Abstract
Stormwater runoff monitoring was carried out from 2011 to 2015 to investigate the relationships between rainfall conditions (antecedent dry days (ADDs), rainfall intensity, depth and duration), and water quality parameters of stormwater from a paved road in Korea. Factor analysis suggested that the effect of rainfall conditions on the concentrations of selected pollutants varied depending on the pollutant. As total COD (total chemical oxygen demand) concentration increased, the level of heavy metals increased and resulted in a decrease of BOD5 (biochemical oxygen demand) because of their toxicity. In addition, ADDs had a significant impact on the wash-off of solids from paved road. The predominant particles in stormwater were 30 μm and smaller, and increased in concentration as ADDs increased. Thus, the initial load of accumulated particles became a major factor in the wash-off process. The mass of particle-related pollutants was also subject to the effect of ADDs due to the affinity between pollutants and predominant particles (<30 μm). However, the effect of ADDs on the mass of organic matter and nitrogen was relatively weak. ADDs contributed to the decrease of some pollutants by photo-oxidation, volatilization and natural decay over dry days, as well as desorption from solids during rainfall.
1. Introduction
Stormwater runoff from impervious areas has been regarded as an important non-point pollution source, containing abundant contaminants which can deteriorate the water quality and pose a risk to the surrounding ecological environment [1,2,3]. To control stormwater pollution, best management practices (BMPs) and low impact developments (LIDs) have been proposed around the world. The design and improvement of BMPs and LIDs are mainly related to the water quality of stormwater and rainfall conditions.
According to previous reports, pollutants usually appear in particle form [4]. During rainfall, stormwater flowing across the impervious surface, suspends particles and transports them to water bodies, which can lead to various impacts in the nearby ecological environment. However, it is much more difficult to control particle-combined pollutants in stormwater because of the random nature of rainfall, and the uncertainty of the pollution source [5]. As a result, it is important to identify the accumulation and transportation of pollutants, and their affecting factors.
In past studies, Zhao and Li [6] reported that rainfall intensity and duration affected pollutants in the wash-off process, but did not affect particle size composition in washed-off pollutants. Lee et al. [7] analyzed hydrographs and pollutographs, indicating that transportation for most of the pollutants depended on the preceding dry period and rainfall intensity. Vaze and Chiew [8] pointed out that wash-off of pollutants was not only affected by rainfall and runoff characteristics, but also by street sweeping. According to these studies, rainfall conditions can be determined as a major factor for stormwater quality.
As mentioned above, both BMPs and LIDs are closely associated with stormwater quality. However, in current practice, counterproductive and inefficient treatment of stormwater often occurs, due to complexities in stormwater which exhibit variability with respect to rainfall characteristics. To ensure that effective stormwater runoff can be managed, proper understanding of stormwater is an important step. Therefore, identification of the relationship between pollutants and rainfall conditions are of significant importance. Additionally, rainfall conditions including antecedent dry days, rainfall depth, and rainfall intensity and duration, exert differing influences on pollutants in different sites. Thus, the relationship between pollutants and rainfall conditions in specific sites is essential for the design and implementation of stormwater mitigation strategies. In this study, the relationship between water quality parameters in the stormwater from the paved road, and the effect of rainfall conditions was investigated.
2. Materials and Methods
2.1. Experimental Site and Monitoring Trips
The study site, a 500 m2 asphalt pavement, is located on a highway bridge in Seosan city, South Korea (36°41′53.4′′ N, 126°34′15.9′′ E) (Figure 1a,b). The paved road consists of asphalt and is composed by two lanes. On average, the traffic volume was approximately 8700 vehicles per day for both directions [9]. The annual precipitation in the studied site was 1704 mm (2011), 1642 mm (2012), 1518 mm (2013), 945 mm (2014) and 1045 mm (2015).
Figure 1.
Stormwater monitoring area used for this study: (a) location; (b) monitored asphalt paved road; (c) stormwater collection device.
Stormwater quality was investigated from March 2011 to October 2015. The objective of the investigation was to sample each storm during eight months monitoring periods every year. However, due to the high labor costs and uncertainty of the weather, not all storms could be effectively sampled. In total, thirty rainfall events in the studied site were successfully sampled. The related rainfall information including rainfall depth, duration, intensity, and antecedent dry days (ADDs), is listed in Table 1. The rainfall depth was measured using a digital rain gauge, and data for ADDs was obtained from the records of the Korean Meteorological Administration. Rainfall intensity was calculated as millimeters per hour over the entire rainfall duration.
Table 1.
Information of monitored stormwater events.
2.2. Field Monitoring and Sample Analysis
In the studied catchment area, three drainage inlets were installed at the edge of highway pavement to collect stormwater (Figure 1b). During rainfall, the water flows into drainage inlets and is rerouted to the runoff capture device through the collection pipe. Discrete samples were taken immediately at the start of runoff discharge from the pipe, and every five minutes thereafter for the first 30 min, to properly capture and characterize the first flush. Flow rate was measured simultaneously using a flow meter. Typically, seven samples were conducted every five minutes during each grab sampling using a flow meter. The total number of samples and sampling frequencies were established by the rainfall conditions including the depth, intensity and duration. Samples were collected over the duration of the storm hydrograph.
The water quality parameters including total nitrogen (TN), total phosphorus (TP), total chemical oxygen demand (TCOD), soluble chemical oxygen demand (SCOD), biochemical oxygen demand (BOD5), total suspended solid (TSS), ammonium nitrogen (NH4-N), nitrate nitrogen (NO3-N) and phosphate (PO4-P) were measured according to the Standard Methods for the Examination of Water and Wastewater [10]. Heavy metals (Cu, Zn, Cd, Cr, Ni and Pb) were measured using an ICPS-7510 sequential plasma spectrometer. A composite sample made by 12 to 15 discrete samples collected from the entire rainfall sample was used for particle size distribution (PSD) measurement, and its analysis was performed using an AccuSizer 780A particle analyzer.
2.3. Data Analysis
The event mean concentration (EMC), defined as the flow-weighted concentration of pollutants over the entire rainfall period, was calculated by the following equation:
in which, Ct and Qt are pollutant concentration (mg/L) and flow rate of the runoff corresponding to time t, respectively. Moreover, factor analysis and Pearson correlation analysis were used to establish the relationships between pollutants and rainfall conditions. Statistical analysis was performed by Statistical Package for Social Science (SPSS) (Version 20.0).
3. Results and Discussion
3.1. Effect of Rainfall Conditions on Pollutant Concentration
Based on past observation, and as a result of the insignificant relationship between traffic volume and pollutants in stormwater, multiple rainfall conditions including ADDs, rainfall depth, intensity and duration can be considered as major influential factors. However, the effects as well as the extent of impact on water quality parameters differed from a single rainfall event. Therefore, with the identification of such a multitude of factors, factor analysis was adopted to statistically describe variability among the observed variables.
As shown in Figure 2a, dissolved contaminants including ammonia and nitrate were highly correlated with rainfall intensity. This could have been a consequence of leached-out soluble matter from particles during intensive rainfall, and also confirmed the work by Novotny and Olem [11].
Figure 2.
Factor analysis on the relationship between rainfall condition and pollutant concentration: (a) water quality parameters; (b) metals.
It was found that PO4-P was more related to ADDs. This was primarily caused by the amount of atmospheric deposition over dry days. As it can be easily and readily adsorbed, phosphate is easily transported by airborne particulates. However, the formation of atmospheric aerosol and dust plumes is subject to rainfall frequency [12]. Therefore, longer durations of dry weather periods provide a greater chance for phosphate to associate with particles, resulting in a considerable deposition of phosphate on road. Additionally, except for dry deposition, PO4-P from the atmosphere can be also washed-off to road surface during rainfall. Therefore, a significant relationship was detected between PO4-P and ADDs.
With regard to conventional water quality parameters, TSS, TCOD, SCOD, TP and BOD5 were significantly affected by rainfall duration and depth. The increased duration and depth resulted in bulk stormwater, thus causing the suspension of pollutants from paved road. It is noteworthy that the EMCs of particle-associated pollutants which are generally related with ADDs, were more affected by rainfall duration and depth in this study. This is ascribed to the limited source of particles on the pavement surface. As most of the particles were washed out in the initial phase of rainfall, the increased runoff volume could have been the affecting factor for decreasing particle concentration. In addition, this result also implies that the particles in the studied area might be small enough to be readily transported by stormwater.
Nitrogen was not affected by any rainfall conditions. Since nitrogen constituents in stormwater can be transformed randomly, particulate nitrogen can be converted into soluble form, or from one dissolved nitrogen form to another. Accordingly, the effect of rainfall conditions on nitrogen can be arbitrary.
For heavy metals, the results shown in Figure 2b indicated that rainfall depth was affected the lead and copper. Additionally, it was also found that zinc and cadmium were determined by the rainfall duration, while the EMCs of chromium and nickel were notably affected by the ADDs. The metals accumulated on paved road, and most were derived from atmospheric deposition, worn off vehicle accessories, or detached from paved materials. Once they have deposited on the road surface, their chemical speciation and transformation could be subject to their own sources and characteristics.
For instance, the most common oxidation state for lead in the environment is +2, which is more stable than the +4 state. Accordingly, lead salts (+2) are slightly soluble and likely to combine closely with particles, especially smaller ones [13]. The particulate-bound pollutants tended to be source-limited in the present studied area. Therefore, as the storm continued, most of the fine-sized particulates washed off from the road surface, and increased rainfall depth was a potential factor for diluting the lead concentration. Additionally, since most solids in nature are negatively charged, they can bind and release positively charged ions in solution. In contrast to the lead present in stormwater, copper, zinc and cadmium have a complex range of phases. Hence, the increased rainfall duration and depth provided more runoff volume to dissolve them from solid form. With respect to chromium and nickel, which mainly originated from atmospheric deposition [11], the amount of their accumulation in air was greatly determined by the interval between rainfalls. Therefore, their concentration was closely related with ADDs. As a result, the different impacts of rainfall conditions were associated with the diverse characteristics and sources of selected metals.
3.2. The Relationship between COD and BOD5
TCOD and BOD5 are common water quality parameters for measuring various organic compounds in stormwater runoff. COD is used to determine the total quantity of oxygen required to oxidize all organic material, whereas BOD is a measure of the amount of oxygen required for microorganisms to degrade the organic components present in stormwater. Hence, the BOD5 content is directly proportional to COD concentration [14].
Based on the data investigated from 2013 and 2014, it was observed that BOD5 concentration decreased with increasing total COD concentration in 2013 (Figure 3a). Conversely, it increased as the total COD concentration increased during 2014 (Figure 3b). The different result between the two years was related to differences in the level of toxic matter present in the stormwater runoff, which can inhibit the growth of microorganisms. For the stormwater from the paved road in particular, high levels of heavy metals pose a potential risk to aquatic microorganisms due to their toxicity [15]. Figure 4 shows the relationship between the selected metals (Cu, Zn, Ni, Cd, Cr and Pb) and total COD concentrations during 2013 and 2014. It was found that the concentrations of heavy metals increased as COD concentration increased, especially during 2013.
Figure 3.
Relationship between total chemical oxygen demand (COD) and biochemical oxygen demand (BOD5) in stormwater: (a) data for 2013; (b) data for 2014.
Figure 4.
Relationship between total COD and selected heavy metals in stormwater: (a) copper; (b) zinc; (c) chromium; (d) nickel; (e) cadmium; (f) lead.
Typically, half-maximal effective concentration (EC50) is used to determine the concentration of a compound which can exhibit a response to 50% of the microorganism population. Comparing the 2013 and 2014 EC50 data, it was observed that most of the selected metals had higher concentrations in 2013 than those in 2014 (Table 2). In particular, zinc, cadmium and lead were likely to exceed the EC50 value in some cases. This means that the stormwater in 2013 might have a higher toxicity because of the higher level of heavy metals (Zn, Cd and Pb). Therefore, as the COD concentration exceeded a specific value, the excessive level of heavy metals provided a potential effect on the growth of microorganisms, resulting in a decrease of BOD5 (2013 data). This result also suggests that the obtained relationship of the BOD5 and COD could be used as an alternative indicator for stormwater toxicity. Additionally, the higher level of metals in 2013 than that of 2014 might be ascribed to the relatively higher amount of wet deposition, resulting from different precipitation in 2013 (1518 mm) and 2014 (945 mm).
Table 2.
Comparison of metals concentrations (μg/L) in stormwater between 2013 and 2014, together with the EC50 value determined by Vibro fisheri (A, 22 h; B, 30 min; G, Gueguen et al. [16]; H, Hsieha et al. [17]).
3.3. Effect of Number of Dry Days on the Washed-Off Particles
Normally it would be expected that the amount of solids deposited over the paved road increases as the dry period persists [18]. This means that the mass of solids resulted from the rainfalls was directly proportional to the number of antecedent dry days. Hence, the build-up of solids during dry days can be modeled as a power function given as below:
where ADD (day) is number of dry days, a, b are empirical model parameters.
During the last few decades, numerous empirical functions of the pollutant washed-off from impervious pavement were proposed, and are now typically expressed in terms of a first-order removal process. Among them, the simplest and most widely used empirical model proposed by Sartor et al. [19] is based on rainfall intensity and duration.
In the model, W (g) is the wash-off load, W0 (g) is the initial mass of solids on the catchment surface, k (mm−1) is the wash-off coefficient, I (mm/h) is the rainfall intensity, and t (h) represents the duration of rainfall. If W0 which represents amount of solids deposited before rainfall starts is proportional to the build-up (B) in Equation (1), Equation (2) can be approximated as Equation (3).
In this study, it was found that the washed-off load of TSS was significantly correlated with incremental antecedent dry weather periods (Figure 5), suggesting that ADDs could be one of the affecting factors in the wash-off process.
Figure 5.
Effect of antecedent dry days on washed-off total suspended solid (TSS).
To determine the potential effect of ADDs on the wash-off process, Equation (3) was employed for modelling. Both the calculated and observed masses of washed-off solids were plotted in Figure 6.
Figure 6.
Comparison between observed and calculated washed-off TSS.
The empirical model exerted a great influence on modelling washed-off load. This confirms that scoured solids from rainstorms are not only determined by specific rainfall variables (rainfall intensity and duration), but are strongly related to the accumulation time.
It is noteworthy that the results were not consistent with previous findings stating that the pollutant wash-off has a great impact on pollutant load present in runoff, while pollutant build-up has only a minor effect [8,20,21,22]. The possible reason for these different observations could be related to the specific size of accumulated solids.
In this study, the particle size distribution (PSD) of runoff was investigated for the independent rainfall events and the results are given in Figure 7. According to Figure 7, it is evident that fine particles smaller than 30 μm are mostly predominant in the runoff, regardless of the number of dry days, while their density tends to increase when the length of the dry weather period increases. However, it should be mentioned that the highest number of particles was not found when the dry weather period over 17 days, indicating that longer dry days may provide more opportunity for some of the accumulated particles from road surface to be removed [8].
Figure 7.
Particle size distribution with respect to different antecedent dry days.
To determine the relationship between the number of dry days and particle density, total particle count was plotted with respect to the duration of the dry weather period. As exhibited in Figure 8, it was clearly observed that the density of washed-off particles is positively related with the dry day span.
Figure 8.
Effect of antecedent dry days on density of washed-off particles.
This observation was confirmed by the increment of WTSS in terms of increasing period of dry weather as provided in Figure 5. Generally, the enhanced TSS concentration was significantly correlated with the particle density increase. The high density of the particles was accounted for, as substantial suspended solids appeared in the stormwater. Therefore, the WTSS increased as the number of particle increased over increasing dryness. This outcome revealed that the relationship between density of washed-off particulate and ADDs is closely related with the deposition of dust and dirt on road surface.
Unlike the linear increase of WTSS, the particle density showed a trend approaching equilibrium during increasing dry days. Over the accumulation process, wind and traffic-induced air turbulence constantly moved particulates away from the pavement [11]. The fine particle fraction was readily removed, and replaced by other shifted particles. Therefore, a dynamic equilibrium of deposited particles occurred after a certain period.
The redistribution effect was more significant for finer particles than coarser ones. Among the range of predominant particles (<30 μm), the finer particle fraction contributed a larger proportion of particle number, whereas the relative coarser fraction mostly affected the amount of suspended solids. Therefore, particle density was positively related with ADD until it reached equilibrium. Regardless of the different trends, these outcomes implied that the particles washed-off after a specific storm event can be greatly influenced by initially accumulated particulates at the end of dry weather periods.
The fine particles (<30 μm) accounted for more than 90% of the total washed off particulates. Hence, these fine particles prominently influence the amount of accumulated solids from road surface during increasing antecedent dryness. During the rainfall, less energy is needed for suspending and mobilizing fine-sized accumulated solids from pavement. The W0 parameter depends on the ADDs and thereby is the limiting factor of the wash-off process. As a result, the mass of washed-off particles over the duration of storm event can be closely determined by the length of antecedent dry weather period in this study site.
The predominant fraction of road-deposited solids is a complex problem that relates to various environmental factors in different areas. Vaze and Chiew [8] found that particles less than 300 μm were predominant in their place of study; Egodawatta and Goonetilleke [20] noted that particles finer than 100 μm had the largest fraction on studied pavements, and Wijesiri et al. [22] studied that the greatest wash-off load was composed mainly of particle size fractions less than 150 μm. Among these studies, the predominant particles were relatively coarser than those of the present study. Even though the particulate build-up pattern in each study followed a similar trend, the transport and mobilization of coarser particles was mainly controlled by the splashing effect of rain drops, and the shearing force of flows. Therefore, rainfall intensity and duration were defined as the influencing factors in those studies.
3.4. Effect of Number of Dry Days on the Amount of Wash-Off Pollutants
Pollutants associated with deposited solids from paved road have been identified in numerous studies. Furthermore, pollutant affinity for particles is significantly correlated with different particle size ranges. Typically, a considerable amount of pollutants have a tendency to combine with fine-sized particulate, due to their larger superficial area.
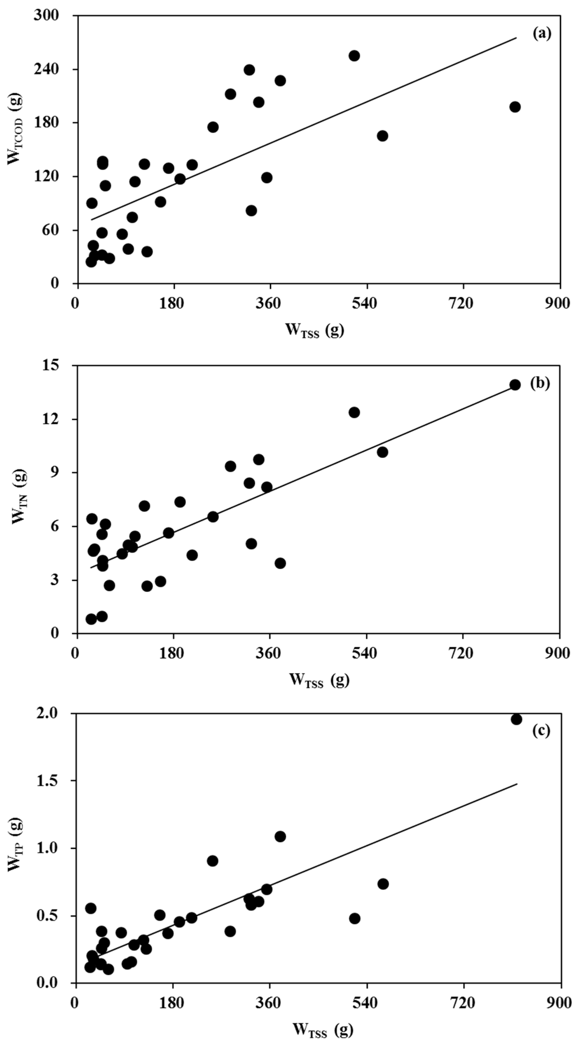
As shown in Figure 9, the mass of TCOD, TN and TP were proportionally related with the amount of TSS in stormwater. The good correlation between selected pollutants and suspended solids was due to the predominantly fine-sized particles occurring on the road surface. As mentioned earlier, the mass of washed-off solids greatly depended on the duration of antecedent dry weather periods. Therefore, the wash-off of particle-related pollutants is also expected to be subject to the ADDs effect.
Figure 9.
Relationship between TSS load and selected pollutant load: (a) total chemical oxygen demand (TCOD); (b) total nitrogen (TN); (c) total phosphorus (TP).
In order to verify our hypothesis, the rainfall conditions (ADDs, rainfall duration and intensity) corresponding to the 30 rainfall events were substituted into Equation (3). The comparison between calculated values of pollutant load and observed load are provided in Figure 10 to evaluate the calculation accuracy of the empirical model. The Figure showed a good performance on estimating the mass of washed-off pollutant, revealing that ADDs is an influential factor for pollutant washed-off. It was observed that TP gave fine regressions (R2 = 0.71). The index of ADDs gave an obviously higher wash-off coefficient, suggesting that the wash-off of phosphorus was mainly controlled by the antecedent dry period.
Figure 10.
Comparison between observed and calculated washed-off loads of selected pollutants. (a) TCOD; (b) TN; (c) TP.
Typically, phosphate is the most dominant form of phosphorus in deposited particulates originating from paved-roads, and mainly combines with fine particles [18]. Unlike other ion species (e.g., nitrate, nitrite), PO43− ions are only slightly mobile and cannot be readily leached out from the associated solids [11]. Thus, rainfall characteristics have less of an influence on phosphorus transport. Fine-sized particulates were significantly correlated with ADDs, thereby being regarded as the most influential factor for washed-off phosphorus in this study.
Relatively weak relationships between calculated and observed values were found in TN and COD (R2 = 0.30, 0.35). In addition, it was observed that the wash-off coefficients are slightly higher than the index of ADDs among the models. The results in organic matter and nitrogen are not consistent with that of phosphorus, relating with the different characteristics of these pollutants.
In the current study, organic nitrogen occupied 64% of total nitrogen, which plays a role as the predominant nitrogen species in the study site. As such, pollutants with high organic matter content on the road pavement can be greatly influenced by photo-oxidation, volatilization and natural decay with exposure to sunlight [23]. Therefore, increased ADDs may provide an opportunity to decrease some pollutants.
After the storm ceases, the road surface can still be wet, allowing some pollutants to accumulate on the pavement. Hence, substantial pollutants can closely adhere on the road during the paved surface’s drying period. During the wash-off process, stormwater flows across the road surface and wets fixed solids, thereby causing solubilization and desorption of some constituents from the particulate and the pavement. Furthermore, organics and nitrogen have more complicated components and transposition mechanisms [24]. The enhanced intensity and longer duration of rainstorms results in increasing runoff volume, providing more chances and possibilities to transform them from solid form to other forms [13,22]. Therefore, this variability in the build-up and wash-off process results in relatively poor modelling performance.
4. Conclusions
In this study, the EMCs of selected pollutants were strongly correlated to rainfall conditions, while different rainfall conditions affected different pollutants. However, the EMC of TN was not related to any rainfall conditions, due to its variable forms.
For stormwater on the paved road, the higher concentration of heavy metals could be toxic to microorganisms, resulting in a decrease in BOD5 concentration with increasing total COD concentration.
In addition, the increased ADDs resulted in a significant effect on the particle wash-off from the paved road. This was due to the predominance of the <30 μm particle size range in suspended solids being greatly affected by the length of the antecedent dry weather period. Therefore, the available particle load after dry days became an influential factor for wash-off process.
Moreover, the washed-off loads of particle-related pollutants was also subject to the ADDs effect, due to the close interaction between pollutants and predominant particles (<30 μm). However, the effect of ADDs on organic matter and nitrogen masses was not as strong as that of phosphorus, due to the decline of some pollutants by photo-oxidation, volatilization and natural decay, as well as desorption from solids during rainfall.
Even though the effect of rainfall conditions on stormwater runoff quality can be different from site to site, these site-specific relationships are essential for stormwater management facility monitoring and design.
Author Contributions
Qingke Yuan and Heidi B. Guerra performed the stormwater runoff monitoring; Qingke Yuan analyzed the data; Qingke Yuan and Youngchul Kim wrote the paper.
Conflicts of Interest
The authors declare no conflict of interest.
References
- Brabec, E.; Schulte, S.; Richards, P.L. Impervious surfaces and water quality: A review of current literature and its implications for watershed planning. J. Plan. Lit. 2002, 16, 499–514. [Google Scholar] [CrossRef]
- Brezonik, P.L.; Stadelmann, T.H. Analysis and Predictive Models of Stormwater Runoff Volumes, Loads, and Pollutant Concentrations from Watersheds in the Twin Cities Metropolitan Area, Minnesota, USA. Water Res. 2002, 36, 1743–1757. [Google Scholar] [CrossRef]
- Todeschini, S. Hydrologic and Environmental Impacts of Imperviousness in an Industrial Catchment of Northern Italy. J. Hydrol. Eng. 2016, 21, 05016013. [Google Scholar] [CrossRef]
- Shaw, S.B.; Walter, M.T.; Steenhuis, T.S. A physical model of particulate wash-off from rough impervious surfaces. J. Hydrol. 2006, 327, 618–626. [Google Scholar] [CrossRef]
- Bian, B.; Zhu, W. Particle size distribution and pollutants in road-deposited sediments in different areas of Zhenjiang, China. Environ. Geochem. Health 2009, 31, 511–520. [Google Scholar] [CrossRef] [PubMed]
- Zhao, H.T.; Li, X.Y. Understanding the relationship between heavy metals in road-deposited sediments and washoff particles in urban stormwater using simulated rainfall. J. Hazard. Mater. 2013, 246–247, 267–276. [Google Scholar] [CrossRef] [PubMed]
- Lee, J.Y.; Kim, H.J.; Kim, Y.J.; Han, M.Y. Characteristics of the event mean concentration (EMC) from rainfall runoff on an urban highway. Environ. Pollut. 2011, 159, 884–888. [Google Scholar] [CrossRef] [PubMed]
- Vaze, J.; Chiew, F.H.S. Experimental study of pollutant accumulation on an urban road surface. Urban Water 2002, 4, 379–389. [Google Scholar] [CrossRef]
- Yu, J.H.; Kim, Y.; Kim, Y. Removal of non-point pollutants from bridge runoff by a hydrocyclone using natural water head. Front. Environ. Sci. Eng. 2013, 7, 886–895. [Google Scholar] [CrossRef]
- American Public Health Association (APHA); American Water Works Association (AWWA); Water Environment Federation (WEF). Standard Methods for the Examination of Water and Wastewater, 21st ed.; APHA/AWWA/WEF: Washington, DC, USA, 2005. [Google Scholar]
- Novotny, V.; Olem, H. Water Quality: Prevention, Identification, and Management of Diffuse Pollution; Van Nostrand Reinhold: New York, NY, USA, 1994; pp. 439–500. [Google Scholar]
- Rashid, A.T.; Robert, E.H. The atmospheric deposition of phosphorus in Lake Victoria (East Africa). Biogeochemistry 2005, 73, 325–344. [Google Scholar]
- Murphy, L.U.; Cochrane, T.A.; O’Sullivian, A. Build-up and wash-off dynamics of the atmospherically derived Cu, Pb, Zn and TSS in stormwater runoff as a function of meteorological characteristics. Sci. Total Environ. 2015, 508, 206–213. [Google Scholar] [CrossRef] [PubMed]
- Allen, P.D.; Richard, H.M. Stormwater Management for Smart Growth; Springer Science + Business Media, Inc.: New York, NY, USA, 2005; pp. 23–24. [Google Scholar]
- Kayhanian, M.; Stransky, C.; Bay, S.; Lau, S.L.; Stenstrom, M.K. Toxicity of urban highway runoff with respect to storm duration. Sci. Total Environ. 2008, 389, 386–406. [Google Scholar] [CrossRef] [PubMed]
- Guéguen, C.; Gilbin, R.; Pardos, M.; Dominik, J. Water toxicity and metal contamination assessment of a polluted river: The Upper Vistula River (Poland). Appl. Geochem. 2004, 19, 153–162. [Google Scholar] [CrossRef]
- Hsieha, C.Y.; Tsaib, M.H.; Ryanc, D.K.; Pancorbo, O.C. Toxicity of the 13 priority pollutant metals to Vibrio fischeri in the Microtox chronic toxicity test. Sci. Total Environ. 2004, 320, 37–50. [Google Scholar] [CrossRef]
- Sartor, J.D.; Boyd, G.B. Water Pollution Aspects of Street Surface Contaminants; US EPA REP. NO. R2-72-081; EPA: Washington, DC, USA, 1972.
- Sartor, J.D.; Boyd, G.B.; Agardy, F.J. Water pollution aspects of street surface contaminants. J. Water Pollut. Control Fed. 1974, 46, 458–467. [Google Scholar] [PubMed]
- Egodawatta, P.; Goonetilleke, A. Characteristic of pollutant build-up on residential road surfaces. In Proceedings of the 7th Interational Conference on Hydroscience and Engineering, Philadelphia, PA, USA, 10–13 September 2006. [Google Scholar]
- Vaze, J.; Chiew, F.H.S. Study of pollutant washoff from small impervious experimental plots. Water Resour. Res. 2003, 39, 1160. [Google Scholar] [CrossRef]
- Wijesiri, B.; Egodawatta, P.; McGree, J.; Goonetilleke, A. Influence of pollutant build-up on variability in wash-off from urban road surfaces. Sci. Total Environ. 2015, 527–528, 344–350. [Google Scholar] [CrossRef] [PubMed]
- Li, M.H.; Barrett, M.E. Relationship between antecedent dry period and highway pollutant: Conceptual models of build-up and removal processes. Water Environ. Res. 2008, 80, 740–747. [Google Scholar] [CrossRef] [PubMed]
- Wijesiri, B.; Egodawatta, P.; McGree, J.; Goonetilleke, A. Understanding the uncertainty associated with particle-bound pollutant build-up and wash-off: A critical review. Water Res. 2016, 101, 582–596. [Google Scholar] [CrossRef] [PubMed]
© 2017 by the authors. Licensee MDPI, Basel, Switzerland. This article is an open access article distributed under the terms and conditions of the Creative Commons Attribution (CC BY) license (http://creativecommons.org/licenses/by/4.0/).









