Seasonal River Discharge Forecasting Using Support Vector Regression: A Case Study in the Italian Alps
Abstract
:1. Introduction
2. Materials and Methods
2.1. Study Area and Available Discharge Data


| Station Name | Hydrographic Office Identifier | UTM 32N Coordinates (m) | Catchment Area (km2) | Min–Max–Mean Altitude (m a.s.l.) | Min–Max Discharge Q (m3/s) |
|---|---|---|---|---|---|
| Adige at Tel | 3 | X = 659,075 Y = 5,170,831 | 1,676 | 510–3,893–2,011 | 11.50–84.39 |
| Adige at Ponte Adige | 7 | X = 676,882 Y = 5,150,246 | 2,705 | 240–3,893–1,907 | 22.68–114.96 |
| Rio Fleres at Colle Isarco | 8 | X = 685,584 Y = 5,201,188 | 149 | 1,047–3,479–2,167 | 0.61–9.64 |
| Rio Vizze at Novale | 10 | X = 692,269 Y = 5,200,902 | 108 | 1,375–3,500–2,186 | 0.76–13.03 |
| Rio Ridanna at Vipiteno | 13 | X = 685,246 Y = 5,195,138 | 207 | 939–3,456–1,927 | 1.41–20.37 |
| Rienza at Monguelfo | 15 | X = 737,906 Y = 5,182,252 | 264 | 1,096–3,217–1,827 | 2.16–12.50 |
| Rio Casies at Colle | 16 | X = 742,055 Y = 5,184,156 | 117 | 1,198–2,825–1,960 | 0.86–6.22 |
| Rio Anterselva at Bagni Salomone | 17 | X = 735,133 Y = 5,190,077 | 83 | 1,091–3,425–2,036 | 0.55–5.27 |
| Aurino at Cadipietra | 18 | X = 726,593 Y = 5,208,875 | 149 | 1,047–3,485–2,167 | 1.46–27.06 |
| Aurino at Caminata | 20 | X = 725,134 Y = 5,198,678 | 420 | 845–3,485–2,115 | 2.69–39.25 |
| Aurino at San Giorgio | 21 | X = 723,868 Y = 5,189,015 | 613 | 819–3,485–2,038 | 5.40–56.18 |
| Gadera at Mantana | 27 | X = 719,819 Y = 5,184,323 | 389 | 813–3,120–1,856 | 3.58–18.01 |
| Rienza at Vandoies | 28 | X = 706,592 Y = 5,188,228 | 1,920 | 735–3,217–1,861 | 14.32–100.07 |
| Adige at Bronzolo | 37 | X = 677,940 Y = 5,142,627 | 6,923 | 228–3,893–1,804 | 61.07–330.28 |
2.2. Introduction to Support Vector Regression (SVR)
2.2.1. Model Formulation
2.2.2. Model Training and Feature Selection

2.2.3. Model Testing
2.3. Input Data Considered
- Catchment state variables: Snow storage represented by snow-covered area (SCA) as a proxy;
- Climate signals related to possible catchment input (temperature and precipitation): Indexes North Atlantic Oscillation (NAO), Wave Amplitude Index (WAI), Baroclinic Amplitude Index (BAI), Standardized Precipitation Index (SPI), and air temperature, briefly introduced and discussed hereafter;
- Catchment characteristics: Area, minimum, maximum, and mean elevation.
2.4. Experimental Setup
2.4.1. Data Preparation
2.4.2. Feature Selection

2.4.3. Setup of a Catchment-Independent Support Vector Regression (SVR) Model
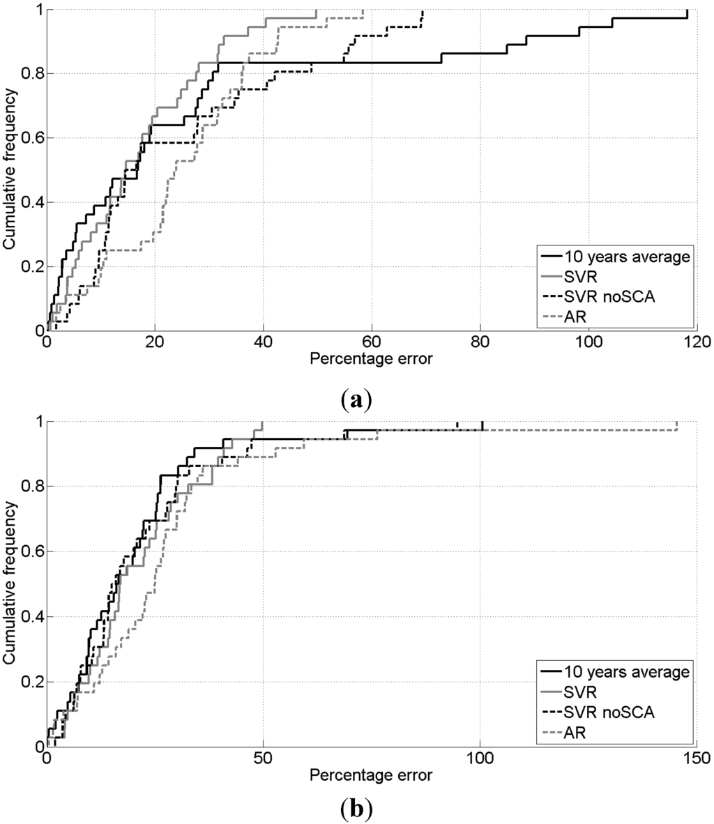
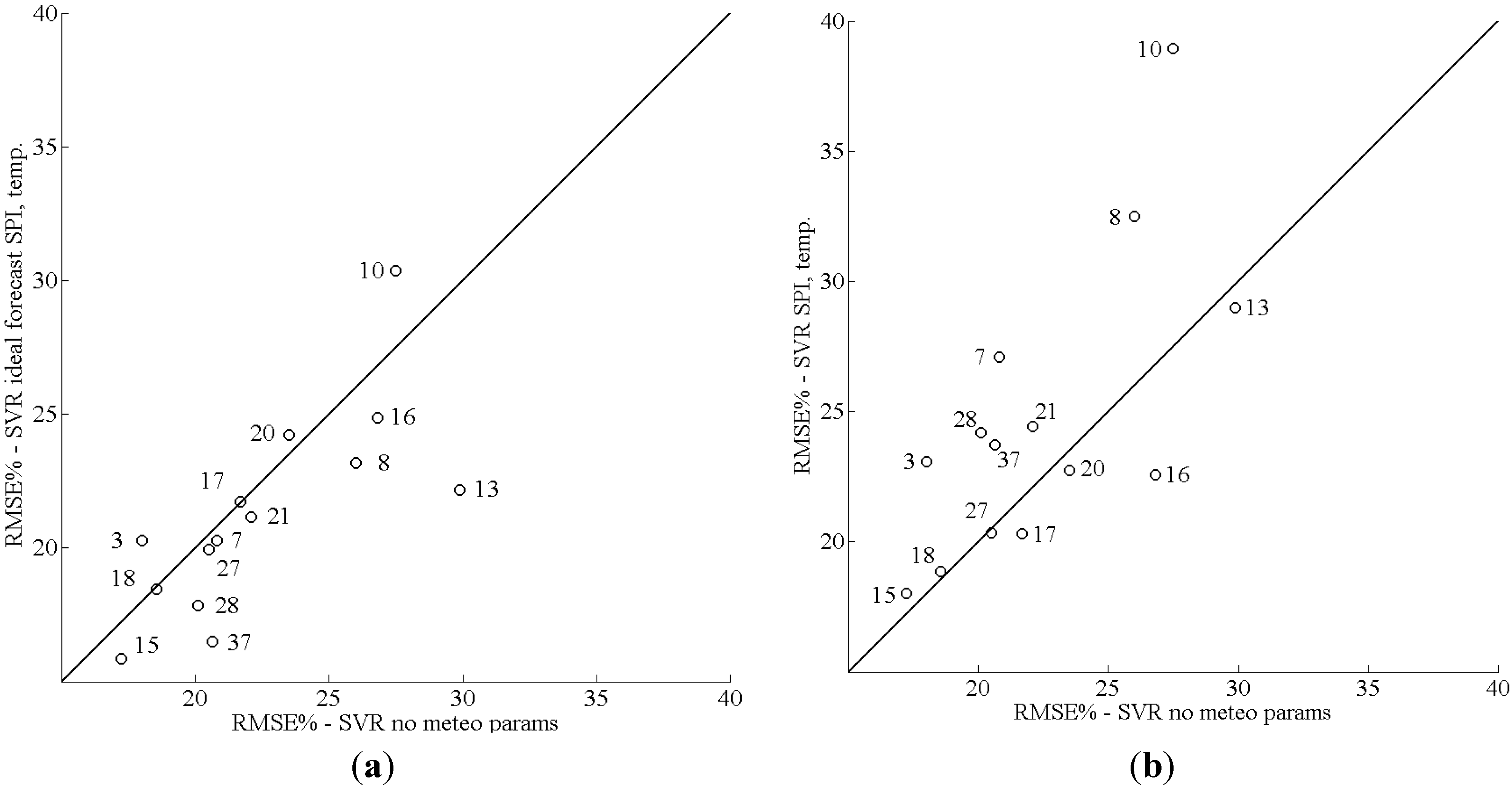
3. Results and Discussion
| Prediction Lag | Prediction Method | Input Features | Mean RMSE% | Mean R2 |
|---|---|---|---|---|
| All | 10-year average | -- | 33 | 0.70 |
| 1 | SVRsingle noMeteo | disch0, SCA-2:0, dischAvg10 | 22 | 0.76 |
| SVRsingle noMeteo noSCA | disch-11:0, dischAvg10 | 28 | 0.72 | |
| SVRsingle noMeteo noDischAvg | disch-11:0, SCA-2:0 | 31 | 0.72 | |
| SVRsingle meteoIdeal | disch0, SCA-2:0, dischAvg10, SPI, temp | 21 | 0.79 | |
| SVRsingle meteo | disch0, SCA-2:0, dischAvg10, SPI-1:0, temp-11:0 | 25 | 0.76 | |
| AR model | disch-11:0 | 33 | 0.69 | |
| AR model | disch-6:0 | 36 | 0.48 | |
| AR model | disch-3:0 | 33 | 0.50 | |
| AR model | disch0 | 33 | 0.49 | |
| 3 | SVRsingle noMeteo | disch0, SCA-1:0, dischAvg10 | 28 | 0.68 |
| SVRsingle noMeteo noSCA | disch-10:0, dischAvg10 | 33 | 0.69 | |
| SVRsingle noMeteo noDischAvg | disch-9:0, SCA-2:0 | 33 | 0.68 | |
| AR model | disch-11:0 | 35 | 0.70 | |
| AR model | disch-6:0 | 69 | 0.03 | |
| AR model | disch-3:0 | 56 | 0.01 | |
| AR model | disch0 | 61 | 0.01 | |
| 6 | SVRsingle noMeteo | disch-10:0, SCA0, dischAvg10 | 31 | 0.70 |
| SVRsingle noMeteo noSCA | disch-11:0, dischAvg10 | 32 | 0.70 | |
| SVRsingle noMeteo noDischAvg | disch-11:0, SCA-3:0 | 32 | 0.69 |





| Prediction Lag | Prediction Method | Input Features | Mean RMSE% | Mean R2 |
|---|---|---|---|---|
| All | 10-year average | -- | 33 | 0.70 |
| 1 | SVRall noMeteo | disch-11:0, SCA-1:0 | 27 | 0.75 |
| SVRall meteoIdeal | disch-11:0, SCA-1:0, SPI, temp | 24 | 0.81 | |
| SVRall meteo | disch-11:0, SCA-1:0, SPI-3:0, temp-10:0 | 28 | 0.78 | |
| 3 | SVRall noMeteo | disch-10:0, SCA-1:0, SPI, temp | 36 | 0.70 |
| SVRall meteo | disch-11:0, SCA-1:0, SPI-3:0, temp-9:0 | 36 | 0.74 |
4. Conclusions
Acknowledgments
Author Contributions
Conflicts of Interest
References
- Low Flow and Drought Research in Europe: Achievements and Future. Available online: http://webworld.unesco.org/water/ihp/pdf/conclusions_bratislava_lfdr_workshop08.pdf (accessed on 30 April 2015).
- Mishra, A.K.; Desai, V.R. Drought forecasting using feed-forward recursive neural network. Ecol. Model. 2006, 198, 127–148. [Google Scholar] [CrossRef]
- Madadgar, S.; Moradkhani, H. A Bayesian framework for probabilistic seasonal drought forecasting. J. Hydrometeorol. 2013, 14, 1685–1705. [Google Scholar] [CrossRef]
- Yang, L.; Tian, F.; Sun, Y.; Hu, H. Attribution of hydrologic forecast uncertainty within scalable forecast windows. Hydrol. Earth Syst. Sci. 2014, 18, 775–786. [Google Scholar] [CrossRef]
- Chalise, S.R.; Kansakar, S.R.; Rees, G.; Croker, K.; Zaidman, M. Management of water resources and low flow estimation for the Himalayan basins of Nepal. J. Hydrol. 2003, 282, 25–35. [Google Scholar] [CrossRef]
- Pandit, S.M.; Wu, S.-M. Time Series and System Analysis with Applications; John Wiley & Sons, Inc.: Hpboken, NJ, USA, 1983. [Google Scholar]
- Vapnik, V. The Nature of Statistical Learning Theory; Springer: New York, NY, USA, 1995. [Google Scholar]
- Wang, W.; Chau, K.; Cheng, C.; Qiu, L. A comparison of performance of several artificial intelligence methods for forecasting monthly discharge time series. J. Hydrol. 2009, 374, 294–306. [Google Scholar] [CrossRef]
- Bruzzone, L.; Melgani, F. Robust multiple estimator system for the analysis of biophysical parameters from remotely sensed data. IEEE Trans. Geosci. Remote Sens. 2005, 43, 159–174. [Google Scholar] [CrossRef]
- Pasolli, L.; Notarnicola, C.; Bruzzone, L. Estimating soil moisture with the support vector regression technique. IEEE Geosci. Remote Sens. Lett. 2011, 8, 1080–1084. [Google Scholar] [CrossRef]
- Shiri, J.; Kisi, O. Short-term and long-term streamflow forecasting using a wavelet and neuro-fuzzy conjunction model. J. Hydrol. 2010, 394, 486–493. [Google Scholar] [CrossRef]
- Guo, J.; Zhou, J.; Qin, H.; Zou, Q.; Li, Q. Monthly streamflow forecasting based on improved support vector machine model. Expert Syst. Appl. 2011, 38, 13073–13081. [Google Scholar] [CrossRef]
- Shiri, J.; Cimen, M. A wavelet-support vector machine conjunction model for monthly streamflow forecasting. J. Hydrol. 2011, 399, 132–140. [Google Scholar] [CrossRef]
- Zhao, T.; Cai, X.; Yang, D. Effect of streamflow forecast uncertainty on real-time reservoir operation. Adv. Water Resour. 2011, 34, 495–504. [Google Scholar] [CrossRef]
- Lima, C.H.R.; Lall, U. Climate informed monthly streamflow forecasts for the Brazilian hydropower network using a periodic ridge regression model. J. Hydrol. 2010, 380, 438–449. [Google Scholar] [CrossRef]
- Liu, Z.; Zhou, P.; Chen, G.; Guo, L. Evaluating a coupled discrete wavelet transform and support vector regression for daily and monthly streamflow forecasting. J. Hydrol. 2014, 519, 2822–2831. [Google Scholar] [CrossRef]
- Huang, S.; Chang, J.; Huang, Q.; Chen, Y. Monthly streamflow prediction using modified EMD-based support vector machine. J. Hydrol. 2014, 511, 764–775. [Google Scholar] [CrossRef]
- Sun, A.Y.; Wang, D.; Xu, X. Monthly streamflow forecasting using Gaussian process regression. J. Hydrol. 2014, 511, 72–81. [Google Scholar] [CrossRef]
- Dehghani, M.; Saghafian, B.; Nasiri Saleh, F.; Farokhnia, A.; Noori, R. Uncertainty analysis of streamflow drought forecast using artificial neural networks and Monte Carlo simulation. Int. J. Climatol. 2014, 34, 1169–1180. [Google Scholar] [CrossRef]
- Wang, H.; Fu, X. Utilization of climate information and soil moisture estimates to provide monthly and sub-monthly streamflow forecasts. Int. J. Climatol. 2014, 34, 3515–3527. [Google Scholar] [CrossRef]
- Fiorillo, F.; Esposito, L.; Guadagno, F.M. Analysis and forecast of water resources in an ultra-centenarian spring discharge series from Serino (Southern Italy). J. Hydrol. 2007, 336, 125–138. [Google Scholar] [CrossRef]
- Fiorillo, F. Spring hydrographs as indicators of droughts in a karts environment. J. Hydrol. 2009, 373, 290–301. [Google Scholar] [CrossRef]
- Mendicino, G.; Senatore, A.; Versace, P. A Groundwater resource index (GRI) for drought monitoring and forecasting in a Mediterranean climate. J. Hydrol. 2008, 357, 282–302. [Google Scholar] [CrossRef]
- Bartolini, E.; Claps, P.; D’Odorico, P. Interannual variability of winter precipitation in the European Alps: Relations with the North Atlantic Oscillation. Hydrol. Earth Syst. Sci. 2009, 13, 17–25. [Google Scholar] [CrossRef]
- Singh, P.; Bengtsson, L. Hydrological sensitivity of a large Himalayan basin to climate change. Hydrol. Process. 2004, 18, 2363–2385. [Google Scholar] [CrossRef]
- Parajka, J.; Blöschl, G. The value of MODIS snow cover data in validating and calibrating conceptual hydrologic models. J. Hydrol. 2008, 358, 240–258. [Google Scholar] [CrossRef]
- Viviroli, D.; Gurtz, J.; Zappa, M. The Hydrological Modeling System PREVAH—Part II—Physical model description. In Geographica Bernensia P40; Institute of Geography, University of Berne: Berne, Switzerland, 2007; p. 86. [Google Scholar]
- Viviroli, D.; Dürr, H.H.; Messerli, B.; Meybeck, M.; Weingartner, R. Mountains of the world, water towers for humanity: Typology, mapping and global significance. Water. Resour. Res. 2007, 43. [Google Scholar] [CrossRef]
- European Environmental Agency. Regional Climate Change and Adaptation: The Alps Facing the Challenge of Changing Water Resources; EEA report No. 8/2009; European Environmental Agency: Copenhagen, Denmark, 2009. [Google Scholar]
- Evgeniou, T.; Pontil, M.; Poggio, T. Regularization Network and support vector machines. Adv. Comput. Math. 2000, 13, 1–50. [Google Scholar] [CrossRef]
- Smola, A.J.; Sholkopf, B. A tutorial in support vector regressions. Stat. Comput. 2004, 14, 199–222. [Google Scholar] [CrossRef]
- Zahn, H.; Shi, P.; Chen, C. Retrieval of oceanic chlorophyll concentration using support vector machines. IEEE Trans. Geosci. Remote Sens. 2003, 41, 2947–2951. [Google Scholar] [CrossRef]
- Pai, P.F.; Lin, K.P.; Lin, C.S.; Chang, P.T. Time series forecasting by a seasonal support vector regression model. Expert Syst. Appl. 2010, 37, 4261–4265. [Google Scholar] [CrossRef]
- Raghavendra, N.S.; Deka, P.C. Support vector machine applications in the field of hydrology: A review. Appl. Soft Comput. 2014, 19, 372–386. [Google Scholar] [CrossRef]
- Pasolli, L.; Notarnicola, C.; Bruzzone, L. Multi-objective parameter optimization in support vector regression: General formulation and application to the retrieval of soil moisture from remote sensing data. IEEE J. Sel. Top. Appl. 2012, 5, 1495–1508. [Google Scholar]
- Notarnicola, C.; Duguay, M.; Moelg, N.; Schellenberger, T.; Tetzlaff, A.; Monsorno, R.; Costa, A.; Steurer, C.; Zebisch, M. Snow cover maps from MODIS images at 250 m resolution, Part 1: Algorithm description. Remote Sens. 2013, 5, 110–126. [Google Scholar] [CrossRef]
- Notarnicola, C.; Duguay, M.; Moelg, N.; Schellenberger, T.; Tetzlaff, A.; Monsorno, R.; Costa, A.; Steurer, C.; Zebisch, M. Snow Cover Maps from MODIS Images at 250 m Resolution, Part 2: Validation. Remote Sens. 2013, 5, 1568–1587. [Google Scholar] [CrossRef]
- Piechota, T.C.; Dracup, J.A. Drought and regional hydrologic variation in the United States: Associations with ElNino-Southern Oscillation. Water Resour. Res. 1996, 32, 1359–1373. [Google Scholar] [CrossRef]
- Tadesse, T.; Wilhite, D.A.; Harms, S.K.; Hayes, M.J.; Goddard, S. Drought monitoring using data mining techniques: A case study for Nebraska, USA. Nat. Hazards 2004, 33, 137–159. [Google Scholar] [CrossRef]
- Barros, A.P.; Bowden, G.J. Toward long-lead operational forecasts of drought: An experimental study in the Murray-Darling River Basin. J. Hydrol. 2008, 357, 349–367. [Google Scholar] [CrossRef]
- Bordi, I.; Fraedrich, K.; Petitta, M.; Sutera, A. Extreme value analysis of wet and dry periods in Sicily. Theor. Appl. Climatol. 2007, 87, 61–71. [Google Scholar] [CrossRef]
- McKee, T.; Doesken, N.; Kleist, J. The relationship of drought frequency and duration to time scales. In Proceedings of the 8th Conference on Applied Climatology, Anaheim, CA, USA, 17–22 January 1993.
- Hayes, M.J.; Svoboda, M.D.; Wilhite, D.A.; Vanyarkho, O.V. Monitoring the 1996 drought using the standardized precipitation index. Bull. Am. Meteor. Soc. 1999, 80, 429–438. [Google Scholar] [CrossRef]
- Vicente-Serrano, S.M.; Lopez-Moreno, J.I. Hydrological response to different time scales of climatological drought: An evaluation of the Standardized Precipitation Index in a mountainous Mediterranean basin. Hydrol. Earth Syst. Sci. 2005, 9, 523–533. [Google Scholar] [CrossRef]
- Keyantash, J.; Dracup, J.A. The quantification of drought: An evaluation of drought indices. Bull. Am. Meteor. Soc. 2002, 83, 1167–1180. [Google Scholar] [CrossRef]
- Bordi, I.; Sutera, A. Fifty years of precipitation: Some spatially remote teleconnections. Water Resour. Manag. 2001, 15, 247–280. [Google Scholar] [CrossRef]
- Bordi, I.; Fraedrich, K.; Petitta, M.; Sutera, A. Methods for predicting drought occurrences. In Proceedings of the EWRA (The European Water Resources Association) Conference, Menton, France, 7–10 September 2005.
- Morid, S.; Smakhtin, V.; Bagherzadeh, K. Drought forecasting using artificial neural networks and time series of drought indices. Int. J. Climatol. 2007, 27, 2103–2111. [Google Scholar] [CrossRef]
- Sutera, A. Probability density distribution of large-scale atmospheric flow. Adv. Geophys. 1996, 29, 227–249. [Google Scholar]
- Hansen, A.R.; Sutera, A. On the probability density distribution of planetary-scale atmospheric wave amplitude. J. Atmos. Sci. 1986, 43, 3250–3265. [Google Scholar] [CrossRef]
- Calmanti, S.; Dell’Aquila, A.; Lucarini, V.; Ruti, P.M.; Speranza, A. Statistical properties of mid-latitude atmospheric variability. In Nonlinear Dynamics in Geosciences; Springer: New York, NY, USA, 2007; pp. 369–391. [Google Scholar]
- Dell’Aquila, A.; Ruti, P.M.; Sutera, A. Effects of the baroclinic adjustment on the tropopause in the NCEP-NCAR reanalysis. Clim. Dyn. 2007, 28, 2–3. [Google Scholar]
- Fraedrich, K.; Bottger, H. A wavenumber frequency analysis of the 500 mb geopotential at 50°N. J. Atmos. Sci. 1978, 35, 745–750. [Google Scholar] [CrossRef]
- Soukup, T.L.; Oubeidillah, A.A.; Tootle, G.A.; Piechota, T.C.; Wulff, S.S. Long lead time streamflow forecasting of the North Platte River incorporating oceanic-atmospheric climate variability. J. Hydrol. 2009, 368, 131–142. [Google Scholar] [CrossRef]
- Chiew, F.H.S. Climate variability, seasonal streamflow forecast and water resources management. In Climate Impact on Australia’s Natural Resources: Current and Future Challenges; Climate impact on Australia’s Natural Resources: Queensland, Australia, 2003; pp. 21–23. [Google Scholar]
- Chiew, F.H.S.; McMahon, T.A. Global ENSO-streamflow teleconnection, streamflow forecasting and interannual variability. Hydrolog. Sci. J. 2002, 47, 505–522. [Google Scholar] [CrossRef]
- Zanchettin, D.; Traverso, P.; Tomasino, M. Po river discharges: A preliminary analysis of a 200-year time series. Clim. Chang. 2008, 89, 411–433. [Google Scholar] [CrossRef]
- Nationa Weather Service (NWS) Climate Prediction Center: North Atlantic Oscillation. Available online: http://www.cpc.ncep.noaa.gov/products/precip/CWlink/pna/nao.shtml (accessed on 30 April 2015).
- Satish, B.; Misra, V.; Li, H. Seasonal hydrological forecasts for watersheds over the southeastern United States for the boreal summer and fall seasons. Earth Interact. 2013, 17, 1–22. [Google Scholar]
- Yossef, N.C.; Winsemius, H.; Weerts, A.; van Beek, R.; Bierkens, M.F.P. Skill of a global seasonal streamflow forecasting system, relative roles of initial conditions and meteorological forcing. Water Resour. Res. 2013, 49, 4687–4699. [Google Scholar] [CrossRef]
- Shukla, S.; Sheffield, J.; Wood, E.F.; Lettenmaier, D.P. On the sources of global land surface hydrologic predictability. Hydrol. Earth Syst. Sci. 2013, 17, 2781–2796. [Google Scholar] [CrossRef]
- Mahanama, S.; Livneh, B.; Koster, R.; Lettenmaier, D.; Reichle, R. Soil moisture, snow, and seasonal streamflow forecasts in the United States. J. Hydrometeor. 2012, 13, 189–203. [Google Scholar] [CrossRef]
© 2015 by the authors; licensee MDPI, Basel, Switzerland. This article is an open access article distributed under the terms and conditions of the Creative Commons Attribution license (http://creativecommons.org/licenses/by/4.0/).
Share and Cite
Callegari, M.; Mazzoli, P.; De Gregorio, L.; Notarnicola, C.; Pasolli, L.; Petitta, M.; Pistocchi, A. Seasonal River Discharge Forecasting Using Support Vector Regression: A Case Study in the Italian Alps. Water 2015, 7, 2494-2515. https://doi.org/10.3390/w7052494
Callegari M, Mazzoli P, De Gregorio L, Notarnicola C, Pasolli L, Petitta M, Pistocchi A. Seasonal River Discharge Forecasting Using Support Vector Regression: A Case Study in the Italian Alps. Water. 2015; 7(5):2494-2515. https://doi.org/10.3390/w7052494
Chicago/Turabian StyleCallegari, Mattia, Paolo Mazzoli, Ludovica De Gregorio, Claudia Notarnicola, Luca Pasolli, Marcello Petitta, and Alberto Pistocchi. 2015. "Seasonal River Discharge Forecasting Using Support Vector Regression: A Case Study in the Italian Alps" Water 7, no. 5: 2494-2515. https://doi.org/10.3390/w7052494
APA StyleCallegari, M., Mazzoli, P., De Gregorio, L., Notarnicola, C., Pasolli, L., Petitta, M., & Pistocchi, A. (2015). Seasonal River Discharge Forecasting Using Support Vector Regression: A Case Study in the Italian Alps. Water, 7(5), 2494-2515. https://doi.org/10.3390/w7052494

