A Hydrograph-Based Sediment Availability Assessment: Implications for Mississippi River Sediment Diversion
Abstract
:1. Introduction
2. Methods
2.1. River Stage Classification for Sediment Availability Assessment

| Category | Stage (m) | Discharge (m3 s−1 ) |
|---|---|---|
| Intermediate Flow Stage | 12.1 to 14.6 | 18,000 to 25,000 |
| High Flow Stage | 14.6 to 16.8 | 25,000 to 32,000 |
| Peak Flow Stage | >16.8 | >32,000 |
2.2. Suspended Sediment Concentration and Load Calculation
2.3. Hydrograph Based Sediment Yield Quantification
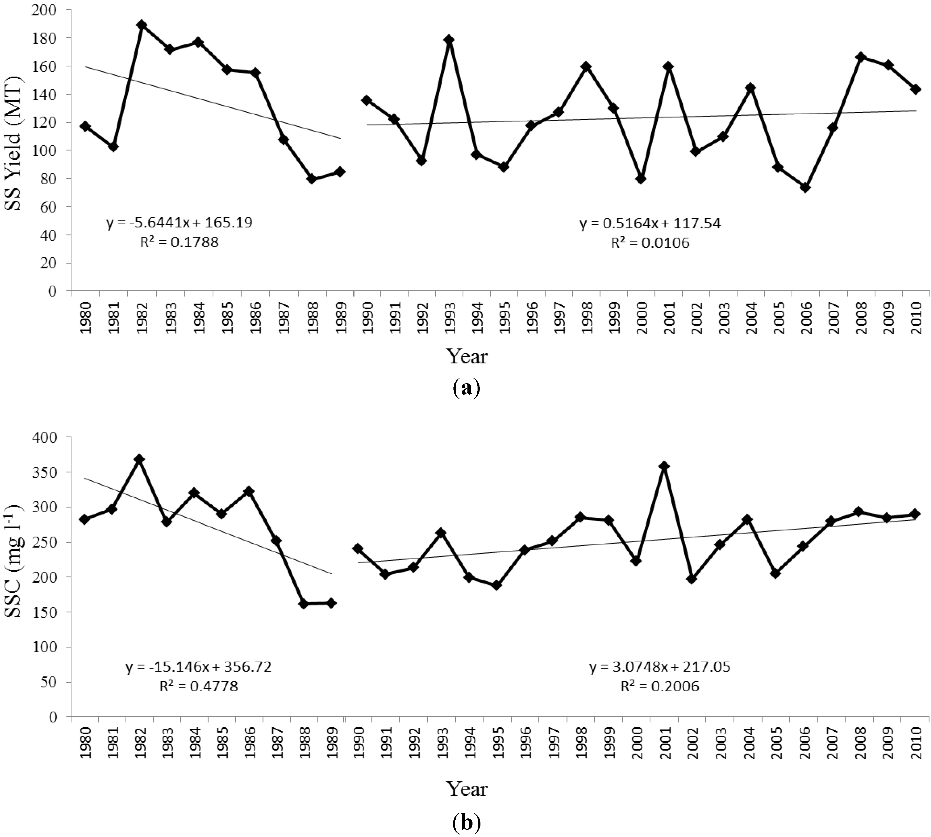
3. Results
3.1. Sediment Availability under Different River Stages

| Year | Year Total | Peak | High | Intermediate | Flood Total a |
|---|---|---|---|---|---|
| 1980 | 117,290,000 | 28,160,000 | 9,330,000 | 37,480,000 | |
| 1981 | 102,360,000 | 24,290,000 | 24,290,000 | ||
| 1982 | 189,040,000 | 19,610,000 | 89,240,000 | 108,850,000 | |
| 1983 | 171,650,000 | 56,850,000 | 22,850,000 | 59,480,000 | 139,190,000 |
| 1984 | 177,040,000 | 15,720,000 | 44,850,000 | 36,420,000 | 96,980,000 |
| 1985 | 157,330,000 | 58,260,000 | 39,080,000 | 97,340,000 | |
| 1986 | 155,210,000 | 75,140,000 | 75,140,000 | ||
| 1987 | 107,490,000 | 10,720,000 | 30,070,000 | 40,780,000 | |
| 1988 | 79,310,000 | 7,170,000 | 36,020,000 | 43,190,000 | |
| 1989 | 84,710,000 | 2,100,000 | 21,980,000 | 29,350,000 | 53,430,000 |
| 1990 | 135,620,000 | 11,690,000 | 49,630,000 | 32,930,000 | 94,240,000 |
| 1991 | 121,920,000 | 21,720,000 | 36,740,000 | 38,620,000 | 97,080,000 |
| 1992 | 92,550,000 | 27,260,000 | 27,260,000 | ||
| 1993 | 178,670,000 | 21,270,000 | 33,540,000 | 92,500,000 | 147,310,000 |
| 1994 | 97,050,000 | 3,580,000 | 39,720,000 | 12,980,000 | 56,280,000 |
| 1995 | 88,190,000 | 6,460,000 | 10,400,000 | 29,740,000 | 46,600,000 |
| 1996 | 117,430,000 | 22,590,000 | 39,998,000 | 62,590,000 | |
| 1997 | 127,080,000 | 24,750,000 | 14,160,000 | 52,330,000 | 91,250,000 |
| 1998 | 159,720,000 | 51,120,000 | 53,880,000 | 105,010,000 | |
| 1999 | 129,690,000 | 8,470,000 | 25,080,000 | 39,580,000 | 73,120,000 |
| 2000 | 79,400,000 | 8,650,000 | 8,650,000 | ||
| 2001 | 159,620,000 | 29,340,000 | 57,600,000 | 86,940,000 | |
| 2002 | 99,090,000 | 30,440,000 | 28,670,000 | 59,110,000 | |
| 2003 | 109,790,000 | 18,670,000 | 23,940,000 | 42,610,000 | |
| 2004 | 144,470,000 | 14,200,000 | 61,650,000 | 75,840,000 | |
| 2005 | 87,720,000 | 8,710,000 | 10,450,000 | 27,740,000 | 46,900,000 |
| 2006 | 73,640,000 | 5,210,000 | 5,210,000 | ||
| 2007 | 115,720,000 | 9,030,000 | 29,750,000 | 38,790,000 | |
| 2008 | 166,260,000 | 31,110,000 | 32,700,000 | 44,690,000 | 108,500,000 |
| 2009 | 160,530,000 | 13,360,000 | 19,810,000 | 69,990,000 | 103,160,000 |
| 2010 | 143,520,000 | 29,850,000 | 50,660,000 | 80,510,000 | |
| Total | 3,929,110,000 | 225,800,000 | 691,080,000 | 1,256,790,000 | 2,173,660,000 |
| % of Total | 5.7% | 17.6% | 32.0% | 55.3% | |
| Average | 126,750,000 | 17,370,000 | 26,580,000 | 40,540,000 | 70,120,000 |
| Category | Peak | High | Intermediate |
|---|---|---|---|
| Days | 25 | 42 | 76 |
| SSC (mg L−L) | |||
| Mean | 178 | 266 | 313 |
| 1-Day Min | 79 | 126 | 122 |
| 1-Day Max | 306 | 604 | 992 |
| Sediment Load (tonnes) | |||
| Daily Mean | 695,000 | 624,000 | 537,000 |
| 1-Day Min | 419,000 | 370,000 | 285,000 |
| 1-Day Max | 834,000 | 958,000 | 846,000 |

3.2. Sediment Availability on Rising and Receding Limbs
| Stage Condition | Stage Category | Days | Total Yield | SSL | SSC |
|---|---|---|---|---|---|
| Rising Limb | Peak | 15 | 8,560,000 | 571,000 (182,000) | 187 (79–306; 60) |
| High | 23 | 15,400,000 | 671,000 (214,000) | 277 (126–604; 93) | |
| Intermediate | 19 | 13,500,000 | 709,000 (310,000) | 383 (188–992; 164) | |
| Receding Limb | Peak | 8 | 3,620,000 | 453,000 (140,000) | 145 (79–229; 45) |
| High | 15 | 8,170,000 | 545,000 (196,000) | 227 (126–366; 73) | |
| Intermediate | 14 | 6,260,000 | 447,000 (141,000) | 245 (122–496; 82) |
3.3. Flood Crest and Sediment Availability
| Stage (m) | Stage During Flood | |||||
|---|---|---|---|---|---|---|
| Intermediate | High | Peak | ||||
| >16.8 | Days | 86 | 47 | 25 | ||
| SSC | 300 (136.30) | 243 (76.36) | 178 (60.97) | |||
| SSL | 505,000 (91,000) | 590,000 (114,000) | 695,000 (103,000) | |||
| Total Yield | 43,400,000 | 27,700,000 | 17,380,000 | |||
| 14.6–16.8 | Days | 74 | 38 | |||
| SSC | 316 (155.93) | 296 (122.13) | ||||
| SSL | 571,000 (108,000) | 666,000 (111,000) | ||||
| Total Yield | 42,300,000 | 25,300,000 | ||||
| 12.1–14.6 | Days | 51 | ||||
| SSC | 352 (134.75) | |||||
| SSL | 549,000 (100,000) | |||||
| Total Yield | 28,000,000 | |||||


4. Discussion

5. Conclusions
- (1)
- A hydrograph-based analysis of sediment is critical for determining the actual availability of riverine sediment due to the variability of the quantity and timing of total suspended sediment during Mississippi River flood pulses. This can be completed for other river locations where sediment diversion is considered;
- (2)
- The high sediment load at Intermediate Flow Stage and High Flow Stage provide approximately 50% of the total annual suspended sediment yield over a period of only 120 days. This implies that sediment diversion outside of this period would be impractical highlighting the need to manage diversions to follow the natural flood regime;
- (3)
- The most effective sediment diversions will rely on discharge during the rising limb of flood pulses to capture the largest quantities of sediment. Knowing that discharge during the rising limb Intermediate Flow Stage and High Flow Stage provide the greatest amount of sediment, managers can effectively operate diversions based on predictions of the timing of a flood pulse moving down the lower Mississippi River.
Acknowledgments
Conflicts of Interest
References
- Couvillion, B.R.; Barras, J.A.; Steyer, G.D.; Sleavin, W.; Fischer, M.; Beck, H.; Nadine, T.; Griffin, B.; Heckman, D. Land Area Change in Coastal Louisiana from 1932 to 2010; U.S. Geological Survey Scientific Investigations Map 3164, Scale 1:265,000; United States Geological Survey: Reston, VA, USA, 2011; p. 12.
- Britsch, L.D.; Dunbar, J.B. Land-loss rates: Louisiana coastal plain. J. Coast. Res. 1993, 9, 324–338. [Google Scholar]
- Barras, J.; Padgett, W.C.; Sanders, C.B. Aerial and Bathymetric Spatial Change Analysis of the West Bay Sediment Diversion Receiving Area, Louisiana, for U.S. Army Engineer District, New Orleans (MVN); Report MR-03; Mobile District Operations Division, Spatial Data Branch: Mobile, AL, USA, 2009; p. 39. [Google Scholar]
- Gagliano, S.M.; Meyer-Arendt, K.J.; Wicker, K.M. Land loss in the Mississippi River Deltaic Plain. Trans. Gulf Coast Assoc. Geol. Soc. 1981, 20, 295–300. [Google Scholar]
- Walker, H.J.; Coleman, J.M.; Roberts, H.H.; Tye, R.S. Wetland Loss in Louisiana. Geogr. Ann. Ser. A Phys. Geogr. 1987, 69, 189–200. [Google Scholar] [CrossRef]
- Kesel, R.H. The role of the Mississippi River in wetland loss in Southeastern Louisiana, U.S.A. Environ. Geol. 1989, 13, 183–193. [Google Scholar]
- Yuill, B.; Lavoie, D.; Reed, D.J. Understanding subsidence processes in coastal Louisiana. J. Coast. Res. 2009, 54, 23–36. [Google Scholar] [CrossRef]
- Louisiana Coastal Wetlands Conservation and Restoration Task Force and the Wetlands Conservation and Restoration Authority (LDNR). Coast 2050: Toward a Sustainable Coastal Louisiana; Louisiana Department of Natural Resources: Baton Rouge, LA, USA, 1998; p. 161.
- Coastal Protection and Restoration Authority of Louisiana (CPRA). Louisiana’s Comprehensive Master Plan for a Sustainable Coast; Coastal Protection and Restoration Authority of Louisiana: Baton Rouge, LA, USA, 2012.
- Sable, S.E.; Villarrubia, C. Analysis of Fisheries-Independent Data for Evaluation of Species Distribution Responses to the Caernarvon Freshwater Diversion; Louisiana Applied Coastal Engineering and Science Division, Office of Coastal Protection and Restoration: Baton Rouge, LA, USA, 2011; p. 86. [Google Scholar]
- Louisiana Department of Natural Resources (LDNR). Davis Pond Freshwater Diversion Project Annual Report 2003–2004; Louisiana Department of Natural Resources: Baton Rouge, LA, USA, 2005; p. 51.
- Office of Coastal Protection and Restoration (OCPR). Davis Pond Freshwater Diversion Project Operational Plan 2011; Louisiana Department of Natural Resources: Baton Rouge, LA, USA, 2011; p. 2.
- Moore, S.; Carter, B.; Bernard, T. Operations, Maintenance, and Monitoring Report for Caernarvon Diversion Outfall Management (BS-03a); Coastal Protection and Restoration Authority of Louisiana: New Orleans, LA, USA, 2011; pp. 1–52. [Google Scholar]
- Kearney, M.S.; Alexis Riter, J.C.; Turner, R.E. Freshwater river diversions for marsh restoration in Louisiana: Twenty-six years of changing vegetative cover and marsh area. Geophys. Res. Lett. 2011, 38, L16405–L164056. [Google Scholar]
- Office of Coastal Protection and Restoration (OCPR). Davis Pond Freshwater Diversion Project Draft Annual Report 2007–2009. Louisiana Department of Natural Resources: Baton Rouge, LA, USA, 2010; pp. 1–23. [Google Scholar]
- Snedden, G.A.; Cable, J.E.; Swarzenski, C.; Swenson, E. Sediment discharge into a subsiding Louisiana deltaic estuary through a Mississippi River diversion. Estuar. Coast. Shelf Sci. 2007, 71, 181–193. [Google Scholar] [CrossRef]
- Howes, N.C.; FitzGerald, D.M.; Hughes, Z.J.; Georgiou, I.Y.; Kulp, M.A.; Miner, M.D.; Smith, J.M.; Barras, J.A. Hurricane-induced failure of low salinity wetlands. Proc. Natl. Acad. Sci. USA 2010, 107, 14014–14019. [Google Scholar] [CrossRef]
- Carter, B. Monitoring Plan for West Bay Sediment Diversion State Project Number MR-03; Coastal Protection and Restoration Authority of Louisiana, Office of Coastal Protection and Restoration: New Orleans, LA, USA, 2003; p. 12.
- United States Army Corps of Engineers (USACE). Fact Sheet West Bay Sediment Diversion (MR-03); United States Army Corps of Engineers and Louisiana Department of Natural Resources: New Orleans, LA, USA, 2009; p. 2.
- Brown, G.; Callegan, C.; Heath, R.; Hubbard, L.; Little, C.; Luong, P.; Martin, K.; McKinney, P.; Perky, D.; Pinkard, F.; et al. ERDC Workplan Report-Draft, West Bay Sediment Diversion Effects; Coastal and Hydraulics Laboratory, U.S Army Engineer Research and Development Center: Vicksburg, MS, USA, 2009; p. 263.
- Louisiana Wildlife Federation. West Bay Diversion Closure; Resolution No. 8B, 2012; Louisiana Wildlife Federation: Baton Rouge, LA, USA, 2012; p. 3. [Google Scholar]
- Heath, R.E.; Sharp, J.A.; Pinkard, C.F., Jr. 1-Dimensional modeling of sedimentation impacts for the Mississippi River at the West Bay Diversion. In Proceedings of the 2nd Joint Federal Interagency Conference, Las Vegas, NV, USA, 27 June–1 July 2010.
- Kolker, A.S. Depositional dynamics in a river diversion receiving basin: The case of the West Bay Mississippi River Diversion. Estuar. Coast. Shelf Sci. 2012, 106, 1–12. [Google Scholar] [CrossRef]
- Moffatt and Nichol. Delta Building Diversion at Myrtle Grove (BA-33) Alternative Modeling; Louisiana Department of Natural Resources: Baton Rouge, LA, USA, 2008.
- Kesel, R.H. The decline in the suspended load of the lower Mississippi River and its influence on adjacent wetlands. Environ. Geol. Water Sci. 1988, 11, 271–281. [Google Scholar] [CrossRef]
- Meade, R.H.; Moody, J.A. Causes for the decline of suspended-sediment discharge in the Mississippi River system, 1940–2007. Hydrol. Process. 2010, 24, 35–49. [Google Scholar]
- Horowitz, A.J. A quarter century of declining suspended sediment fluxes in the Mississippi River and the effect of the 1993 flood. Hydrol. Process. 2010, 24, 13–34. [Google Scholar]
- Thorne, C.; Harmar, O.; Watson, C.; Clifford, N.; Biedenham, D.; Measures, R. Current and historical sediment loads in the lower Mississippi River; Contract Number 1106-EN-01; United States Army European Research Office of the U.S Army: London, UK, 2008.
- Junk, W.J.; Bayley, P.B.; Sparks, R.E. The flood pulse concept in river-floodplain systems. Can. Spec. Publ. Fish Aquat. Sci. 1989, 106, 110–127. [Google Scholar]
- Day, J.W.; Pont, D.; Hensel, P.F.; Ibanez, C. Impacts of sea-level rise on deltas in the Gulf of Mexico and the Mediterranean: The importance of pulsing events to sustainability. Estuaries 1995, 18, 636–647. [Google Scholar] [CrossRef]
- Sparks, R.E. Need for ecosystem management of large rivers and their floodplains. BioScience 1995, 45, 168–182. [Google Scholar] [CrossRef]
- Bayley, P.B. Understanding large river-floodplain ecosystems. BioScience 1995, 45, 153–157. [Google Scholar] [CrossRef]
- Walling, D.H.; He, Q. The spatial variability of overbank sedimentation on river floodplains. Geomorphology 1998, 24, 209–223. [Google Scholar] [CrossRef]
- Allison, M.A.; Meselhe, E.A. The use of large water and sediment diversions in the lower Mississippi River (Louisiana) for coastal restoration. J. Hydrol. 2010, 387, 346–360. [Google Scholar] [CrossRef]
- Baumann, R.H.; Day, J.W.; Miller, C.A. Mississippi Deltaic wetland survival: Sedimentation versus coastal submergence. Science 1984, 224, 1093–1095. [Google Scholar]
- Mossa, J. Sediment dynamics in the lowermost Mississippi River. Eng. Geol. 1996, 45, 457–479. [Google Scholar] [CrossRef]
- Allison, M.A.; Demas, C.R.; Ebersole, B.A.; Kleiss, B.A.; Little, C.D.; Meselhe, E.A.; Powell, N.J.; Pratt, T.C.; Vosburg, B.M. A water and sediment budget for the lower Mississippi-Atchafalaya River in flood years 2008–2010: Implications for sediment discharge to the oceans and coastal restoration in Louisiana. J. Hydrol. 2012, 432, 84–97. [Google Scholar]
- Baca, P. Hysteresis effect in suspended sediment concentration in the Rybarik basin, Slovakia. Hydrol. Sci. J. 2008, 53, 224–235. [Google Scholar]
- Banasik, K.; Madeyski, M.; Mitchell, J.K.; Mori, M. An investigation of lag times for rainfall-runoff-sediment yield events in small river basins. Hydrol. Sci. J. 2005, 50, 857–866. [Google Scholar]
- Tramblay, Y.; St-Hilaire, A.; Ouarda, T.B.M.J. Frequency analysis of maximum annual suspended sediment concentrations in North America. Hydrol. Sci. J. 2008, 53, 236–252. [Google Scholar] [CrossRef]
- Xu, Y.J.; Rosen, T.R. Are riverine sediment discharges sufficient to offset the sinking coast of Louisiana? In Erosion and Sediment Yields in the Changing Environment; IAHS Publication: Wallingford, UK, 2012; pp. 104–113. [Google Scholar]
- Skinner, J. A Spreadsheet Analysis of Suspended Sediment Sampling Errors, in Federal Interagency Sedimentation Project, Waterways Experiment Station, Report TT; Waterways Experiment Station: Vicksburg, MS, USA, 2007; pp. 1–16. [Google Scholar]
- Edwards, T.K.; Glysson, G.D. Field methods for measurement of fluvial sedimen. In Techniques of Water-Resources Investigations; U.S. Geological Survey: Reston, VA, USA, 1999; Book 3, Chapter C2; pp. 1–87. [Google Scholar]
- Beverage, J.P. Determining true depth of samplers suspended in deep, swift rivers. In A Study of Methods and Measurement Analysis of Sediment Loads in Streams; Report GG; Federal Interagency Sedimentation Project: Minneapolis, MN, USA, 1987; pp. 1–56. [Google Scholar]
- Duan, N. Smearing estimate: A nonparametric retransformation method. J. Am. Stat. Assoc. 1983, 78, 605–610. [Google Scholar] [CrossRef]
- Helsel, D.R.; Mueller, D.K.; Slack, J.R. Computer Program for the Kendall Family of Trend Tests; USGS Scientific Investigations Report 2005–5275; U.S. Geological Survey: Reston, VA, USA, 2006; p. 8. [Google Scholar]
- Keown, M.P.; Dardeau, E.A., Jr.; Causey, E.M. Historic trends in the sediment flow regime of the Mississippi River. Water Resour. Res. 1986, 20, 1555–1564. [Google Scholar]
- Walling, D.E. The changing sediment loads of the world’s rivers. Ann. Warsaw Univ. Life Sci. SGGW Land Reclam. 2008, 39, 3–20. [Google Scholar] [CrossRef]
- Trenberth, K.E.; Guillemot, C.J. Physical processes involved in the 1988 drought and 1993 floods in North America. J. Clim. 1995, 9, 1288–1298. [Google Scholar] [CrossRef]
- Copeland, R.R.; Thomas, W.A. Lower Mississippi River Tarbert Landing to East Jetty Sedimentation Study, Numerical Model Investigation; Technical Report HL-92-6; Department of the Army Waterways Experiment Station, Corps of Engineers: Vicksburg, MS, USA, 1992; p. 106. [Google Scholar]
- Xu, Y.J.; Wang, F. Transport and delivery of suspended sediment to Atchafalaya Bay of the northern Gulf of Mexico. J. Hydrol. 2014. submitted for publication. [Google Scholar]
- Roberts, H.H.; Coleman, J.M.; Bentley, S.J.; Walker, N. An embryonic major delta lobe: A new generation of delta studies in the Atchafalaya-Wax Lake Delta system. Gulf Coast Assoc. Geol. Soc. Trans. 2003, 53, 690–703. [Google Scholar]
- Demas, C.R.; Curwick, P.B. Suspended-Sediment and Associated Chemical Transport Characteristics of the Lower Mississippi River, Louisiana; Technical Report No. 45; USGS and Louisiana Department of Transportation and Development Water Resources: Baton Rouge, LA, USA, 1988; p. 51. [Google Scholar]
- Galler, J.J.; Allison, M.A. Estuarine controls on fine-grained sediment storage in the Lower Mississippi and Atchafalaya Rivers. Geol. Soc. Am. Bull. 2008, 120, 386–398. [Google Scholar] [CrossRef]
- Day, J.W.; Cable, J.E.; Cowan, J.H.; DeLaune, R.; de Mutsert, K.; Fry, B.; Mashriqui, H.; Justic, D.; Kemp, P.; Lane, R.R.; et al. The impacts of pulsed reintroduction of river water on a Mississippi Delta coastal basin. J. Coast. Res. 2009, 54, 225–243. [Google Scholar]
© 2014 by the authors; licensee MDPI, Basel, Switzerland. This article is an open access article distributed under the terms and conditions of the Creative Commons Attribution license (http://creativecommons.org/licenses/by/3.0/).
Share and Cite
Rosen, T.; Xu, Y.J. A Hydrograph-Based Sediment Availability Assessment: Implications for Mississippi River Sediment Diversion. Water 2014, 6, 564-583. https://doi.org/10.3390/w6030564
Rosen T, Xu YJ. A Hydrograph-Based Sediment Availability Assessment: Implications for Mississippi River Sediment Diversion. Water. 2014; 6(3):564-583. https://doi.org/10.3390/w6030564
Chicago/Turabian StyleRosen, Timothy, and Y. Jun Xu. 2014. "A Hydrograph-Based Sediment Availability Assessment: Implications for Mississippi River Sediment Diversion" Water 6, no. 3: 564-583. https://doi.org/10.3390/w6030564
APA StyleRosen, T., & Xu, Y. J. (2014). A Hydrograph-Based Sediment Availability Assessment: Implications for Mississippi River Sediment Diversion. Water, 6(3), 564-583. https://doi.org/10.3390/w6030564

