Simulation of Typhoon-Induced Storm Tides and Wind Waves for the Northeastern Coast of Taiwan Using a Tide–Surge–Wave Coupled Model
Abstract
:1. Introduction
2. Description of Study Area
3. Methodology
3.1. The Hydrodynamic Model
3.2. The Spectral Wind Wave Model
3.3. Global Model for the Prediction of Ocean Tides
3.4. Parametric Cyclone Model
3.5. Indicators of Model Performance
4. Model Validation
4.1. Validation of Storm Tide
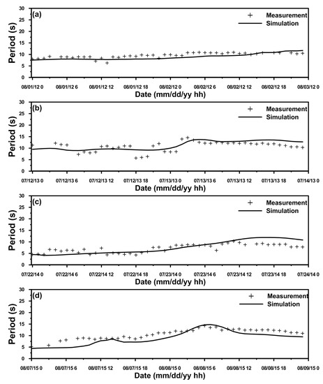
4.2. Validation of Wave Height and Wave Period
5. Results and Discussion
5.1. Effects of Waves on Storm Tides
5.2. Effects of Wind Stress on Storm Tides
5.3. Effects of Air Pressure on Storm Tides
5.4. Future Work
6. Conclusions
Acknowledgments
Author Contributions
Conflicts of Interest
References
- Tolman, H.L. Effects of tides and storm surges on North Sea wind waves. J. Phys. Oceanogr. 1991, 21, 766–781. [Google Scholar] [CrossRef]
- Zhang, M.Y.; Li, Y.S. The synchronous coupling of a third-generation wave model and a two-dimensional storm surge model. Ocean Eng. 1996, 6, 533–543. [Google Scholar] [CrossRef]
- Xie, L.; Wu, K.; Pietrafesa, L.J.; Zhang, C. A numerical study of wave-current interaction through surface and bottom stresses: Wind-driven circulation in the South Atlantic Bight under uniform winds. J. Geophys. Res. 2001, 106, 16841–16855. [Google Scholar] [CrossRef]
- Xie, L.; Pietrafesa, L.J.; Wu, K. A numerical study of wave-current interaction through surface and bottom stresses: Coastal ocean response to Hurricane Fran of 1996. J. Geophys. Res. 2003, 108, 3049. [Google Scholar] [CrossRef]
- Jennifer, M.B. A case study of combined wave and water levels under storm conditions using WAM and SWAN in a shallow water application. Ocean Model. 2010, 35, 215–229. [Google Scholar]
- Sun, Y.; Chen, C.; Beardsley, R.C.; Xu, Q.; Qi, J.; Lin, H. Impact of current-wave interaction on storm surge simulation: A case study for Hurricane Bob. J. Geophys. Res. 2013, 118, 2685–2701. [Google Scholar] [CrossRef]
- Bertin, X.; Li, K.; Roland, A.; Bidlot, J.R. The contribution of short-wave in storm surge: Two case studies in the Bay of Biscay. Cont. Shelf Res. 2015, 96, 1–15. [Google Scholar] [CrossRef]
- Flather, R.A.; Proctor, R.; Wolf, J. Oceanographic forecast models. In Computer Modeling in the Environmental Sciences; IMA Conference Series 28; Famer, D.G., Rycroft, M.J., Eds.; Clarendon Press: Oxford, UK, 1991; pp. 15–30. [Google Scholar]
- Jelesnianski, C.P.; Chen, J.; Shaffer, W.A. SLOSH: Sea, Lake, and Overland Surges from Hurricane; National Weather Service: Silver Springs, MD, USA, 1992.
- Luettich, R.A.; Westerink, J.J.; Scheffner, N.W. ADCIRC: An Advanced Three-Dimensional Circulation Model for Shelves, Coasts, and Estuaries, Report I: Theory and Methodology of ADCIRC-2DDI and ADCIRC-3DL; Technical Report DRP-92-6; U.S. Army Corps of Engineers: Vicksburg, MS, USA, 1992.
- Verboom, G.K.; Ronde, J.G.; Van Dijk, R.P. A fine grid tidal flow and storm surge model of the North Sea. Cont. Shelf Res. 1992, 12, 213–233. [Google Scholar] [CrossRef]
- Westerink, J.J.; Luettich, R.A.; Baptista, A.M.; Scheffner, N.W.; Farrar, P. Tide and storm surge predictions using a finite element model. J. Hydraul. Eng. 1992, 118, 1373–1390. [Google Scholar] [CrossRef]
- Hubbert, G.D.; McInnes, K.L. A storm surge inundation model for coastal planning an impact studies. J. Coast. Res. 1999, 15, 168–185. [Google Scholar]
- Dube, S.K.; Chittibabu, P.; Sinha, P.C.; Rao, A.D.; Murty, T.S. Numerical modeling of storm surge in the head Bay of Bengal using location specific model. Nat. Hazards 2004, 31, 437–453. [Google Scholar] [CrossRef]
- Dietsche, D.; Hagen, S.C.; Bacopoulos, P. Storm surge simulation for Hurricane Hugo (1989), on the significance of inundation areas. J. Waterw. Port Coast Ocean Eng. 2007, 133, 183–191. [Google Scholar] [CrossRef]
- Chen, W.B.; Liu, W.C.; Hsu, M.H. Computational investigation of typhoon-induced storm surges along the Coast of Taiwan. Nat. Hazards 2012, 64, 1161–1185. [Google Scholar] [CrossRef]
- Resio, D.T.; Westerink, J.J. Modeling the physics of storm surges. Phys. Today 2008, 61, 33. [Google Scholar] [CrossRef]
- Huang, Y.; Weisberg, R.H.; Zheng, L. Coupling of surge and waves for an Ivan-like hurricane impacting the Tampa Bay, Florida region. J. Geophys. Res. 2010, 115, C12009. [Google Scholar] [CrossRef]
- Sebastian, A.; Proft, J.; Dietrich, J.C.; Du, W.; Bedient, P.B.; Dawson, C.N. Characterizing hurricane storm surge behavior in Galveston Bay using the SWAN+ADCRIC model. Coast. Eng. 2014, 88, 171–181. [Google Scholar] [CrossRef]
- Zhao, C.; Ge, J.; Ding, P. Impact of sea level rise on storm surges around the Changjiang estuary. J. Coast. Res. 2014, 68, 27–34. [Google Scholar] [CrossRef]
- Lee, H.S.; Kim, K.O. Storm surge and storm waves mideling due to Typhoon Haiyan in November 2013 with improve dynamic meteorological conditions. Procedia Eng. 2015, 116, 699–706. [Google Scholar] [CrossRef]
- Yoon, J.-J.; Jun, K.-C. Coupled storm surge and wave simulations for the southern coast of Korea. Ocean Sci. J. 2015, 50, 9–28. [Google Scholar] [CrossRef]
- Amante, C.; Eakins, B.W. ETOPO1 1 Arc-Minute Global Relief Model: Procedures, Data Sources and Analysis. NOAA Technical Memorandum NESDIS NGDC-24; National Geophysical Data Center Marine Geology and Geophysics Division Boulder, Colorado: Boulder, CO, USA, 2009. [CrossRef]
- Zhang, Y.J.; Baptista, A.M. SELFE: A semi-implicit Eulerian-Lagrangian finite-element model for cross-scale ocean circulation. Ocean Model. 2008, 21, 71–96. [Google Scholar] [CrossRef]
- Roland, A. Development of WWM II: Spectral Wave Modelling on Unstructured Meshes. Ph.D. Thesis, Technische Universität Darmstadt, Darmstadt, Germany, 2008. [Google Scholar]
- Roland, A.; Zhang, Y.J.; Wang, H.V.; Meng, Y.; Teng, Y.-C.; Maderich, V.; Brovchenko, I.; Dutour-Sikiric, M.; Zanke, U. A fully coupled 3D wave-current interaction model on unstructured grids. J. Geophys. Res. 2012, 117, C00J33. [Google Scholar] [CrossRef]
- Hasselmann, K.; Barnett, T.P.; Bouws, E.; Carlson, H.; Cartwright, D.E.; Enke, K. Measurements of wind-wave growth and swell decay during the Joint North Sea Wave Project (JONSWAP). Dtsch. Hydrogr. Z. 1973, 12, 1–95. [Google Scholar]
- Battjes, J.A.; Janssen, J.P.F.M. Energy loss and set-up due to breaking of random waves. In Proceedings of the 16th International Conference on Coastal Engineering, Hamburg, Germany, 27 August–3 September 1978; pp. 569–587. [Google Scholar]
- Zhang, Y.J.; Witter, R.C.; Priest, G.R. Tsunami-tide interaction in 1964 Prince William Sound tsunami. Ocean Model. 2011, 40, 246–259. [Google Scholar] [CrossRef]
- Rodrigues, M.; Oliveira, A.; Queiroga, H.; Fortunato, A.B.; Zhang, Y.J. Three-dimensional modeling of the lower trophic levels in the Ria de Aveiro (Portugal). Ecol. Model. 2009, 220, 1274–1290. [Google Scholar] [CrossRef]
- Rodrigues, M.; Oliveira, A.; Guerreior, M.; Fortunato, A.B.; Menaia, J.; David, L.M.; Cravo, A. Modeling fecal contamination in the Aljezur coastal stream (Portugal). Ocean Dyn. 2011, 61, 841–856. [Google Scholar] [CrossRef]
- Azevedo, A.; Oliveira, A.; Fortunato, A.B.; Bertin, X. Application of an Eulerian-Lagrangian oil spill modeling system to the prestige accident: Trajectory analysis. J. Coast. Res. 2011, 777–781. [Google Scholar]
- Fortunato, A.B.; Rodrigues, M.; Dias, J.M.; Lopes, C.; Oliveira, A. Generating inundation maps for a coastal lagoon: A case study in the Ria de Aveiro (Portugal). Ocean Eng. 2013, 64, 60–71. [Google Scholar] [CrossRef]
- Chen, W.B.; Liu, W.C. Assessment of storm surge inundation and potential hazard maps for the southern coast of Taiwan. Nat. Hazards 2016, 82, 591–616. [Google Scholar] [CrossRef]
- Chen, W.B.; Liu, W.C. Modeling flood inundation Induced by river flow and storm surges over a river basin. Water 2014, 6, 3182–3199. [Google Scholar] [CrossRef]
- Wang, H.V.; Loftis, J.D.; Liu, Z.; Forrest, D.; Zhang, J. The storm surge and sub-grid inundation modeling in New York City during hurricane Sandy. J. Mar. Sci. Eng. 2014, 2, 226–246. [Google Scholar] [CrossRef]
- Powell, M.D.; Vickery, P.J.; Reinhold, T.A. Reduced drag coefficient for high wind speeds in tropical cyclones. Nature 2003, 422, 279–283. [Google Scholar] [CrossRef] [PubMed]
- Longuet-Higgins, M.S.; Stewart, R.W. Radiation stress in water waves: A physical discussion with applications. Deep Sea Res. 1964, 11, 529–562. [Google Scholar]
- Battjes, J.A. Computation of Set-up, Longshore Currents, Run-up and Overtopping Due to Wind-Generated Waves. Ph.D. Thesis, Department of Civil Engineering, Delft University of Technology, Delft, The Netherlands, 1974. [Google Scholar]
- Chen, Q.; Wang, L.; Zhao, H.; Douglass, S.L. Predictions of storm surges and wind waves on coastal Highways in hurricane-prone areas. J. Coast. Res. 2007, 23, 1304–1317. [Google Scholar] [CrossRef]
- Egbert, G.D.; Bennett, A.F.; Foreman, M.G.G. Topex/poseidon tides estimated using a global inverse model. J. Geophys. Res. 1994, 99, 821–852. [Google Scholar] [CrossRef]
- Egbert, G.D.; Erofeeva, S.Y. Efficient inverse modeling of barotropic ocean tides. J. Atmos. Ocean. Technol. 2002, 19, 183–204. [Google Scholar] [CrossRef]
- Fujita, T. Pressure distribution in typhoon. Geophys. Mag. 1952, 23, 437. [Google Scholar]
- Jelesnianski, C.P. A numerical computation of storm tides induced by a tropical storm impinging on a continental shelf. Mon. Weather Rev. 1965, 93, 343–358. [Google Scholar] [CrossRef]
- Holland, G.J. An analytical model of the wind and pressure profiles in hurricanes. Mon. Weather Rev. 1980, 108, 1212–1218. [Google Scholar] [CrossRef]
- Wang, X.; Qian, C.; Wang, W.; Yan, T. An elliptical wind field model of typhoons. J. Ocean Univ. China 2004, 3, 33–39. [Google Scholar] [CrossRef]
- MacAfee, A.W.; Pearson, G.W. Development and testing of tropical Cyclone parametric wind models tailored for midlatitude application-preliminary results. J. Appl. Meteorol. Climatol. 2006, 45, 1244–1260. [Google Scholar] [CrossRef]
- Wood, V.T.; White, L.W.; Willoughby, H.E.; Jorgensen, D.P. A new parametric tropical cyclone tangential wind profile model. Mon. Weather Rev. 2013, 141, 1884–1909. [Google Scholar] [CrossRef]
- Jakobsen, F.; Madsen, H. Comparison and further development of parametric tropical cyclone models for storm surge modelling. J. Wind Eng. Ind. Aerodyn. 2004, 92, 375–391. [Google Scholar] [CrossRef]
- Lin, N.; Chavas, D. On hurricane parametric wind and applications in storm surge modeling. J. Geophys. Res. 2012, 117, D09120. [Google Scholar] [CrossRef]
- Hubbert, G.D.; Holland, G.J.; Leslie, L.M.; Manton, M.J. A real-time system for forecasting tropical cyclone storm surges. Weather Forecast. 1991, 6, 86–97. [Google Scholar] [CrossRef]
- Zhang, H.; Sheng, J. Examination of extreme sea levels due to storm surges and tides over the northwest Pacific Ocean. Cont. Shelf Res. 2015, 93, 81–97. [Google Scholar] [CrossRef]
- Georgiou, P. Design Wind Speeds in Tropical Cyclone Prone Regions. Ph.D. Thesis, University of Western Ontario, London, ON, Canada, 1985. [Google Scholar]
- Phake, A.C.L.; Martion, C.D.; Cheung, K.F.; Souston, S.H. Modeling of tropical cyclone winds and waves for emergency management. Ocean Eng. 2003, 30, 553–578. [Google Scholar] [CrossRef]
- Gupta, H.V.; Sorooshian, S.; Yapo, P.O. Status of automatic calibration for hydrologic models: Comparison with multilevel expert calibration. J. Hydrol. Eng. 1999, 4, 135–143. [Google Scholar] [CrossRef]
- Moriasi, D.N.; Arnold, J.G.; Van Liew, M.W.; Bingner, R.L.; Harmel, R.D.; Veith, T.L. Model evaluation guidelines for systematic quantification of accuracy in watershed simulations. Am. Soc. Agric. Biol. Eng. 2007, 50, 885–900. [Google Scholar]
- Feng, W.; Yin, B.; Yang, D. Effect of hurricane paths on storm surge response at Tianjin, China. Estuar. Coast. Shelf Sci. 2012, 106, 58–68. [Google Scholar] [CrossRef]
- Moon, I.-J.; Ginis, I.; Hara, T.; Tolman, H.; Wright, C.W.; Walsh, E.J. Numerical simulation of sea-surface directional wave spectra under hurricane wind forcing. J. Phys. Oceanogr. 2003, 33, 1680–1706. [Google Scholar] [CrossRef]
- Dean, R.G.; Dalrymple, R.A. Coastal Processes with Engineering Applications; Cambridge University Press: Cambridge, UK, 2002. [Google Scholar]
- Wolf, J. Coupled wave and surge modelling and implications for coastal flooding. Adv. Geosci. 2008, 17, 19–22. [Google Scholar] [CrossRef]
- Dietrich, J.C.; Zijlema, M.; Westerink, J.J.; Holthuijsen, L.H.; Dawson, C.; Luettich, R.A., Jr.; Jesen, R.E.; Smith, J.M.; Stelling, G.S.; Stone, G.W. Modeling hurricane wave and storm surge using integrally-couple scalable computations. Coast. Eng. 2011, 58, 45–65. [Google Scholar] [CrossRef]
- Vatvani, D.; Zweers, N.C.; van Ormondt, M.; Smale, A.J.; de Vries, H.; Makin, V.K. Storm surge and wave simulations in the Gulf of Mexico using a consistent drag relation for atmospheric and storm surge model. Nat. Hazards Earth Syst. Sci. 2012, 12, 2399–2410. [Google Scholar] [CrossRef]
- Bruneau, N.; Dodet, G.; Bertin, X.; Fortunato, A.B. Development of a three-dimensional coupled wave-current model for coastal environments. J. Coast. Res. 2011, 64, 986–990. [Google Scholar]



















| Parameters | Model | Source |
|---|---|---|
| SEFLE-WWM-II | Equation (5) | |
| SEFLE-WWM-II | Equation (14) | |
| Parametric cyclone model | 1013.0 | |
| Parametric cyclone model | From RSMC dataset | |
| Parametric cyclone model | Equation (18) | |
| Parametric cyclone model | Equation (19) | |
| Parametric cyclone model | Equation (20) | |
| SEFLE-WWM-II | 0.025 |
| Station | Wave Height | Water Level | Wave Period | ||||||
|---|---|---|---|---|---|---|---|---|---|
| MAE (m) | RMSE (m) | PBIAS (%) | MAE (m) | RMSE (m) | PBIAS (%) | MAE (s) | RMSE (s) | PBIAS (%) | |
| Keeling | 1.07 | 1.26 | −5.41 | 0.11 | 0.12 | 9.86 | 1.31 | 1.51 | −9.62 |
| Suao | 1.27 | 1.56 | 12.41 | 0.10 | 0.12 | 9.98 | -- | -- | -- |
| Hualien | 0.84 | 0.97 | 4.5 | 0.09 | 0.11 | −5.38 | -- | -- | -- |
| Simulation | Conditions | Investigated Factors |
|---|---|---|
| Baseline | Simulation with air pressure, wind stress and wave | None |
| Case 1 | Simulation only with air pressure, wind stress | Wave |
| Case 2 | Simulation only with air pressure | Wind stress |
| Case 3 | Simulation only with wind stress | Air pressure |
© 2017 by the authors. Licensee MDPI, Basel, Switzerland. This article is an open access article distributed under the terms and conditions of the Creative Commons Attribution (CC BY) license (http://creativecommons.org/licenses/by/4.0/).
Share and Cite
Chen, W.-B.; Lin, L.-Y.; Jang, J.-H.; Chang, C.-H. Simulation of Typhoon-Induced Storm Tides and Wind Waves for the Northeastern Coast of Taiwan Using a Tide–Surge–Wave Coupled Model. Water 2017, 9, 549. https://doi.org/10.3390/w9070549
Chen W-B, Lin L-Y, Jang J-H, Chang C-H. Simulation of Typhoon-Induced Storm Tides and Wind Waves for the Northeastern Coast of Taiwan Using a Tide–Surge–Wave Coupled Model. Water. 2017; 9(7):549. https://doi.org/10.3390/w9070549
Chicago/Turabian StyleChen, Wei-Bo, Lee-Yaw Lin, Jiun-Huei Jang, and Chih-Hsin Chang. 2017. "Simulation of Typhoon-Induced Storm Tides and Wind Waves for the Northeastern Coast of Taiwan Using a Tide–Surge–Wave Coupled Model" Water 9, no. 7: 549. https://doi.org/10.3390/w9070549
APA StyleChen, W.-B., Lin, L.-Y., Jang, J.-H., & Chang, C.-H. (2017). Simulation of Typhoon-Induced Storm Tides and Wind Waves for the Northeastern Coast of Taiwan Using a Tide–Surge–Wave Coupled Model. Water, 9(7), 549. https://doi.org/10.3390/w9070549

