Development of Resilience Index Based on Flooding Damage in Urban Areas
Abstract
:1. Introduction
2. Methodologies
2.1. Multi-Dimensional Flood Damage Analysis
2.2. Generation of Synthetic Rainfall Data
2.3. Development of Resilience Index Based on Flooding Damage
3. Applications and Results
3.1. Study Area
3.2. Conversion from Flooding Volume to Flooding Damage
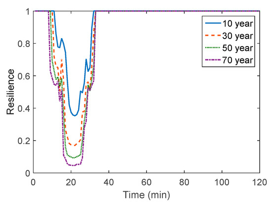
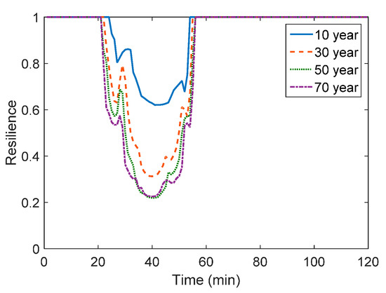
3.3. Resilience Based on Flooding Damage
4. Conclusions
Acknowledgments
Author Contributions
Conflicts of Interest
References
- Haughton, G. Developing sustainable urban development models. Cities 1997, 14, 189–195. [Google Scholar] [CrossRef]
- Chiesura, A. The role of urban parks for the sustainable city. Landsc. Urban Plan. 2004, 68, 129–138. [Google Scholar] [CrossRef]
- Pickett, S.T.; Cadenasso, M.L.; Grove, J.M. Resilient cities: Meaning, models, and metaphor for integrating the ecological, socio-economic, and planning realms. Landsc. Urban Plan. 2004, 69, 369–384. [Google Scholar] [CrossRef]
- Egger, S. Determining a sustainable city model. Environ. Model. Softw. 2006, 21, 1235–1246. [Google Scholar] [CrossRef]
- Blackmore, J.M.; Plant, R.A. Risk and resilience to enhance sustainability with application to urban water systems. J. Water Resour. Plan. Manag. 2008, 134, 224–233. [Google Scholar] [CrossRef]
- Coaffee, J. Risk, resilience, and environmentally sustainable cities. Energy Policy 2008, 36, 4633–4638. [Google Scholar] [CrossRef]
- Ahern, J. From fail-safe to safe-to-fail: Sustainability and resilience in the new urban world. Landsc. Urban Plan. 2011, 100, 341–343. [Google Scholar] [CrossRef]
- Djordjević, S.; Butler, D.; Gourbesville, P.; Mark, O.; Pasche, E. New policies to deal with climate change and other drivers impacting on resilience to flooding in urban areas: The CORFU approach. Environ. Sci. Policy 2011, 14, 864–873. [Google Scholar] [CrossRef]
- Park, J.; Seager, T.P.; Rao, P.S.C. Lessons in risk-versus resilience-based design and management. Integr. Environ. Assess. Manag. 2011, 7, 396–399. [Google Scholar] [CrossRef] [PubMed]
- Lansey, K. Sustainable, robust, resilient, water distribution systems. In Proceedings of the 14th Water Distribution Systems Analysis Conference (WDSA 2012), Adelaide, South Australia, 24–27 September 2012; Engineers Australia: Adelaide, Australia, 2012; p. 1. [Google Scholar]
- Desouza, K.C.; Flanery, T.H. Designing, planning, and managing resilient cities: A conceptual framework. Cities 2013, 35, 89–99. [Google Scholar] [CrossRef]
- Jabareen, Y. Planning the resilient city: Concepts and strategies for coping with climate change and environmental risk. Cities 2013, 31, 220–229. [Google Scholar]
- Park, J.; Seager, T.P.; Rao, P.S.C.; Convertino, M.; Linkov, I. Integrating risk and resilience approaches to catastrophe management in engineering systems. Risk Anal. 2013, 33, 356–367. [Google Scholar] [PubMed]
- Butler, D.; Farmani, R.; Fu, G.; Ward, S.; Diao, K.; Astaraie-Imani, M. A new approach to urban water management: Safe and SuRe. Procedia Eng. 2014, 89, 347–354. [Google Scholar]
- Hwang, H.; Lansey, K.; Quintanar, D.R. Resilience-based failure mode effects and criticality analysis for regional water supply system. J. Hydroinform. 2015, 17, 193–210. [Google Scholar]
- Mugume, S.N.; Gomez, D.E.; Fu, G.; Farmani, R.; Butler, D. A global analysis approach for investigating structural resilience in urban drainage systems. Water Res. 2015, 81, 15–26. [Google Scholar] [PubMed]
- Siekmann, T.; Siekmann, M. Resilient urban drainage—Options of an optimized area-management. Urban Water J. 2015, 12, 44–51. [Google Scholar]
- Kotzee, I.; Reyers, B. Piloting a social-ecological index for measuring flood resilience: A composite index approach. Ecol. Indic. 2016, 60, 45–53. [Google Scholar]
- Mugume, S.N.; Melville-Shreeve, P.; Gomez, D.; Butler, D. Multifunctional urban flood resilience enhancement strategies. Proc. Inst. Civ. Eng. Water Manag. 2017, 170, 115–127. [Google Scholar]
- Mugume, S.N.; Butler, D. Evaluation of functional resilience in urban drainage and flood management systems using a global analysis approach. Urban Water J. 2016, 1–10. [Google Scholar] [CrossRef]
- Lee, E.H.; Lee, Y.S.; Joo, J.G.; Jung, D.; Kim, J.H. Flood Reduction in Urban Drainage Systems: Cooperative Operation of Centralized and Decentralized Reservoirs. Water 2016, 8, 469. [Google Scholar]
- Gupta, K. Urban flood resilience planning and management and lessons for the future: A case study of Mumbai, India. Urban Water J. 2007, 4, 183–194. [Google Scholar] [CrossRef]
- White, I. The absorbent city: Urban form and flood risk management. Proc. Inst. Civ. Eng.-Urban Des. Plan. 2008, 161, 151–161. [Google Scholar] [CrossRef]
- Barroca, B.; Bernardara, P.; Mouchel, J.M.; Hubert, G. Indicators for identification of urban flooding vulnerability. Nat. Hazards Earth Syst. Sci. 2006, 6, 553–561. [Google Scholar] [CrossRef]
- Van Herk, S.; Zevenbergen, C.; Ashley, R.; Rijke, J. Learning and Action Alliances for the integration of flood risk management into urban planning: A new framework from empirical evidence from The Netherlands. Environ. Sci. Policy 2011, 14, 543–554. [Google Scholar] [CrossRef]
- Lamond, J.E.; Proverbs, D.G. Resilience to flooding: Lessons from international comparison. Proc. Inst. Civ. Eng.-Urban Des. Plan. 2009, 162, 63–70. [Google Scholar] [CrossRef]
- Choi, S.A.; Yi, C.S.; Shim, M.P.; Kim, H.S. Multi-Dimensional Flood Damage Analysis (I): Principle and Procedure. J. Korea Water Resour. Assoc. 2006, 50, 1–9. [Google Scholar]
- Study on Economical Analysis Method of Flood Control Project; Ministry of Construction and Transportation: Seoul, Korea, 2004.
- Statistics Korea. Available online: kostat.go.kr (accessed on 25 February 2017).
- Huff, F.A. Time distribution of rainfall in heavy storms. Water Resour. Res. 1967, 3, 1007–1019. [Google Scholar] [CrossRef]
- Korea Precipitation Frequency Data Server. Available online: www.k-idf.re.kr (accessed on 27 February 2017).
- Yoon, Y.N.; Jung, J.H.; Ryu, J.H. Introduction of design flood estimation. J. Korea Water Resour. Assoc. 2013, 46, 55–68. [Google Scholar]
- Korea Appraisal Board. Available online: www.kab.co.kr (accessed on 22 February 2017).
- Korea Development Institute. Available online: www.kdi.re.kr (accessed on 3 March 2017).
- Choi, H.; Lee, E.H.; Joo, J.G.; Kim, J.H. Determining optimal locations for rainwater storage sites with the goal of reducing urban inundation damage costs. KSCE J. Civ. Eng. 2016, 1–13. [Google Scholar] [CrossRef]
- United States Environmental Protection Agency (USEPA). Storm Water Management Model User’s Manual Version 5.0; EPA: Washington, DC, USA, 2010.










| Depth (m) | 0~0.5 | 0.5~1.5 | 1.5~2.5 | Over 2.5 | Comments | |
|---|---|---|---|---|---|---|
| Types | ||||||
| The ratio of damage in detached houses (%) | 15 | 40 | 83 | 100 | - | |
| The ratio of damage in apartments and buildings (%) | 15/n | 40/n | 83/n | 100/n | n is the number of floors | |
| Depth (m) | 0~0.5 | 0.5~1.0 | 1.0~2.0 | 2.0~3.0 | Over 3.0 | |
|---|---|---|---|---|---|---|
| Types | ||||||
| The ratio of damage in contents of buildings (%) | 14.5 | 32.6 | 50.8 | 92.8 | 100 | |
| The ratio of damage in tangible assets (%) | 25 | 50 | 80 | 100 | 100 | |
| The ratio of damage in inventories (%) | 15 | 30 | 60 | 100 | 100 | |
| Depth (m) | 0~0.5 | 0.5~1.0 | 1.0~2.0 | 2.0~3.0 | Over 3.0 | |||||
|---|---|---|---|---|---|---|---|---|---|---|
| Types | ||||||||||
| Farmland (%) | 0 | 0 | 100 | 100 | 100 | |||||
| Tangible assets (%) | 23.2 | 45.3 | 78.9 | 96.6 | 100 | |||||
| Inventories (%) | 12.8 | 26.7 | 58.6 | 89.7 | 100 | |||||
| Depth (m) | Under 1.0 | Over 1.0 | ||||||||
| Crops (%) | Duration (day) | Less than 1 | 1~2 | 3~4 | 5~6 | Over 7 | All duration | |||
| Rice paddy | 14 | 27 | 47 | 77 | 95 | 100 | ||||
| Field | 35 | 51 | 67 | 81 | 95 | 100 | ||||
| Classification | Requirements | Calculation | |
|---|---|---|---|
| Residential area | Structure (house) | (1) Number of houses and building (2) Price per area (won/m2) (3) Number of floors (4) Construction industry deflator | Property value of structures = (1) × (2) × (3) × (4) |
| Contents (household) | (1) Assessment about the price of contents (2) Number of households (3) Consumer price index | Property value of contents = (1) × (2) × (3) | |
| Agricultural area | Farmlands (area) | (1) Areas of rice paddy and dry field (2) Assessment about price of the buried and lost areas | Property value of contents = (1) × (2) |
| Crops (area) | (1) Types of crops (2) Areas of rice paddy and dry field (3) Consumer price index | Property value of crops = (1) × (2) × (3) | |
| Industrial area | Tangible assets (won) | (1) Assessment about price for industrial type (2) Number of works (3) Consumer price index | Property value of tangible assets and inventories = (1) × (2) × (3) |
| Inventories (won) | |||
| Subareas | A1 | A2 | A3 | A4 | A5 | |
|---|---|---|---|---|---|---|
| Types | ||||||
| Detached houses | 89 | 36 | 44 | 41 | 49 | |
| Apartments | 5 | 0 | 0 | 0 | 0 | |
| Buildings | 17 | 16 | 7 | 9 | 22 | |
| Types | Detached Houses | Apartments | Buildings |
|---|---|---|---|
| Price per area (won/m2) | 1,385,000 | 1,690,000 | 853,000 |
| Subareas | A1 | A2 | A3 | A4 | A5 |
|---|---|---|---|---|---|
| Manufacturing industry | 0 | 0 | 0 | 0 | 0 |
| Electronic enterprise Gas and water utility | 0 | 3 | 1 | 4 | 1 |
| Waste water and environmental restoration | 0 | 0 | 0 | 1 | 0 |
| Construction industry | 0 | 0 | 0 | 2 | 0 |
| Wholesale business and retail trade | 13 | 18 | 4 | 24 | 38 |
| Transportation industry | 0 | 0 | 1 | 0 | 0 |
| Accommodation and restaurant business | 4 | 38 | 7 | 18 | 25 |
| Broadcasting and information industry | 0 | 2 | 0 | 2 | 0 |
| Financial and insurance business | 0 | 4 | 0 | 2 | 0 |
| Real estate industry | 0 | 1 | 0 | 2 | 0 |
| Science and technology services | 0 | 11 | 2 | 22 | 5 |
| Business facilities management and business support services | 0 | 0 | 0 | 0 | 1 |
| Public administration | 0 | 1 | 0 | 2 | 0 |
| Educational services industry | 0 | 3 | 0 | 1 | 3 |
| Health care and social welfare | 0 | 10 | 2 | 8 | 3 |
| Art and leisure service | 0 | 8 | 2 | 6 | 3 |
| Association and private service | 1 | 3 | 0 | 1 | 1 |
| Subareas | A1 | A2 | A3 | A4 | A5 |
|---|---|---|---|---|---|
| Property value of structure (won) | 8,908,320,000 | 2,505,465,000 | 1,855,900,000 | 3,711,800,000 | 2,041,490,000 |
| Property value of contents (won) | 755,308,738 | 328,924,773 | 243,647,980 | 487,295,960 | 268,012,778 |
| Property value of tangible assets (won) | 19,293,116 | 710,845,218 | 225,385,429 | 937,125,269 | 276,831,416 |
| Property value of inventories (won) | 7,200,137 | 18,552,083 | 4,331,518 | 26,725,653 | 23,541,351 |
| Total property value (won) | 9,690,121,991 | 3,563,787,074 | 2,329,264,927 | 5,162,946,882 | 2,609,875,545 |
| Area (m2) | 184,100 | 114,190 | 7,430 | 125,310 | 71,060 |
| Property value per area (won/m2) | 52,635 | 31,209 | 313,495 | 14,201 | 36,728 |
| Frequency (Years) | 10 | 30 | 50 | 70 | |
|---|---|---|---|---|---|
| Duration (Minutes) | |||||
| 30 | 0.933741 | 0.895701 | 0.876585 | 0.860621 | |
| 60 | 0.932841 | 0.868809 | 0.839358 | 0.826333 | |
| 90 | 0.924555 | 0.851202 | 0.813135 | 0.797292 | |
© 2017 by the authors. Licensee MDPI, Basel, Switzerland. This article is an open access article distributed under the terms and conditions of the Creative Commons Attribution (CC BY) license (http://creativecommons.org/licenses/by/4.0/).
Share and Cite
Lee, E.H.; Kim, J.H. Development of Resilience Index Based on Flooding Damage in Urban Areas. Water 2017, 9, 428. https://doi.org/10.3390/w9060428
Lee EH, Kim JH. Development of Resilience Index Based on Flooding Damage in Urban Areas. Water. 2017; 9(6):428. https://doi.org/10.3390/w9060428
Chicago/Turabian StyleLee, Eui Hoon, and Joong Hoon Kim. 2017. "Development of Resilience Index Based on Flooding Damage in Urban Areas" Water 9, no. 6: 428. https://doi.org/10.3390/w9060428
APA StyleLee, E. H., & Kim, J. H. (2017). Development of Resilience Index Based on Flooding Damage in Urban Areas. Water, 9(6), 428. https://doi.org/10.3390/w9060428
