol. Environ. 2016, 75, 781–791. [Google Scholar] [CrossRef]
- Whalley, W.R.; Ober, E.S.; Jenkins, M. Measurement of the matric potential of soil water in the rhizosphere. J. Exp. Bot. 2013, 64, 3951–3963. [Google Scholar] [CrossRef] [Green Version]
- Sun, H.; Lee, J.; Chen, X.; Zhuang, J. Estimating soil water retention for wide ranges of pressure head and bulk density based on a fractional bulk density concept. Sci. Rep. 2020, 10, 16666. [Google Scholar] [CrossRef]
- Cornelis, W.M.; Ronsyn, J.; Van Meirvenne, M.; Hartmann, R. Evaluation of Pedotransfer Functions for Predicting the Soil Moisture Retention Curve. Soil Sci. Soc. Am. J. 2001, 65, 638–648. [Google Scholar] [CrossRef]
- Schaap, M.G.; Leij, F.J.; Van Genuchten, M.T. Rosetta: A computer program for estimating soil hydraulic parameters with hierarchical pedotransfer functions. J. Hydrol. 2001, 251, 163–176. [Google Scholar] [CrossRef]
- Tóth, B.; Weynants, M.; Nemes, A.; Makó, A.; Bilas, G.; Tóth, G. New generation of hydraulic pedotransfer functions for Europe. Eur. J. Soil Sci. 2015, 66, 226–238. [Google Scholar] [CrossRef]
- Wösten, J.H.M.; Pachepsky, Y.A.; Rawls, W.J. Pedotransfer functions: Bridging the gap between available basic soil data and missing soil hydraulic characteristics. J. Hydrol. 2001, 251, 123–150. [Google Scholar] [CrossRef]
- Zhang, Y.; Schaap, M.G. Weighted recalibration of the Rosetta pedotransfer model with improved estimates of hydraulic parameter distributions and summary statistics (Rosetta3). J. Hydrol. 2017, 547, 39–53. [Google Scholar] [CrossRef] [Green Version]
- Zacharias, S.; Wessolek, G. Excluding Organic Matter Content from Pedotransfer Predictors of Soil Water Retention. Soil Sci. Soc. Am. J. 2007, 71, 43–50. [Google Scholar] [CrossRef]
- Contreras, C.P.; Bonilla, C.A. A comprehensive evaluation of pedotransfer functions for predicting soil water content in environmental modeling and ecosystem management. Sci. Total Environ. 2018, 644, 1580–1590. [Google Scholar] [CrossRef]
- Brooks, R.H.; Corey, A.T. Hydraulic Properties of Porous Media; Colorado State University: Fort Collins, CO, USA, 1964; Volume 3. [Google Scholar]
- Van Genuchten, M.T. A closed-form equation for predicting the hydraulic conductivity of unsaturated soils. Soil Sci. Soc. Am. J. 1980, 44, 892–898. [Google Scholar] [CrossRef] [Green Version]
- Kool, D.; Tong, B.; Tian, Z.; Heitman, J.L.; Sauer, T.J.; Horton, R. Soil water retention and hydraulic conductivity dynamics following tillage. Soil Tillage Res. 2019, 193, 95–100. [Google Scholar] [CrossRef] [Green Version]
- Hudson, B.D. Soil organic matter and available water capacity. J. Soil Water Conserv. 1994, 49, 189–194. [Google Scholar]
- Rawls, W.J.; Pachepsky, Y.A.; Ritchie, J.C.; Sobecki, T.M.; Bloodworth, H. Effect of soil organic carbon on soil water retention. Geoderma 2003, 116, 61–76. [Google Scholar] [CrossRef]
- Manns, H.R.; Parkin, G.W.; Martin, R.C. Evidence of a union between organic carbon and water content in soil. Can. J. Soil Sci. 2016, 96, 305–316. [Google Scholar] [CrossRef] [Green Version]
- Minasny, B.; McBratney, A.B. Limited effect of organic matter on soil available water capacity. Eur. J. Soil Sci. 2018, 69, 39–47. [Google Scholar] [CrossRef] [Green Version]
- Huntington, T. Available Water Capacity and Soil Organic Matter. In Encyclopedia of Soil Science; Taylor and Francis: New York, NY, USA, 2007; pp. 139–143. [Google Scholar]
- FAO. Conservation Agriculture. 2017. Available online: https://www.fao.org/conservation-agriculture/en/ (accessed on 27 November 2021).
- Williams, D.M.; Blanco-Canqui, H.; Francis, C.A.; Galusha, T.D. Organic farming and soil physical properties: An assessment after 40 years. Agron. J. 2017, 109, 600–609. [Google Scholar] [CrossRef]
- Głąb, T.; Pużyńska, K.; Pużyński, S.; Palmowska, J.; Kowalik, K. Effect of organic farming on a Stagnic Luvisol soil physical quality. Geoderma 2016, 282, 16–25. [Google Scholar] [CrossRef]
- Chenu, C.; Angers, D.A.; Barré, P.; Derrien, D.; Arrouays, D.; Balesdent, J. Increasing organic stocks in agricultural soils: Knowledge gaps and potential innovations. Soil Tillage Res. 2019, 188, 41–52. [Google Scholar] [CrossRef]
- De Clercq, T.; Merckx, R.; Elsen, A.; Vandendriessche, H. Impact of long-term compost amendments on soil fertility, soil organic matter fractions and nitrogen mineralization. Acta Hortic. 2016, 1146, 79–86. [Google Scholar] [CrossRef]
- Diacono, M.; Montemurro, F. Long-term effects of organic amendments on soil fertility. A review. Agron. Sustain. Dev. 2010, 30, 401–422. [Google Scholar] [CrossRef] [Green Version]
- Karlen, D.L.; Wollenhaupt, N.C.; Erbach, D.C.; Berry, E.C.; Swan, J.B.; Eash, N.S.; Jordahl, J.L. Crop residue effects on soil quality following 10-years of no-till corn. Soil Tillage Res. 1994, 31, 149–167. [Google Scholar] [CrossRef]
- Wang, H.; Boutton, T.W.; Xu, W.; Hu, G.; Jiang, P.; Bai, E. Quality of fresh organic matter affects priming of soil organic matter and substrate utilization patterns of microbes. Sci. Rep. 2015, 5, 10102. [Google Scholar] [CrossRef] [PubMed] [Green Version]
- Bhogal, A.; Nicholson, F.A.; Rollett, A.; Taylor, M.; Litterick, A.; Whittingham, M.J.; Williams, J.R. Improvements in the Quality of Agricultural Soils Following Organic Material Additions Depend on Both the Quantity and Quality of the Materials Applied. Front. Sustain. Food Syst. 2018, 2, 9. [Google Scholar] [CrossRef] [Green Version]
- Eusufzai, M.K.; Fujii, K. Effect of Organic Matter Amendment on Hydraulic and Pore Characteristics of a Clay Loam Soil. Open J. Soil Sci. 2012, 2, 372–381. [Google Scholar] [CrossRef] [Green Version]
- Hiel, M.P.; Chélin, M.; Parvin, N.; Barbieux, S.; Degrune, F.; Aboulkacem, L.; Colinet, G.; Degré, A.; Bodson, B.; Garré, S. Crop residue management in arable cropping systems under a temperate climate. Part 2: Soil physical properties and crop production. A review. Biotechnol. Agron. Soc. Environ. 2016, 20, 245–256. [Google Scholar]
- Mulumba, L.N.; Lal, R. Mulching effects on selected soil physical properties. Soil Tillage Res. 2008, 98, 106–111. [Google Scholar] [CrossRef]
- Wiesmeier, M.; Urbanski, L.; Hobley, E.; Lang, B.; von Lützow, M.; Marin-Spiotta, E.; van Wesemael, B.; Rabot, E.; Ließ, M.; Garcia-Franco, N.; et al. Soil organic carbon storage as a key function of soils—A review of drivers and indicators at various scales. Geoderma 2019, 333, 149–162. [Google Scholar] [CrossRef]
- Cooper, H.V.; Sjögersten, S.; Lark, R.M.; Mooney, S.J. To till or not to till in a temperate ecosystem? Implications for climate change mitigation. Environ. Res. Lett. 2021, 16, 054022. [Google Scholar] [CrossRef]
- McVay, K.A.; Budde, J.A.; Fabrizzi, K.; Mikha, M.M.; Rice, C.W.; Schlegel, A.J.; Peterson, D.E.; Sweeney, D.W.; Thompson, C. Management Effects on Soil Physical Properties in Long-Term Tillage Studies in Kansas. Soil Sci. Soc. Am. J. 2006, 70, 434–438. [Google Scholar] [CrossRef] [Green Version]
- Strudley, M.W.; Green, T.R.; Ascough, J.C. Tillage effects on soil hydraulic properties in space and time: State of the science. Soil Tillage Res. 2008, 99, 4–48. [Google Scholar] [CrossRef]
- Bescansa, P.; Imaz, M.J.; Virto, I.; Enrique, A.; Hoogmoed, W.B. Soil water retention as affected by tillage and residue management in semiarid Spain. Soil Tillage Res. 2006, 87, 19–27. [Google Scholar] [CrossRef]
- Farkas, C.; Birkás, M.; Várallyay, G. Soil tillage systems to reduce the harmful effect of extreme weather and hydrological situations. Biologia 2009, 64, 624–628. [Google Scholar] [CrossRef]
- Karlen, D.L.; Wollenhaupt, N.C.; Erbach, D.C.; Berry, E.C.; Swan, J.B.; Eash, N.S.; Jordahl, J.L. Long-term tillage effects on soil quality. Soil Tillage Res. 1994, 32, 313–327. [Google Scholar] [CrossRef]
- Kargas, G.; Londra, P.A. Effect of tillage practices on the hydraulic properties of a loamy soil. Desalin. Water Treat. 2015, 54, 2138–2146. [Google Scholar] [CrossRef]
- López, M.V.; Arrúe, J.L.; Sánchez-Girón, V. A comparison between seasonal changes in soil water storage and penetration resistance under conventional and conservation tillage systems in Aragon. Soil Tillage Res. 1996, 37, 251–271. [Google Scholar] [CrossRef] [Green Version]
- Ceglar, A.; Zampieri, M.; Toreti, A.; Dentener, F. Observed Northward Migration of Agro-Climate Zones in Europe Will Further Accelerate Under Climate Change. Earths Future 2019, 7, 1088–1101. [Google Scholar] [CrossRef] [Green Version]
- Tits, M.; Elsen, A.; Bries, J.; Vandendriessche, H. Short-term and long-term effects of vegetable, fruit and garden waste compost applications in an arable crop rotation in Flanders. Plant Soil 2014, 376, 43–59. [Google Scholar] [CrossRef]
- Mühlbachová, G.; Kusá, H.; Růžek, P. Soil characteristics and crop yields under differenttillage techniques. Plant Soil Environ. 2015, 61, 566–572. [Google Scholar] [CrossRef] [Green Version]
- Kismányoky, T.; Tóth, Z. Effect of mineral and organic fertilization on soil organic carbon content as well as on grain production of cereals in the IOSDV (ILTE) long-term field experiment, Keszthely, Hungary. Arch. Agron. Soil Sci. 2013, 59, 1121–1131. [Google Scholar] [CrossRef]
- Hoffmann, S.; Kismányoky, T. Soil fertility in a long-term fertilizer trial with different tillage systems. Arch. Agron. Soil Sci. 2001, 46, 239–250. [Google Scholar] [CrossRef]
- Giardini, L. Ongoing Trials. In Productivity and Sustainability of Different Cropping Systems. 40 Years of Experiments in Veneto Region; Giardini, L., Ed.; Patron: Bologna, Italy, 2004; pp. 89–97. [Google Scholar]
- Klute, A. Water Retention:Laboratory Methods. In Methods of Soil Analysis; Part 1—Physical and Mineralogical Methods, 2nd ed.; Klute, A., Ed.; ASA & SSSA: Madison, WI, USA, 1986; pp. 635–662. [Google Scholar]
- RStudio Team. RStudio: Integrated Development Environment for R; RStudio, Inc.: Boston, MA, USA, 2016. [Google Scholar]
- R Core Team. R: A Language and Environment for Statistical Computing; R Foundation for Statistical Computing: Vienna, Austria, 2019. [Google Scholar]
- Lenth, R. Estimated Marginal Means, aka Least-Squares Means. 2020. Available online: https://cran.r-project.org/package=emmeans (accessed on 8 December 2021).
- Wickham, H. ggplot2: Elegant Graphics for Data Analysis; Springer: New York, NY, USA, 2016; ISBN 78-3-319-24277-4. [Google Scholar]
- Morari, F.; Lugato, E.; Berti, A.; Giardini, L. Long-term effects of recommended management practices on soil carbon changes and sequestration in north-eastern Italy. Soil Use Manag. 2006, 22, 71–81. [Google Scholar] [CrossRef]
- Haddaway, N.R.; Hedlund, K.; Jackson, L.E.; Kätterer, T.; Lugato, E.; Thomsen, I.K.; Jørgensen, H.B.; Söderström, B. How does tillage intensity affect soil organic carbon? A systematic review. Environ. Evid. 2017, 6, 30. [Google Scholar] [CrossRef] [Green Version]
- Krauss, M.; Berner, A.; Perrochet, F.; Frei, R.; Niggli, U.; Mäder, P. Enhanced soil quality with reduced tillage and solid manures in organic farming—A synthesis of 15 years. Sci. Rep. 2020, 10, 4403. [Google Scholar] [CrossRef] [Green Version]
- Balesdent, J.; Marriotti, A.; Boisgontier, D. Effect of tillage on soil organic carbon mineralization estimated from 13C abundance in maize fields. J. Soil Sci. 1990, 41, 587–596. [Google Scholar] [CrossRef]
- Ghimire, R.; Norton, U.; Bista, P.; Obour, A.K.; Norton, J.B. Soil organic matter, greenhouse gases and net global warming potential of irrigated conventional, reduced-tillage and organic cropping systems. Nutr. Cycl. Agroecosyst. 2017, 107, 49–62. [Google Scholar] [CrossRef]
- Chen, J.; Zhu, R.; Zhang, Q.; Kong, X.; Sun, D. Reduced-tillage management enhances soil properties and crop yields in a alfalfa-corn rotation: Case study of the Songnen Plain, China. Sci. Rep. 2019, 9, 17064. [Google Scholar] [CrossRef]
- Blanco-Canqui, H.; Lal, R. No-Tillage and Soil-Profile Carbon Sequestration: An On-Farm Assessment. Soil Sci. Soc. Am. J. 2008, 72, 693–701. [Google Scholar] [CrossRef] [Green Version]
- Camarotto, C.; Piccoli, I.; Dal Ferro, N.; Polese, R.; Chiarini, F.; Furlan, L.; Morari, F. Have we reached the turning point? Looking for evidence of SOC increase under conservation agriculture and cover crop practices. Eur. J. Soil Sci. 2020, 71, 1050–1063. [Google Scholar] [CrossRef]
- Piccoli, I.; Chiarini, F.; Carletti, P.; Furlan, L.; Lazzaro, B.; Nardi, S.; Berti, A.; Sartori, L.; Dalconi, M.C.; Morari, F. Disentangling the effects of conservation agriculture practices on the vertical distribution of soil organic carbon. Evidence of poor carbon sequestration in North-Eastern Italy. Agric. Ecosyst. Environ. 2016, 230, 68–78. [Google Scholar] [CrossRef]
- Csitári, G.; Tóth, Z.; Kökény, M. Effects of organic amendments on soil aggregate stability and microbial biomass in a long-term fertilization experiment (Iosdv). Sustainability 2021, 13, 9769. [Google Scholar] [CrossRef]
- Piccoli, I.; Sartori, F.; Polese, R.; Berti, A. Crop yield after 5 decades of contrasting residue management. Nutr. Cycl. Agroecosyst. 2020, 117, 231–241. [Google Scholar] [CrossRef]
- Dal Ferro, N.; Piccoli, I.; Berti, A.; Polese, R.; Morari, F. Organic carbon storage potential in deep agricultural soil layers: Evidence from long-term experiments in northeast Italy. Agric. Ecosyst. Environ. 2020, 300, 106967. [Google Scholar] [CrossRef]
- Hillel, D. Introduction to Soil Physics; Academic Press: New York, NY, USA, 1982; ISBN 0-12-348520-7. [Google Scholar]
- Assouline, S. Modeling the Relationship between Soil Bulk Density and the Water Retention Curve. Vadose Zone J. 2006, 5, 554–563. [Google Scholar] [CrossRef]
- Lu, N. Generalized Soil Water Retention Equation for Adsorption and Capillarity. J. Geotech. Geoenviron. Eng. 2016, 142, 04016051. [Google Scholar] [CrossRef] [Green Version]
- Hill, R.L. Long-Term Conventional and No-Tillage Effects on Selected Soil Physical Properties. Soil Sci. Soc. Am. J. 1990, 54, 161–166. [Google Scholar] [CrossRef]
- Bot, A.; Benites, J. Creating Drought-Resistant Soil. In The Importance of Soil Organic Matter Key to Drought-Resistant Soil and Sustained Food Production; Food and Agriculture Organization of the United Nations (FAO): Rome, Italy, 2005; pp. 35–40. [Google Scholar]
- Müller, A.; Bautze, L.; Matthias, M.; Gattinger, A.; Gall, E.; Chatzinikolaou, E.; Meredith, S.; Ukas, T.; Ullmann, L. Organic Farming, Climate Change and Beyond. 2016. Available online: www.ifoam-eu.org (accessed on 8 December 2021).
- Page, K.L.; Dang, Y.P.; Dalal, R.C. The Ability of Conservation Agriculture to Conserve Soil Organic Carbon and the Subsequent Impact on Soil Physical, Chemical, and Biological Properties and Yield. Front. Sustain. Food Syst. 2020, 4, 31. [Google Scholar] [CrossRef] [Green Version]



| Code | Town, Country | Coordinates (Decimal Degrees) | Agro-Climate Zone [49] | Start of Experiment | Soil Type | Name of Experiment | Reference/ Detailed Information |
|---|---|---|---|---|---|---|---|
| BE | Bierbeek, BE | 50.8244 4.79605 | Maritime North | 1997 | Silt Loam | VFG Compost trial | Tits et al. [50] |
| CZ | Prague-Ruzyně, CZ | 50.0880 14.2980 | Continental | 1995 | Silt Loam | Tillage trial | Mühlbachová, Kusá and Růžek, [51] |
| HU_1 | Keszthely, HU | 46.7332 17.2295 | Pannonian | 1983 | Silt Loam | Organic & inorganic fertilization trial- IOSDV | Kismányoky and Tóth, [52] |
| HU_2 | Keszthely, HU | 46.7346 17.2302 | Pannonian | 1972 | Silt Loam | Soil tillage systems in wheat and maize bi culture | Hoffmann and Kismányoky, [53] |
| IT_1c | Legnaro, IT | 45.3506 11.9497 | Maritime South | 1964 | Silty Clay Loam | Organic & mineral fertilization trial | Giardini, [54] |
| IT_1p | Legnaro, IT | 45.3506 11.9497 | Maritime South | 1964 | Peat* 18% OC initially | Organic & mineral fertilization trial | Giardini, [54] |
| IT_2c | Legnaro, IT | 45.3507 11.9498 | Maritime South | 1970 | Silty Clay Loam | Nitrogen fertilization and crop residue trial | Giardini, [54] |
| IT_2l | Legnaro, IT | 45.3507 11.9498 | Maritime South | 1970 | Silt Loam | Nitrogen fertilization and crop residue trial | Giardini, [54] |
| UK | Loddington, UK | 52.6089 0.83257 | Maritime North | 2011 | Clay loam | Soil Biology and Soil Health | - |
| Code | Name of Experiment/ Experimental Design | Treatments | Replications (#) | Main Crop Types |
|---|---|---|---|---|
| BE | Vegetable-Fruit-Garden waste (VFG) compost trial ‡ | No organic: No organic fertilization (control) 45tntriannually: 45 t/ha compost * applied every three years 15tnannually: 15 t/ha compost * applied yearly 45tnannually: 45 t/ha compost * applied yearly * C/N ≈ 12 | 4 | Winter wheat, carrots, sugar beet, potatoes |
| CZ | Tillage trial | Conventional: Conventional ploughing (Turning of stubble—furrow opener at 10 cm, Mouldboard plough at 22 cm) (control) Minimum: Minimum tillage (Turning of stubble- furrow opener at 10 cm, 30% of crop residues remain on the soil surface) Zero: Zero tillage (all residues remain in the soil surface) | 4 | oil rapeseed, winter wheat, Peas |
| HU_1 | Organic & inorganic fertilization trial- IOSDV φ | NPK: Only mineral fertilization/ removal of straw (control) NPK+FYM: 35 t/ha 0.5% N, farmyard manure application every 3 years/removal of straw NPK+STR: Straw and stalk incorporation completed with 10 kg N*t straw/ha | 3 | maize, winter wheat, winter barley |
| HU_2 | Soil tillage systems in wheat and maize bi culture φ | Conventional: Deep winter ploughing (27–28 cm) + secondary tillage (control) Minimum: Disking just before drilling (<15 cm) Shallow: Shallow winter disking (<15 cm) +secondary tillage | 4 | winter wheat, maize |
| IT_1c | Organic & mineral fertilization trial ‡ | Unfertilized: No organic or mineral fertilization (control) Manure L1: 20 t/ha manure applied annually * Manure L2: 40 t/ha manure applied annually * | 2 | maize, winter wheat, potato, tillage radish (as winter cover crop), ryegrass, silage maize |
| IT_1p | Organic & mineral fertilization trial ‡ | Unfertilized: No organic or mineral fertilization (control) Manure L1: 20 t/ha manure applied annually * Manure L2: 40 t/ha manure applied annually * * Farmyard manure from dairy cows (20% dry matter, 0.5% N, 0.25% P2O5, 0.7% K2O) | 2 | |
| IT_2c | Nitrogen fertilization and crop residue trial ‡ | Residue Removal: Removal of the previous crop residues (control) Residue incorporation: Burial of the previous crop residues | 3 | |
| IT_2l | Nitrogen fertilization and crop residue trial ‡ | Residue Removal: Removal of the previous crop residues (control) Residue incorporation: Burial of the previous crop residues | 3 | |
| UK | Soil Biology and Soil Health ‡ | Conventional: Ploughing at 25 cm (control) Direct drilling: Direct drilling of the seeds into previous crop residues | 3 | winter wheat, whet, oat |
| Code | Ring Soil Samples per Plot (#) | Sampling Month/Year | Years Applied When Sampling |
|---|---|---|---|
| BE | 3 | October 2019 | 22 |
| CZ | 3 | November 2018 | 23 |
| HU_1 | 3 | November 2018 | 35 |
| HU_2 | 3 | November 2018 | 46 |
| IT_1c | 1 | November 2018 | 54 |
| IT_1p | 1 | November 2018 | 54 |
| IT_2c | 1 | November 2018 | 48 |
| IT_2l | 1 | November 2018 | 48 |
| UK | 3 | April 2019 | 8 |
| Saturation | pF1 | pF1.8 | pF2 | pF2.7 | pF3.4 | pF 4.2 | ||
|---|---|---|---|---|---|---|---|---|
| All experiments | F-statistic | 1.32 | 6.99 | 3.33 | 6.17 | 1.87 | 3.86 | 0.42 |
| p-value | 0.27 | 0.02 ** | 0.08 * | 0.02 ** | 0.19 | 0.07 | 0.53 | |
| Exogenous OM | F-statistic | 1.32 | 6.98 | 3.33 | 6.17 | 1.87 | 3.86 | 0.42 |
| p-value | 0.27 | 0.02 ** | 0.08 * | 0.02 ** | 0.19 | 0.07 * | 0.53 | |
| Soil cultivation | F-statistic | 0.31 | 0.98 | 3.30 | 2.43 | 2.25 | 1.27 | 0.44 |
| p-value | 0.59 | 0.34 | 0.09 * | 0.14 | 0.15 | 0.28 | 0.51 | |
| Residues | F-statistic | 1.49 | 5.88 | 1.25 | 1.69 | 2.23 | 0.18 | 0.18 |
| p-value | 0.25 | 0.04 ** | 0.29 | 0.22 | 0.17 | 0.68 | 0.87 |
Publisher’s Note: MDPI stays neutral with regard to jurisdictional claims in published maps and institutional affiliations. |
© 2021 by the authors. Licensee MDPI, Basel, Switzerland. This article is an open access article distributed under the terms and conditions of the Creative Commons Attribution (CC BY) license (https://creativecommons.org/licenses/by/4.0/).
Share and Cite
Panagea, I.S.; Berti, A.; Čermak, P.; Diels, J.; Elsen, A.; Kusá, H.; Piccoli, I.; Poesen, J.; Stoate, C.; Tits, M.; et al. Soil Water Retention as Affected by Management Induced Changes of Soil Organic Carbon: Analysis of Long-Term Experiments in Europe. Land 2021, 10, 1362. https://doi.org/10.3390/land10121362
Panagea IS, Berti A, Čermak P, Diels J, Elsen A, Kusá H, Piccoli I, Poesen J, Stoate C, Tits M, et al. Soil Water Retention as Affected by Management Induced Changes of Soil Organic Carbon: Analysis of Long-Term Experiments in Europe. Land. 2021; 10(12):1362. https://doi.org/10.3390/land10121362
Chicago/Turabian StylePanagea, Ioanna S., Antonio Berti, Pavel Čermak, Jan Diels, Annemie Elsen, Helena Kusá, Ilaria Piccoli, Jean Poesen, Chris Stoate, Mia Tits, and et al. 2021. "Soil Water Retention as Affected by Management Induced Changes of Soil Organic Carbon: Analysis of Long-Term Experiments in Europe" Land 10, no. 12: 1362. https://doi.org/10.3390/land10121362
APA StylePanagea, I. S., Berti, A., Čermak, P., Diels, J., Elsen, A., Kusá, H., Piccoli, I., Poesen, J., Stoate, C., Tits, M., Toth, Z., & Wyseure, G. (2021). Soil Water Retention as Affected by Management Induced Changes of Soil Organic Carbon: Analysis of Long-Term Experiments in Europe. Land, 10(12), 1362. https://doi.org/10.3390/land10121362

