A Hydrological and Geomorphometric Approach to Understanding the Generation of Wadi Flash Floods
Abstract
1. Introduction
- What kind of relationship exists between wadi geomorphology and its hydrologic responses?
- What changes in this relationship will occur when different storm duration intensities are applied?
2. Study Area
3. Materials and Methods
3.1. Data Processing
3.1.1. Topographic Data
3.1.2. Rainfall Data
3.1.3. Land Use Data
3.2. Hydro-BEAM Model
Hydro-BEAM Model Calibration
4. Results and Discussion
4.1. Hydrological Modeling of the Wadi Flash Floods
4.2. The Impact of Geomorphometry and Rainfall Variability on Flash Flood Generation
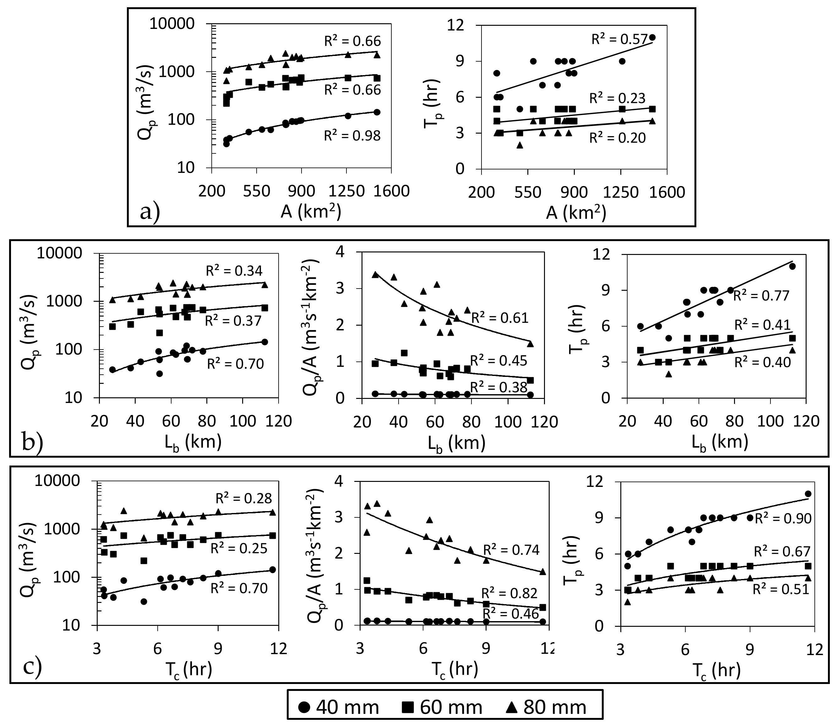
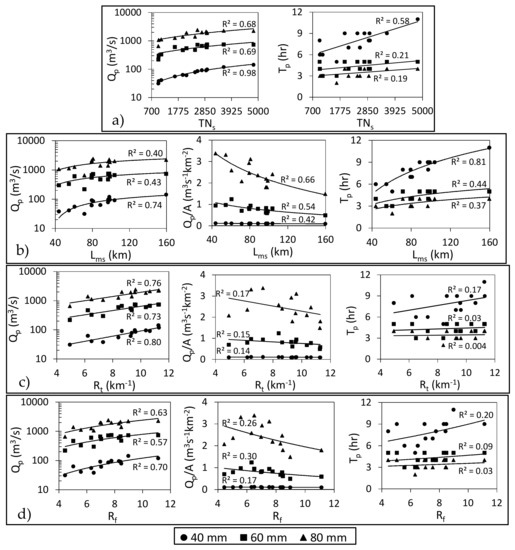
4.2.1. Scale Parameters
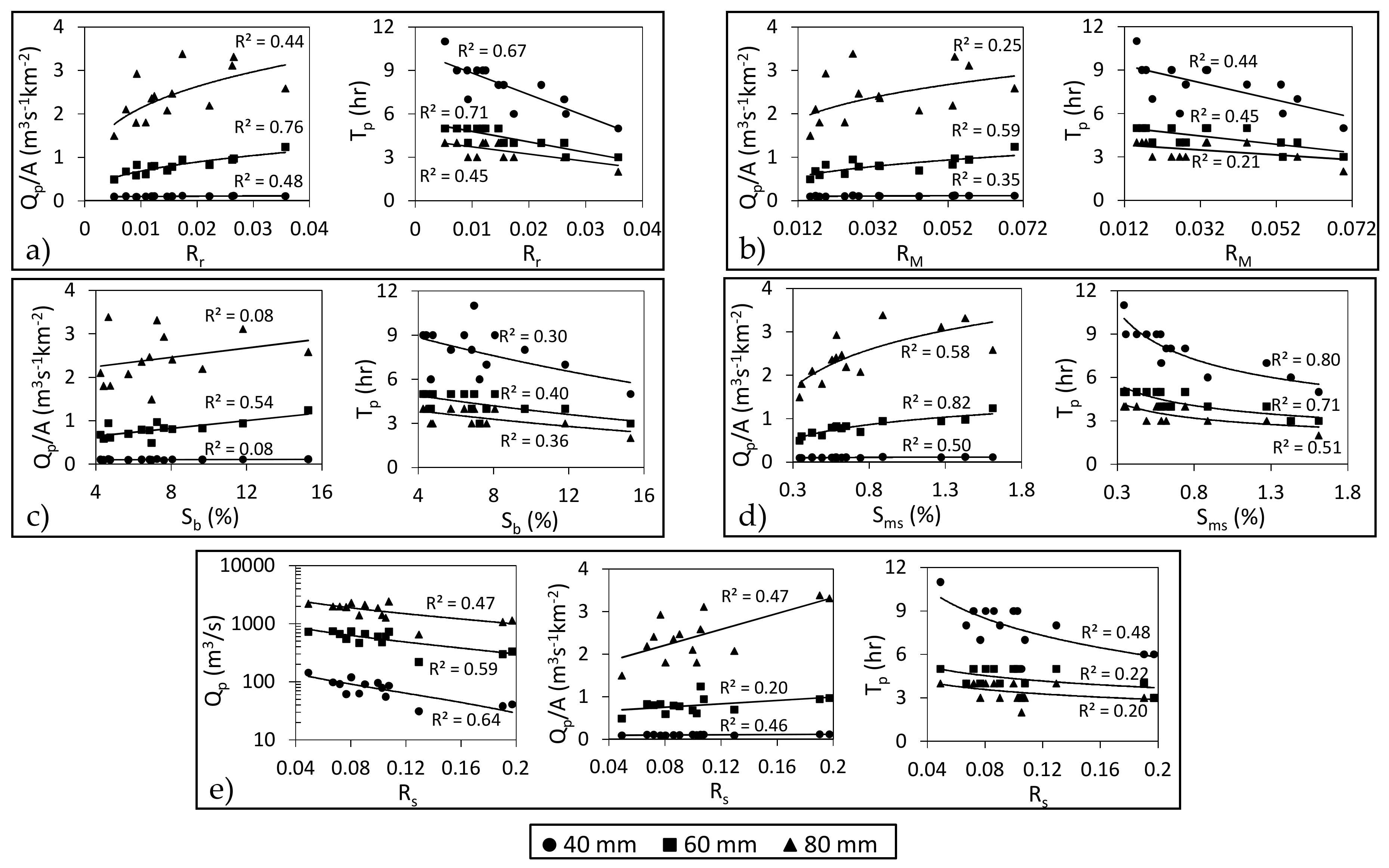
4.2.2. Topographic Parameters
4.2.3. Basin Shape Parameters
4.2.4. Drainage Network Parameters
5. Conclusions
Acknowledgments
Author Contributions
Conflicts of Interest
References
- McIntyre, N.; Al-Qurashi, A. Performance of ten rainfall–runoff models applied to an arid catchment in Oman. Environ. Model. Softw. 2009, 24, 726–738. [Google Scholar] [CrossRef]
- Cools, J.; Vanderkimpen, P.; El Afandi, G.; Abdelkhalek, A.; Fockedey, S.; El Sammany, M.; Abdallah, G.; El Bihery, M.; Bauwens, W.; Huygens, M. An early warning system for flash floods in hyper-arid Egypt. Nat. Hazards Earth Syst. Sci. 2012, 12, 443–457. [Google Scholar] [CrossRef]
- Abdel-Fattah, M.; Kantoush, S.A.; Saber, M.; Sumi, T. Hydrological modelling of flash flood at wadi samail, Oman. Annu. Disaster Prev. Res. Inst. 2016, 59, 533–541. [Google Scholar]
- Costa, J.E. Hydraulics and basin morphometry of the largest flash floods in the conterminous United States. J. Hydrol. 1987, 93, 313–338. [Google Scholar] [CrossRef]
- Saber, M.; Kantoush, S.; Abdel-Fattah, M.; Sumi, T. Assessing flash floods prone regions at wadi basins in Aswan, Egypt. Annu. Disaster Prev. Res. Inst. 2017, 60, 427–437. [Google Scholar]
- Baker, V.R. Stream-channel response to floods, with examples from central texas. Geol. Soc. Am. Bull. 1977, 88, 1057–1071. [Google Scholar] [CrossRef]
- Harlin, J.M. Watershed morphometry and time to hydrograph peak. J. Hydrol. 1984, 67, 141–154. [Google Scholar] [CrossRef]
- Price, K.; Jackson, C.R.; Parker, A.J.; Reitan, T.; Dowd, J.; Cyterski, M. Effects of watershed land use and geomorphology on stream low flows during severe drought conditions in the southern Blue Ridge Mountains, Georgia and North Carolina, United States. Water Resour. Res. 2011, 47, 1198–1204. [Google Scholar] [CrossRef]
- Patnaik, S.; Biswal, B.; Kumar, D.N.; Sivakumar, B. Effect of catchment characteristics on the relationship between past discharge and the power law recession coefficient. J. Hydrol. 2015, 528, 321–328. [Google Scholar] [CrossRef]
- Black, P.E. Hydrograph responses to geomorphic model watershed characteristics and precipitation variables. J. Hydrol. 1972, 17, 309–329. [Google Scholar] [CrossRef]
- Howard, A.D. Role of hypsometry and planform in basin hydrologic response. Hydrol. Process. 1990, 4, 373–385. [Google Scholar] [CrossRef]
- Schmidt, J.; Hennrich, K.; Dikau, R. Scales and similarities in runoff processes with respect to geomorphometry. Hydrol. Process. 2000, 14, 1963–1979. [Google Scholar] [CrossRef]
- Bertoldi, G.; Rigon, R.; Over, T.M. Impact of watershed geomorphic characteristics on the energy and water budgets. J. Hydrometeorol. 2006, 7, 389–403. [Google Scholar] [CrossRef]
- Rodríguez-Iturbe, I.; Valdes, J.B. The geomorphologic structure of hydrologic response. Water Resour. Res. 1979, 15, 1409–1420. [Google Scholar] [CrossRef]
- Gupta, V.K.; Waymire, E.; Wang, C. A representation of an instantaneous unit hydrograph from geomorphology. Water Resour. Res. 1980, 16, 855–862. [Google Scholar] [CrossRef]
- Chutha, P.; Dooge, J.C. The shape parameters of the geomorphologic unit hydrograph. J. Hydrol. 1990, 117, 81–97. [Google Scholar] [CrossRef]
- Nouh, M. Flood hydrograph estimation from arid catchment morphology. Hydrol. Process. 1990, 4, 103–120. [Google Scholar] [CrossRef]
- Sen, Z. Modified hydrograph method for arid regions. Hydrol. Process. 2008, 22, 356–365. [Google Scholar] [CrossRef]
- Al-Rawas, G.A.; Valeo, C. Relationship between wadi drainage characteristics and peak-flood flows in arid northern Oman. Hydrol. Sci. J. 2010, 55, 377–393. [Google Scholar] [CrossRef]
- Subyani, A.M.; Qari, M.H.; Matsah, M.I. Digital elevation model and multivariate statistical analysis of morphometric parameters of some wadis, western Saudi Arabia. Arab. J. Geosci. 2012, 5, 147–157. [Google Scholar] [CrossRef]
- Arnous, M.O.; Aboulela, H.A.; Green, D.R. Geo-environmental hazards assessment of the north western gulf of Suez, Egypt. J. Coast. Conserv. 2011, 15, 37–50. [Google Scholar] [CrossRef]
- Youssef, A.M.; Pradhan, B.; Hassan, A.M. Flash flood risk estimation along the St. Katherine road, southern Sinai, Egypt using GIS based morphometry and satellite imagery. Environ. Earth Sci. 2011, 62, 611–623. [Google Scholar] [CrossRef]
- Abuzied, S.; Yuan, M.; Ibrahim, S.; Kaiser, M.; Saleem, T. Geospatial risk assessment of flash floods in Nuweiba area, Egypt. J. Arid Environ. 2016, 133, 54–72. [Google Scholar] [CrossRef]
- Basahi, J.; Masoud, M.; Zaidi, S. Integration between morphometric parameters, hydrologic model, and geo-informatics techniques for estimating wadi runoff (case study WADI HALYAH—Saudi Arabia). Arab. J. Geosci. 2016, 9, 610. [Google Scholar] [CrossRef]
- Beven, K.J. Rainfall-Runoff Modelling: The Primer; John Wiley & Sons: Chichester, West Sussex, UK, 2011. [Google Scholar]
- Grimaldi, S.; Petroselli, A. Do we still need the rational formula? An alternative empirical procedure for peak discharge estimation in small and ungauged basins. Hydrol. Sci. J. 2015, 60, 67–77. [Google Scholar] [CrossRef]
- Kumar, R.; Chatterjee, C.; Singh, R.; Lohani, A.; Kumar, S. Runoff estimation for an ungauged catchment using geomorphological instantaneous unit hydrograph (GIUH) models. Hydrol. Process. 2007, 21, 1829–1840. [Google Scholar] [CrossRef]
- Liu, Y.B.; Gebremeskel, S.; De Smedt, F.; Hoffmann, L.; Pfister, L. A diffusive transport approach for flow routing in GIS-based flood modelling. J. Hydrol. 2003, 283, 91–106. [Google Scholar] [CrossRef]
- Sharif, H.O.; Sparks, L.; Hassan, A.A.; Zeitler, J.; Xie, H.J. Application of a distributed hydrologic model to the November 17, 2004, flood of bull creek watershed, Austin, Texas. J. Hydrol. Eng. 2010, 15, 651–657. [Google Scholar] [CrossRef]
- Foody, G.M.; Ghoneim, E.M.; Arnell, N.W. Predicting locations sensitive to flash flooding in an and environment. J. Hydrol. 2004, 292, 48–58. [Google Scholar] [CrossRef]
- Reed, S.; Schaake, J.; Zhang, Z.Y. A distributed hydrologic model and threshold frequency-based method for flash flood forecasting at ungauged locations. J. Hydrol. 2007, 337, 402–420. [Google Scholar] [CrossRef]
- Sharif, H.O.; Al-Juaidi, F.H.; Al-Othman, A.; Al-Dousary, I.; Fadda, E.; Jamal-Uddeen, S.; Elhassan, A. Flood hazards in an urbanizing watershed in Riyadh, Saudi Arabia. Geomat. Nat. Hazards Risk 2016, 7, 702–720. [Google Scholar] [CrossRef]
- Moretti, G.; Montanari, A. Inferring the flood frequency distribution for an ungauged basin using a spatially distributed rainfall-runoff model. Hydrol. Earth Syst. Sci. 2008, 12, 1141–1152. [Google Scholar] [CrossRef]
- Kojiri, T.; Tokai, A.; Kinai, Y. Assessment of river basin environment through simulation with water quality and quantity. Annu. Disaster Prev. Res. Inst. Kyoto Univ. 1998, 41, 119–134. [Google Scholar]
- Kojiri, T.; Hamaguchi, T.; Ode, M. Assessment of global warming impacts on water resources and ecology of a river basin in Japan. J. Hydro-Environ. Res. 2008, 1, 164–175. [Google Scholar] [CrossRef]
- Sato, Y.; Kojiri, T.; Michihiro, Y.; Suzuki, Y.; Nakakita, E. Assessment of climate change impacts on river discharge in Japan using the super-high-resolution MRI-AGCM. Hydrol. Process. 2013, 27, 3264–3279. [Google Scholar] [CrossRef]
- Saber, M.; Yilmaz, K. Bias correction of satellite-based rainfall estimates for modeling flash floods in semi-arid regions: Application to Karpuz River, Turkey. Nat. Hazards Earth Syst. Sci. Discuss. 2016, 2016, 1–35. [Google Scholar] [CrossRef]
- Abdel-Fattah, M.; Kantoush, S.A.; Sumi, T. Integrated management of flash flood in wadi system of Egypt: Disaster prevention and water harvesting. Annu. Disaster Prev. Res. Inst. Kyoto Univ. 2015, 58, 485–496. [Google Scholar]
- Saber, M.; Hamaguchi, T.; Kojiri, T.; Tanaka, K.; Sumi, T. A physically based distributed hydrological model of wadi system to simulate flash floods in arid regions. Arab. J. Geosci. 2015, 8, 143–160. [Google Scholar] [CrossRef]
- Said, R. The Geology of Egypt; Elsevier: Amsterdam, NY, USA, 1962. [Google Scholar]
- Abdel Moneim, A.A. Hydrogeological conditions and aquifers potentiality for sustainable development of the desert areas in Wadi Qena, Eastern Desert, Egypt. Arab. J. Geosci. 2014, 7, 4573–4591. [Google Scholar] [CrossRef]
- Moawad, M.B.; Aziz, A.O.A.; Mamtimin, B. Flash floods in the Sahara: A case study for the 28 January 2013 flood in Qena, Egypt. Geomat. Nat. Hazards Risk 2016, 7, 215–236. [Google Scholar] [CrossRef]
- Tropical Rainfall Measuring Mission. About gsmap and satellite data. In GSMaP: Global Satellite Mapping of Precipitation; Real-Time Office, Japan Aerospace Exploration Agency, Earth Observation Research Center: Ibaraki, Japan, 2013. [Google Scholar]
- NUCA. New Qena City. Available online: http://www.newcities.gov.eg/english/New_Communities/Qena/default.aspx (accessed on 1 June 2016).
- Abdelkareem, M.; El-Baz, F. Evidence of drainage reversal in the ne sahara revealed by space-borne remote sensing data. J. Afr. Earth Sci. 2015, 110, 245–257. [Google Scholar] [CrossRef]
- Philobbos, E.R.; Essa, M.A.; Ismail, M.M. Geologic history of the Neogene “Qena Lake” developed during the evolution of the Nile Valley: A sedimentological, mineralogical and geochemical approach. J. Afr. Earth Sci. 2015, 101, 194–219. [Google Scholar] [CrossRef]
- Hussien, H.M.; Kehew, A.E.; Aggour, T.; Korany, E.; Abotalib, A.Z.; Hassanein, A.; Morsy, S. An integrated approach for identification of potential aquifer zones in structurally controlled terrain: Wadi Qena basin, Egypt. Catena 2017, 149, 73–85. [Google Scholar] [CrossRef]
- Gheith, H.; Sultan, M. Construction of a hydrologic model for estimating Wadi runoff and groundwater recharge in the Eastern Desert, Egypt. J. Hydrol. 2002, 263, 36–55. [Google Scholar] [CrossRef]
- Milewski, A.; Sultan, M.; Yan, E.; Becker, R.; Abdeldayem, A.; Soliman, F.; Gelil, K.A. A remote sensing solution for estimating runoff and recharge in arid environments. J. Hydrol. 2009, 373, 1–14. [Google Scholar] [CrossRef]
- Wang, Y.; Peng, H.; Cui, P.; Zhang, W.; Qiao, F.; Chen, C.E. A new treatment of depression for drainage network extraction based on DEM. J. Mt. Sci. 2009, 6, 311–319. [Google Scholar] [CrossRef]
- Lindsay, J.B.; Creed, I.F. Removal of artifact depressions from digital elevation models: Towards a minimum impact approach. Hydrol. Process. 2005, 19, 3113–3126. [Google Scholar] [CrossRef]
- Kenny, F.; Matthews, B.; Todd, K. Routing overland flow through sinks and flats in interpolated raster terrain surfaces. Comput. Geosci. 2008, 34, 1417–1430. [Google Scholar] [CrossRef]
- MWRI. Floods Atlas for Qena Governorate Wadis; Minisrty of Water Resources and Irrigation: Cairo, Egypt, 2014.
- Johnstone, D.; Cross, W.P. Elements of Applied Hydrology; The Ronald Press Company: New York, NY, USA, 1949. [Google Scholar]
- Schumm, S.A. Evolution of drainage systems and slopes in badlands at Perth Amboy, New Jersey. Geol. Soc. Am. Bull. 1956, 67, 597–646. [Google Scholar] [CrossRef]
- Melton, M.A. The geomorphic and paleoclimatic significance of alluvial deposits in southern Arizona. J. Geol. 1965, 73, 1–38. [Google Scholar] [CrossRef]
- Pike, R.J.; Wilson, S.E. Elevation-relief ratio, hypsometric integral, and geomorphic area-altitude analysis. Geol. Soc. Am. Bull. 1971, 82, 1079–1084. [Google Scholar] [CrossRef]
- Melton, M.A. An Analysis of the Relations among Elements of Climate, Surface Properties, and Geomorphology; Columbia University: New York, NY, USA, 1957. [Google Scholar]
- Singh, S.; Dubey, A. Geoenvironmental Planning of Watersheds in India; Chugh: Allahabad, India, 1994. [Google Scholar]
- Horton, R.E. Drainage-basin characteristics. EOS Trans. Am. Geophys. Union 1932, 13, 350–361. [Google Scholar] [CrossRef]
- Miller, V.C. A Quantitative Geomorphic Study of Drainage Basin Characteristics in the Clinch Mountain Area, Virginia and Tennessee, Project nr:389-042, Technical Report 3; Columbia University: New York, NY, USA, 1953. [Google Scholar]
- Mueller, J.E. An introduction to the hydraulic and topographic sinuosity indexes 1. Ann. Assoc. Am. Geogr. 1968, 58, 371–385. [Google Scholar] [CrossRef]
- Horton, R.E. Erosional development of streams and their drainage basins; hydrophysical approach to quantitative morphology. Geol. Soc. Am. Bull. 1945, 56, 275–370. [Google Scholar] [CrossRef]
- Smith, K.G. Standards for grading texture of erosional topography. Am. J. Sci. 1950, 248, 655–668. [Google Scholar] [CrossRef]
- Strahler, A.N. Quantitative analysis of watershed geomorphology. Eos Trans. Am. Geophys. Union 1957, 38, 913–920. [Google Scholar] [CrossRef]
- Moussa, R. On morphometric properties of basins, scale effects and hydrological response. Hydrol. Process. 2003, 17, 33–58. [Google Scholar] [CrossRef]
- USGS. The Shuttle Radar Topography Mission (Srtm) Collection User Guide; Land Processes Distributed Active Archive Center (LPDAAC): Sioux Falls, SD, USA, 2015.
- Schneider, U.; Becker, A.; Finger, P.; Meyer-Christoffer, A.; Rudolf, B.; Ziese, M. GPCC Full Data Reanalysis Version 6.0 at 1.0°: Monthly Land-Surface Precipitation from Rain-Gauges Built on GTS-Based and Historic Data. 2011. Available online: ftp://ftp-anon.dwd.de/pub/data/gpcc/html/fulldata_v6_doi_download.html (accessed on 7 September 2012).
- GLCC. Global Land Cover Characterization; U.S. Geological Survey: Reston, VA, USA, 2008.
- SCS. Soil conservation service, chapter 5, stream flow data. In Hydrology National Engineering Handbook; USDA: Washington, DC, USA, 1997. [Google Scholar]
- Walters, M.O. Transmission losses in arid region. J. Hydraul. Eng. 1990, 116, 127–138. [Google Scholar] [CrossRef]
- Shamir, E.; Ben-Moshe, L.; Ronen, A.; Grodek, T.; Enzel, Y.; Georgakakos, K.; Morin, E. Geomorphology-based index for detecting minimal flood stages in arid alluvial streams. Hydrol. Earth Syst. Sci. 2013, 17, 1021–1034. [Google Scholar] [CrossRef]
- Patton, P.C.; Baker, V.R. Morphometry and floods in small drainage basins subject to diverse hydrogeomorphic controls. Water Resour. Res. 1976, 12, 941–952. [Google Scholar] [CrossRef]
- Moglen, G.E.; Eltahir, E.A.; Bras, R.L. On the sensitivity of drainage density to climate change. Water Resour. Res. 1998, 34, 855–862. [Google Scholar] [CrossRef]
- Wharton, G. Progress in the use of drainage network indices for rainfall-runoff modelling and runoff prediction. Prog. Phys. Geogr. 1994, 18, 539–557. [Google Scholar] [CrossRef]
- Gregory, K.; Walling, D. The variation of drainage density within a catchment. Hydrol. Sci. J. 1968, 13, 61–68. [Google Scholar] [CrossRef]















| Parameter (Abbreviation) | Unit | Range | SD | Formula | Reference |
|---|---|---|---|---|---|
| Scale metrics | |||||
| Area (A) | km2 | 314.9–1487.9 | 328.7 | Basin area | |
| Perimeter (P) | km | 134.5–427.3 | 72.6 | Basin perimeter | |
| Basin length (Lb) | km | 27.2–112.3 | 19.6 | Basin maximum dimension | |
| Time of concentration (Tc) | h | 3.3–11.7 | 2.26 | [54] | |
| Topographic metrics | |||||
| Mean elevation (Hmean) | m | 426.9–727.4 | 95.9 | Mean basin elevation | |
| Relief (R) | m | 472.5–1601.3 | 391.7 | [55] | |
| Relief ratio (Rr) | - | 0.005–0.036 | 0.0084 | [55] | |
| Melton relative relief (RM) | km−1 | 0.0152–0.07 | 0.0169 | [56] | |
| Hypsometric Integral (HI) | - | 0.185–0.675 | 0.137 | [57] | |
| Ruggedness number (Rn) | - | 1.202–4.228 | [58] | ||
| Dissection index (Di) | 0.54–0.85 | 1.00 | [59] | ||
| Mean basin slope (Sb) | % | 4.3–15.3 | 2.98 | Average basin slope | |
| Mainstream slope (Sms) | % | 0.34–1.61 | 0.39 | Main stream average slope | |
| Slope ratio (Rs) | - | 0.049–0.197 | 0.0414 | [19] | |
| Longest stream slope (Sls) | % | 0.35–1.68 | 0.42 | Longest stream average slope | |
| Shape metrics | |||||
| Form factor (F) | - | 0.11–0.43 | 0.083 | [60] | |
| Compactness (C) | - | 2.13–3.65 | 0.36 | [60] | |
| Circularity ratio (Rc) | - | 0.075–0.22 | 0.034 | [61] | |
| Elongation ratio (Re) | - | 0.374–0.737 | 0.098 | [55] | |
| Eccentricity ( ) | - | 0.48–4.94 | 1.17 | [10] | |
| Drainage network aspects | |||||
| Total stream number (TNs) | - | 970–4812 | 1030.3 | Total stream number | |
| Total streams length (TLs) | km | 873.2–3835.6 | 879.1 | Total stream length | |
| Mainstream length (Lms) | km | 43.8–159.6 | 26.8 | Main stream length | |
| Longest stream length (Lls) | km | 45.1–160.0 | 26.3 | Longest stream length | |
| Main stream sinuosity (Sims) | - | 1.432–1.926 | 0.155 | [62] | |
| Longest stream sinuosity (Sils) | - | 1.509–1.959 | 0.146 | [62] | |
| Drainage frequency (Df) | km−2 | 3.56–4.11 | 0.117 | [63] | |
| 1st order streams frequency (F1) | km−2 | 2.218–2.623 | 0.097 | ||
| Drainage density (Dd) | km−1 | 2.42–2.85 | 0.117 | [60] | |
| Channel maintenance (Cm) | km | 0.351–0.413 | 0.016 | [55] | |
| Overland flow length (Lo) | km | 0.175–0.207 | 0.008 | [63] | |
| Drainage texture (T) | km−1 | 7.72–9.02 | 0.34 | [64] | |
| Texture ratio (Rt) | km−1 | 4.9–11.3 | 1.87 | [64] | |
| Fineness ratio (Rf) | - | 4.4–11.1 | 1.68 | [58] | |
| Stream order (Su) | - | 1–9 | Hierarchical rank | [65] | |
| Main trunk length (Lumax) | km | 17.7–122.7 | 25.9 | Highest stream order length | |
| Bifurcation ratio (Rb) | - | 3.596–5.43 | 0.421 | [60] | |
| Length ratio (Rl) | - | 2.02–3.61 | 0.386 | [60] | |
| Area ratio (Ra) | - | 3.93–6.74 | 0.68 | [60] |
| Simulation Results | 1994 | 2010 | 2013 | 2014 | 3 h Synthetic Homogenous Storm | ||
|---|---|---|---|---|---|---|---|
| 40 mm | 60 mm | 80 mm | |||||
| Total rain volume (×106 m3) | 237 | 124 | 153 | 393 | 628 | 942 | 1256 |
| Peak discharge (m3/s) | 109.5 | 42.67 | 12.0 | 101.1 | 1230.9 | 5564.6 | 14,964 |
| Total outlet discharge volume (×106 m3) | 10.6 | 5.6 | 1.79 | 10.9 | 139 | 327 | 588 |
| Outlet discharge percent (%) | 4.49 | 4.57 | 1.17 | 2.76 | 22.21 | 34.72 | 46.91 |
| Total transmission losses volume (×106 m3) | 14.6 | 6.9 | 1.4 | 13.8 | 102 | 212 | 328 |
| Total transmission losses percent (%) | 6.16 | 5.47 | 0.92 | 3.52 | 16.27 | 22.0 | 26.22 |
© 2017 by the authors. Licensee MDPI, Basel, Switzerland. This article is an open access article distributed under the terms and conditions of the Creative Commons Attribution (CC BY) license (http://creativecommons.org/licenses/by/4.0/).
Share and Cite
Abdel-Fattah, M.; Saber, M.; Kantoush, S.A.; Khalil, M.F.; Sumi, T.; Sefelnasr, A.M. A Hydrological and Geomorphometric Approach to Understanding the Generation of Wadi Flash Floods. Water 2017, 9, 553. https://doi.org/10.3390/w9070553
Abdel-Fattah M, Saber M, Kantoush SA, Khalil MF, Sumi T, Sefelnasr AM. A Hydrological and Geomorphometric Approach to Understanding the Generation of Wadi Flash Floods. Water. 2017; 9(7):553. https://doi.org/10.3390/w9070553
Chicago/Turabian StyleAbdel-Fattah, Mohammed, Mohamed Saber, Sameh A. Kantoush, Mohamed F. Khalil, Tetsuya Sumi, and Ahmed M. Sefelnasr. 2017. "A Hydrological and Geomorphometric Approach to Understanding the Generation of Wadi Flash Floods" Water 9, no. 7: 553. https://doi.org/10.3390/w9070553
APA StyleAbdel-Fattah, M., Saber, M., Kantoush, S. A., Khalil, M. F., Sumi, T., & Sefelnasr, A. M. (2017). A Hydrological and Geomorphometric Approach to Understanding the Generation of Wadi Flash Floods. Water, 9(7), 553. https://doi.org/10.3390/w9070553

