Land–Atmosphere Exchange of Water and Heat in the Arid Mountainous Grasslands of Central Asia during the Growing Season
Abstract
1. Introduction
2. Study Materials and Methods
2.1. Study Area
2.2. Data
2.3. Methods
3. Results
3.1. Energy Partitioning in the Growing Season
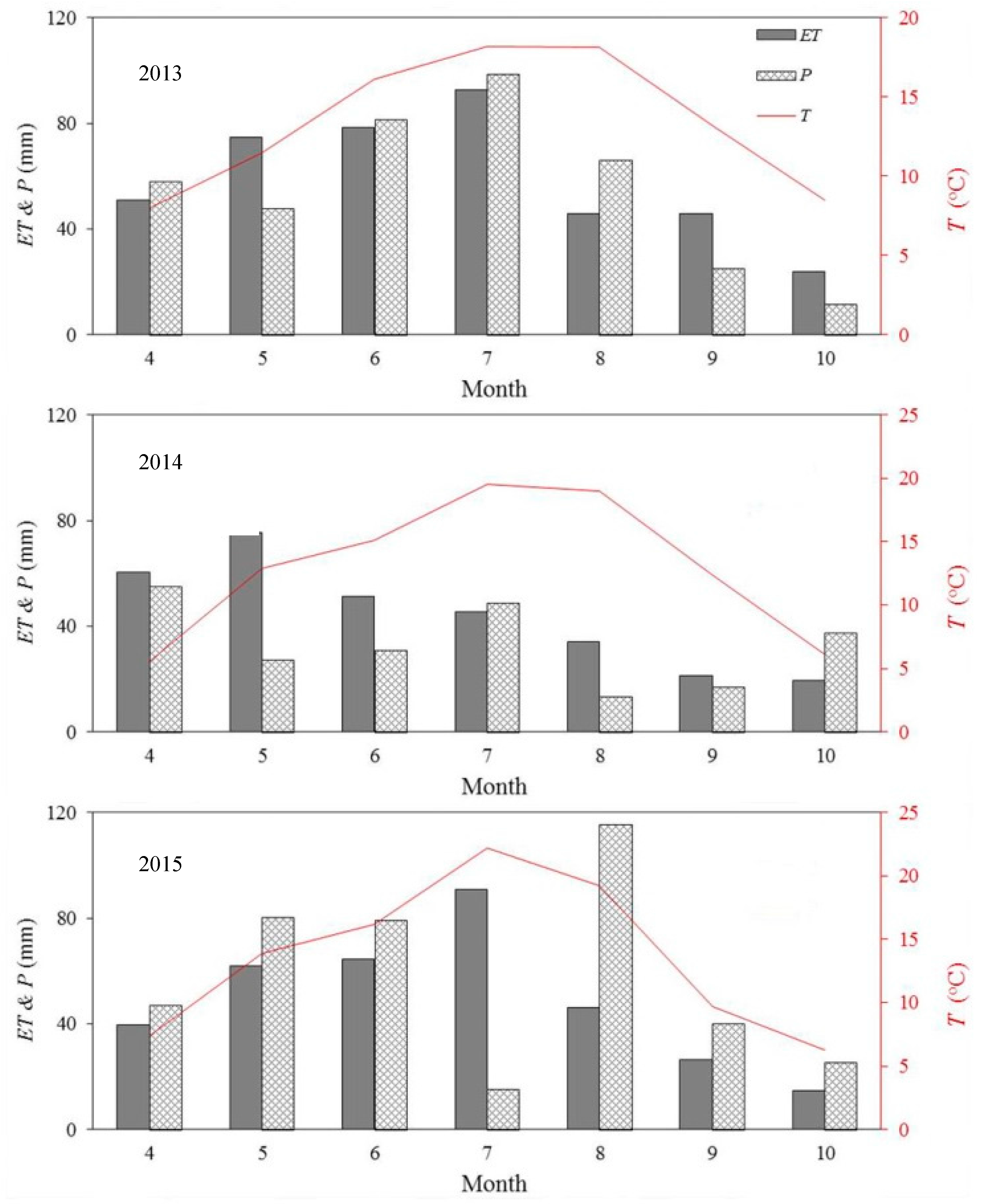
3.2. Land–Atmosphere Water Exchange in the Growing Season
4. Discussion
4.1. Land–Atmosphere Heat Exchange
4.2. Land–Atmosphere Water Exchange
4.3. Comparison with Relevant Studies
5. Conclusions
Acknowledgments
Author Contributions
Conflicts of Interest
References
- Gusev, Y.M.; Nasonova, O.N. The simulation of heat and water exchange at the land-atmosphere interface for the boreal grassland by the land-surface model swap. Hydrol. Process. 2002, 16, 1893–1919. [Google Scholar] [CrossRef]
- Guo, D.L.; Yang, M.X.; Wang, H.J. Characteristics of land surface heat and water exchange under different soil freeze/thaw conditions over the central tibetan plateau. Hydrol. Process. 2011, 25, 2531–2541. [Google Scholar] [CrossRef]
- Ren, R.; Ma, J.; Cheng, Q.; Zheng, L.; Guo, X.; Sun, X. Modeling coupled water and heat transport in the root zone of winter wheat under non-isothermal conditions. Water 2017, 9. [Google Scholar] [CrossRef]
- Yan, H.M.; Zhan, J.Y.; Jiang, Q.O.; Yuan, Y.W.; Li, Z.H. Multilevel modeling of npp change and impacts of water resources in the lower heihe river basin. Phys. Chem. Earth 2015, 79–82, 29–39. [Google Scholar] [CrossRef]
- Vicente-Serrano, S.M.; Camarero, J.J.; Zabalza, J.; Sanguesa-Barreda, G.; Lopez-Moreno, J.I.; Tague, C.L. Evapotranspiration deficit controls net primary production and growth of silver fir: Implications for circum-mediterranean forests under forecasted warmer and drier conditions. Agric. For. Meteorol. 2015, 206, 45–54. [Google Scholar] [CrossRef]
- Fusi, M.; Cannicci, S.; Daffonchio, D.; Mostert, B.; Poertner, H.-O.; Giomi, F. The trade-off between heat tolerance and metabolic cost drives the bimodal life strategy at the air-water interface. Sci. Rep. 2016, 6, 19158. [Google Scholar] [CrossRef] [PubMed]
- Pielke, R.A.; Avissar, R.; Raupach, M.; Dolman, A.J.; Zeng, X.B.; Denning, A.S. Interactions between the atmosphere and terrestrial ecosystems: Influence on weather and climate. Glob. Chang. Biol. 1998, 4, 461–475. [Google Scholar] [CrossRef]
- Wang, G.Y.; Huang, J.P.; Guo, W.D.; Zuo, J.Q.; Wang, J.M.; Bi, J.R.; Huang, Z.W.; Shi, J.S. Observation analysis of land-atmosphere interactions over the loess plateau of northwest china. J. Geophys. Res. 2010, 115. [Google Scholar] [CrossRef]
- Zhao, Y.; Si, B.; He, H.; Xu, J.; Peth, S.; Horn, R. Modeling of coupled water and heat transfer in freezing and thawing soils, inner mongolia. Water 2016, 8. [Google Scholar] [CrossRef]
- Stiegler, C.; Lund, M.; Christensen, T.R.; Mastepanov, M.; Lindroth, A. Two years with extreme and little snowfall: Effects on energy partitioning and surface energy exchange in a high-arctic tundra ecosystem. Cryosphere 2016, 10, 1395–1413. [Google Scholar] [CrossRef]
- Bruemmer, C.; Black, T.A.; Jassal, R.S.; Grant, N.J.; Spittlehouse, D.L.; Chen, B.; Nesic, Z.; Amiro, B.D.; Arain, M.A.; Barr, A.G.; et al. How climate and vegetation type influence evapotranspiration and water use efficiency in Canadian forest, peatland and grassland ecosystems. Agric. For. Meteorol. 2012, 153, 14–30. [Google Scholar] [CrossRef]
- Hou, J.T.; Jia, G.S.; Zhao, T.B.; Wang, H.S.; Tang, B.H. Satellite-based estimation of daily average net radiation under clear-sky conditions. Adv. Atmos. Sci. 2014, 31, 705–720. [Google Scholar] [CrossRef]
- Mercado, L.M.; Bellouin, N.; Sitch, S.; Boucher, O.; Huntingford, C.; Wild, M.; Cox, P.M. Impact of changes in diffuse radiation on the global land carbon sink. Nature 2009, 458, 1014–1017. [Google Scholar] [CrossRef] [PubMed]
- Gu, L.H.; Baldocchi, D.; Verma, S.B.; Black, T.A.; Vesala, T.; Falge, E.M.; Dowty, P.R. Advantages of diffuse radiation for terrestrial ecosystem productivity. J. Geophys. Res. 2002, 107. [Google Scholar] [CrossRef]
- Liu, H.; Zang, R.G.; Chen, H.Y.H. Effects of grazing on photosynthetic features and soil respiration of rangelands in the tianshan mountains of northwest china. Sci. Rep. 2016, 6, 30087. [Google Scholar] [CrossRef] [PubMed]
- Mueller, K.E.; Blumenthal, D.M.; Pendall, E.; Carrillo, Y.; Dijkstra, F.A.; Williams, D.G.; Follett, R.F.; Morgan, J.A. Impacts of warming and elevated CO2 on a semi-arid grassland are non-additive, shift with precipitation, and reverse over time. Ecol. Lett. 2016, 19, 956–966. [Google Scholar] [CrossRef] [PubMed]
- Ma, N.; Zhang, Y.S.; Guo, Y.H.; Gao, H.F.; Zhang, H.B.; Wang, Y.F. Environmental and biophysical controls on the evapotranspiration over the highest alpine steppe. J. Hydrol. 2015, 529, 980–992. [Google Scholar] [CrossRef]
- Yan, R.; Xiong, H.; Zhang, F.; Feng, Z.; Qu, X. Relationship between evapotranspiration and multi-environmental factors of achnatherum splendens grassland’s spac system in oasis-desert ecotone. Arid Land Geogr. 2013, 36, 889–896. [Google Scholar]
- Wang, K.; Dickinson, R.E. A review of global terrestrial evapotranspiration: Observation, modeling, climatology, and climatic variability. Rev. Geophys. 2012, 50. [Google Scholar] [CrossRef]
- Dorigo, W.A.; Zurita-Milla, R.; de Wit, A.J.W.; Brazile, J.; Singh, R.; Schaepman, M.E. A review on reflective remote sensing and data assimilation techniques for enhanced agroecosystem modeling. Int. J. Appl. Earth Obs. 2007, 9, 165–193. [Google Scholar] [CrossRef]
- Sandor, R.; Barcza, Z.; Hidy, D.; Lellei-Kovacs, E.; Ma, S.; Bellocchi, G. Modelling of grassland fluxes in europe: Evaluation of two biogeochemical models. Agric. Ecosyst. Environ. 2016, 215, 1–19. [Google Scholar] [CrossRef]
- Sun, Y.; Piao, S.L.; Huang, M.T.; Ciais, P.; Zeng, Z.Z.; Cheng, L.; Li, X.R.; Zhang, X.P.; Mao, J.F.; Peng, S.S.; et al. Global patterns and climate drivers of water-use efficiency in terrestrial ecosystems deduced from satellite-based datasets and carbon cycle models. Glob. Ecol. Biogeogr. 2016, 25, 311–323. [Google Scholar] [CrossRef]
- Nouri, H.; Glenn, E.P.; Beecham, S.; Boroujeni, S.C.; Sutton, P.; Alaghmand, S.; Noori, B.; Nagler, P. Comparing three approaches of evapotranspiration estimation in mixed urban vegetation: Field-based, remote sensing-based and observational-based methods. Remote Sens. 2016, 8. [Google Scholar] [CrossRef]
- Eichelmann, E.; Wagner-Riddle, C.; Warland, J.; Deen, B.; Voroney, P. Evapotranspiration, water use efficiency, and energy partitioning of a mature switchgrass stand. Agric. For. Meteorol. 2016, 217, 108–119. [Google Scholar] [CrossRef]
- Liu, C.; Xu, P.; An, S. Study on the growing rhymes of plants of grassland in northern slope of Tianshan mountain. Chin. J. Grassl. 2006, 28, 18–21. [Google Scholar]
- Luo, G.; Han, Q.; Zhou, D.; Li, L.; Chen, X.; Li, Y.; Hu, Y.; Li, B.L. Moderate grazing can promote aboveground primary production of grassland under water stress. Ecol. Complex 2012, 11, 126–136. [Google Scholar] [CrossRef]
- Poznikova, G.; Trnka, M.; Fischer, M.; Orsag, M.; Zalud, Z. Applicability of bowen ratio energy balance method in fetch limited conditions. Mendelnet 2012, 2012, 493–503. [Google Scholar]
- Unlu, M.; Kanber, R.; Kapur, B. Comparison of soybean evapotranspirations measured by weighing lysimeter and bowen ratio-energy balance methods. Afr. J. Biotechnol. 2010, 9, 4700–4713. [Google Scholar]
- Hu, S.; Zhao, C.; Li, J.; Wang, F.; Chen, Y. Discussion and reassessment of the method used for accepting or rejecting data observed by a bowen ratio system. Hydrol. Process. 2014, 28, 4506–4510. [Google Scholar] [CrossRef]
- Benor, M.; Levy, G.J.; Mishael, Y.; Nadler, A. Salinity effects on the fieldscout tdr 300 soil moisture meter readings. Soil Sci. Soc. Am. J. 2013, 77, 412–416. [Google Scholar] [CrossRef]
- Zhang, X.F.; Zhao, J.P.; Sun, Q.A.; Wang, X.Y.; Guo, Y.L.; Li, J. Soil moisture retrieval from amsr-e data in Xinjiang (China): Models and validation. IEEE J. Stars 2011, 4, 117–127. [Google Scholar] [CrossRef]
- Meyers, T.P.; Hollinger, S.E. An assessment of storage terms in the surface energy balance of maize and soybean. Agric. For. Meteorol. 2004, 125, 105–115. [Google Scholar] [CrossRef]
- Gavilan, P.; Berengena, J. Accuracy of the bowen ratio-energy balance method for measuring latent heat flux in a semiarid advective environment. Irrig. Sci. 2007, 25, 127–140. [Google Scholar] [CrossRef]
- Todd, R.W.; Evett, S.R.; Howell, T.A. The bowen ratio-energy balance method for estimating latent heat flux of irrigated alfalfa evaluated in a semi-arid, advective environment. Agric. For. Meteorol. 2000, 103, 335–348. [Google Scholar] [CrossRef]
- Dicken, U.; Cohen, S.; Tanny, J. Examination of the bowen ratio energy balance technique for evapotranspiration estimates in screenhouses. Biosyst. Eng. 2013, 114, 397–405. [Google Scholar] [CrossRef]
- Zhang, S.Y.; Li, X.Y.; Zhao, G.Q.; Huang, Y.M. Surface energy fluxes and controls of evapotranspiration in three alpine ecosystems of Qinghai lake watershed, ne Qinghai-Tibet plateau. Ecohydrology 2016, 9, 267–279. [Google Scholar] [CrossRef]
- Gallagher, T.M.; Sheldon, N.D. Combining soil water balance and clumped isotopes to understand the nature and timing of pedogenic carbonate formation. Chem. Geol. 2016, 435, 79–91. [Google Scholar] [CrossRef]
- Wang, X.; Pedram, S.; Liu, T.; Gao, R.; Li, F.; Luo, Y. Estimated grass grazing removal rate in a semiarid eurasian steppe watershed as influenced by climate. Water 2016, 8, 339. [Google Scholar] [CrossRef]
- Huang, X.; Luo, G.; Lv, N. Spatio-temporal patterns of grassland evapotranspiration and water use efficiency in arid areas. Ecol. Res. 2017, 32, 523–535. [Google Scholar] [CrossRef]
- Trepekli, A.; Loupa, G.; Rapsomanikis, S. Seasonal evapotranspiration, energy fluxes and turbulence variance characteristics of a mediterranean coastal grassland. Agric. For. Meteorol. 2016, 226, 13–27. [Google Scholar] [CrossRef]
- Pei, T.; Wu, X.; Li, X.; Zhang, Y.; Shi, F.; Ma, Y.; Wang, P.; Zhang, C. Seasonal divergence in the sensitivity of evapotranspiration to climate and vegetation growth in the yellow river basin, china. J. Geophys. Res. 2017, 122, 103–118. [Google Scholar] [CrossRef]
- Stone, E.C. The ecological importance of dew. Q. Rev. Biol. 1963, 38, 328–341. [Google Scholar] [CrossRef]
- Li, X.Y. Effects of gravel and sand mulches on dew deposition in the semiarid region of china. J. Hydrol. 2002, 260, 151–160. [Google Scholar] [CrossRef]
- Arora, V.K.; Chiew, F.H.S.; Grayson, R.B. Effect of sub-grid-scale variability of soil moisture and precipitation intensity on surface runoff and streamflow. J. Geophys. Res. 2001, 106, 17073–17091. [Google Scholar] [CrossRef]
- Lu, X.; Liang, L.L.; Wang, L.; Jenerette, G.D.; McCabe, M.F.; Grantz, D.A. Partitioning of evapotranspiration using a stable isotope technique in an arid and high temperature agricultural production system. Agric. Water Manag. 2017, 179, 103–109. [Google Scholar] [CrossRef]
- Villarreal, S.; Vargas, R.; Yepez, E.A.; Acosta, J.S.; Castro, A.; Escoto-Rodriguez, M.; Lopez, E.; Martinez-Osuna, J.; Rodriguez, J.C.; Smith, S.V.; et al. Contrasting precipitation seasonality influences evapotranspiration dynamics in water-limited shrublands. J. Geophys. Res. 2016, 121, 494–508. [Google Scholar] [CrossRef]
- Yin, R.; Wu, Y.; Zhang, X.; Ha, S.; Tian, X.; Li, Z.; Wang, J.; Miao, H.; Ren, J. Effects of biological crusts on dew deposition and evaporation in the southern edge of the mu us sandy land, northern china. Acta Ecol. Sin. 2013, 33, 6173–6180. [Google Scholar]
- Zhang, Q.; Wang, S.; Yang, F.-L.; Yue, P.; Yao, T.; Wang, W.-Y. Characteristics of dew formation and distribution, and its contribution to the surface water budget in a semi-arid region in china. Bound. Layer Meteorol. 2015, 154, 317–331. [Google Scholar] [CrossRef]
- Heusinkveld, B.G.; Berkowicz, S.M.; Jacobs, A.F.G.; Holtslag, A.A.M.; Hillen, W.C.A.M. An automated microlysimeter to study dew formation and evaporation in arid and semiarid regions. J. Hydrometeorol. 2006, 7, 825–832. [Google Scholar] [CrossRef]
- Han, Q.; Luo, G.; Li, C.; Shakir, A.; Wu, M.; Saidov, A. Simulated grazing effects on carbon emission in central asia. Agric. For. Meteorol. 2016, 216, 203–214. [Google Scholar] [CrossRef]
- Jia, C.; Zhi-hua, S.H.I.; Lu, L.I.; Xuan, L.U.O. Effects of soil thickness on spatiotemporal pattern of soil moisture in catchment level. J. Appl. Ecol. 2009, 20, 1565–1570. [Google Scholar]
- Xu, G.B.; Liu, X.H.; Wu, G.J.; Chen, T.; Wang, W.Z.; Zhang, Q.; Zhang, Y.F.; Zeng, X.M.; Qin, D.H.; Sun, W.Z.; et al. Tree ring o-18’s indication of a shift to a wetter climate since the 1880s in the western Tianshan mountains of northwestern China. J. Geophys. Res. 2015, 120, 6409–6425. [Google Scholar]
- Klinge, M.; Bohner, J.; Erasmi, S. Modeling forest lines and forest distribution patterns with remote-sensing data in a mountainous region of semiarid central Asia. Biogeosciences 2015, 12, 2893–2905. [Google Scholar] [CrossRef]
- Cao, X.M.; Bao, A.M.; Chen, X.; Xia, Y. Land surface temperature in response to land use/cover change based on remote sensing data in Sangong river. In Remote Sensing and Modeling of Ecosystems for Sustainability V; Gao, W., Wang, H., Eds.; SPIE: Bellingham, WA, USA, 2008; Volume 7083. [Google Scholar]
- Wang, Y.; Jing, C.; Bai, J.; Li, L.; Chen, X.; Luo, G. Characteristics of water and carbon fluxes during growing season in three typical arid ecosystems in central Asia. Chin. J. Plant Ecol. 2014, 38, 795–808. [Google Scholar]
- Yan, R.; Xiong, H.; Zhang, F. The evapotranspiration and energy budget of an achnatherum splendens grassland in the oasis-desert ecotone in Xinjiang, China, during summer and autumn. J. Desert Res. 2013, 33, 133–140. [Google Scholar]






| Year | Season | Spring | Summer | Autumn | Total | |||||||
|---|---|---|---|---|---|---|---|---|---|---|---|---|
| Month | 4 | 5 | Total | 6 | 7 | 8 | Total | 9 | 10 | Total | ||
| 2013 | Q (mm) | 6.3 | 8.6 | 14.9 | 4.8 | 7.0 | 5.0 | 16.8 | 3.2 | 2.9 | 6.1 | 37.8 |
| P (mm) | 58.0 | 47.6 | 105.6 | 81.4 | 98.6 | 66.0 | 246 | 25.2 | 11.6 | 36.8 | 388.4 | |
| Q/P (%) | 10.9 | 18.1 | 14.1 | 5.9 | 7.1 | 7.6 | 6.8 | 12.7 | 25.0 | 16.6 | 9.7 | |
| 2014 | Q (mm) | 10.0 | 9.0 | 19.0 | 5.2 | 6.5 | 2.4 | 8.9 | 6.0 | 4.5 | 10.5 | 38.4 |
| P (mm) | 55.2 | 27.2 | 82.4 | 26.3 | 31.8 | 9.4 | 67.5 | 17.0 | 37.4 | 54.4 | 204.3 | |
| Q/P (%) | 18.1 | 33.1 | 23.1 | 19.8 | 20.4 | 25.5 | 13.2 | 35.3 | 12.0 | 19.3 | 18.8 | |
| 2015 | Q (mm) | 7.0 | 13.0 | 20.0 | 3.8 | 17.6 | 17.0 | 38.4 | 3.2 | 6.1 | 9.3 | 67.7 |
| P (mm) | 47.2 | 80.2 | 127.4 | 79.2 | 15.2 | 115.4 | 209.8 | 40.0 | 25.6 | 65.6 | 402.8 | |
| Q/P (%) | 14.8 | 16.2 | 15.7 | 4.8 | 115.8 | 14.7 | 18.3 | 8.0 | 23.8 | 14.2 | 16.8 | |
| Times | Month | ||||||
|---|---|---|---|---|---|---|---|
| 4 | 5 | 6 | 7 | 8 | 9 | 10 | |
| 2013 | 24 | 24 | 10 | 20 | 23 | 23 | 22 |
| 2014 | 21 | 23 | 23 | 16 | 19 | 15 | 21 |
| 2015 | 23 | 22 | 24 | 22 | 21 | 20 | 13 |
© 2017 by the authors. Licensee MDPI, Basel, Switzerland. This article is an open access article distributed under the terms and conditions of the Creative Commons Attribution (CC BY) license (http://creativecommons.org/licenses/by/4.0/).
Share and Cite
Huang, X.; Luo, G.; Wang, X. Land–Atmosphere Exchange of Water and Heat in the Arid Mountainous Grasslands of Central Asia during the Growing Season. Water 2017, 9, 727. https://doi.org/10.3390/w9100727
Huang X, Luo G, Wang X. Land–Atmosphere Exchange of Water and Heat in the Arid Mountainous Grasslands of Central Asia during the Growing Season. Water. 2017; 9(10):727. https://doi.org/10.3390/w9100727
Chicago/Turabian StyleHuang, Xiaotao, Geping Luo, and Xinxin Wang. 2017. "Land–Atmosphere Exchange of Water and Heat in the Arid Mountainous Grasslands of Central Asia during the Growing Season" Water 9, no. 10: 727. https://doi.org/10.3390/w9100727
APA StyleHuang, X., Luo, G., & Wang, X. (2017). Land–Atmosphere Exchange of Water and Heat in the Arid Mountainous Grasslands of Central Asia during the Growing Season. Water, 9(10), 727. https://doi.org/10.3390/w9100727
