Abstract
We conducted a preliminary investigation of wastewater treatment efficiency and economic cost of the oyster-shell-bedded constructed wetlands (CWs) compared to the conventional gravel-bedded CW based on field monitoring data of water quality and numerical modeling. Four study subsurface (SSF) CWs were built to receive wastewater from Taipei, Taiwan. Among these sites, two are vertical wetlands, filled with bagged- (VA) and scattered- (VB) oyster shells, and the other two horizontal wetlands were filled with scattered-oyster shells (HA) and gravels (HB). The BOD, NO3−, DO and SS treatment efficiency of VA and VB were higher than HA and HB. However, VA was determined as the best option of CW design due to its highest cost-effectiveness in term of BOD removal (only 6.56 US$/kg) as compared to VB, HA and HB (10.88–25.01 US$/kg). The results confirmed that oyster shells were an effective adsorption medium in CWs. Hydraulic design and arrangement of oyster shells could be important in determining their treatment efficiency and cost-effectiveness. A dynamic model was developed to simulate substance transmissions in different treatment processes in the CWS using AQUASIM 2.1 based on the water quality data. Feasible ranges of biomedical parameters involved were determined for characterizing the importance of different biochemical treatment processes in SSF CWs. Future work will involve extending the experimental period to confirm the treatment efficiency of the oyster-shell-bedded CW systems in long-term operation and provide more field data for the simulated model instead of the literature values.
1. Introduction
Constructed wetlands (CWs) are recognized as a low-cost, eco-technology system [,,,,], commonly suggested for small towns that cannot afford expensive conventional treatment systems. Recently, more and more studies have reported that CWs, as engineered systems integrating wetland vegetation, soil and their microbial assemblages to facilitate wastewater treatment, could serve as the natural practical alternatives for wastewater treatment through various physical, chemical and biological processes including adsorption, nitrification-denitrification, plant and microbial assimilation [,,]. In general, there are two major types of CWs including subsurface flow (SSF) constructed wetland and free water surface (FWS) constructed wetland. As suggested by USEPA [,], SSF CWs have the advantages of occupying less land area and isolating the wastewater from vectors to animals and humans. On the other hand, FWS CWs allow the provision of wildlife habitats for supporting high biodiversity and recreational areas for public uses. In Taiwan, as in many island countries, land area is an important resource as there is high population density living on a limited land area. In Taiwan, 23 million people live in 36,000 km2 of land area resulting in the second highest population density in the world. As the cost of land is expensive, SSF CWs could be a better approach for the low-cost wastewater treatment in Taiwan and probably other island countries [].
In Taiwan, shellfish farming activities occupy 129.5 km2 of coastal ocean and result in approximately 28,200 tons of oyster shells every year, this has caused serious environmental problems of oyster shell disposal and health hazards in Taiwan []. The main chemical components of oyster shells include calcium and protein, i.e., aspartic acid and glycine. Previous studies on the physical and chemical properties of oyster shells suggested that oyster shells could be suitable adsorbent medium in CWs. Moreover, as the cost of imported gravels often represented 50% of the building cost of CWs [,], replacing expensive gravels with oyster shells as the adsorption medium in CWs could reduce the capital cost of CWs. Therefore, oyster shells can serves as environmental-friendly waste adsorption medium in the biofilter systems of CWs that enables local sustainability of CWs through reducing disposal cost of oyster shells and avoiding the purchase of expensive adsorption materials [].
Previous studies investigating the wastewater treatment efficiency of oyster-shell-bedded CWs were primarily based on laboratory experiments. Seo et al. [] used oyster shells as the filter medium (internal diameter: 21 mm and height: 365 mm) and examined the phosphorus capacity of those filtering columns. Results showed that oyster shells enabled extending the phosphorus saturation in CWs. Park and Polprasert [] built an integrated constructed wetland system, which consisted of a polyethylene tank with a volume of 0.187 m3 and a post-filter unit filling with oyster shells as the adsorption medium for wastewater treatment. Their results suggested that such a system could help to minimize eutrophication. Also, Lin and Jing [] confirmed the water purification ability of small-scale oyster-shell system (~0.2 m3) on wastewater and sludge. However, few field studies on the “real” oyster-shell-bedded CWs of practical size have been done to investigate their wastewater treatment efficiency and economic cost. Moreover, numerical modeling of water quality in the oyster-shell-bedded CWs is generally lacking.
To fill this gap, we aimed to conduct a preliminary investigation of wastewater treatment efficiency and economic cost of the oyster-shell-bedded CWs compared to the conventional gravel-bedded system based on field monitoring data of water quality and numerical modeling. Numerical modeling is usually regarded as a valuable tool for scientific investigation. In this study, we aimed to use numerical modeling based on field monitoring data for providing further information which cannot be easily obtained from direct experimental observation to help investigate the reasons accounting for the waste removal quantity of different biochemical processes in these natural wastewater treatment systems. Consequently, if we can enhance these essential biochemical processes by wetland settings, the efficiency of decontamination will be increased. Furthermore, numerical modeling can estimate outcomes before carrying out many complicated, time consuming, and high-cost experiments. This can thus provide decision makers different potential directions for cost-effective design and management. In this study, four unvegetated study SSF CWs including two vertical (VA and VB filled with bagged and scattered oyster shells respectively) and two horizontal subsurface wetlands (HA and HB filled with scattered oyster shells and gravels respectively) were built to receive municipal wastewater in Taipei, Taiwan. The treatment efficiency and the cost-effectiveness of these four types of study wetland were compared. Since this investigation was the first attempt to study the waste removal efficiency of oyster shells in SFF CWs, it was important to reduce the possible confounding factors in the systems for better understanding of the performance of oyster shells in the wastewater treatment process, no macrophyte was planted in these CWs [,]. A dynamic model was then developed within AQUASIM 2.1 platform []. The model contained seven variables and five submodels, which could be used to estimate water quality change and biochemical reactions in CWs. Based on the experimental results, parameter regression and sensitivity analysis were performed to determine the feasible range of each parameter, and sensitivity of each biochemical process in CWs.
2. Materials and Methods
2.1. Field Experiment
2.1.1. Site Description
Four SSF CWs (latitude 25°4'17" N, longitude 121°27'31" E, absolute altitude = 3.6 m a.s.l.) were established in the floodplain of Ta-Han Stream in Taipei, Taiwan as our study sites (Figure 1a). These wetlands were built to receive municipal wastewater from Taipei City. The wastewater flowing to Ta-Han Stream mainly comes from domestic discharge (>90%) only with minor contribution from industrial and agricultural sewage []. Thus, the contamination sources are dominated by organic pollutants coming from black water (fecal sewage) and gray water (wastewater from dishwashers, washing machines, sinks, and baths).

Figure 1.
(a) Configuration; and (b) arrangement plan of the constructed wetlands (CWs) []. VA, VB, HA and HB were built with bagged oyster shells, scattered oyster shells, scattered oyster shells and gravels as adsorption media respectively.
2.1.2. Configuration of the Four Study SSF CWs
In order to investigate the wastewater treatment efficiency of the oyster-shell-bedded CW systems as compared to the conventional gravel-bedded CW, we established four study SSF CWs built into two different types of water-flowing systems, including two vertical SSF CWs and two horizontal SSF CWs, packed with different arrangements of oyster shells and gravels. The two vertical SSF CWs were measured 8.4 m × 8.4 m × 1 m (L × W × D) in size and filled with oyster shells with average dimensions of 6.76 cm long, 4.23 cm wide, and 0.27 cm thick. Bagged and scattered stacking methods of oyster shells were applied to these two vertical SSF CWs named as VA and VB respectively. The original purpose of bagged oyster-shell arrangement included fixing the void ratio in the unit and stabilizing the system of filtering medium under high wastewater discharge. The two horizontal SSF CWs were named as HA and HB (Figure 1b). The dimension of each horizontal SSF constructed wetland was 12 m × 3.4 m × 1 m (L × W × D). HA wetland was filled with oyster shells as the adsorbent medium while HB wetland was a conventional gravel-bedded constructed wetland. Due to the difference in physical properties between oyster shells and gravels (Table 1), the resulting difference in the waste removal quantity between HA and HB wetlands could therefore be indicative of the waste treatment performance between these two filtering materials.

Table 1.
Summary of physical properties of oyster shells and gravels [].
Item | Oyster shells | Gravels |
---|---|---|
True density (kg/m3) | 1273 | 2283 |
Bulk density (kg/m3) | 289 | 1365 |
Porosity (%) | 77 | 40 |
Special surface area (m2/kg) | 0.96 | 0.23 |
Special surface area (m2/m3) | 1217 | 527 |
The inflow discharge of wastewater was maintained consistently for the four study SSF constructed wetlands, i.e., between 101 and 225 m3/day, to simulate the natural condition of Ta-Han Stream floodplain. The water outlet of each study SSF constructed wetland was designed as a gravitational jet form to increase the aeration effect. Same source of the inflow wastewater was directed to the four SSF CWs. The inflow water quality and the operation procedures of all four sites were maintained identical (Table 2). During the study period, inflow wastewater was first pumped through the aeration tank for oxygenation and allowed for precipitation as pre-treatment, it was then flowed into each study constructed wetland separately so that we could monitor the water quality of the outflow to determine the treatment efficiency and waste removal quantity of the four study SSF CWs. The purposes for the two-stage pre-treatment included removing the suspended solids through precipitation and oxidizing most of the ammonium into nitrates through aeration to enable the denitrification of nitrates into nitrogen in the anaerobic environment of the four SSF CWs.

Table 2.
Water quality parameters of the wetland influent in this study.
Descriptive statistics | BOD | DO | TP | SS | NH4+ | NO3− | pH | Temp |
---|---|---|---|---|---|---|---|---|
Average | 14.7 | 2.34 | 0.99 | 32.8 | 9.09 | 0.75 | 7.05 | 28.5 |
SD | 4.53 | 0.56 | 0.37 | 6.21 | 3.79 | 0.61 | 0.24 | 0.83 |
Maximum | 27.7 | 3.90 | 1.93 | 65.0 | 24.6 | 2.83 | 7.68 | 32.4 |
Minimum | 5.48 | 0.20 | 0.49 | 12.0 | 1.88 | 0.04 | 6.74 | 26.9 |
Notes: Unit of BOD, DO, NH4+, NO3−, TP and SS = mg/L; unit of Temp = °C.
The present work was the pioneer study of application of oyster shells as the adsorbent medium in the “real” SSF CWs, our experiment was carried out for 55 days during June 25–August 18, 2008 to provide preliminary data of the waste treatment performance and cost effectiveness of the oyster-shell-bedded constructed wetland systems. Operational data of the four study CWs were collected twice per day by measuring eight water quality parameters including temperature (°C), pH, concentrations of biochemical oxygen demand (BOD, mg/L), dissolved oxygen (DO, mg/L), total phosphorous (TP, mg/L), suspended solids (SS, mg/L), ammonium (NH4+, mg/L), and nitrate (NO3−, mg/L). Measurement of these water quality parameters were based on the standard methods [].
As the inflow wastewater was dominated by organic pollutants, BOD was selected as the key parameter for assessing waste removal quantity and treatment efficiency for the organic wastewater by the four SSF CWs. The waste removal quantity and treatment efficiency were evaluated at 35-day and 55-day periods during the wetland operation. The mean hydraulic retention time (HRT) of the four SSF CWs were 0.2 day [range = 0.09 (HB)–0.28 (VB)] and 0.12 day [range = 0.07 (HB)–0.19 (VA)] at 35-day and 55-day operation periods respectively (Table 3).

Table 3.
Average wastewater removal quantity (g/m3/day) and average treatment efficiency (%) and hydraulic properties of the four study wetlands calculated at 35-day and 55-day operation period in the present study.
Removal quantity (g/m3/day) | BOD | DO | TP | SS | NH4+ | NO3− | Q (CMD) | HRT (day) | ||||
Average wastewater removal quantity in 35 days | ||||||||||||
HA(oyster shells) | 13.52 | 6.27 | 0.55 | 60.18 | −0.91 | 1.50 | 114.98 | 0.16 | ||||
HB(gravels) | 9.81 | 5.59 | 0.89 | 49.65 | 2.19 | 0.61 | 101.21 | 0.09 | ||||
VA(bagged oyster shells) | 9.24 | 3.50 | 0.46 | 39.76 | −0.97 | 0.60 | 122.99 | 0.26 | ||||
VB(scattered oyster shells) | 8.03 | 3.35 | 0.20 | 37.85 | 0.61 | 0.41 | 111.67 | 0.28 | ||||
Average wastewater removal quantity in 55 days | ||||||||||||
HA | 23.17 | 8.89 | 0.35 | 114.65 | 2.00 | 2.42 | 178.79 | 0.09 | ||||
HB | 12.61 | 5.69 | 0.34 | 64.60 | −0.10 | 0.60 | 110.09 | 0.07 | ||||
VA | 21.50 | 6.92 | 0.34 | 100.62 | −4.45 | 1.51 | 224.91 | 0.13 | ||||
VB | 17.59 | 4.32 | 0.10 | 57.76 | −1.55 | 0.54 | 137.36 | 0.19 | ||||
Rate (%) | BOD | DO | TP | SS | NH4+ | NO3− | ||||||
Average treatment efficiency in 35 days | ||||||||||||
HA | 24.23 | 46.97 | 4.23 | 38.83 | −7.53 | 24.32 | ||||||
HB | 21.97 | 49.01 | 18.20 | 34.23 | 4.93 | 8.87 | ||||||
VA | 24.97 | 44.29 | 5.96 | 39.18 | −7.15 | 19.42 | ||||||
VB | 19.13 | 49.66 | −0.90 | 44.10 | −2.67 | 4.82 | ||||||
Average treatment efficiency in 55 days | ||||||||||||
HA | 22.14 | 47.46 | 1.89 | 41.28 | −3.43 | 26.86 | ||||||
HB | 19.68 | 49.70 | 5.48 | 38.73 | −5.03 | 7.42 | ||||||
VA | 28.61 | 49.30 | 3.15 | 43.68 | −11.00 | 19.98 | ||||||
VB | 22.22 | 51.42 | −0.87 | 48.11 | −10.60 | 10.90 |
2.1.3. Cost-Effectiveness Analysis
The total cost of wastewater treatment consists of two aspects including the capital cost (i.e., construction cost) and operation and maintenance (O&M) cost. The capital costs of our four study SSF CWs included the construction materials and building services was determined from the actual expenses involved in establishing these CWs. However, the expense of land was neglected in the present study as our field experiment was conducted on the land owned by the local Government and it was impossible to estimate the cost of land rental. As BOD is commonly regarded as an important index of wastewater treatment in Taiwan and many other countries [,], so the cost per mass BOD removed was selected as the measure of wastewater treatment performance in the present cost-effectiveness analysis. In our study, the BOD treatment performance was estimated during the operation time of our experimental period of 35 and 55 days. The cost-effectiveness values of the four study SSF CWs in 55-day period were calculated. However, it would be important to consider the cost-effectiveness of wastewater treatment of CWs in long-term operation. We therefore broke the capital costs into 20-year annuity (w) by the following equation:
where P is the capital cost and r is the interest rate which was assumed to be 0.05 []. The total costs per annuity of the four study wetlands were obtained by the summation of their capital costs per annuity and O&M costs.

2.1.4. Statistical Analysis
Data of inflow and outflow water quality of the four study SSF CWs were compared and used for determination of their wastewater treatment efficiency. Water quality data were first checked for normality and homogeneity of variance test, one-way Analysis of Variance (ANOVA) was then used to test the difference in each water chemistry parameter among the four SSF CW. Student-Newman-Keuls Post-hoc test (S-N-K test) was applied when significant among-site difference in water chemistry parameter was detected by the 1-way ANOVA. All statistical analysis was carried out using SPSS Statistics 17.0.
2.2. Simulation Model
In the CWs, biochemical reactions, such as mineralization, nitrification, respiration, biofilm adsorption, biomass decay, and sediments consumption are important wastewater treatment mechanisms []. Many computer programs such as CW2D [] and WASP/EUTRO5 [] were developed for describing complex reactions in CWs. In this study, we used the program AQUASIM 2.1, which was originally designed for identification and simulation of aquatic systems under varied situations []. The major reason for choosing AQUASIM was due to its flexible operational platform for easily simulation of the above biochemical processes in CWs, especially biofilm adsorption. In water quality modeling, we assumed water was well mixed in SSF CWs, so that the mixed reactor compartment, a water quality simulation tool in AQUASIM, was applied to describe well-mixed domains. Then, temporal variations of BOD, DO, TP, SS, NH4+, and NO3− concentrations during the wastewater treatment processes could be then simulated. Details of the water quality operational equations, biochemical processes, five water chemistry submodels of C-cycle, O-cycle, N-cycle, P-cycle, and suspended solids from our water quality model were reported in the following sections [Table 4, Table 5; see also the definition of each process rate in Equations (2) to (7)].

Table 4.
Parameters and reaction kinetics of different nutrient cycle processes involved in the CW waste treatment [].
Process rate | Definition | Rate |
---|---|---|
C-cycle | ||
rBOD | Biochemical degradation | ![]() |
rR_BOD | Microorganism respiration | ![]() |
rDecay_BOD | Biomass decay | ![]() |
rB_BOD | Biofilm adsorption | ![]() |
O-cycle | ||
rDO | Biochemical degradation | ![]() |
rN_DO | Nitrification | ![]() |
rR_DO | Microorganism respiration | ![]() |
rSOD | Sediment consumption | ![]() |
rB_DO | Biofilm adsorption | ![]() |
P-cycle | ||
rP | Phosphorous utilization by microorganisms | ![]() |
rSettling_P | Phosphorous settling | ![]() |
rDecay_P | Biomass decay | ![]() |
rB_P | Biofilm adsorption | ![]() |
Suspended solids | ||
rFitration | Filtration | ![]() |
rSettling_SS | Settling | ![]() |
rDecay_SS | Biomass decay | ![]() |
rB_SS | Biofilm adsorption | ![]() |
N-cycle | ||
rN_N | Nitrification | ![]() |
rG_NH4 | Ammonia utilization by microorganisms | ![]() |
rG_NO3 | Nitrate utilization by microorganisms | ![]() |
rReg | Ammonia regeneration | ![]() |
rMin | Mineralization | ![]() |
rDN | Denitrification | ![]() |
rDecay_N | Biomass decay | ![]() |
rB_N | Biofilm adsorption | ![]() |
CT* | Temp. dependent factor | ![]() |
CpH* | pH growth-limiting factor | If pH<7.2 then (1-0.833•(7.2-pH) ) else 1 |
Also, as accumulated studies on CWs have suggested that biofilm was an important factor associated with the water quality of CWs, e.g., [,], the biofilm reactor compartment was established in our model for estimating the biofilm population dynamics. Detailed descriptions of the model coefficients, parameters and constants of the biofilm reactor compartment are given in Table 5.

Table 5.
Summary of parameters and constants of different biochemical processes of CW waste treatment involved in the simulated model (experimental data, C-cycle, O-cycle, P-cycle and SS removal, N-cycle, biofilms, temperature coefficients and half-saturation constants).
Parameter | Description | Literature range | Unit | Source |
---|---|---|---|---|
Experimental data | ||||
A | Cross-sectional area | - | m2 | Field monitoring data |
AS | Special surface area of media | - | m2/m3 | [] |
BODd | Dissolve BOD | - | mg/L | Field monitoring data |
BODs | Suspended BOD | - | mg/L | Field monitoring data |
dc | Diameter of collector | - | m | Field monitoring data |
H | Depth | - | m | Field monitoring data |
p | Porosity | - | % | Field monitoring data |
Qin | Inflow | - | m3/day | Field monitoring data |
SNagger | Nitrogen in aggregates | - | mg/L | Field monitoring data |
SON | Organic nitrogen | - | mg/L | Field monitoring data |
C-cycle | ||||
kBOD | Biochemical degradation rate of BOD | 0.3 | day−1 | [] |
kDecay_BOD | Biomass decay rate | 0.15 | day−1 | [] |
ksob_BOD | Biofilm adsorption coefficient of BOD | - | m−3day−1 | - |
RBOD | Microorganisms respiration coefficient | - | - | - |
μBOD | Max growth rate of hetero. at 20 °C | 0.8–6 | day−1 | [] |
φBOD | Empirical constant of BOD | 0.098 | °C−1 | [] |
O-cycle | ||||
HSDO | Sediment oxygen demand constant | 2.5 | mg/L | [] |
kd_C | Degradation rate for BODd | 0.3 | day−1 | [] |
kN | Nitrification rate at 20 °C | 0.05 | day−1 | [] |
ks_C | Degradation rate for BODs | 0.3 | day−1 | [] |
ksed | Sedimentation coefficient | 0.1 | - | [] |
ksob_DO | Biofilm adsorption coefficient of DO | - | m−3day−1 | - |
RDO | Heterotrophic respiration coefficient | 0.1 | - | - |
SOD | Sediment oxygen demand | 0.1 | gO2/m2day | [] |
μDO | Max growth rate of hetero. at 20 °C | 0.015–0.2 | day−1 | [,] |
φDO | Empirical constant of DO | 0.098 | °C−1 | [] |
P-cycle | ||||
iP,BM | Phosphorus content of biomass | 0.02 | mgP/mgBM | [] |
kDecay_P | Biomass decay rate | 0.15 | day−1 | [] |
kP | Biochemical degradation rate | - | day−1 | - |
kSettling_P | Phosphorous settling coefficient | 0.03 | m−1day−1 | - |
ksob_P | Biofilm adsorption coefficient of TP | - | m−3day−1 | - |
φP | Empirical constant of TP | 0.098 | °C−1 | [] |
Suspended solids | ||||
dSS | Diameter of settling particle | 0.1–4 | mm | [] |
kDecay_SS | Biomass decay rate | 0.15 | day−1 | [] |
kF | Filtration coefficient | - | - | - |
kSettling_SS | Settling coefficient | - | m−3 | - |
ksob_SS | Biofilm adsorption coefficient of SS | - | m−3day−1 | - |
α | Sticking coefficient | 0.0008–0.012 | - | [] |
ρs | Density of settling particle | 1050–1500 | kg/m3 | [] |
ρW | Density of water | 995.69 | kg/m3 | [] |
νW | Kinematic viscosity of water | 0.0867 | m2/day | [] |
φSS | Empirical constant of SS | 0.098 | °C−1 | [] |
N-cycle | ||||
iN,BM | Nitrogen content of biomass | 0.07 | mgN/mgBM | [] |
kDecay_N | Biomass decay rate | 0.15 | day−1 | [] |
kDN | Denitrification rate at 20 °C | 0–1 | day−1 | [] |
kG_NH4 | NH4+ uptake preference factor | - | - | - |
kG_NO3 | NO3− uptake preference factor | - | - | - |
kMin | Mineralization rate | 0.0005–0.143 | day−1 | [] |
kN_N | Growth rate of nitrosomonas by nitrification | 0.33–2.21 | day−1 | [] |
kReg | NH4+ regeneration rate | 0.085 | day−1 | [] |
ksob_N | Biofilm adsorption coefficient of NH4+ and NO3− | - | m−3day−1 | - |
Yn | Nitrosomonas yield coefficient | 0.03–0.13 | mgVSS/mgN | [] |
μmax,20 | Max. growth rate of bacteria at 20 °C | 0.18 | day−1 | [] |
φN | Empirical constant | 0.098 | °C−1 | [] |
Biofilms | ||||
bX1 | Microorganism heterotroph decay rate | 0.3 | day−1 | - |
bX2 | Microorganism nitrosomonas decay rate | 0.3 | day−1 | - |
DNH4 | Diffusion coefficient of NH4+ | 1.71 × 10−4 | m2/day | [] |
DNO3 | Diffusion coefficient of NO3− | (4.5–27.9) × 10−6 | m2/day | [] |
DTOC | TOC diffusion coefficient | 1.56 × 10−5 | m2/day | [] |
DX | Microorganism diffusion coefficient | - | m2/day | - |
LFmodel | Biofilms thickness | - | m | Biofilm model result |
XH | Heterotrophic organisms | - | mg/L | Biofilm model result |
Y1 | Yield constant of heterotroph | 0.6 | - | [] |
Y2 | NH4+ yield constant of nitrosomonas | 0.13 | - | [] |
Y3 | NO3− yield constant of nitrosomonas | 0.03 | - | [] |
μX1 | Max growth rate of heterotroph | 3–6 | day−1 | [,] |
μX2 | Max growth rate of nitrosomonas | 0.33–2.21 | day−1 | [] |
Temperature coefficient | ||||
θBOD | Temp. coefficient of degradation | 1.09 | - | [] |
θDecay | Temp. coefficient of biomass decay | - | - | - |
θR | Temp. coefficient of respiration | - | - | - |
θDN | Temp. coefficient of denitrification | 1.15 | - | [] |
θgrowth | Temp. coefficient of microorganisms growth | 1.08–1.12 | - | [] |
θN | Temp. coefficient of nitrification | 1.1 | - | [] |
Half- saturation (Half-sat.) constant | ||||
KBOD | Half-sat. constant of BOD | 2 | mg/L | [] |
KDO | Half-sat. constant of DO | 2 | gO2/m3 | [] |
KP | Half-sat. constant of TP | 0.02 | mg/L | [] |
Kn | Half-sat. constant of NH4+ nitrosomonas | 0.05 | mg/L | [] |
KnDO | Half-sat. constant of DO nitrosomonas | 0.13–1.3 | mg/L | [] |
KNH4 | Half-sat. constant of NH4+ | 2 | gCOD/m3 | [] |
KNO3 | Half-sat. constant of NO3− | 0.15–0.5 | gN/m3 | [,] |
2.2.1. Carbon Cycle
Organic matters usually exist in five different types in CWs, e.g., dissolved phase, suspended phase, bottom phase, biomass, and inertia carbon []. Microorganisms play the principal roles of organic matter removal in CWs through their utilization and respiration. The temporal and spatial variability of BOD in CWs are controlled by the following equation (Table 4, Table 5):
where Iin,BOD is loading of BOD into the reactor (mass per unit per time), VR is the reactor volume, Qout is the volumetric outflow, and CBOD is the concentration of BOD. Other process rates are shown in Table 4.

2.2.2. Oxygen Cycle
DO is one of the most important water quality indicators as many biochemical processes require the participation of oxygen. As the flow velocity is relatively low and water surface area for gaseous exchange is small in SSF CWs, oxygen cannot enter its water bodies by diffusion. Moreover, there is no other aeration mechanism such as photosynthesis, root-zone effect and artificial aeration in these wetlands. Therefore, DO is further diminished by the processes associated with sediment oxygen demand, bacteria respiration, nitrification, and oxidation of BOD as described by the following equation (Table 4, Table 5):
where Iin,DO is loading of DO into the reactor (mass per unit per time), and CDO is the concentration of DO.

2.2.3. Phosphorus Cycle
Removal rates of TP in CWs are dominated by plant uptake []. In addition, phosphorus can combined with heavy metal, adsorbed by suspended solids and utilized by microorganisms in wetlands. The mass balance equation for TP is given in the following (Table 4, Table 5):
where Iin,TP is loading of TP into the reactor (mass per unit per time) and CTP is the concentration of TP.

2.2.4. Suspended Solids
Multiple physical processes relating to filtration and precipitation control the temporal variability of SS in CWs. In SSF CWs, SS can be blocked, trapped and intercepted when they pass through stems/roots of plants, sandstones, and other media. In our simulated model, we also considered the adsorption of biofilm as a momentous process for SS removal. The mass balance for SS in wetlands is given as follows (Table 4, Table 5):
where Iin,SS is loading of suspended solids into the reactor (mass per unit per time), and CSS is the concentration of suspended solids.

2.2.5. Nitrogen Cycle
In natural environment, nitrogen involves in many biochemical processes and it exists in many different forms from the most oxidized form nitrates (NO3−) to the most reduced form ammonium (NH4+). Organic nitrogen in wetlands is first transformed into NH4+ through mineralization, and then converted into NO3− via the two stages of nitrification []. During the removal process of NH4+, part of the NH4+ is converted into NO3− and remains in wetlands. In this study, we therefore considered dissolved nitrogen (NH4+ and NO3−) as the major forms of nitrogen in the study CWs. The mass balance for NH4+ and NO3− are given as follows (Table 4, Table 5):
where
is loading of NH4+ into the reactor (mass per unit per time),
is loading of NO3− into the reactor (mass per unit per time),
is the concentration of NH4+, and
is the concentration of NO3−.






2.2.6. Biofilm Reactor Compartment
The biofilm model is developed based on the one-dimensional mixed culture biofilm model [,] (Table 5). The one-dimensional conservation laws are formulated by AQUASIM 2.1 to describe the transmission processes of dissolved substances and suspended solids in biofilms (solid matrix and pore water). The growth or decay of organisms was expressed by the expansion or contraction of biofilms.
2.2.7. Sensitivity Analysis
The wastewater treatment efficiency in each wetland was obtained based on the monitoring data of inflow and outflow water quality in the study SSF CWs. The influence of different biochemical processes on the wastewater treatment efficiency were quantified by inputting the field monitoring data of the four wetlands into the water quality model for sensitivity analysis. The sensitivity analysis was used to determine the sensitivity and relative importance of each biochemical process [,]. We first applied the absolute-relative sensitivity function [Equation (8)] provided by AQUASIM to measure the sensitive value (SensAR) of each parameter:
where SensAR is sensitive value; p is a model parameter and y is a state variable.

Since BOD removal is one of the main functions of CWs and BOD loading are commonly considered as an important factor for assessing wetland operation [,,], BOD was taken as the basis for the evaluation of the sensitivity of parameters in this study. Also, as identification of parameters is necessary for improving the accuracy of water quality simulations, the feasible range of all parameters in oyster-shell-bedded CWs were determined in AQUASIM.
3. Results and Discussion
3.1. Field Experiment
3.1.1. Cost-Effectiveness Analysis
The capital costs, O&M costs, total costs and cost-effectiveness in 55-day- and 20-year annuity period for each study SSF CW were shown in Table 6. The original capital costs were 19 times of the capital cost in 20-year annuity. Therefore, the capital costs made up of the majority (~97%) of the total costs of all four CWs when the operation period was 55 days. However, the capital cost per annuity was only 20% of HA, VA and VB, and 24% of HB of the total costs when these wetlands were assumed to be operated for 20 years. Moreover, the total cost for all the CWs operated for in 55-day-period [range = US$10711 (HA)–13586 (HB)] were 2.9–3.7 times higher as compared to the total cost for 20-year annuity [range = US$2737 (VB)–2869 (HB)]. Also, the cost per mass BOD removed was 25–30 times higher in all wetlands for the 55-day than 20-year annuity period. Our results highlighted that the economic returns of CWs would be higher for long-term operation.
Among the four study SSF CWs, the capital cost and total cost of gravel bedded site HB were 16%–28% higher than the other three filled with oyster shells. However, the total BOD removal quantity of HB was only one forth to half of HA, VA and VB. Our results showed that, upon long term operation (20-year annuity), the treatment cost of 1kg BOD was US$25.01 in HB but only US$6.56 was required for VA wetland. VA also demonstrated the highest cost-effectiveness among the three oyster-shell filled CW systems (HA = US$13.04; VB = US$10.88). This confirmed that oyster shells were the cost-effective adsorption medium in SSF CW as compared to the conventional gravel-bedded SSF CW.

Table 6.
Results of cost-effectiveness analysis of the four study SSF CWs.
Cost | HA | HB | VA | VB |
---|---|---|---|---|
Capital cost | ||||
Suppose engineering | 916 | 987 | 1046 | 1046 |
Civil engineering | 570 | 614 | 651 | 651 |
Pumping well | 254 | 273 | 290 | 290 |
Aeration pond | 851 | 916 | 971 | 971 |
Diversion cut | 1740 | 1880 | 0 | 0 |
Reverse-flushing system | 1260 | 1167 | 0 | 0 |
Water distribution pipe | 0 | 0 | 560 | 560 |
Sludge pipe | 0 | 0 | 1700 | 1700 |
Antiseep engineering | 1406 | 1514 | 1606 | 1606 |
Collection drains | 1960 | 2111 | 2239 | 2239 |
Media paving | 282 | 303 | 322 | 322 |
Water quality monitoring pipe | 133 | 133 | 100 | 100 |
Gravels | 0 | 3360 | 0 | 0 |
Oyster shell transport | 1007 | 0 | 1007 | 1007 |
Bagged | 0 | 0 | 984 | 0 |
Original capital cost (US$) | 10379 | 13258 | 11475 | 10491 |
Capital cost—20-year annuity (US$/yr) | 545 | 696 | 602 | 551 |
O&M cost | ||||
55-day-operation-period (US$) | 332 | 328 | 335 | 329 |
Per year (US$/yr) | 2205 | 2173 | 2226 | 2186 |
Total cost | ||||
55-day-operation-period (US$) | 10711 | 13586 | 11810 | 10820 |
20-year annuity (US$/yr) | 2749 | 2869 | 2828 | 2737 |
Total waste removal quantity of BOD during the operation time | ||||
55-day-operation-period (kg) | 31.77 | 17.29 | 64.97 | 37.92 |
Per year (kg/yr) | 210.83 | 114.74 | 431.17 | 251.63 |
Cost-effectiveness value (Cost per mass BOD removed) | ||||
55-day-operation-period (US$/kg) | 337.15 | 785.79 | 181.78 | 285.38 |
20-year annuity (US$/kg) | 13.04 | 25.01 | 6.56 | 10.88 |
3.1.2. Treatment Efficiency Analysis
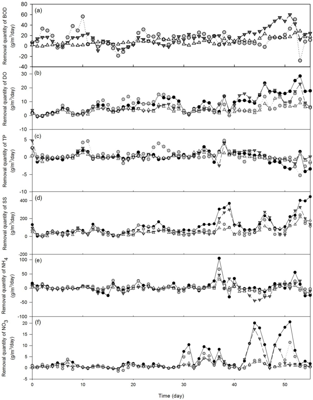
As no macrophyte was planted in the four study SSF CWs, the wastewater treatment mechanisms were dominated by physical deposition and biochemical decomposition, including settling, filtration, regeneration, nitrification, denitrification, mineralization, sediment consumption, biomass decay, microorganism respiration, biochemical degradation, biofilm adsorption, and microorganism utilization. The waste removal quantity of BOD, DO, TP, SS, NH4+, and NO3− showed inconsistent trend in HA, HB, VA, and VB wetlands during our study period (Figure 2a–f; Table 7). Removal quantity of BOD, SS and NO3− were higher in HA and VA wetlands. But, the removal of TP was not significant in these wetlands. In wastewater purification processes, DO was consumed continuously by the aerobic biochemical reactions, resulting in the low DO concentration in outflow from all four wetlands (Figure 2b).
The average waste removal quantity of most wastewater parameters increased slightly from 35-day to 55-day-periods but the average treatment efficiency of all wastewater parameters remained fairly constant between 35-day and 55-day-periods. Our preliminary findings suggested that increasing the operation time could enhance the success of CWs in terms of wastewater treatment efficiency. However, further confirmation would be needed for the four types of study CWs in Taiwan by extending the length of study period.

Figure 2.
Waste removal quantity (g/m3/day) of (a) oxygen demand (BOD); (b) dissolved oxygen (DO); (c) total phosphorous (TP); (d) suspended solids (SS); (e) NH4+; and (f) NO3− in the four study SSF wetlands (HA = black circles; HB = grey circles; VA = inverted grey triangle; VB = white triangle).

Table 7.
Results of one-way Analysis of Variance (ANOVA) assessing the waste removal quantity of each wastewater parameter among the four study SSF CWs. * p < 0.05.
Wastewater parameter | F-value | P-value |
---|---|---|
BOD | 2.655 | 0.049* |
DO | 8.498 | 0.000* |
TP | 0.380 | 0.767 |
SS | 6.727 | 0.000* |
NH4+ | 1.388 | 0.247 |
NO3− | 4.233 | 0.006* |
Our results highlighted that there were significant differences in the waste removal quantity of BOD, DO, NO3−, SS among the four wetlands (BOD: F3, 220 = 2.655, p = 0.049; DO: F3, 220 = 8.498, p < 0.001; NO3−: F3, 220 = 4.233, p = 0.006; SS: F3, 200 = 6.727, p < 0.001) (Table 7). Post-hoc S-N-K comparisons between HA and HB wetlands showed that waste removal quantity in HA (23.17 g/m3/day for BOD, 2.42 g/m3/day for NO3−, and 114.65 g/m3/day for SS) was significantly higher than HB (12.61 g/m3/day for BOD, 0.6 g/m3/day for NO3−, and 64.6 g/m3/day for SS) (Table 3). Thus, the treatment efficiency of HA was higher than HB in BOD, NH4+, NO3−, and SS. However, the BOD, NO3−, DO and SS treatment efficiency of both HA and HB were lower than VA and VB primarily due to the difference in the site infrastructure (Figure 1b) and the size of biofilm reactor compartment (VA and VB > HA and HB).
Comparing HA and VB wetlands, HA had 1.92 g/m3/day NO3− and 56.89 g/m3/day SS of waste removal quantity which were significantly higher than VB. However, VB showed slightly higher treatment efficiency than HA because the reactor volume of VB was larger than HA. On the other hand, despite the SS removal quantity in VA wetland was significantly higher than VB (100.62 g/m3/day and 57.76 g/m3/day respectively) (Table 3, Table 8), treatment efficiency of SS remained relatively similar among the four study CWs.

Table 8.
Results of sensitivity analysis of BOD removal quantity from all biochemical processes in the simulated model.
Parameters | SensAR | SensAR | SensAR | SensAR | |||||
---|---|---|---|---|---|---|---|---|---|
RMS | Mean | RMS | Mean | RMS | Mean | RMS | Mean | ||
HA | HB | VA | VB | ||||||
ksob_BOD | 3.535 | −3.086 | 0.920 | −0.794 | 3.341 | −3.053 | 3.338 | −3.179 | |
kDecay_BOD | 1.578 | 1.392 | 0.571 | 0.538 | 1.753 | 1.663 | 0.958 | 0.930 | |
kBOD | 0.556 | −0.492 | 1.856 | −1.713 | 0.098 | 0.083 | 0.280 | −0.257 | |
RBOD | 0.274 | −0.231 | 0.009 | 0.004 | 0.146 | −0.241 | 0.204 | −0.187 |
Comparison between bagged (VA) and scattered (VB) arrangement oyster-shell-bedded CW indicated that the waste removal quantity and treatment efficiency between these two wetlands were generally similar. However, VA wetland demonstrated significantly highest BOD treatment efficiency among all study CWs. Our results indicated that oyster shells were an effective adsorption medium in SSF CW because of its lower cost and better wastewater treatment performance as compared to the conventional gravel-bedded SSF CW. But, the site infrastructure, hydraulic patterns and arrangement of oyster shells could be important in determining the waste removal efficiency and cost-effectiveness of CWs. The observed effectiveness of oyster shells as biofilter substrates in CWs due to their higher porosity and surface area/volume ratio as compared to gravels, and thus providing larger contact area for efficient nutrient treatment (Table 1) [].
In addition, as denitrification usually occurs in low dissolved oxygen or anaerobic conditions because denitrifying bacteria are usually anaerobic and heterotrophic, the efficiency of denitrification is also limited by the source of carbon in the environment []. Among the four study wetlands, HA showed the highest NO3− removal efficiency probably due to its low DO environment (Figure 3). In general, horizontal SSF CWs were predominantly anaerobic, but the oxygen supply is usually higher in vertical SSF CWs which show higher rates of bio-decomposition of organic carbon []. This could therefore explain the higher BOD removal efficiencies in VA and VB wetlands.

Figure 3.
Simulated BOD, DO, TP, SS, NH4+ and NO3− outflow results and measured data in (a) HA; (b) HB; (c) VA; and (d) VB wetlands.
3.2. Simulation
3.2.1. Sensitivity Analysis
The biofilm adsorption coefficient of BOD (ksob_BOD) had the highest SensAR in most of the treatment units except for the gravel-bedded constructed wetland (HB) among the four key parameters (ksob_BOD, kDecay_BOD, kBOD and RBOD) (Table 8). This suggested that the biofilm adsorption was the most effective process for BOD removal quantity in all three oyster-shell-bedded wetlands (i.e., HA, VA and VB wetlands) as SensAR represented the waste removal quantity of each biochemical processes (Table 8). Hence, biofilm adsorption was the major mechanism for wastewater treatment in the three oyster-shell-bedded CWs as previous studies confirmed that oyster shells provided more area for microbial propagation than gravels [,]. Therefore, the treatment efficiency in CWs can be enhanced by using oyster shells as an adsorption medium.
3.2.2. Feasible Range of Parameters in Oyster-Shell-Bedded CWs
Field monitoring data of water quality from the three oyster-shell-bedded CWs were input to the water quality model to determine the feasible range of each parameter. In this part, we avoided changing values of constants such as half-saturation constant, max growth rate of bacteria, and others, which were obtained from microorganism experiments. Thus, three sets of parameters were obtained by model fitting of the experimental data of the three oyster-shell-bedded wetlands. The model fitting results of HA, VA, and VB wetlands are given in Figure 3.
For the three sets of parameters, we took the maximum value as the upper bound and the minimum value as the lower bound of each parameter. The upper and lower bounds were integrated to set the feasible range of each parameter in Table 9. The feasible range could provide a reference for simulation and prediction in further studies.

Table 9.
Feasible range of parameters in the oyster-shell bedded CWs.
Submodel | Parameter | HA | VA | VB | Feasible range |
---|---|---|---|---|---|
C-cycle | kBOD | 0.680 | 0.894 | 0.752 | 0.680–0.894 |
kDecay_BOD | 5.977 | 8.764 | 9.335 | 5.977–9.335 | |
ksob_BOD | 12.65 | 34.13 | 32.69 | 12.65–34.13 | |
RBOD | 6.704 | 17.97 | 13.08 | 6.704–17.97 | |
θBOD | 0.931 | 0.898 | 0.826 | 0.826–0.931 | |
θDecay | 0.794 | 0.764 | 0.706 | 0.706–0.794 | |
θR | 0.729 | 0.771 | 0.745 | 0.729–0.771 | |
μBOD | 3.000 | 3.000 | 3.000 | 3.000 | |
φBOD | 0.081 | 0.104 | 0.097 | 0.081–0.104 | |
O-cycle | HSDO | 3.000 | 3.000 | 3.000 | 3.000 |
kd_C | 0.076 | 0.268 | 0.010 | 0.010–0.268 | |
kN | 0.001 | 0.001 | 0.001 | 0.001 | |
ks_C | 0.578 | 1.001 | 0.572 | 0.572–1.001 | |
ksed | 0.921 | 0.742 | 0.897 | 0.742–0.897 | |
ksob_DO | 23.36 | 26.14 | 45.01 | 23.36–45.01 | |
RDO | 10.55 | 23.02 | 8.224 | 8.224–10.56 | |
SOD | 0.100 | 0.100 | 0.100 | 0.100 | |
θBOD | 0.905 | 0.759 | 0.854 | 0.759–0.905 | |
θN | 0.688 | 0.600 | 0.600 | 0.600–0.688 | |
θR | 0.881 | 0.836 | 0.799 | 0.799–0.881 | |
μDO | 0.163 | 0.163 | 0.163 | 0.163 | |
φDO | 0.010 | 0.010 | 0.010 | 0.010 | |
P-cycle | iP, BM | 0.020 | 0.020 | 0.020 | 0.020 |
kDecay_P | 5.662 | 11.68 | 10.83 | 5.662–11.68 | |
kP | 0.472 | 2.127 | 0.921 | 0.472–2.127 | |
kSettling_P | 0.020 | 0.025 | 0.024 | 0.020–0.025 | |
ksob_P | 0.058 | 0.593 | 0.309 | 0.058–0.593 | |
θDecay | 0.725 | 0.903 | 0.848 | 0.725–0.903 | |
θR | 0.757 | 0.718 | 0.742 | 0.718–0.757 | |
φP | 0.130 | 0.127 | 0.092 | 0.092–0.130 | |
SS | dSS | 0.001 | 0.001 | 0.001 | 0.001 |
kDecay_SS | 1.514 | 3.937 | 2.413 | 1.514–3.937 | |
kF | 0.007 | 0.017 | 0.007 | 0.007–0.017 | |
kSettling_SS | 0.100 | 0.300 | 0.315 | 0.100–0.315 | |
ksob_SS | 8.390 | 16.74 | 28.24 | 8.390–28.24 | |
Sg | 1500 | 1500 | 1500 | 1500 | |
α | 0.007 | 0.007 | 0.007 | 0.007 | |
ρS | 1300 | 1300 | 1300 | 1300 | |
ρW | 995.7 | 995.7 | 995.7 | 995.7 | |
νW | 0.087 | 0.087 | 0.087 | 0.087 | |
θDecay | 1.043 | 0.996 | 1.028 | 0.996–1.043 | |
φSS | 0.018 | 0.134 | 0.010 | 0.010–0.134 | |
N-cycle | iN, BM | 0.070 | 0.070 | 0.070 | 0.070 |
kDecay_N | 0.035 | 0.086 | 0.178 | 0.035–0.178 | |
kDN | 1.582 | 0.051 | 0.771 | 0.051–1.582 | |
kG_NH4 | 0.354 | 0.032 | 0.032 | 0.032–0.354 | |
kG_NO3 | 0.727 | 2.934 | 2.477 | 0.727–2.934 | |
kMin | 0.100 | 0.569 | 0.228 | 0.100–0.569 | |
kN_N | 0.873 | 0.808 | 0.915 | 0.808–0.915 | |
kReg | 0.100 | 0.731 | 0.291 | 0.100–0.731 | |
ksob_N | 0.934 | 1.498 | 1.347 | 0.934–1.498 | |
Yn | 0.130 | 0.130 | 0.130 | 0.130 | |
φP | 0.130 | 0.127 | 0.092 | 0.092–0.130 | |
θDecay | 0.894 | 0.852 | 0.882 | 0.852–0.884 | |
θDN | 1.181 | 1.198 | 0.958 | 0.958–1.198 | |
θGrowth | 0.871 | 0.903 | 0.900 | 0.871–0.903 | |
θN | 0.939 | 0.768 | 0.77 | 0.768–0.939 | |
μmax,20 | 0.180 | 0.180 | 0.180 | 0.180 | |
φN | 0.098 | 0.098 | 0.098 | 0.098 |
3.2.3. Applications of Our Model
Many wetland models presented previously often used diffusion coefficient in sublayer (m2/day), diffusivity of substrate in biofilm (m2/day), and sublayer thickness (m), along with the experiment results of the biofilm thickness (from 1.46 × 10−3 to 1.62 × 10−3 m), to estimate reaction of biofilm adsorption [,]. In contrast, our model utilized the biofilm compartment in AQUASIM to perform an initial dynamic modeling of the biofilm time variation, as one of the referencing conditions for water quality modeling. After that, a sensitivity analysis on different influential factors was carried out to identify the significant biofilm biochemical mechanisms for water quality improvement.
4. Conclusions
Based on experimental investigation of oyster-shell- and gravel-bedded CW systems on wastewater treatment efficiency, economic cost and numerical modeling of water quality, the present study has led to following conclusions,
- (1)
- The four study SSF CWs showed a significant difference in the waste removal quantity of BOD, DO, NO3−, and SS. The waste removal quantity of the horizontal SSF oyster-shell-bedded CW (HA) was significantly higher than the horizontal SSF gravel-bedded CW (HB) but similar to the vertical SSF oyster-shell CW (VB). Comparison between bagged (VA) and scattered (VB) arrangement oyster-shell-bedded CWs indicated that the waste removal quantity and treatment efficiency between these two wetlands were generally similar. However, VA wetland demonstrated significantly highest BOD removal capacity among all study sites but also showing the lowest cost per mass BOD removed (6.56 US$/kg) as compared to other three CWs (10.88–25.01 US$/kg). Therefore, VA was determined as the best option for SFF CW in terms of waste treatment efficiency and cost-effectiveness.
- (2)
- The total costs of the four study CWs ranged from 2,737 (VB) to 2,869 (HB) US$/yr in 20-year annuity whereas they were between 10,711 (HA) and 13,586 (HB) US$ for only 55-day operation period. Also, the relative importance of capital costs to the total costs of all CWs for long-term operation (20-year annuity) was only one fifth of that for 55 days’ operation. Therefore, results of the cost-effectiveness analysis highlighted that the economic returns of CWs would be higher for long-term operation.
- (3)
- The average waste removal quantity of most wastewater parameters increased slightly from 35-day to 55-day-periods but the average treatment efficiency of all wastewater parameters remained fairly constant between 35-day and 55-day-periods. Our findings suggested that establishment time could be critical for the success of CWs with respect to wastewater treatment efficiency.
- (4)
- The results of our numerical water quality model demonstrated that, biofilm adsorption played the most essential role in the wastewater treatment processes in oyster-shell-bedded CWs but biochemical degradation was the most significant mechanism in gravel-bedded CW.
- (5)
- The feasible range of each water quality parameter in oyster-shell bedded wetlands was identified in the present study, and it was obtained by a regression model using the field monitoring data. These feasible ranges could be used for water quality simulations in the CWs and this could help characterizing different CWs by determining the quantitative importance of different biochemical treatment processes in SSF CWs.
Therefore, our study confirmed that oyster shells were an effective adsorption medium in SSF CWs because of its lower cost and better wastewater treatment performance as compared to the conventional gravel-bedded SSF CW. However, the hydraulic design and arrangement of oyster shells could be important in determining the waste removal efficiency and cost-effectiveness of CWs. Data from the present study would then be used in future investigation of its effects in the vegetated CWs to enhance our understanding on the vegetation influence in the waste treatment efficiency in the oyster-shell-bedded CWs. We will further extend the study period in order to confirm the waste treatment efficiency of the four types of study CWs in long-term operation and provide more field data for the simulated model instead of the literature values. Also, the environmental impacts during the construction of operation period of the oyster-bedded CWs will be evaluated to provide information for developing this type of sustainable natural waste treatment system, e.g., [].
Acknowledgements
This research was supported by the National Science Council ROC (Grant No.: NSC 100-2221-E-002-191-MY3 and 101-2625-M-002-006). The authors are grateful to the editors and anonymous reviewers for their detailed suggestions and helpful comments that improved this manuscript. We also thank YL Teng for her technical assistance of this work.
References
- Economopoulou, M.A.; Tsihrintzis, V.A. Design methodology and area sensitivity analysis of horizontal subsurface flow constructed wetlands. Water Resour. Manag. 2003, 17, 147–174. [Google Scholar] [CrossRef]
- Vymazal, J.; Brix, H.; Cooper, P.F.; Haberl, R.; Perfler, R.; Laber, J. Removal Mechanisms and Types of Constructed Wetlands. In Constructed Wetlands for Wastewater Treatment in Europe; Backhuys: Leiden, The Netherland, 1998; pp. 17–66. [Google Scholar]
- Vymazal, J. Constructed wetlands for wastewater treatment. Water 2010, 2, 530–549. [Google Scholar] [CrossRef]
- Teng, C.J.; Leu, S.Y.; Ko, C.H.; Fan, C.; Sheu, Y.S.; Hu, H.Y. Economic and environmental analysis of using constructed riparian wetlands to support urbanized municipal wastewater treatment. Ecol. Eng. 2012, 44, 249–258. [Google Scholar] [CrossRef]
- Chen, G.Q.; Shao, L.; Chen, Z.M.; Li, Z.; Zhang, B.; Chen, H.; Wu, Z. Low-carbon assessment for ecological wastewater treatment by a constructed wetland in Beijing. Ecol. Eng. 2011, 37, 622–628. [Google Scholar]
- U.S. Environmental Protection Agency (USEPA), Wastewater Technology Fact Sheet Wetlands: Subsurface Flow; EPA 832-F-00-023; Office of Water, USEPA: Washington, DC, USA, 2000.
- U.S. Environmental Protection Agency (USEPA), Manual Constructed Wetlands Treatment of Municipal Wastewaters; EPA 625-R-99-010; USEPA: Cincinnati, OH, USA, 2000.
- Hsu, Y.F.; Pan, W.C. Study on the Production and Labor of Oyster-Cultivating Industry in Tong-Shih: A Periphery in the Commodity Chain. In Nanhua University Policy Research; Nanhua University: Chiayi, Taiwan, 2003; pp. 105–138. [Google Scholar]
- Lin, Y.F.; Jing, S.R. Recycling of Seafood Solid Waste as Substrate Material Used in Constructed Wetland for Wastewater Treatment; National Sciences Council: Taipei, Taiwan, 2006. [Google Scholar]
- Chen, B.; Chen, Z.M.; Zhou, Y.; Zhou, J.B.; Chen, G.Q. Emergy as embodied energy based assessment for local sustainability of a constructed wetland in Beijing. Commun. Nonlinear Sci. Numer. Simul. 2009, 14, 622–635. [Google Scholar]
- Seo, D.C.; Cho, J.S.; Lee, H.J.; Heo, J.S. Phosphorus retention capacity of filter media for estimating the longevity of constructed wetland. Water Res. 2005, 39, 2445–2457. [Google Scholar]
- Park, W.H.; Polprasert, C. Roles of oyster shells in an integrated constructed wetland system designed for P removal. Ecol. Eng. 2008, 34, 50–56. [Google Scholar]
- Huett, D.O.; Morris, S.G.; Smith, G.; Hunt, N. Nitrogen and phosphorus removal from plant nursery runoff in vegetated and unvegetated subsurface flow wetlands. Water Res. 2005, 39, 3259–3272. [Google Scholar]
- Reichert, P. AQUASIM 2.0: Computer Program for the Identification and Simulation of Aquatic Systems; Swiss Federal Institute for Environmental Science and Technology (EAWAG): Dübendorf, Switzerland, 1998. [Google Scholar]
- Environmental Protection Administration, Republic of China (ROCEPA). Environmental Water Quality Information; ROCEPA: Taipei, Taiwan, 2010. Available online: http://wq.epa.gov.tw/WQEPA/Code/?Languages=en (accessed on 1 February 2013).
- Chang, C.F. Economical Analysis of Oyster Shells Contact Bed in Wastewater Treatment. M.S. Thesis, National Taiwan University, Taipei, Taiwan, 2009. [Google Scholar]
- APHA, Standard Methods for Examination of Water and Wastewater, 20th ed.; American Public Health Association, American Water Works Association, Water Environment Federation: Washington, DC, USA, 1998.
- Henrichs, M.; Langergraber, G.; Uhl, M. Modelling of organic matter degradation in constructed wetlands for treatment of combined sewer overflow. Sci. Total Environ. 2007, 380, 196–209. [Google Scholar]
- Yang, C.P.; Kuo, J.T.; Lung, W.S.; Lai, J.S.; Wu, J.T. Water quality and ecosystem modeling of tidal wetlands. J. Environ. Eng. 2007, 133, 711–721. [Google Scholar]
- Downing, A.L. Population Dynamics in Biological System. In Proceedings of 3rd International Conference of Water Pollution Research, Munich, Germany, 1966; Volume 2, pp. 117–137.
- Ottova, V.; Balcarova, J.; Vymazal, J. Microbial characteristics of constructed wetlands. Water Sci. Tech. 1997, 35, 117–123. [Google Scholar]
- Fountoulakis, M.S.; Terzakis, S.; Chatzinotas, A.; Brix, H.; Kalogerakis, N.; Manios, T. Pilot-scale comparison of constructed wetlands operated under high hydraulic, loading rates and attached biofilm reactors for domestic wastewater treatment. Sci. Total Environ. 2009, 407, 2996–3003. [Google Scholar]
- Lopes, J.F.; Silva, C. Temporal and spatial distribution of dissolved oxygen in the Ria de Aveiro lagoon. Ecol. Model. 2006, 197, 67–88. [Google Scholar] [CrossRef]
- Hull, V.; Parrella, L.; Falcucci, M. Modelling dissolved oxygen dynamics in coastal lagoons. Ecol. Model. 2008, 211, 468–480. [Google Scholar]
- Lin, T.S. The Effect of Variation of Tank Volume on Heterotrophic/Nitrifying Species in TNCU3 Activated Sludge Process. M.S. Thesis, Chaoyang University of Technology, Taichung, Taiwan, 2005. [Google Scholar]
- Wynn, T.M.; Liehr, S.K. Development of a constructed subsurface-flow wetland simulation model. Ecol. Eng. 2001, 16, 519–536. [Google Scholar]
- Reichert, P.; Borchardt, D.; Henze, M.; Rauch, W.; Shanahan, P.; Somlyody, L.; Vanrolleghem, P. River water quality model No. 1 (RWQM1): II. Biochemical process equations. Water Sci. Tech. 2001, 43, 11–30. [Google Scholar]
- Henze, M. Wastewater Treatment: Biological and Chemical Processes; Springer: Berlin, Germany, 2002. [Google Scholar]
- Poirier, M.R. Minimum Velocity Required to Transport Solid Particles from the 2H-Evaporator to the Tank Farm. Westinghouse Savannah River Company: Aiken, SC, USA, 2000; WSRC-TR-2000-00263. [Google Scholar]
- Polprasert, C.; Khatiwada, N.R. An integrated kinetic model for water hyacinth ponds used for wastewater treatment. Water Res. 1998, 32, 179–185. [Google Scholar]
- Tchobanoglous, G.; Burton, F.L. Wastewater Engineering:Treatment, Disposal, and Reuse; McGraw-Hill: New York, NY, USA, 1991. [Google Scholar]
- Young, D.F.; Munson, B.R.; Okiishi, T.H.; Huebsch, W.W. A Brief Introduction to Fluid Mechanics; John Wiley & Sons: New York, NY, USA, 2010. [Google Scholar]
- Baca, R.G.; Arnett, R.C. A Limnological Model for Eutrophic Lakes and Impoundments; Battelle, Pacific Northwest Laboratories, for USEPA, Office of Research and Development: Richland, WA, USA, 1976. [Google Scholar]
- Martin, J.F.; Reddy, K.R. Interaction and spatial distribution of wetland nitrogen processes. Ecol. Model. 1997, 105, 1–21. [Google Scholar]
- Jørgensen, S.E.; Nielsen, S.N.; Jørgensen, L.A. Handbook of Ecological Parameters and Ecotoxicology; Elsevier: Amsterdam, The Netherland, 1991. [Google Scholar]
- Mayo, A.W.; Bigambo, T. Nitrogen transformation in horizontal subsurface flow constructed wetlands I: Model development. Phys. Chem. Earth. 2005, 30, 658–667. [Google Scholar] [CrossRef]
- Charley, R.C.; Hooper, D.G.; McLee, A.G. Nitrification kinetics in activated-sludge at various temperatures and dissolved-oxygen concentrations. Water Res. 1980, 14, 1387–1396. [Google Scholar]
- Ferrara, R.A.; Harleman, D.R.F. Dynamic nutrient cycle model for waste stabilization ponds. J. Environ. Eng. ASCE. 1980, 106, 37–54. [Google Scholar]
- Thibodeaux, L.J. Environmental Chemodynamics:Movement of Chemicals in Air, Water, and Soil; John. Wiley & Sons: New York, NY, USA, 1996. [Google Scholar]
- Hill, D. Diffusion-coefficients of nitrate, chloride, sulfate and water in cracked and uncracked chalk. J. Soil Sci. 1984, 35, 27–33. [Google Scholar]
- Domingos, R.F.; Benedetti, M.F.; Croué, J.P.; Pinheiro, J.P. Electrochemical methodology to study labile trace metal/natural organic matter complexation at low concentration levels in natural waters. Anal. Chim. Acta 2004, 521, 77–86. [Google Scholar] [CrossRef]
- Henze, M. Activated Sludge Models ASM1, ASM2, ASM2d and ASM3; IWA Publishing: London, UK, 2000. [Google Scholar]
- Reed, S.C.; Crites, R.W.; Middlebrooks, E.J. Natural Systems for Waste Management and Treatment; McGraw-Hill: New York, NY, USA, 1998. [Google Scholar]
- Ghermandi, A.; Vandenberghe, V.; Benedetti, L.; Bauwens, W.; Vanrolleghem, P.A. Model-based assessment of shading effect by riparian vegetation on river water quality. Ecol. Eng. 2009, 35, 92–104. [Google Scholar] [CrossRef]
- Henze, M.; Gujer, W.; Mino, T.; Matsuo, T.; Wentzel, M.C.; Marais, G.V.R.; van Loosdrecht, M.C.M. Activated sludge model No.2d, ASM2d. Water Sci. Tech. 1999, 39, 165–182. [Google Scholar]
- Wanner, O.; Reichert, P. Mathematical modeling of mixed-culture biofilms. Biotechnol. Bioeng. 1996, 49, 172–184. [Google Scholar] [CrossRef]
- Wang, Y.C.; Lin, Y.P.; Huang, C.W.; Chiang, L.C.; Chu, H.J.; Ou, W.S. A system dynamic model and sensitivity analysis for simulating domestic pollution removal in a free-water surface constructed wetland. Water Air Soil Pollut. 2012, 223, 2719–2742. [Google Scholar]
- Her, J.J.; Huang, J.S. Influences of carbon surface and C/N ratio on nitrate nitrite denitrification and carbon breakthrough. Bioresour. Technol. 1995, 54, 45–51. [Google Scholar] [CrossRef]
- Luederitz, V.; Eckert, E.; Lange-Weber, M.; Lange, A.; Gersberg, R.M. Nutrient removal efficiency and resource economics of vertical flow and horizontal flow constructed wetlands. Ecol. Eng. 2001, 18, 157–171. [Google Scholar] [CrossRef]
- Bouwer, E.J. Theoretical investigation of particle deposition in biofilm systems. Water Res. 1987, 21, 1489–1498. [Google Scholar] [CrossRef]
- Tufenkji, N.; Elimelech, M. Correlation equation for predicting single-collector efficiency in physicochemical filtration in saturated porous media. Environ. Sci. Technol. 2004, 38, 529–536. [Google Scholar] [CrossRef]
- Dixon, A.; Simon, M.; Burkitt, T. Assessing the environmental impact of two options for small-scale wastewater treatment: Comparing a reedbed and an aerated biological filter using a life cycle approach. Ecol. Eng. 2003, 20, 297–308. [Google Scholar] [CrossRef]
© 2013 by the authors; licensee MDPI, Basel, Switzerland. This article is an open access article distributed under the terms and conditions of the Creative Commons Attribution license (http://creativecommons.org/licenses/by/3.0/).