Spatial Disaggregation of Areal Rainfall Using Two Different Artificial Neural Networks Models
Abstract
:1. Introduction
2. Artificial Neural Networks
2.1. Multilayer Perceptron (MLP) Model
2.2. Kohonen Self-Organizing Feature Map (KSOFM) Model
3. Case Study

| Division | Number of Data | Statistical Indices of Areal Rainfall | ||||||
|---|---|---|---|---|---|---|---|---|
| Xmean | Xmax | Xmin | Sx | Cv | Csx | SE | ||
| Training | 338 | 3.26 | 27.76 | 0.00 | 4.21 | 1.12 | 2.32 | 0.21 |
| Cross-validation | 77 | 2.10 | 16.68 | 0.00 | 3.12 | 1.32 | 2.62 | 0.34 |
| Testing | 91 | 3.62 | 19.56 | 0.00 | 4.13 | 1.13 | 1.46 | 0.42 |
| Evaluation Criteria | Equation |
|---|---|
| NS | |
| RMSE | |
| MAE | |
| APE |
4. Applications and Results
4.1. Selection of Optimal MLP Models for Estimating Areal Rainfall



| Model | Networks | Training Algorithms | Level of Significance | Mann-Whitney U test | ||
|---|---|---|---|---|---|---|
| Critical z Statistic | Computed z Statistic | Null Hypothesis | ||||
| MLP | 11-5-1 | Conjugate gradient | 0.05 | 1.960 | −0.287 | Accept |
| 11-3-1 | Levenberg–Marquardt | 0.05 | 1.960 | −0.617 | Accept | |
| 11-5-1 | Quickprop | 0.05 | 1.960 | −0.515 | Accept | |
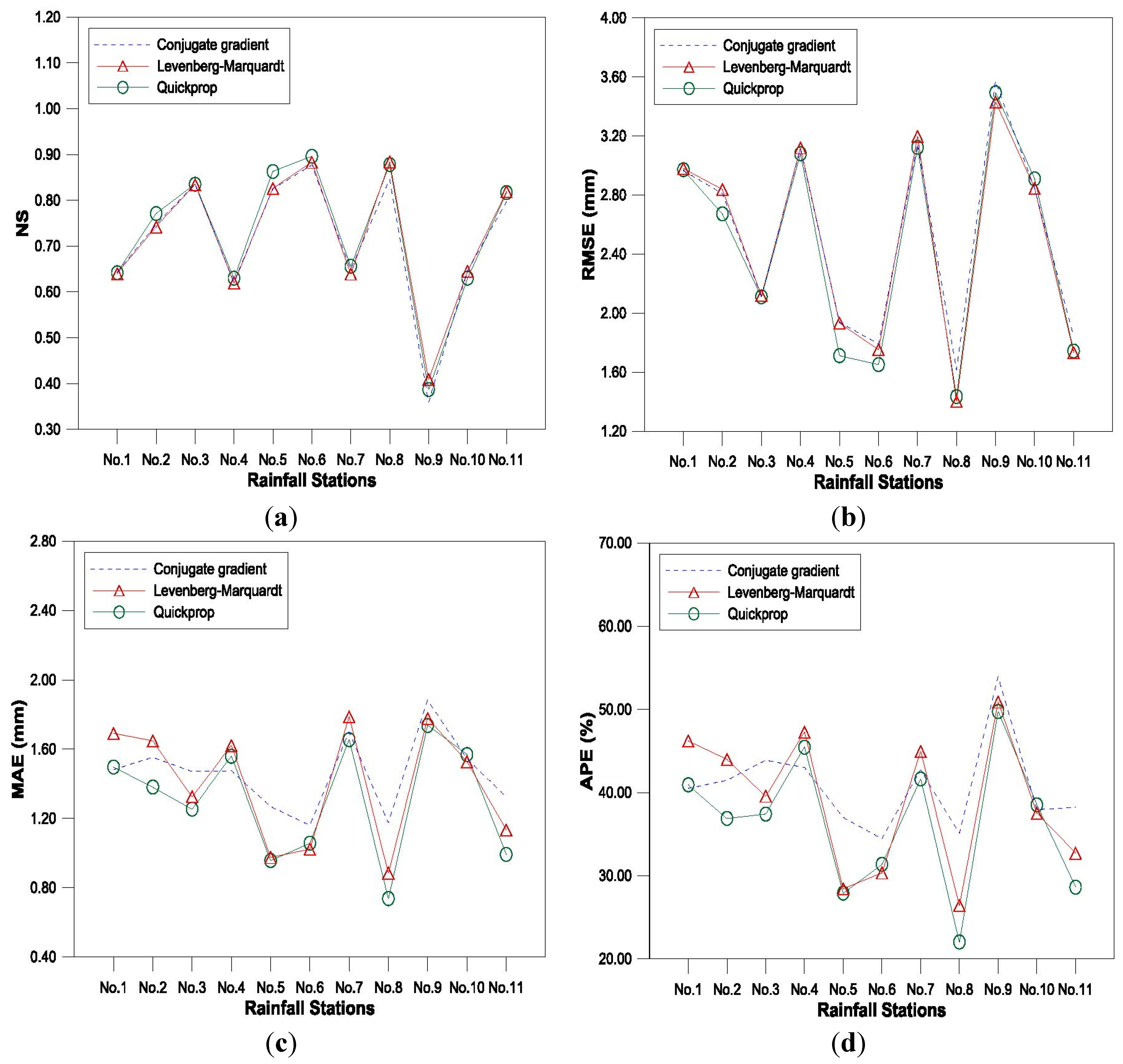
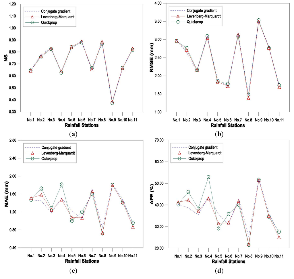
4.2. Evaluation for Spatial Disaggregation of Areal Rainfall Using MLP Model


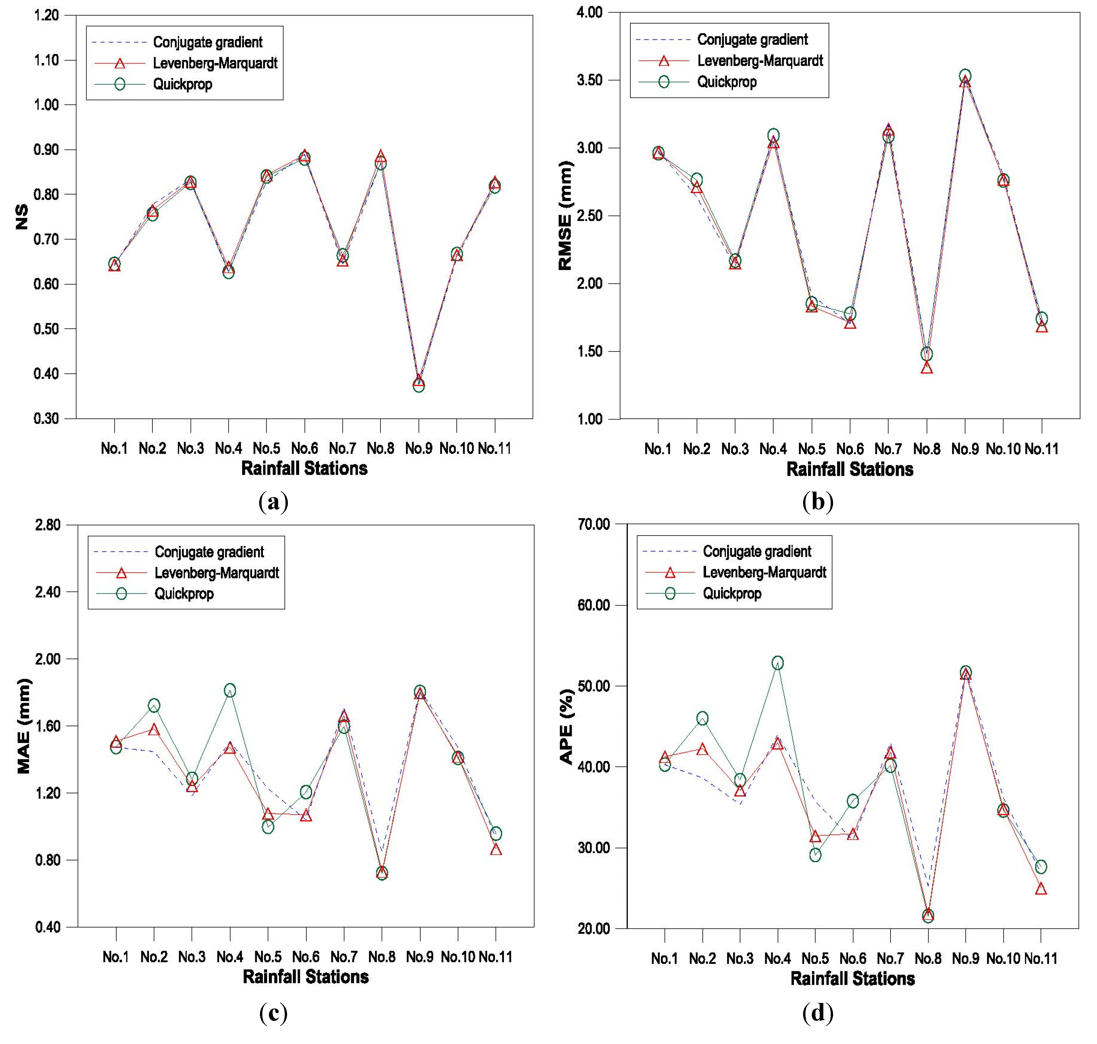
4.3. Evaluation for Spatial Disaggregation of Areal Rainfall Using KSOFM Model








5. Conclusions
Author Contributions
Conflicts of Interest
References
- Burian, S.J.; Durrans, S.R.; Tomić, S.; Pimmel, R.L.; Wai, C.N. Rainfall disaggregation using artificial neural networks. J. Hydrol. Eng. ASCE 2000, 5, 299–307. [Google Scholar] [CrossRef]
- Boushaki, F.I.; Hsu, K.L.; Sorooshian, S.; Park, G.H.; Mahani, S.; Shi, W. Bias adjustment of satellite precipitation estimation using ground-based measurement: A case study evaluation over the southwestern United States. J. Hydrometeor. 2009, 10, 1231–1242. [Google Scholar] [CrossRef]
- AghaKouchak, A.; Bárdossy, A.; Habib, E. Conditional simulation of remotely sensed rainfall data using a non-Gaussian v-transformed copula. Adv. Water Resour. 2010, 33, 624–634. [Google Scholar] [CrossRef]
- Chow, V.T.; Maidment, D.R.; Mays, L.W. Applied Hydrology; McGraw-Hill: New York, NY, USA, 1988. [Google Scholar]
- Goovaerts, P. Geostatistical approaches for incorporating elevation into the spatial interpolation of rainfall. J. Hydrol. 2000, 228, 113–129. [Google Scholar] [CrossRef]
- Singh, V.P. Elementary Hydrology; Prentice Hall: Englewood Cliffs, NJ, USA, 1992. [Google Scholar]
- Apaydin, H.; Sonmez, F.K.; Yildirim, Y.E. Spatial interpolation techniques for climate data in the GAP region in Turkey. Clim. Res. 2004, 28, 31–40. [Google Scholar] [CrossRef]
- Tait, A.; Henderson, R.; Turner, R.; Zheng, X. Thin plate smoothing spline interpolation of daily rainfall for New Zealand using a climatological rainfall surface. Int. J. Climatol. 2006, 26, 2097–2115. [Google Scholar] [CrossRef]
- Ly, S.; Charles, C.; Degré, A. Geostatistical interpolation of daily rainfall at catchment scale: The use of several variogram models in the Ourthe and Ambleve catchments, Belgium. Hydrol. Earth Syst. Sci. 2011, 15, 2259–2274. [Google Scholar] [CrossRef]
- Genest, C.; Favre, A.; Béliveau, J.; Jacques, C. Metaelliptical copulas and their use in frequency analysis of multivariate hydrological data. Water Resour. Res. 2007, 43, W09401:1–W09401:12. [Google Scholar] [CrossRef]
- Zhang, L.; Singh, V.P. Bivariate rainfall frequency distributions using Archimedean copulas. J. Hydrol. 2007, 332, 93–109. [Google Scholar] [CrossRef]
- Choi, J.; Socolofsky, S.; Olivera, F. Hourly disaggregation of daily rainfall in Texas using measured hourly precipitation at other locations. J. Hydrol. Eng. ASCE 2008, 13, 476–487. [Google Scholar] [CrossRef]
- Connolly, R.D.; Schirmer, J.; Dunn, P.K. A daily rainfall disaggregation model. Agric. For. Meteorol. 1998, 92, 105–117. [Google Scholar] [CrossRef]
- Durrans, S.; Burian, S.J.; Nix, S.J.; Hajji, A.; Pitt, R.E.; Fan, C.Y.; Field, R. Polynomial-based disaggregation of hourly rainfall for continuous hydrologic simulation. J. Am. Water Resour. Assoc. 1999, 35, 1213–1221. [Google Scholar]
- Hershenhorn, J.; Woolhiser, D.A. Disaggregation of daily rainfall. J. Hydrol. 1987, 95, 299–322. [Google Scholar] [CrossRef]
- Glasbey, C.A.; Cooper, G.; McGechan, M.B. Disaggregation of daily rainfall by conditional simulation from a point process model. J. Hydrol. 1995, 165, 1–9. [Google Scholar] [CrossRef]
- Gyasi-Agyei, Y. Stochastic disaggregation of daily rainfall into one-hour time scale. J. Hydrol. 2005, 309, 178–190. [Google Scholar] [CrossRef]
- Knoesen, D.; Smithers, J. The development and assessment of a daily rainfall disaggregation model for South Africa. Hydrol. Sci. J. 2009, 54, 217–233. [Google Scholar] [CrossRef]
- Koutsoyiannis, D.; Xanthopoulos, T. A dynamic model for short-scale rainfall disaggregation. Hydrol. Sci. J. 1990, 35, 303–322. [Google Scholar] [CrossRef]
- Olsson, J. Evaluation of a scaling cascade model for temporal rainfall disaggregation. Hydrol. Earth Syst. Sci. 1998, 2, 19–30. [Google Scholar] [CrossRef]
- Olsson, J.; Berndtsson, R. Temporal rainfall disaggregation based on scaling properties. Water Sci. Technol. 1998, 37, 73–79. [Google Scholar] [CrossRef]
- Ormsbee, L. Rainfall disaggregation model for continuous hydrologic modeling. J. Hydraul. Eng. ASCE 1989, 115, 507–525. [Google Scholar] [CrossRef]
- Sivakumar, B.; Sorooshian, S.; Gupta, H.V.; Gao, X. A chaotic approach to rainfall disaggregation. Water Resour. Res. 2001, 37, 61–72. [Google Scholar] [CrossRef]
- Socolofsky, S.; Adams, E.; Entekhabi, D. Disaggregation of daily rainfall for continuous watershed modeling. J. Hydrol. Eng. ASCE 2001, 6, 300–309. [Google Scholar] [CrossRef]
- Zhang, J.; Murch, R.; Ross, M.; Ganguly, A.; Nachabe, M. Evaluation of statistical rainfall disaggregation methods using rain-gauge information for West-Central Florida. J. Hydrol. Eng. ASCE 2008, 13, 1158–1169. [Google Scholar] [CrossRef]
- Perica, S.; Foufoula-Georgiou, E. Model for multiscale disaggregation of spatial rainfall based on coupling meteorological and scaling descriptions. J. Geophys. Res. 1996, 101, 26347–26361. [Google Scholar] [CrossRef]
- Sharma, D.; das Gupta, A.; Babel, M.S. Spatial disaggregation of bias-corrected GCM precipitation for improved hydrologic simulation: Ping River Basin, Thailand. Hydrol. Earth Syst. Sci. 2007, 11, 1373–1390. [Google Scholar] [CrossRef]
- Tsangaratos, P.; Rozos, D.; Benardos, A. Use of artificial neural network for spatial rainfall analysis. J. Earth Syst. Sci. 2014, 123, 457–465. [Google Scholar]
- Venugopal, V.; Foufoula-Georgiou, E.; Sapozhnikov, V. A space-time downscaling model for rainfall. J. Geophys. Res. 1999, 104, 19705–19721. [Google Scholar] [CrossRef]
- Haykin, S. Neural Networks and Learning Machines, 3rd ed.; Prentice Hall: New York, NJ, USA, 2009. [Google Scholar]
- Kim, S.; Kim, H.S. Uncertainty reduction of the flood stage forecasting using neural networks model. J. Am. Water Resour. Assoc. 2008, 44, 148–165. [Google Scholar] [CrossRef]
- Taormina, R.; Chau, K.W. Neural network river forecasting with multi-objective fully informed particle swarm optimization. J. Hydroinform. 2015, 17, 99–113. [Google Scholar] [CrossRef]
- Wu, C.L.; Chau, K.W.; Li, Y.S. River stage prediction based on a distributed support vector regression. J. Hydrol. 2008, 358, 96–111. [Google Scholar] [CrossRef]
- Burian, S.J.; Durrans, S.R.; Nix, S.J.; Pitt, R.E. Training artificial neural networks to perform rainfall disaggregation. J. Hydrol. Eng. ASCE 2001, 6, 43–51. [Google Scholar] [CrossRef]
- Burian, S.J.; Durrans, S.R. Evaluation of an artificial neural network rainfall disaggregation model. Water Sci. Technol. 2002, 45, 99–104. [Google Scholar] [PubMed]
- Kim, S. Modeling of precipitation downscaling using MLP-NNM and SVM-NNM approach. Disaster Adv. 2010, 3, 14–24. [Google Scholar]
- Kim, S.; Kim, J.H.; Park, K.B. Neural networks models for the flood forecasting and disaster prevention system in the small catchment. Disaster Adv. 2009, 2, 51–63. [Google Scholar]
- Kim, S.; Park, K.B.; Seo, Y. Estimation of pan evaporation using neural networks and climate-based models. Disaster Adv. 2012, 5, 34–43. [Google Scholar]
- Kim, S.; Shiri, J.; Kisi, O. Pan evaporation modeling using neural computing approach for different climatic zones. Water Resour. Manag. 2012, 26, 3231–3249. [Google Scholar] [CrossRef]
- Kim, S.; Shiri, J.; Kisi, O.; Singh, V.P. Estimating daily pan evaporation using different data-driven methods and lag-time patterns. Water Resour. Manag. 2013, 27, 2267–2286. [Google Scholar] [CrossRef]
- Kim, S.; Singh, V.P. Flood forecasting using neural computing techniques and conceptual class segregation. J. Am. Water Resour. Assoc. 2013, 49, 1421–1435. [Google Scholar] [CrossRef]
- Kim, S.; Singh, V.P. Modeling daily soil temperature using data-driven models and spatial distribution concepts. Theor. Appl. Climatol. 2014, 118, 465–479. [Google Scholar] [CrossRef]
- Kim, S.; Singh, V.P.; Lee, C.J.; Seo, Y. Modeling the physical dynamics of daily dew point temperature using soft computing techniques. KSCE J. Civ. Eng. 2015. [Google Scholar] [CrossRef]
- Kim, S.; Singh, V.P.; Seo, Y. Evaluation of pan evaporation modeling with two different neural networks and weather station data. Theor. Appl. Climatol. 2014, 117, 1–13. [Google Scholar] [CrossRef]
- Seo, Y.; Kim, S.; Kisi, O.; Singh, V.P. Daily water level forecasting using wavelet decomposition and artificial intelligence techniques. J. Hydrol. 2015, 520, 224–243. [Google Scholar] [CrossRef]
- Seo, Y.; Kim, S.; Singh, V.P. Estimating spatial precipitation using regression kriging and artificial neural network residual kriging (RKNNRK) hybrid approach. Water Resour. Manag. 2015, 29, 2189–2204. [Google Scholar] [CrossRef]
- Seo, Y.; Kim, S.; Singh, V.P. Multistep-ahead flood forecasting using wavelet and data-driven methods. KSCE J. Civ. Eng. 2015, 19, 401–417. [Google Scholar] [CrossRef]
- Simpson, P.K. Artificial Neural Systems: Foundations, Paradigms, Applications and Implementations; Pergamon: New York, NY, USA, 1990. [Google Scholar]
- Tsoukalas, L.H.; Uhrig, R.E. Fuzzy and Neural Approaches in Engineering; John Wiley & Sons Inc.: New York, NY, USA, 1997. [Google Scholar]
- Chang, F.J.; Chang, L.C.; Wang, Y.S. Enforced self-organizing map neural networks for river flood forecasting. Hydrol. Process. 2007, 21, 741–749. [Google Scholar] [CrossRef]
- Lin, G.F.; Chen, L.H. Time series forecasting by combining the radial basis function network and the self-organizing map. Hydrol. Process. 2005, 19, 1925–1937. [Google Scholar] [CrossRef]
- Lin, G.F.; Chen, L.H. Identification of homogeneous regions for regional frequency analysis using self-organizing map. J. Hydrol. 2006, 324, 1–9. [Google Scholar] [CrossRef]
- Lin, G.F.; Wu, M.C. A SOM-based approach to estimating design hyetographs of ungaged sites. J. Hydrol. 2007, 339, 216–226. [Google Scholar] [CrossRef]
- Lin, G.F.; Wu, M.C. A hybrid neural network model for typhoon-rainfall forecasting. J. Hydrol. 2009, 375, 450–458. [Google Scholar] [CrossRef]
- Kohonen, T. The self-organizing map. Proc. IEEE 1990, 78, 1464–1480. [Google Scholar] [CrossRef]
- Kohonen, T. Self-Organizing Maps; Springer-Verlag: New York, NY, USA, 2001. [Google Scholar]
- Principe, J.C.; Euliano, N.R.; Lefebvre, W.C. Neural and Adaptive Systems: Fundamentals through Simulation; Wiley, John & Sons: New York, NY, USA, 2000. [Google Scholar]
- Hsu, K.; Gupta, V.H.; Gao, X.; Sorooshian, S.; Imam, B. Self-Organizing linear output map (SOLO): An artificial neural network suitable for hydrologic modeling and analysis. Water Resour. Res. 2002, 38, 1302. [Google Scholar] [CrossRef]
- Ministry of Construction and Transportation. Collection and Fundamental Analysis of Hydrologic Data of the Representative Basin; International Hydrological Program (IHP): Seoul, Korea; pp. 1982–2007.
- Dawson, C.W.; Wilby, R.L. Hydrological modelling using artificial neural networks. Prog. Phys. Geogr. 2001, 25, 80–108. [Google Scholar] [CrossRef]
- Izadifar, Z.; Elshorbagy, A. Prediction of hourly actual evapotranspiration using neural networks, genetic programming, and statistical models. Hydrol. Process. 2010, 24, 3413–3425. [Google Scholar] [CrossRef]
- Nash, J.; Sutcliffe, J.V. River flow forecasting through conceptual models part I—A discussion of principles. J. Hydrol. 1970, 10, 282–290. [Google Scholar] [CrossRef]
- Gupta, H.V.; Kling, H.; Yilmaz, K.K.; Martinez, G.F. Decomposition of the mean squared error and NSE performance criteria: Implications for improving hydrological modeling. J. Hydrol. 2009, 377, 80–91. [Google Scholar] [CrossRef]
- Jain, A.; Srinivasulu, S. Integrated approach to model decomposed flow hydrograph using artificial neural network and conceptual techniques. J. Hydrol. 2006, 317, 291–306. [Google Scholar] [CrossRef]
- Jain, S.K.; Nayak, P.C.; Suhheer, K.P. Models for estimating evapotranspiration using artificial neural networks, and their physical interpretation. Hydrol. Process. 2008, 22, 2225–2234. [Google Scholar] [CrossRef]
- Coulibaly, P.; Anctil, F.; Aravena, R.; Bobée, B. Artificial neural network modeling of water table depth fluctuations. Water Resour. Res. 2001, 37, 885–896. [Google Scholar] [CrossRef]
- Maier, H.R.; Dandy, G.C. Neural networks for the prediction and forecasting of water resources variables: A review of modelling issues and applications. Environ. Modell. Softw. 2000, 15, 101–124. [Google Scholar] [CrossRef]
- Adeli, H.; Hung, S.L. Machine Learning Neural Networks, Genetic Algorithms, and Fuzzy Systems; John Wiley & Sons Inc.: New York, NY, USA, 1995. [Google Scholar]
- Fletcher, R.; Reeves, C.M. Function minimization by conjugate gradients. Comput. J. 1964, 7, 149–153. [Google Scholar] [CrossRef]
- Levenberg, K. A method for the solution of certain problems in least squares. Quart. Appl. Math. 1944, 2, 164–168. [Google Scholar]
- Marquardt, D. An algorithm for least squares estimation of nonlinear parameters. J. Soc. Ind. Appl. Math. 1963, 11, 431–441. [Google Scholar] [CrossRef]
- Fahlman, S.E. Faster-Learning variations on back-propagation: An empirical study. In Proceedings of the 1988 Connectionist Models Summer School; Morgan Kaufmann: San Mateo, CA, USA, 1988. [Google Scholar]
- Sudheer, K.P.; Gosain, A.K.; Ramasastri, K.S. Estimating actual evapotranspiration from limited climatic data using neural computing technique. J. Irrig. Drain. Eng. ASCE 2003, 129, 214–218. [Google Scholar] [CrossRef]
- Sudheer, K.P.; Gosain, A.K.; Rangan, D.M.; Saheb, S.M. Modeling evaporation using an artificial neural network algorithm. Hydrol. Process. 2002, 16, 3189–3202. [Google Scholar] [CrossRef]
- Ayyub, B.M.; McCuen, R.H. Probability, Statistics, and Reliability for Engineers and Scientists, 2nd ed.; Taylor & Francis: Boca Raton, FL, USA, 2003. [Google Scholar]
- Kottegoda, N.T.; Rosso, R. Statistics, Probability, and Reliability for Civil and Environmental Engineers; McGraw-Hill: Singapore, 1997. [Google Scholar]
- McCuen, R.H. Microcomputer Applications in Statistical Hydrology; Prentice Hall: Englewood Cliffs, NJ, USA, 1993. [Google Scholar]
- Singh, V.P.; Jain, S.K.; Tyagi, A. Risk and Reliability Analysis: A Handbook for Civil and Environmental Engineers; ASCE Press: Reston, VA, USA, 2007. [Google Scholar]
© 2015 by the authors; licensee MDPI, Basel, Switzerland. This article is an open access article distributed under the terms and conditions of the Creative Commons Attribution license (http://creativecommons.org/licenses/by/4.0/).
Share and Cite
Kim, S.; Singh, V.P. Spatial Disaggregation of Areal Rainfall Using Two Different Artificial Neural Networks Models. Water 2015, 7, 2707-2727. https://doi.org/10.3390/w7062707
Kim S, Singh VP. Spatial Disaggregation of Areal Rainfall Using Two Different Artificial Neural Networks Models. Water. 2015; 7(6):2707-2727. https://doi.org/10.3390/w7062707
Chicago/Turabian StyleKim, Sungwon, and Vijay P. Singh. 2015. "Spatial Disaggregation of Areal Rainfall Using Two Different Artificial Neural Networks Models" Water 7, no. 6: 2707-2727. https://doi.org/10.3390/w7062707
APA StyleKim, S., & Singh, V. P. (2015). Spatial Disaggregation of Areal Rainfall Using Two Different Artificial Neural Networks Models. Water, 7(6), 2707-2727. https://doi.org/10.3390/w7062707