Transport and Retention of Nitrogen, Phosphorus and Carbon in North America’s Largest River Swamp Basin, the Atchafalaya River Basin
Abstract
:1. Introduction
2. Methods
2.1. Atchafalaya River Basin

2.2. River Discharge and Water Quality Data
2.3. Estimation of Mass Transport of Carbon, Nitrogen and Phosphorus
| b0 | b1 | R-square | RMSE | n | ||
|---|---|---|---|---|---|---|
| Inflow | TOC | −10.037 | 1.183 | 0.82 | 0.341 | 145 |
| TKN | −12.404 | 1.201 | 0.82 | 0.323 | 149 | |
| NO3 + NO2 | −10.227 | 1.115 | 0.64 | 0.493 | 160 | |
| TP | −17.557 | 1.344 | 0.81 | 0.385 | 150 | |
| Outflow | TOC | −9.709 | 1.166 | 0.75 | 0.346 | 251 |
| TKN | −16.039 | 1.325 | 0.78 | 0.357 | 254 | |
| NO3 + NO2 | −10.616 | 1.132 | 0.63 | 0.446 | 267 | |
| TP | −21.891 | 1.492 | 0.82 | 0.358 | 259 |
3. Results
3.1. Hydrologic Characteristics of the Atchafalaya


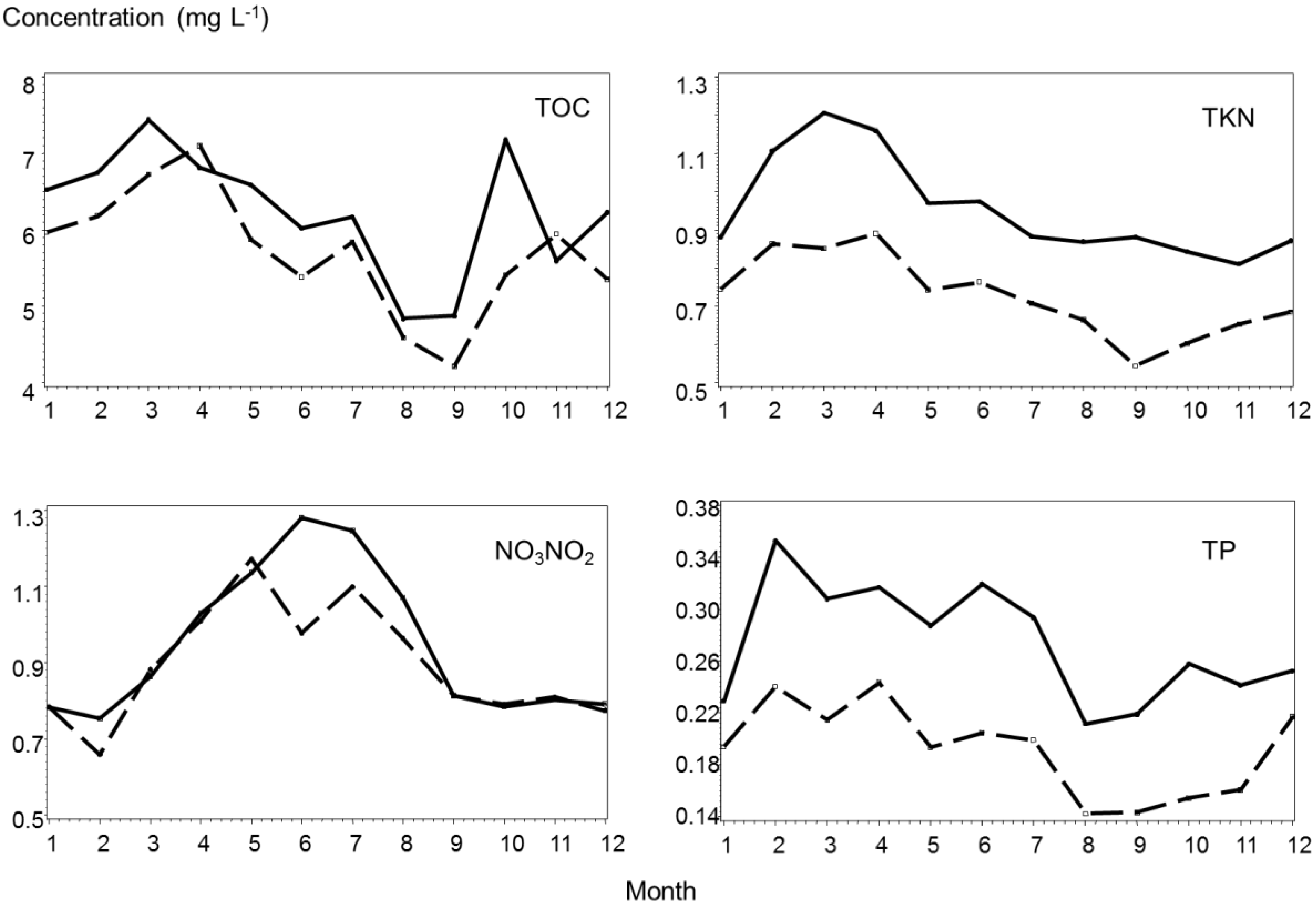
3.2. Riverine Carbon, Nitrogen, and Phosphorus Concentrations

| Simmesport | Morgan City | diff | p > |t| | |
|---|---|---|---|---|
| Mean ± SE (mg L−1) | ||||
| TOC | 6.32 ± 0.19 | 5.71 ± 0.14 | 0.61 | <0.0001 |
| TKN | 0.97 ± 0.03 | 0.73 ± 0.02 | 0.24 | <0.0001 |
| NO3 + NO2 | 0.89 ± 0.03 | 0.94 ± 0.03 | −0.05 | =0.9498 |
| TP | 0.28 ± 0.01 | 0.19 ± 0.01 | 0.09 | <0.0001 |
3.3. Mass Inflow, Outflow and Retention of Carbon, Nitrogen and Phosphorus

| Year | TOC * (×103 t) | TKN * (×103 t) | NO3 + NO2 (×103 t) | TP (×103 t) | ||||||||
|---|---|---|---|---|---|---|---|---|---|---|---|---|
| In | Out | ±Δ% | In | Out | ±Δ% | In | Out | ±Δ% | In | Out | ±Δ% | |
| 1978 | 1114.5 | 984.6 | 11.7 | 170.6 | 128.6 | 24.6 | 147.9 | 156.2 | −5.6 | 48.8 | 34.4 | 29.6 |
| 1979 | 1806.6 | 1528.0 | 15.4 | 274.9 | 208.9 | 24.0 | 227.8 | 236.6 | −3.9 | 82.3 | 59.2 | 28.1 |
| 1980 | 1001.4 | 900.8 | 10.0 | 153.6 | 117.2 | 23.7 | 132.2 | 143.1 | −8.3 | 43.4 | 30.8 | 29.0 |
| 1981 | 811.6 | 746.0 | 8.1 | 123.5 | 94.4 | 23.5 | 110.1 | 120.8 | −9.7 | 34.1 | 24.1 | 29.4 |
| 1982 | 1310.3 | 1131.1 | 13.7 | 201.6 | 150.4 | 25.4 | 173.5 | 181.1 | −4.4 | 58.6 | 40.9 | 30.2 |
| 1983 | 1738.2 | 1474.4 | 15.2 | 267.1 | 205.5 | 23.1 | 222.2 | 231.5 | −4.2 | 81.1 | 58.7 | 27.6 |
| 1984 | 1522.9 | 1308.4 | 14.1 | 232.3 | 175.4 | 24.5 | 197.9 | 207.1 | −4.7 | 68.6 | 48.7 | 29.1 |
| 1985 | 1452.6 | 1254.3 | 13.7 | 221.4 | 166.9 | 24.6 | 187.0 | 196.5 | −5.1 | 65.4 | 46.3 | 29.1 |
| 1986 | 1231.2 | 1084.3 | 11.9 | 187.5 | 141.2 | 24.7 | 161.6 | 172.1 | −6.5 | 54.0 | 38.2 | 29.3 |
| 1987 | 934.9 | 844.5 | 9.7 | 142.6 | 107.2 | 24.8 | 122.8 | 132.8 | −8.1 | 40.0 | 28.0 | 29.8 |
| 1988 | 871.6 | 798.2 | 8.4 | 132.2 | 102.5 | 22.4 | 113.0 | 124.7 | −10.3 | 37.6 | 27.2 | 27.7 |
| 1989 | 1399.0 | 1213.8 | 13.2 | 213.0 | 161.5 | 24.2 | 177.6 | 188.4 | −6.0 | 62.2 | 44.2 | 29.0 |
| 1990 | 1524.4 | 1297.1 | 14.9 | 235.5 | 175.3 | 25.6 | 194.7 | 203.3 | −4.4 | 70.1 | 49.2 | 29.7 |
| 1991 | 1624.9 | 1387.4 | 14.6 | 249.2 | 189.2 | 24.1 | 207.2 | 216.0 | −4.3 | 74.9 | 53.6 | 28.4 |
| 1992 | 1091.8 | 974.2 | 10.8 | 166.1 | 124.0 | 25.3 | 143.5 | 154.3 | −7.5 | 46.7 | 32.6 | 30.2 |
| 1993 | 1954.1 | 1539.7 | 21.2 | 299.8 | 209.2 | 30.2 | 248.7 | 241.0 | 3.1 | 90.2 | 58.6 | 35.1 |
| 1994 | 1353.5 | 1160.0 | 14.3 | 207.0 | 154.5 | 25.3 | 174.6 | 183.3 | −5.0 | 60.7 | 42.5 | 30.1 |
| 1995 | 1223.4 | 1138.7 | 6.9 | 186.7 | 149.5 | 19.9 | 158.9 | 178.4 | −12.3 | 53.9 | 40.4 | 25.0 |
| 1996 | 1356.3 | 1137.0 | 16.2 | 207.1 | 147.6 | 28.8 | 175.7 | 178.6 | −1.6 | 60.1 | 39.8 | 33.7 |
| 1997 | 1489.5 | 1278.1 | 14.2 | 228.2 | 173.4 | 24.0 | 190.6 | 198.9 | −4.3 | 68.1 | 48.6 | 28.6 |
| 1998 | 1477.6 | 1311.2 | 11.3 | 226.0 | 177.8 | 21.3 | 190.2 | 208.0 | −9.4 | 66.5 | 49.0 | 26.4 |
| 1999 | 1189.1 | 1058.4 | 11.0 | 181.6 | 139.1 | 23.4 | 154.2 | 168.4 | −9.3 | 52.7 | 38.2 | 27.6 |
| 2000 | 743.3 | 650.8 | 12.5 | 112.5 | 78.8 | 29.9 | 99.6 | 103.6 | −4.1 | 30.5 | 19.6 | 35.5 |
| 2001 | 1181.5 | 1064.2 | 9.9 | 180.2 | 139.3 | 22.7 | 153.9 | 168.2 | −9.3 | 51.7 | 37.4 | 27.8 |
| 2002 | 1298.7 | 1190.6 | 8.3 | 197.4 | 159.0 | 19.5 | 166.2 | 187.0 | −12.5 | 57.1 | 43.9 | 23.1 |
| 2003 | 1160.5 | 1065.5 | 8.2 | 176.9 | 139.5 | 21.1 | 151.5 | 168.5 | −11.3 | 50.5 | 37.6 | 25.7 |
| 2004 | 1405.1 | 1235.8 | 12.1 | 214.6 | 162.4 | 24.3 | 182.0 | 192.7 | −5.9 | 62.3 | 43.7 | 29.7 |
| mean | 1306.2 | 1139.1 | 12.3 | 199.6 | 151.1 | 24.3 | 169.1 | 179.3 | −6.5 | 58.2 | 41.3 | 29.1 |
4. Discussion

5. Conclusions
Acknowledgements
References
- Xu, Y.J.; BryantMason, A. Determining the Nitrate Contribution of the Red River to the Atchafalaya River in the Northern Gulf of Mexico under Changing Climate. In Water Quality: Current Trends and Expected Climate Change Impacts; Peters, J., Ed.; IAHS Publication 348; IAHS Press: Wallingford, UK, 2011; pp. 95–100. [Google Scholar]
- Turner, R.E.; Rabalais, N.N. Coastal eutrophication near the Mississippi River Delta. Nature 1994, 368, 619–621. [Google Scholar] [CrossRef]
- Goolsby, D.A.; Battaglin, W.A.; Aulenbach, B.T.; Hooper, R.P. Nitrogen input to the Gulf of Mexico. J. Environ. Quality 2001, 30, 329–336. [Google Scholar] [CrossRef]
- Rabalais, N.N.; Diaz, R.J.; Levin, L.A.; Turner, R.E.; Gilbert, D.; Zhang, J. Dynamics and distribution of natural and human-caused coastal hypoxia. Biogeosciences 2010, 7, 585–619. [Google Scholar] [CrossRef]
- Turner, R.E.; Rabalais, N.N. Changes in Mississippi River water quality this century. Bioscience 1991, 41, 140–147. [Google Scholar] [CrossRef]
- Rabalais, N.N.; Turner, R.E.; Justic, D.; Dortch, Q.; Wiseman, W.J., Jr.; Sen Gupta, B.K. Nutrient changes in the Mississippi River, and system responses on the adjacent continental shelf. Estuaries 1996, 19, 386–407. [Google Scholar] [CrossRef]
- Rabalais, N.N.; Turner, R.E.; Wiseman, W.J., Jr.; Dortch, Q. Consequences of the 1993 Mississippi River flood in the gulf of Mexico. Regul. Rivers Res. Manag. 1998, 14, 161–177. [Google Scholar] [CrossRef]
- Rabalais, N.N.; Turner, R.E.; Scavia, D. Beyond science into policy: Gulf of Mexico hypoxia and the Mississippi river. BioScience 2002, 52, 129–142. [Google Scholar] [CrossRef]
- Mississippi River/Gulf of Mexico Watershed Nutrient Task Force, 2008. Gulf of Mexico Action Plan 2008. Available online: http://water.epa.gov/type/watersheds/named/msbasin/actionplan.cfm (accessed on 27 March 2013).
- Xu, Y.J. Total nitrogen inflow and outflow from a large river swamp basin to the Gulf of Mexico. Hydrol. Sci. J. 2006, 51, 531–542. [Google Scholar] [CrossRef]
- Xu, Y.J.; Patil, A. Organic carbon fluxes from the Atchafalaya River into the Gulf of Mexico. In Coastal Environment and Water Quality; Xu, Y.J., Singh, V.P., Eds.; Water Resources Publications: Highlands Ranch, CO, USA, 2006; pp. 217–226. [Google Scholar]
- Murphy, K.E.; Touchet, B.A.; White, A.G.; Daigle, J.J.; Clark, H.L. Soil survey of St Martin Parish, Louisiana, U.S.; Department of Agriculture Soil Conservation Service: Washington, DC, USA, 1977. [Google Scholar]
- SAS/STAT User’s Guide, Version 6.12, 4th ed; SAS Institute Inc.: Cary, NC, USA, 1996.
- Lambou, V.W.; Hern, S.C. Transport of organic-carbon in the Atchafalaya Basin, Louisiana. Hydrobiologia 1983, 98, 25–34. [Google Scholar] [CrossRef]
- Malcolm, R.L.; Durum, W.H. Organic Carbon and Nitrogen Concentration and Annual Carbon Load of Six Selected Rivers in United States; USGS Water Supply paper 1817F; U.S. Government Printing Office: Washington, DC, USA, 1976. [Google Scholar]
- Dittmar, T.; Kattner, G. Recalcitrant dissolved organic matter in the ocean: Major contribution of small amphiphilics. Mar. Chem. 2003, 82, 115–123. [Google Scholar] [CrossRef]
- Hedges, J.I.; Keil, R.G.; Benner, R. What happens to terrestrial organic matter in the ocean? Org. Geochem. 1997, 27, 195–212. [Google Scholar] [CrossRef]
- Benner, R.; Opsahl, S.; ChinLeo, G.; Richey, J.E.; Forsberg, B.R. Bacterial carbon metabolism in the Amazon River system. Limnol. Oceanogr. 1995, 40, 1262–1270. [Google Scholar] [CrossRef]
- Miller, W.L.; Moran, M.A. Interaction of photochemical and microbial processes in the degradation of refractory dissolved organic matter from a coastal marine environment. Limnol. Oceanogr. 1997, 42, 1317–1324. [Google Scholar] [CrossRef]
- Opsahl, S.; Benner, R. Distribution and cycling of terrigenous dissolved organic matter in the ocean. Nature 1997, 386, 480–482. [Google Scholar] [CrossRef]
- Coffin, R.B.; Cifuentes, L.A. Stable isotope analysis of carbon cycling in the Perdido Estuary, Florida. Estuaries 1999, 22, 917–926. [Google Scholar] [CrossRef]
- Raymond, P.A.; Bauer, J.E. DOC cycling in a temperate estuary: A mass balance approach using natural 14C and 13C isotopes. Limnol. Oceanogr. 2001, 46, 655–667. [Google Scholar] [CrossRef]
- Watson, J.T.; Reed, S.C.; Kadlec, R.H.; Knight, R.L.; Whitehouse, A.E. Performance Expectations and Loading Rates for Constructed Wetlands. In Constructed Wetlands for Wastewater Treatment; Hammer, D.A., Ed.; Lewis Publishers: Chelsea, MI, USA, 1989; pp. 319–351. [Google Scholar]
- Benner, R.; Opsahl, S. Molecular indicators of the sources and transformations of dissolved organic matter in the Mississippi river plume. Org. Geochem. 2001, 32, 597–611. [Google Scholar] [CrossRef]
- U.S. Department of Agriculture, Farm Drainage in the United States: History, Status, and Prospects; Economic Research Service, Miscellaneous Publ. No. 1455; U.S. Department of Agriculture: Washington, DC, USA, 1987.
- Goolsby, D.A.; Battaglin, W.A.; Lawrence, G.B.; Artz, R.S.; Aulenbach, B.T.; Hooper, R.P. Flux and Sources of Nutrients in the Mississippi-Atchafalaya Basin; Topic 3 Report for the Integrated Assessment on Hypoxia in the Gulf of Mexico. Silver Spring (MD); NOAA Coastal Ocean Office: Silver Spring, MD, USA, 1999; Decision Analysis Series No. 17. [Google Scholar]
- Donner, S.D.; Kucharik, C.J.; Foley, J.A. Impact of changing land use practices on nitrate export by the Mississippi River. Glob. Biogeochem. Cycles 2004, 18. Article No. GB1028. [Google Scholar]
- Kadlec, R.H.; Knight, R.L. Treatment Wetlands; Lewis Publishers: New York, NY, USA, 1996. [Google Scholar]
- Donner, S.D.; Kucharik, C.J.; Oppenheimer, M. The influence of climate on in-stream removal of nitrogen. Geophys. Res. Lett. 2004, 31. Article No. L20509. [Google Scholar]
- Xu, Y.J. Long-Term Sediment Transport and Delivery of the Largest Distributary of the Mississippi River, the Atchafalaya, USA. In Sediment Dynamics for a Changing Future; Banasik, K., Horowitz, A., Owens, P.N., Stone, M., Walling, D.E., Eds.; IAHS Publication 337; Wallingford, UK, 2010; pp. 282–290. [Google Scholar]
- Buresh, R.J.; Reddy, K.R.; van Kessel, C. Nitrogen Transformations in Submerged Soils. In Nitrogen in Agricultural Systems. Agronomy Monograph 49; Schepers, J.S., Raun, W.R., Eds.; American Society of Agronomy, Crop Science Society of America, Soil Science Society of America: Madison, WI, USA, 2008; pp. 401–436. [Google Scholar]
- Seitzinger, S.P. Denitrification in fresh-water and coastal marine ecosystems—Ecological and geochemical significance. Limnol. Oceanogr. 1988, 33, 702–724. [Google Scholar] [CrossRef]
- Knight, R.L.; Kadlec, R.H.; Ohlendorf, H.M. The use of treatment wetlands for petroleum industry effluents. Environ. Sci. Technol. 1999, 33, 973–980. [Google Scholar] [CrossRef]
- BryantMason, A.; Xu, Y.J.; Altabet, M.A. Limited capacity of river corridor wetlands to remove nitrate: A case study on the Atchafalaya River Basin during the 2011 Mississippi River Flooding. Water Resour. Res. 2013, 49, 283–290. [Google Scholar] [CrossRef]
- Sprague, L.A.; Hirsch, R.M.; Aulenbach, B.T. Nitrate in the Mississippi River and its tributaries, 1980 to 2008: Are we making progress? Environ. Sci. Technol. 2011, 45, 7209–7216. [Google Scholar] [CrossRef]
- Alexander, R.B.; Smith, R.A.; Schwarz, G.E. Effect of stream channel size on the delivery of nitrogen to the Gulf of Mexico. Nature 2000, 403, 758–761. [Google Scholar] [CrossRef]
© 2013 by the authors; licensee MDPI, Basel, Switzerland. This article is an open access article distributed under the terms and conditions of the Creative Commons Attribution license (http://creativecommons.org/licenses/by/3.0/).
Share and Cite
Xu, Y.J. Transport and Retention of Nitrogen, Phosphorus and Carbon in North America’s Largest River Swamp Basin, the Atchafalaya River Basin. Water 2013, 5, 379-393. https://doi.org/10.3390/w5020379
Xu YJ. Transport and Retention of Nitrogen, Phosphorus and Carbon in North America’s Largest River Swamp Basin, the Atchafalaya River Basin. Water. 2013; 5(2):379-393. https://doi.org/10.3390/w5020379
Chicago/Turabian StyleXu, Y. Jun. 2013. "Transport and Retention of Nitrogen, Phosphorus and Carbon in North America’s Largest River Swamp Basin, the Atchafalaya River Basin" Water 5, no. 2: 379-393. https://doi.org/10.3390/w5020379
APA StyleXu, Y. J. (2013). Transport and Retention of Nitrogen, Phosphorus and Carbon in North America’s Largest River Swamp Basin, the Atchafalaya River Basin. Water, 5(2), 379-393. https://doi.org/10.3390/w5020379
