Next Article in Journal
Slope-Controlled Partitioning of Vertical and Lateral Solute Transport Pathways Revealed by Inclined Leaching Experiments
Previous Article in Journal
Ecological Selection of Anammox Bacteria Driven by Endogenous Carbon in a Low-Oxygen SBR Biofilm System Without External Carbon Addition
 
 
Font Type:
Arial Georgia Verdana
Font Size:
Aa Aa Aa
Line Spacing:
Column Width:
Background:
Article

Seasonal Dynamics of Surface Water–Groundwater Interactions in the Niya River Basin, Northwest China: Insights from Hydrochemistry and Stable Isotopes

1
School of Geology and Mining Engineering, Xinjiang University, Ürümqi 830047, China
2
Regional Geological Survey Center, Xinjiang Uygur Autonomous Region Geological Bureau, Ürümqi 830013, China
*
Author to whom correspondence should be addressed.
Water 2026, 18(6), 754; https://doi.org/10.3390/w18060754
Submission received: 25 February 2026 / Revised: 15 March 2026 / Accepted: 18 March 2026 / Published: 23 March 2026
(This article belongs to the Section Water Quality and Contamination)

Abstract

Surface water–groundwater interactions within oasis–desert ecotones of arid regions play a pivotal role in sustaining regional water security and ecological stability. Taking the Niya River Basin in Xinjiang, Northwest China, as a representative inland watershed, this study systematically elucidates the mechanisms and seasonal dynamics of surface water–groundwater coupling under the combined influences of natural processes and anthropogenic activities. A total of 68 surface water and groundwater samples were collected during the dry, normal, and wet hydrological periods. Integrated hydrochemical characterization, mineral saturation index analysis, and stable isotope (δ2H and δ18O) mass balance modeling were employed to quantify recharge contributions and unravel hydrogeochemical evolution pathways. Results indicate that the waters in the study area are predominantly brackish to saline, with consistent dominant ionic assemblages (SO42− and Na+) across all hydrological periods, highlighting evaporite dissolution as the primary control on solute composition. Hydrochemical evolution is jointly regulated by evaporation concentration, water–rock interactions, and cation exchange processes. Surface water chemistry reflects the combined effects of silicate weathering and evaporite dissolution, whereas groundwater chemistry is mainly governed by evaporite dissolution coupled with pronounced cation exchange. Stable isotope signatures reveal substantial secondary evaporation of regional precipitation prior to recharge. Frequent bidirectional recharge between surface water and groundwater was observed, exhibiting distinct seasonal transitions. During the dry period, groundwater provides significant baseflow support to surface water (48.6% in the oasis zone and 54.3% in the desert zone). In the normal period, recharge direction reverses, with surface water becoming the dominant source of groundwater recharge (99.0% in the oasis zone and 76.6% in the desert zone). In the wet period, spatial heterogeneity becomes evident: surface water continues to dominate groundwater recharge in the oasis zone (92.7%), whereas groundwater recharge to surface water prevails in the desert zone (50.5%). This study identifies a seasonally dynamic “discharge–infiltration–zonal regulation” bidirectional recharge pattern in arid inland river systems. The findings advance the mechanistic understanding of hydrological connectivity reconstruction within oasis–desert ecotones and provide a scientific basis for optimized regional water resource allocation and groundwater salinization risk mitigation.

1. Introduction

Surface water and groundwater are hydraulically interconnected and dynamically coupled components of the hydrological cycle, jointly sustaining regional ecological stability, agricultural production, and socio-economic development [1,2]. In arid and semi-arid inland basins, characterized by scarce precipitation, intense evaporation, and highly uneven spatial–temporal water distribution, the recharge–discharge relationship between surface water and groundwater fundamentally determines regional hydrological equilibrium and water security [3]. Disruption of this balance can rapidly propagate through the hydrosystem, amplifying environmental vulnerability.
Over recent decades, extensive agricultural expansion, river regulation projects, intensified groundwater abstraction, and land-use transitions have substantially modified natural hydrological regimes. These anthropogenic disturbances have altered recharge–discharge structures and flow pathways, leading to groundwater table decline, progressive salinization, and ecosystem degradation [4]. Under the combined pressures of climate variability and human activities, surface water–groundwater interactions are increasingly dynamic and nonlinear. Therefore, clarifying the mechanisms governing these interactions and quantifying their seasonal transitions has become a critical scientific issue for sustainable water management in arid inland basins.
From a hydrogeochemical standpoint, basin-scale water chemistry evolution is typically governed by evaporation concentration, water–rock interactions, and cation exchange processes [5]. In strongly evaporative environments, solutes accumulate along hydrological flow paths, often driving hydrochemical facies toward Na+–SO42−-dominated saline types. Dissolution of silicate, carbonate, and evaporite minerals provides the principal sources of dissolved ions, whereas cation exchange further redistributes ionic proportions in solution. However, within oasis–desert ecotones—zones subject to intensive anthropogenic disturbance—irrigation return flows, groundwater pumping, river diversion, and agrochemical inputs significantly modify groundwater flow fields and solute transport processes [6,7,8]. As a consequence, natural geochemical signals are superimposed with anthropogenic inputs, generating pronounced spatiotemporal heterogeneity. Disentangling natural hydrogeochemical evolution from anthropogenic forcing, and evaluating their relative contributions across hydrological periods, is thus essential for understanding hydrological restructuring in arid regions.
Previous investigations have primarily relied on conventional hydrochemical indicators to infer evolutionary pathways and mixing relationships, employing ion ratios, Piper diagrams, Gibbs plots, and mineral saturation indices [8,9,10]. Although these approaches provide important insights into geochemical controls, dissolved ion concentrations are often simultaneously influenced by evaporation enrichment, mineral dissolution, and agricultural inputs. Consequently, hydrochemical data alone are insufficient for accurately quantifying recharge proportions, particularly in arid inland systems where strong evaporation and intensive human disturbance may obscure authentic mixing signals. This limitation restricts deeper understanding of seasonal surface water–groundwater transformation dynamics.
Stable isotopes of hydrogen and oxygen (δ2H and δ18O) serve as conservative tracers widely used in hydrological research. Their predictable fractionation during evaporation enables robust identification of recharge sources, assessment of evaporative intensity, and tracking of water transformation processes [11,12,13,14]. Establishing a local meteoric water line (LMWL) and characterizing evaporation lines allow differentiation between meteoric recharge and evaporative enrichment. Furthermore, isotope mass balance models provide quantitative estimation of mixing proportions between distinct water bodies [14]. The integration of stable isotope techniques with hydrochemical analysis enhances source attribution reliability and enables resolution of seasonal variations in surface water–groundwater interactions [15]. Nevertheless, in anthropogenically disturbed oasis–desert transitional zones, isotope-constrained quantitative assessments across multiple hydrological periods remain limited. In particular, comprehensive frameworks coupling hydrogeochemical process diagnostics with isotope mass balance modeling are still insufficiently developed.
The Niya River Basin, situated on the southern margin of the Tarim Basin, represents a typical piedmont meltwater-fed inland river system. The region experiences extremely low annual precipitation and high evaporation rates. Surface runoff is primarily derived from snow and glacier melt in the Kunlun Mountains, whereas groundwater constitutes a stable water supply for oasis agriculture and domestic use [16]. Recent cropland expansion and intensified groundwater exploitation have likely altered basin-scale hydrological connectivity and recharge–discharge structures [17]. However, systematic evaluation of hydrochemical evolution mechanisms and seasonal transformation proportions between surface water and groundwater remains scarce, particularly quantitative assessments spanning different hydrological periods [18]. Addressing this knowledge gap requires an integrated, multi-season analytical framework combining hydrochemical and isotopic approaches.
To address this gap, this study focuses on the oasis–desert transitional zone of the Niya River Basin and investigates SW-GW interactions during the dry, normal, and wet hydrological periods. Specifically, this study addresses the following research questions: (1) What are the dominant hydrogeochemical processes controlling the evolution of surface water and groundwater in the Niya River Basin? (2) How do the recharge–discharge relationships between surface water and groundwater vary among different hydrological periods? (3) To what extent can stable isotope mass balance be used to quantitatively estimate seasonal transformation proportions between these two water bodies?
To answer these questions, hydrochemical characterization, ion ratio analysis, mineral saturation index modeling, and stable isotope mass balance approaches were integrated in a unified analytical framework. The objectives of this study are to: (i) identify the dominant controls on hydrochemical evolution; (ii) characterize the seasonal recharge–discharge relationships between surface water and groundwater; and (iii) quantitatively estimate transformation proportions across hydrological periods. Compared with previous studies that mainly provided qualitative interpretations, this work offers isotope-constrained quantification of recharge contributions at a multi-seasonal scale. The study therefore advances understanding of hydrological connectivity reconstruction in anthropogenically disturbed arid inland basins and provides a scientific basis for regional water allocation optimization and groundwater salinization risk mitigation.

2. Study Area and Data

2.1. Study Area

The study area is located within the Niya River Basin in Xinjiang, northwestern China (36°34′–37°47′ N, 82°25′–83°30′ E). The basin extends from the northern foothills of the Kunlun Mountains in the south to the southern margin of the Tarim Basin in the north (Figure 1). Topography generally decreases from south to north, with a gentle west-to-east inclination. The region is characterized by an extremely arid temperate continental climate, with scarce precipitation and intense evaporation. The mean annual air temperature is approximately 11.1 °C, while mean annual precipitation ranges from 18.1 to 30.2 mm and annual evaporation reaches approximately 2756.0 mm [19], reflecting a severe hydrological deficit.
The Niya River originates from the Lushitag Glacier in the Kunlun Mountains and flows northward across the Niya Oasis before ultimately dissipating into the Taklimakan Desert. Surface runoff is primarily sustained by snow and glacier meltwater, making the basin highly sensitive to climatic variability. Geomorphologically, the basin can be divided into four distinct units from south to north: (i) mountainous terrain, (ii) piedmont inclined gravel plain, (iii) central alluvial–proluvial fine-grained plain, and (iv) northern desert region [20]. Correspondingly, aquifer lithology exhibits systematic downstream fining and increasing stratigraphic complexity. The southern mountainous and piedmont zones are dominated by thick, coarse, single-layer cobble–gravel deposits, which gradually transition northward into multilayered sequences of sandy gravel, medium to coarse sand, fine sand, silty sand, and sandy clay (Figure 2). Groundwater wells sampled in this study have depths within 219.8 m, representing the principal exploited aquifer systems.
The basin is characterized by seasonal (ephemeral) rivers, with a mean annual runoff of approximately 1.7 × 108 m3. In the upstream mountainous and piedmont gravel plain zones, groundwater recharge primarily occurs through lateral inflow from fractured bedrock aquifers and river infiltration, while discharge is dominated by downstream lateral outflow and localized groundwater abstraction. Regional groundwater flow generally follows the river course, trending from southwest to northeast. In the middle and lower reaches—specifically within the alluvial–proluvial fine-grained plain and desert zones—groundwater recharge is mainly derived from river seepage, irrigation return flow, and lateral subsurface inflow. Groundwater discharge in these areas occurs predominantly through anthropogenic pumping and phreatic evaporation [20].
The Niya River Basin is located on the northern piedmont of the Kunlun Mountains and the southern margin of the Tarim Basin, representing a typical arid inland river system characterized by strong climatic and anthropogenic controls. Geomorphologically, the basin exhibits a clear south-to-north transition from mountainous terrain to piedmont gravel plain, central alluvial–proluvial fine-grained plain, and finally the northern desert zone. This geomorphic zonation is accompanied by systematic variation in aquifer structure and groundwater occurrence. In the southern piedmont, groundwater mainly occurs in shallow to intermediate porous–fractured aquifers hosted by clastic deposits. In the piedmont gravel plain, groundwater is stored in Quaternary loose sediments dominated by cobble and gravel, with relatively strong permeability and runoff capacity. Further north, within the alluvial–proluvial fine-grained plain and desert area, the aquifer system becomes increasingly heterogeneous and vertically stratified, comprising multilayered sandy gravel, medium to fine sand, silty sand, and sandy clay, with shallow, intermediate, and deep groundwater occurring under multi-aquifer conditions. In some northern sectors, regionally developed aquitards separate the deeper confined groundwater from the upper phreatic and semi-confined aquifers.
Hydrogeologically, recharge, runoff, and discharge processes also vary markedly along this gradient. In the upstream mountainous and piedmont sectors, groundwater is primarily recharged by river infiltration and lateral inflow from the mountain front, and groundwater runoff is relatively strong because of the coarse sediment texture, high permeability, and steep hydraulic gradient. Toward the middle and lower basin, groundwater flow gradually weakens as aquifer materials become finer and the water table becomes shallower. In these downstream zones, recharge is mainly derived from river seepage, lateral subsurface inflow from upstream, and irrigation return flow, whereas discharge occurs through lateral outflow, phreatic evaporation, spring overflow in localized low-lying areas, and extensive anthropogenic pumping. Overall, regional groundwater flow generally follows the basin topography and river course from the southwest piedmont toward the northeast desert plain.
Human activities have substantially reshaped the hydrological regime of the oasis-desert transitional zone. Over the past two decades, cultivated land in the Niya Oasis has expanded markedly, mainly at the expense of grassland and bare land, indicating a strong intensification of agricultural land use. At present, the irrigation district contains approximately 791 agricultural pumping wells, and the total length of main and branch canals reaches 3017.23 km. These engineering interventions have greatly enhanced the role of irrigation seepage and return flow in groundwater recharge, while large-scale groundwater abstraction has altered natural hydraulic gradients and strengthened hydraulic connectivity among aquifers. As a result, the natural surface water–groundwater relationship has been increasingly superimposed by anthropogenic regulation, especially in the oasis irrigation district, where river water, irrigation water, shallow groundwater, and intermediate groundwater interact frequently and dynamically. This hydrogeological and anthropogenic setting provides the physical basis for the strong seasonal variability in surface water–groundwater interactions observed in the Niya River Basin and is fundamental for interpreting the spatially differentiated recharge-discharge patterns identified in this study.

2.2. Sample Collection and Analytical Methods

To systematically characterize the hydrochemical and isotopic signatures of surface water and groundwater across different hydrological periods in the Niya River Basin, seasonal sampling campaigns were conducted in February (dry period), May (normal period), and August (wet period) of 2024. A total of 68 water samples were collected, including 6 canal water samples, 16 river water samples, and 46 groundwater samples. Groundwater samples were further categorized according to well depth to reflect hydrogeochemical variations under different burial and hydrostratigraphic conditions: shallow groundwater (<20 m; 21 samples), intermediate-depth groundwater (20–50 m; 15 samples), and deep groundwater (>50 m; 10 samples). Sampling locations were spatially distributed across the oasis irrigation district, the alluvial–proluvial plain, and the downstream desert zone, thereby capturing water characteristics under varying hydrogeological units and gradients of anthropogenic intensity (see Figure 1). To ensure representativeness and comparability, surface water samples were collected from the central flow of river channels and from hydraulically stable sections of irrigation canals, avoiding stagnant marginal zones and potential point-source contamination. Prior to groundwater sampling, monitoring wells were purged by pumping at least three well volumes, or until field parameters (temperature, electrical conductivity, and pH) stabilized, ensuring that collected samples reflected in situ aquifer conditions. All sampling and preservation procedures followed the Chinese Technical Specifications for Surface Water Environmental Monitoring (HJ 91.2-2022) [21] and Groundwater Environmental Monitoring (HJ 164-2020) [22], with additional quality control measures consistent with internationally accepted hydrochemical sampling standards. In situ parameters—including water temperature, pH, electrical conductivity (EC), and dissolved oxygen (DO)—were measured using a portable multi-parameter water quality analyzer (Water samples were analyzed on-site using a HANNA HI9828 meter (HANNA INSTRUMENTS, Padua, Italy) to measure pH and TDS; HCO3 was determined using hydrochloric acid titration; major cations (K+, Na+, Ca2+, Mg2+) and anions (SO42−, NO3, Cl) were measured using an ICS1500 ion chromatograph (Dionex, Sunnyvale, CA, USA); hydrogen and oxygen isotope testing was performed using a L2120-I liquid and gas isotope analyzer (Picarro, Santa Clara, CA, USA). The instrument was calibrated with standard buffer solutions prior to each field campaign. Water samples were filtered through 0.45 μm membrane filters immediately after collection and stored in pre-cleaned polyethylene bottles. Samples for cation analysis were acidified to pH < 2 using ultrapure nitric acid (HNO3) to prevent metal precipitation, whereas samples for anion and stable isotope analyses were not acidified. All samples were stored at 4 °C in insulated containers and transported to the laboratory within 48 h for further analysis. To ensure analytical reliability, field duplicates and blanks were collected for quality assurance. Laboratory analyses included calibration with certified standard solutions and replicate measurements. Charge balance errors were controlled within acceptable limits for hydrochemical studies, and analytical precision satisfied the requirements for both major ion and stable isotope determinations.

2.3. Data Processing and Hydrogeochemical Analysis

All hydrochemical data were subjected to charge balance error (CBE) verification to ensure analytical reliability. The relative charge imbalance for all samples was maintained within ±5%, indicating acceptable data quality for subsequent hydrogeochemical interpretation. Statistical analyses and graphical visualization were conducted using PHREEQC (version 3.0), R Studio (version 4.4.3), ArcGIS 10.8, and Origin 2022. Statistical significance was evaluated at the 95% confidence level (p < 0.05). Correlation analysis among major hydrochemical components was performed in R Studio to identify potential geochemical associations and shared controlling processes. Mineral saturation indices (SI) were calculated using the geochemical modeling software PHREEQC to evaluate equilibrium states between aqueous species and mineral phases. Gibbs diagrams were employed to identify the dominant mechanisms controlling hydrochemical evolution, distinguishing among precipitation dominance, rock weathering control, and evaporation concentration. To further constrain solute sources and geochemical processes, ion ratio relationships, saturation indices, and chloro-alkaline indices (CAI) were analyzed. The saturation index (SI) quantitatively reflects the thermodynamic equilibrium state between groundwater and specific mineral phases within the aquifer system, thereby indicating whether mineral dissolution or precipitation is thermodynamically favored during water–rock interaction. The SI is defined as:
S I = l g I A P K
where IAP represents the ion activity product of the dissolved species, and K denotes the thermodynamic solubility product constant of the mineral at a given temperature. SI > 0 indicates supersaturation and potential mineral precipitation; SI = 0 indicates equilibrium; SI < 0 indicates undersaturation and potential mineral dissolution.
The thermodynamic state of a mineral in aqueous solution can be classified according to its saturation index (SI). When SI > 0, the solution is supersaturated with respect to the mineral phase, indicating that mineral precipitation is thermodynamically favored. When SI = 0, the system is at equilibrium. When SI < 0, the solution is undersaturated, suggesting that mineral dissolution is thermodynamically favored. The chloro-alkaline indices (CAI-I and CAI-II), originally proposed by Schoeller, are commonly used to evaluate the occurrence, direction, and intensity of cation exchange processes between groundwater and aquifer materials. These indices assess the exchange between alkali metals (Na+ + K+) in water and alkaline earth metals (Ca2+ + Mg2+) in the host rock matrix. The indices are calculated as follows:
C A I I = C l ( N a + + K + ) C l
C A I I I = C l N a + + K + S O 4 2 + H C O 3 + C O 3 2
All ionic concentrations are expressed in milliequivalents per liter (meq L−1).
Positive CAI values indicate that Na+ and K+ in groundwater are exchanged with Ca2+ and Mg2+ from aquifer materials (reverse cation exchange), whereas negative values suggest that Ca2+ and Mg2+ in groundwater are exchanged with Na+ and K+ from the aquifer matrix (direct cation exchange).
The deuterium excess (d-excess) parameter reflects deviations of stable isotopic compositions (δ2H and δ18O) in precipitation from the Global Meteoric Water Line (GMWL), thereby providing insight into kinetic fractionation processes during moisture evaporation and atmospheric transport. Originally defined by Dansgaard [23], d-excess is a sensitive indicator of nonequilibrium fractionation associated with sub-cloud evaporation, low relative humidity conditions, and moisture source characteristics. This parameter has been widely applied in basin-scale hydrological studies to trace atmospheric moisture origins, evaluate evaporative enrichment, and elucidate surface water–groundwater transformation processes. Variations in d-excess can indicate the extent of secondary evaporation prior to recharge and help distinguish between meteoric inputs and evaporatively modified waters. The d-excess is calculated as:
d e x c e s s = δ 2 H 8 δ 18 O
where δ2H and δ18O are expressed in per mil (‰) relative to the Vienna Standard Mean Ocean Water (VSMOW).
Furthermore, based on the principle of isotopic mass balance, the proportional contribution of groundwater to surface water can be quantitatively estimated. Assuming a two-endmember mixing system and negligible isotopic fractionation during subsurface flow, the groundwater contribution fraction can be calculated as:
f g = H g H s × 100 % = G s G b G g G b × 100 %
In the above equation, Gs represents the measured δ18O value of surface water; Gg denotes the measured δ18O value of groundwater; Gb refers to the background δ18O value of the isotopic endmember (e.g., upstream water or precipitation, depending on the defined baseline); Hs represents the measured δ18O value of the mixed water body; and Hg denotes the measured δ18O value of groundwater used in the mixing calculation. All isotopic values are expressed per mil (‰) relative to VSMOW.

2.4. Stable Isotope Reference Line and Mass-Balance Framework

To provide an appropriate isotopic reference for recharge-source interpretation, a Local Meteoric Water Line (LMWL) was established for the study region rather than relying solely on the Global Meteoric Water Line (GMWL). Because long-term precipitation isotope observations were unavailable directly within the Niya River Basin, precipitation isotope records from the nearest IAEA monitoring stations with comparable climatic conditions were compiled and fitted by least-squares regression. The resulting LMWL is expressed as:
δ2H = 7.5δ18O + 5.9     (n = 178, R2 = 0.95).
Compared with the GMWL (δ2H = 8δ18O + 10), the lower slope and intercept of the regional LMWL reflect the strong aridity of Northwest China and the influence of secondary evaporation under low-humidity conditions prior to or during recharge.
To quantitatively estimate recharge contributions between surface water and groundwater, a two-endmember isotope mass balance model was adopted using δ2H and δ18O as conservative tracers. The mixing fraction of groundwater contributing to surface water was calculated as:
f g w = δ m i x δ s w δ g w δ s w
where fgw is the fractional contribution of groundwater to the mixed water body, δmix is the isotopic composition of the target mixed sample, δgw is the isotopic value of the groundwater endmember, and δsw is the isotopic value of the surface-water endmember.
The same framework can be rearranged to estimate the proportional contribution of surface water to groundwater when recharge direction is reversed. The calculations were based on the following assumptions: (1) the selected samples can be reasonably represented by a two-endmember mixing system; (2) δ2H and δ18O behave conservatively during the mixing process; and (3) isotopic fractionation during short-distance subsurface transport is negligible relative to the isotopic contrast between endmembers.

3. Results and Discussion

3.1. Seasonal Variations of Hydrochemical Components

The seasonal distribution characteristics of major hydrochemical parameters in surface water and groundwater are illustrated in Figure 3. Overall, pH values of both surface water and groundwater remained within a weakly alkaline range (7.7–8.5) across all hydrological periods, with no statistically significant seasonal variation. Surface water exhibited slightly higher pH values than groundwater, likely reflecting stronger buffering capacity associated with evaporation concentration and carbonate equilibrium regulation. In contrast, groundwater pH appeared more stable, being primarily controlled by water–rock interactions and subsurface CO2 partial pressure conditions. The violin plot distributions indicate low dispersion of pH values, with coefficients of variation (CV) below 10%, suggesting a relatively stable acid–base environment without evidence of pronounced acidification or alkalization processes. In contrast, total dissolved solids (TDS) exhibited pronounced seasonal variability. Surface water TDS reached its maximum during the dry period (mean: 2806.5 mg L−1) and decreased progressively during the normal and wet periods (means: 2124.0 and 1149.8 mg L−1, respectively), reflecting a clear dilution trend. This pattern indicates enhanced recharge from snowmelt and precipitation during wetter periods, accelerating hydrological exchange and promoting downstream solute transport. The violin plot widths further reveal that surface water TDS distribution was relatively concentrated in the dry period but became increasingly dispersed during the normal and wet periods, suggesting greater heterogeneity in solute inputs associated with diversified recharge sources. Unlike surface water, groundwater TDS did not display synchronous dilution. Groundwater TDS remained consistently high across the dry, normal, and wet periods (means: 2167.6, 2743.5, and 2780.9 mg L−1, respectively), with slightly higher values during the wet period than during the dry period. This apparent “seasonal inversion” suggests a delayed response and storage effect within the groundwater system. During the wet period, although surface water became diluted, intensified infiltration of river water and irrigation return flow likely enhanced water–rock interactions, promoting evaporite dissolution and cation exchange. Consequently, solute re-enrichment occurred in groundwater. These observations indicate that groundwater evolution during recharge periods is not governed solely by dilution, but rather by a coupled recharge–reaction–accumulation process. In terms of hydrochemical facies, the cation concentration sequence in both surface water and groundwater across all hydrological periods followed the order Na+ > Ca2+ > Mg2+ > K+, while the anion sequence was SO42− > Cl > HCO3. This consistent ionic hierarchy indicates dominant control by evaporite dissolution. The similarity in ion ranking between surface water and groundwater suggests strong hydraulic connectivity and active solute exchange pathways between the two systems. However, violin plots demonstrate that groundwater Na+, SO42−, and Cl concentrations exhibit significantly broader distributions than those of surface water, particularly during the normal and wet periods, implying greater heterogeneity within the groundwater system. Further examination of seasonal ion variations reveals that major ion concentrations in surface water closely track TDS dynamics, exhibiting systematic dilution from dry to wet periods. In contrast, groundwater ion concentrations do not uniformly follow TDS trends; certain ions even increase during the wet period. This divergence indicates that groundwater solute composition is influenced not only by recharge dilution but also by enhanced irrigation return flow infiltration, intensified water–rock interaction, persistent evaporative concentration in shallow zones, and agricultural inputs. Particularly within the alluvial–proluvial plain, large-scale irrigation infiltration likely accelerates solute mobilization and mineral dissolution rates, thereby amplifying spatial variability in groundwater chemistry [24]. Coefficient of variation analysis further supports these findings. Except for pH, TDS and major ion concentrations generally exhibited CV values exceeding 10%, with several ions displaying markedly higher variability in groundwater than in surface water. This pronounced heterogeneity reflects combined influences of aquifer lithological variability, hydrodynamic conditions, irrigation intensity, and spatial patterns of groundwater abstraction [25]. Collectively, these results demonstrate that groundwater chemistry in the oasis–desert transitional zone is shaped by complex interactions between natural hydrogeochemical processes and anthropogenic forcing, with seasonal recharge acting as a trigger rather than a simple dilution mechanism [26].

3.2. Spatial Distribution and Evolution of Hydrochemical Facies

To systematically identify hydrochemical facies and their evolutionary pathways, Piper trilinear diagrams were employed to analyze samples [1] collected during different hydrological periods (Figure 4). Overall, both surface water and groundwater predominantly fall within the SO4-Ca, SO4-Na, Cl-Na, and mixed facies, indicating strong geochemical control by evaporite dissolution. In the cation triangle, most samples cluster within the Na+-dominant field, whereas in the anion triangle, they are primarily distributed within the SO42− and Cl domains. These patterns confirm evaporite minerals as the principal solute source, with secondary contributions from carbonate weathering [28]. From a seasonal perspective, surface water samples during the dry period are mainly concentrated in the SO4-Ca and Cl-Na facies, reflecting intensified evaporation concentration and evaporite dissolution. With enhanced recharge from snowmelt and precipitation during the normal and wet periods, sample distributions gradually shift toward the SO4-Ca and mixed facies. This migration trajectory indicates progressive dilution and increasing relative contributions of Ca2+, suggesting that piedmont meltwater exerts a significant regulatory influence on upstream hydrochemistry under strengthened recharge conditions. Further classification using the Shukalev scheme (Figure 5d–f) provides clearer insight into spatial evolutionary trends. Along the surface runoff direction, upstream surface water evolves from SO4·Cl-Na·Mg·Ca type during the dry period to SO4·Cl-Ca·Na·Mg during the normal period, and further to SO4·Cl·HCO3-Ca·Na during the wet period. This progression reflects increasing influence of meltwater and precipitation inputs, enhanced carbonate dissolution, and relatively weakened evaporative concentration in upstream zones. However, as water migrates toward the middle and lower desert reaches, surface water in all hydrological periods ultimately converges to the Cl·SO4-Na·Ca type. This downstream convergence indicates re-dominance of evaporite dissolution and solute accumulation under strong evaporative conditions and lateral groundwater contributions. Groundwater exhibits an even more pronounced enrichment trend along the flow path. Across all hydrological periods, groundwater evolves from SO4·Cl-Ca·Na·Mg facies upstream to Cl·SO4-Na·Ca facies downstream, with progressively increasing proportions of Cl and Na+. This systematic enrichment reflects prolonged residence time and sustained water–rock interactions, potentially compounded by irrigation return flow inputs and evaporative concentration. Notably, hydrochemical facies of in situ groundwater in the middle and lower reaches substantially overlap with adjacent surface water types, providing further evidence of strong hydraulic connectivity and active solute exchange, consistent with previously observed similarities in TDS and ionic composition. A distinct seasonal salinity inversion is observed in the middle reaches. During the dry period, surface water exhibits higher salinity than groundwater, whereas during the normal and wet periods, groundwater salinity surpasses that of surface water. This seasonal reversal reflects dynamic shifts in recharge dominance. In the dry period, groundwater contributes to surface water through baseflow discharge, elevating surface water salinity. Conversely, during the normal and wet periods, intensified infiltration of meltwater and precipitation enhances surface water recharge to groundwater. Under the combined influence of recharge and intensified water–rock interaction, solutes re-accumulate in groundwater, resulting in elevated salinity. These findings indicate that the surface water–groundwater system alternates between recharge-dominated and discharge-dominated regimes across hydrological periods. To further evaluate the influence of anthropogenic activities on hydrochemical evolution, remote sensing-derived land use data from 2000 to 2020 were analyzed (Figure 5a–c). Results show that cultivated land area in the middle oasis region increased by 64.8% over the past two decades, reflecting substantial agricultural expansion. Large-scale land reclamation is typically accompanied by intensified groundwater abstraction and increased canal irrigation [29], which alter groundwater flow fields and enhance solute transport. Statistical yearbook data also indicate a continuous rise in fertilizer and pesticide application within the Niya Oasis, suggesting that agricultural return flow may serve as an important external source of Cl and Na+. Spatially, zones of elevated groundwater Cl and Na+ concentrations coincide closely with cultivated land distribution, further supporting the significant role of anthropogenic inputs in groundwater solute accumulation. Overall, hydrochemical facies in the study area exhibit temporal evolution from single-salt dominance toward mixed types under enhanced recharge, and spatial enrichment along the runoff direction [30]. Compared with surface water, groundwater displays greater compositional complexity and is more strongly influenced by combined effects of water–rock interaction, evaporation concentration, and agricultural activities. This increasing complexity reflects structural reorganization of the hydrological system in the oasis–desert transitional zone under coupled climatic forcing and anthropogenic disturbance.

3.3. Natural Controls on Hydrochemical Evolution

To identify the dominant natural processes governing hydrochemical formation in the study area, Gibbs diagrams were employed to distinguish among precipitation dominance [31], rock weathering control, and evaporation concentration (Figure 6). Overall, most samples cluster within the transitional zone between the rock weathering and evaporation dominance fields, indicating that hydrochemical evolution is jointly regulated by water–rock interaction and intense evaporative conditions. Samples extend toward higher TDS values along the Na+/(Na+ + Ca2+) and Cl/(Cl + HCO3) axes, reflecting progressive solute enrichment driven by evaporation concentration. In contrast, only a few samples fall within the precipitation dominance field, suggesting that direct atmospheric input contributes minimally to dissolved solutes in the middle and lower reaches. Instead, solute composition is primarily controlled by runoff infiltration and aquifer geochemical reactions. Notably, several samples plot outside the classical Gibbs control envelopes (the so-called “boomerang” field), indicating that single natural mechanisms cannot fully explain their ionic compositions. Such deviations commonly imply superimposed influences from cation exchange or anthropogenic inputs. Combined with previously observed ionic hierarchies and spatial distribution patterns, the enrichment of Na+ accompanied by relative depletion of Ca2+ likely reflects Ca2+-Na+ exchange reactions within the aquifer matrix. Additionally, irrigation return flow and domestic effluent may contribute supplementary Cl and Na+ inputs, further modifying hydrochemical signatures [32]. From a vertical perspective, surface water and shallow groundwater samples are primarily distributed within the rock weathering-evaporation transition zone, suggesting similar hydrodynamic regimes and recharge sources [33]. In contrast, intermediate and deep groundwater samples cluster closer to the evaporation-dominant field and generally exhibit higher TDS values, indicating stronger solute accumulation. This vertical differentiation can be attributed to finer-grained sediments and lower permeability within the alluvial plain, where infiltrating recharge undergoes prolonged evaporation concentration and sustained water–rock interaction [34]. Moreover, longer residence times in intermediate and deep aquifers facilitate continued evaporite dissolution and cation exchange, promoting progressive solute enrichment. To further discriminate the relative contributions of different lithological weathering processes, end-member diagnostic diagrams of Mg2+/Na+ versus Ca2+/Na+ and HCO3/Na+ versus Ca2+/Na+ were constructed (Figure 7), enabling differentiation among evaporite, silicate, and carbonate weathering sources. Most samples plot between the silicate and evaporite end-members, with a clear bias toward the evaporite field. This distribution confirms that evaporite dissolution represents the primary solute source, accompanied by secondary contributions from silicate weathering. In contrast, carbonate weathering exerts a comparatively weaker influence, with only partial sample shifts toward the carbonate end-member during the wet period, suggesting enhanced carbonate dissolution under intensified meltwater and precipitation recharge. Seasonal comparisons reveal that samples from the normal and wet periods exhibit substantial overlap in the end-member diagrams, whereas dry-period samples shift closer to the evaporite end-member and farther from silicate and carbonate fields. This pattern indicates that evaporite dissolution and evaporation concentration dominate during the dry period, while enhanced recharge during the normal and wet periods increases contributions from silicate and carbonate weathering, producing more mixed geochemical signatures. Although the linear distances between samples and the evaporite end-member remain broadly comparable across hydrological periods, the significantly greater separation from silicate and carbonate end-members during the dry period further confirms evaporite dominance under low-recharge conditions. Importantly, within each hydrological period, surface water and groundwater samples of varying depths exhibit substantial overlap in the end-member diagrams. This spatial convergence indicates strong hydraulic connectivity and active solute exchange pathways among aquifer layers and surface water bodies. Such overlapping patterns are consistent with hydrochemical facies overlap observed in the Piper diagram and further corroborate high seasonal hydrological connectivity within the basin. Collectively, results from Gibbs analysis and end-member diagnostics demonstrate that hydrochemical evolution in the study area is primarily governed by the synergistic effects of evaporite dissolution and silicate weathering, with evaporation concentration modulating the degree of solute enrichment across hydrological periods. Superimposed cation exchange reactions and localized agricultural inputs further perturb the natural geochemical trajectories, causing deviations from theoretical end-member trends. This multi-process coupling framework highlights the complex hydrogeochemical restructuring occurring within the oasis–desert transitional zone under combined climatic forcing and anthropogenic disturbance.
To further constrain potential solute sources and hydrochemical evolution pathways, diagnostic ion ratios were analyzed [35]. The molar ratio of (Na+ + K+)/Cl serves as an effective indicator of the origin of alkali metals and chloride in aquatic systems [2]. As shown in Figure 8a–c, most surface water and groundwater samples plot close to the theoretical dissolution line (Na+ + K+)/Cl = 1 (y = x), with a substantial proportion of samples exhibiting (Na+ + K+)/Cl > 1. This distribution suggests that Na+, K+, and Cl are primarily derived from evaporite dissolution (e.g., halite), while the excess of Na+ and K+ relative to Cl implies additional inputs beyond simple halite dissolution. Although no pronounced seasonal shifts are observed in these ratios, groundwater samples consistently exhibit steeper trends than surface water across hydrological periods, indicating that Na+ and K+ in groundwater likely originate from supplementary sources. These may include silicate weathering (e.g., albite dissolution) and cation exchange processes releasing Na+ from exchange sites within aquifer materials. The relationships between (Ca2+ + Mg2+) and HCO3, as well as between (Ca2+ + Mg2+) and (HCO3 + SO42−), provide further insight into the origins of alkaline earth metals and associated anions. In both surface water and groundwater, (Ca2+ + Mg2+)/HCO3 ratios are generally greater than 1 (Figure 8d–f), indicating that Ca2+ and Mg2+ cannot be attributed solely to carbonate mineral dissolution (e.g., calcite and dolomite). Instead, the dissolution of gypsum (CaSO4·2H2O), an evaporite mineral, likely contributes substantially to Ca2+ enrichment, thereby generating the observed ionic imbalance [36,37]. Consistently, most samples cluster around (Ca2+ + Mg2+)/(HCO3 + SO42−) ≈ 1 (Figure 8g–i), further supporting the dominant contribution of gypsum dissolution to major ion composition. Slight deviations from unity reveal additional geochemical influences. In surface water, (Ca2+ + Mg2+)/(HCO3 + SO42−) ratios are often slightly > 1, suggesting a supplementary contribution from silicate weathering processes [32]. In contrast, the majority of groundwater samples display ratios slightly <1, implying partial removal of Ca2+ and Mg2+ via cation exchange reactions, whereby Ca2+ and Mg2+ in solution are replaced by Na+ adsorbed on clay minerals [38]. This exchange process effectively regenerates Na-rich hydrochemical signatures in groundwater. Importantly, these ion ratio relationships do not exhibit pronounced seasonal differentiation, indicating that fundamental geochemical controls remain relatively stable across hydrological periods. Seasonal recharge primarily modulates solute concentrations, rather than altering dominant reaction pathways [39]. To further elucidate dissolution-precipitation mechanisms of evaporite and carbonate minerals, mineral saturation index analysis is conducted in the following section to quantitatively assess thermodynamic equilibrium states and reaction tendencies.
To further elucidate the thermodynamic characteristics of water-rock interactions governing groundwater chemistry, saturation indices (SI) for calcite, dolomite, gypsum, and halite were calculated using PHREEQC. Variations in SI were evaluated in relation to TDS to infer mineral dissolution-precipitation trends (Figure 9). Results indicate pronounced differentiation among mineral phases. Approximately 97.7% of groundwater samples exhibit SI values greater than zero for calcite and dolomite, whereas all samples display negative SI values for gypsum and halite. Calcite and dolomite are therefore predominantly at saturation or supersaturation, suggesting that carbonate minerals tend toward equilibrium or precipitation under prevailing hydrochemical conditions. With increasing TDS, SI values for both calcite and dolomite generally rise, implying that progressive solute accumulation drives Ca2+ and Mg2+ toward saturation thresholds. This behavior indicates that the carbonate system exerts a buffering effect on groundwater composition through precipitation reactions. Notably, dolomite SI values are consistently higher than those of calcite, reflecting slower dissolution kinetics and a greater tendency for dolomite to remain in a supersaturated state within this geochemical environment. This “carbonate precipitation-buffering” mechanism implies that Ca2+ and Mg2+ concentrations are primarily regulated by equilibrium reactions rather than sustained dissolution input. In contrast, gypsum and halite exhibit consistently negative SI values across the full TDS range, indicating persistent undersaturation and continuous dissolution. Halite SI values are substantially lower than those of gypsum, suggesting stronger NaCl dissolution potential. However, gypsum dissolution not only releases SO42− but also supplies Ca2+. Under carbonate precipitation control, part of the released Ca2+ may be removed through calcite or dolomite precipitation, producing a coupled dissolution-precipitation process: gypsum dissolution supplies Ca2+ and SO42−, while carbonate precipitation partially immobilizes Ca2+, thereby facilitating sustained SO42− accumulation in solution. This mechanism provides a thermodynamic explanation for the dominance of SO42− observed in the ionic hierarchy. Importantly, SI distributions show substantial overlap among different hydrological periods, with no statistically significant seasonal differentiation. This indicates that mineral dissolution-precipitation processes are primarily governed by aquifer lithology and long-term water–rock interactions rather than short-term hydrological fluctuations. The relatively slow renewal rate of groundwater limits its responsiveness to seasonal recharge variability, resulting in stable mineral equilibrium states over time. Integrating SI results with previous Gibbs and ion ratio analyses, it can be inferred that Ca2+ and Mg2+ in groundwater are not predominantly derived from ongoing carbonate dissolution. Instead, their concentrations are buffered by carbonate precipitation, whereas continuous evaporite dissolution—particularly of gypsum and halite—constitutes the principal driver of solute enrichment. Accordingly, the hydrochemical evolution model for groundwater in the study area can be conceptualized as a coupled control system characterized by sustained evaporite dissolution and carbonate precipitation regulation. In this framework, evaporite minerals supply Na+ and SO42−, while Ca2+ released from gypsum is partially sequestered through carbonate precipitation, ultimately favoring the development of Na-SO4 or Cl-Na hydrochemical facies. From a thermodynamic perspective, groundwater chemistry in the basin is therefore governed by an evaporite-dominated dissolution regime modulated by carbonate buffering, rather than by simple carbonate weathering alone. This conclusion corroborates the end-member diagnostic results and further reinforces the dominant role of evaporite dissolution in shaping hydrochemical evolution within the oasis–desert transitional zone.
As discussed above, cation exchange may also play an important role in regulating hydrochemical composition in both surface water and groundwater. The relationship between (Ca2+ + Mg2+) − (SO42− + HCO3) and (Na+ − Cl) provides a diagnostic indicator of cation exchange intensity. When plotted against each other, samples aligning along the theoretical slope of −1 (y = −x) indicate stoichiometric exchange between alkaline earth metals (Ca2+ + Mg2+) and alkali metals (Na+) [40]. As shown in Figure 10a–c, the majority of surface water and groundwater samples distribute near the y = −x line, confirming the widespread occurrence of cation exchange reactions. Groundwater samples exhibit a more coherent alignment along the theoretical trend, whereas surface water samples display greater dispersion. This contrast suggests that cation exchange exerts a stronger and more systematic influence on groundwater evolution, while surface water chemistry is subject to additional processes such as direct recharge dilution, evaporation concentration, and short-term hydrodynamic variability. Seasonal comparison further reveals that the intensity of cation exchange in surface water follows the order: wet period > normal period > dry period. In groundwater, the sequence differs slightly: wet period > dry period > normal period. Enhanced exchange during the wet period likely reflects increased infiltration of irrigation return flow and river water, which promotes interaction between recharge water and exchange sites within aquifer materials. Interestingly, the influence of cation exchange varies with groundwater depth and hydrological period. During the dry and normal periods, the relative intensity follows the order: deep groundwater > intermediate groundwater > shallow groundwater. In contrast, during the wet period, the pattern reverses to shallow > intermediate > deep groundwater. This seasonal inversion may be associated with intensified agricultural irrigation during the wet period, which enhances shallow aquifer recharge and stimulates exchange reactions in the upper groundwater system. Deeper groundwater, characterized by longer residence time and more stable geochemical conditions, appears less responsive to short-term recharge variability. Chloro-alkaline indices (CAI-I and CAI-II) provide additional confirmation of exchange processes (Figure 10d–f). Approximately 77.3% of surface water samples and 69.8% of groundwater samples exhibit negative CAI values, indicating that direct cation exchange predominates. In this process, Ca2+ and Mg2+ in solution are exchanged with Na+ and K+ adsorbed on mineral surfaces, leading to enrichment of Na+ in water and relative depletion of Ca2+ and Mg2+ [41]. Collectively, the ion difference plots and CAI results demonstrate that cation exchange is a significant geochemical mechanism shaping hydrochemical evolution in the study area. These findings are consistent with earlier observations that (Ca2+ + Mg2+)/(HCO3 + SO42−) < 1 in groundwater and (Na+ + K+)/Cl > 1 in both surface water and groundwater. Together, these indicators confirm that Na enrichment and Ca-Mg depletion cannot be explained solely by evaporite dissolution but instead reflect coupled processes involving mineral dissolution and ion exchange. Overall, groundwater evolution in the basin is governed by a multi-process framework in which evaporite dissolution supplies major solutes, carbonate precipitation buffers Ca2+ and Mg2+, and cation exchange redistributes alkali and alkaline earth metals. This integrated geochemical system further highlights the complexity of hydrochemical restructuring in the oasis-desert transitional zone under combined climatic and anthropogenic forcing.

3.4. Influence of Anthropogenic Activities

Human activities in the Niya River Basin are predominantly associated with agriculture within the oasis region, with secondary contributions from industrial and mining activities. Groundwater abstraction and large-scale irrigation practices significantly modify hydrodynamic conditions and solute transport pathways, thereby altering the hydrochemical composition of both surface water and groundwater [42]. Previous studies have identified nitrate (NO3), chloride (Cl), and sulfate (SO42−) as sensitive indicators of anthropogenic contamination derived from industrial exploitation, wastewater discharge, livestock manure, and fertilizer application [43]. To further evaluate anthropogenic influences, an additional sampling campaign was conducted in August 2022, during which 116 water samples were collected for comprehensive hydrochemical analysis, including NO3 determination. The spatial distribution of sampling sites is shown in Figure 11. Diagnostic ion ratios—(NO3/Cl)/NO3 and (SO42−/Ca2+)/(NO3/Ca2+)—were employed to distinguish between anthropogenic and geogenic solute sources. In this framework, SO42− is considered to be primarily associated with mining activities, whereas Cl, Ca2+, and NO3 are commonly linked to agricultural return flow, domestic sewage, and fertilizer application [44]. As illustrated in Figure 12a, samples distributed within the agricultural input domain are mainly concentrated in the middle-reach oasis irrigation area. In contrast, samples from the downstream desert region predominantly fall within the fertilizer or wastewater influence domain, indicating that agricultural activities exert a pervasive influence across the oasis zone. Given the high ecological sensitivity of desert ecosystems, livestock manure inputs may also contribute to elevated nutrient levels in the desert–semi-desert transition areas. The (NO3/Cl)/NO3 ratio indicates that both surface water and groundwater are influenced by a combination of anthropogenic discharge and natural processes [40]. However, anthropogenic signals appear more pronounced, particularly in groundwater, where progressive enrichment of Cl along the flow direction is evident. This spatial pattern is consistent with earlier inferences that chloride accumulation is closely associated with concentrated human activities in residential and agricultural areas. To further verify anthropogenic impacts, the (SO42−/Ca2+)/(NO3/Ca2+) ratio was analyzed (Figure 12b). The distribution of this ratio exhibits substantial dispersion and irregular variability, suggesting that ion sources in both surface water and groundwater are influenced by dual inputs from agricultural activities and mining operations [45]. The absence of a clear clustering pattern reflects the superposition of natural evaporite dissolution, fertilizer-derived nitrate inputs, and potential mining-related sulfate contributions. Overall, the combined ion ratio diagnostics demonstrate that hydrochemical evolution in the Niya River Basin cannot be explained solely by natural geochemical processes. Instead, anthropogenic activities—particularly agricultural irrigation, fertilizer application, livestock waste discharge, and groundwater abstraction—have become important modifiers of solute composition, especially for Cl, NO3, and SO42−. These findings highlight the necessity of integrating human impact assessment into hydrogeochemical interpretation frameworks when evaluating water resource sustainability in oasis–desert transitional systems.

3.5. Correlation Analysis

To further elucidate potential common sources and governing mechanisms among dissolved ions, Pearson correlation analysis was conducted for nine hydrochemical parameters in surface water and groundwater across different hydrological periods (Figure 13). The correlation structures exhibit pronounced variability among seasons and between water types, reflecting strong spatiotemporal heterogeneity in hydrogeochemical processes within the basin. At the overall level, TDS show consistently strong positive correlations with Na+ and Cl in both surface water and groundwater (generally r > 0.9, p < 0.01 across most hydrological periods). This robust association indicates that TDS accumulation is primarily controlled by halite-type evaporite dissolution and evaporation concentration. These findings align closely with previous interpretations derived from Gibbs diagrams, end-member analysis, and saturation index calculations, further confirming evaporite minerals as the dominant solute source. In addition, TDS exhibits significant positive correlations with SO42−, Mg2+, and K+, suggesting that gypsum dissolution and, to a lesser extent, silicate weathering also contribute to solute enrichment. Within the surface water system, inter-ionic correlations strengthen markedly during the wet period. In particular, correlations among Na+-Cl, Na+-SO42−, and Mg2+-SO42− increase substantially. This pattern suggests that under enhanced recharge conditions, solute sources become more homogenized. Increased upstream meltwater input combined with downstream evaporation concentration may synchronize ion behavior, producing stronger co-variation patterns. In contrast, during the dry period, surface water exhibits a more dispersed correlation structure, implying that localized evaporation effects and point-source inputs exert greater relative influence under low-flow conditions. Groundwater displays a more complex correlation pattern. During the normal and wet periods, correlations among Na+, Cl, SO42−, and Mg2+ intensify, indicating increasing commonality in solute sources during recharge-enhanced stages. This likely reflects combined effects of irrigation return flow infiltration and sustained evaporite dissolution. However, correlations between Ca2+ and Na+ or Cl are weak or even negative in some cases. This decoupling can be attributed to regulatory processes such as cation exchange and carbonate precipitation. When gypsum dissolution releases Ca2+, part of the Ca2+ may be removed through calcite precipitation or exchanged with Na+ adsorbed on mineral surfaces, thereby weakening its linear relationship with Na+ and Cl. Similarly, HCO3 exhibits weak or negative correlations with Na+ and Cl, indicating relative independence between the carbonate system and the evaporite system [45]. This observation is consistent with saturation index results showing carbonate minerals near equilibrium or supersaturation, implying that HCO3 is primarily governed by carbonate weathering and CO2 equilibrium rather than evaporite dissolution. From a seasonal perspective, positive correlations among Na+, Cl, SO42−, and Mg2+ progressively strengthen from the dry to the wet period. This transition suggests that solute sources evolve from being dominated primarily by evaporation concentration under low-recharge conditions to a coupled multi-process regime involving evaporation, mineral dissolution, and anthropogenic inputs during recharge-enhanced stages. Increased irrigation infiltration and intensified agricultural activity during wetter periods likely promote ion mobilization and redistribution, resulting in more coherent correlation structures in groundwater. Overall, correlation analysis reinforces the principal hydrogeochemical framework identified earlier. Evaporite dissolution and evaporation concentration constitute the primary drivers of solute accumulation, while silicate and carbonate weathering exert secondary regulatory influences. Cation exchange and agricultural inputs locally modify ionic proportions and partially decouple specific ion relationships [46]. Surface water responds rapidly to hydrological fluctuations, with correlation structures varying markedly among seasons. In contrast, groundwater exhibits stronger cumulative and buffering effects; its inter-ionic correlations become more pronounced during recharge-enhanced periods, reflecting increased hydrological connectivity and intensified solute transport within the subsurface system.

3.6. Implications of Stable Isotopes (δ2H and δ18O)

Although conventional hydrochemical analyses provide valuable insight into solute origins and controlling mechanisms, interpretations based solely on major ion chemistry inevitably involve uncertainty due to overlapping geochemical processes. Stable isotopes of hydrogen and oxygen (δ2H and δ18O), as conservative natural tracers, offer an independent and robust means of identifying recharge sources and intensities, tracing groundwater flow paths, characterizing regional water cycle conditions, and clarifying transformation relationships among different water bodies [47]. Therefore, isotopic evidence was integrated to further constrain surface water-groundwater interactions [47].

3.6.1. Establishment of the Local Meteoric Water Line

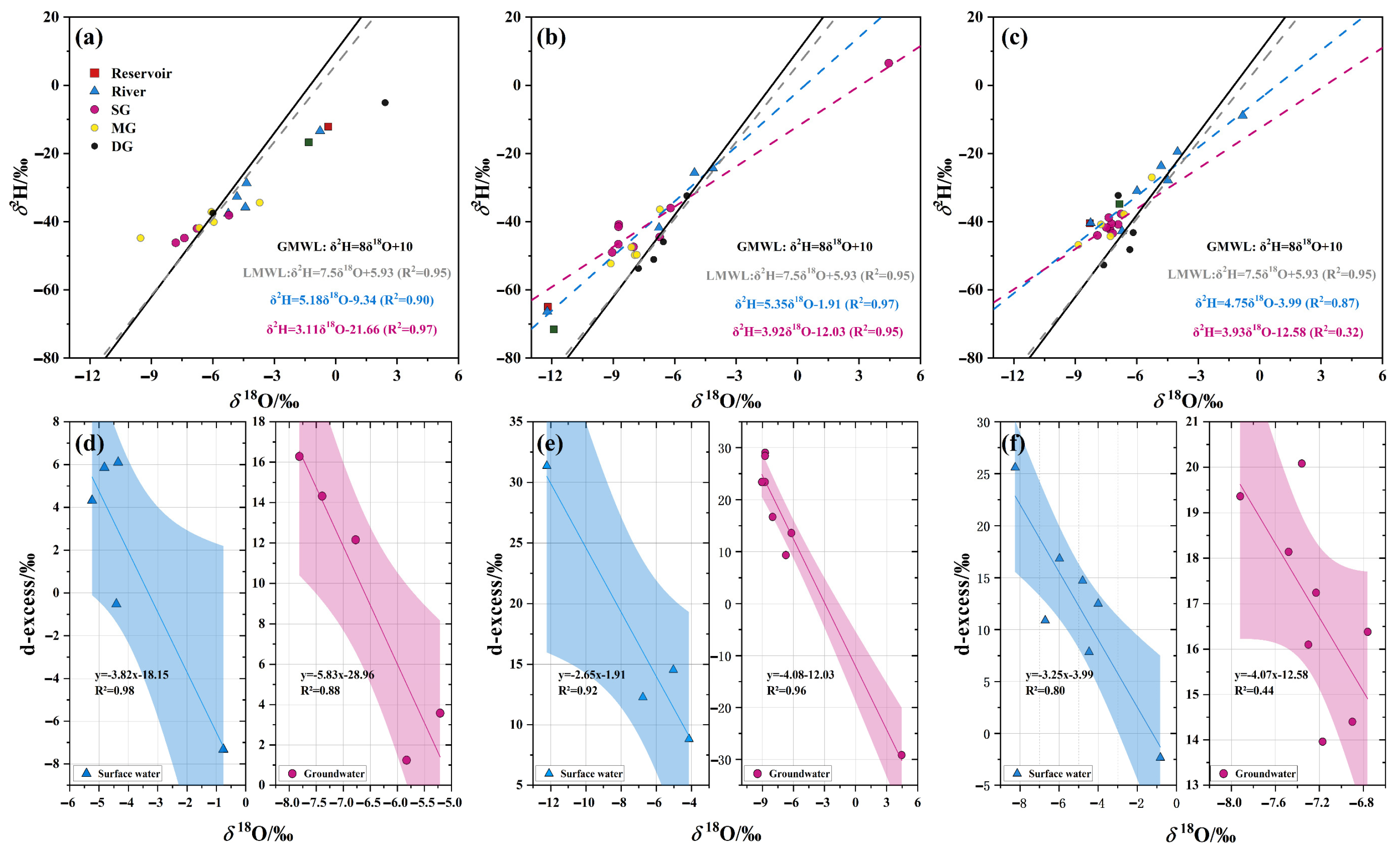
Prior to applying stable isotopes to infer recharge sources and hydraulic connectivity, 178 precipitation isotope records monitored by the International Atomic Energy Agency (IAEA) were compiled and subjected to regression analysis. The derived Local Meteoric Water Line (LMWL) for the study region is: δ2H = 7.5δ18O + 5.9, R2 = 0.95. Compared with the Global Meteoric Water Line (GMWL: δ2H = 8δ18O + 10), both the slope and intercept of the LMWL are significantly lower (Figure 14a–c). This deviation indicates that regional precipitation experiences strong kinetic fractionation under arid conditions, primarily due to intense sub-cloud evaporation and low atmospheric humidity [48]. The reduced intercept further suggests diminished moisture recycling and enhanced evaporative modification prior to recharge. Consistently, Figure 14d–f shows that d-excess values of both surface water and groundwater decrease with increasing δ18O across hydrological periods, providing additional evidence of pronounced secondary evaporation effects [49]. Lower d-excess values reflect nonequilibrium fractionation during evaporation, reinforcing the interpretation of strong evaporative control within the basin. From the dry to the wet period, δ2H and δ18O values of both surface water and groundwater initially become depleted and subsequently enriched, with isotopic signatures of the two water types progressively converging (Figure 14a–c). This pattern suggests a shift in dominant controls over the hydrological cycle. During the transition from dry to wet conditions, the influence of meltwater and precipitation recharge initially induces isotopic depletion. However, as surface water residence time increases and evaporation intensifies, isotopic enrichment becomes more pronounced. Concurrently, gradual and progressive recharge from surface water to groundwater leads to increasing isotopic similarity between the two systems. Linear regression of δ2H versus δ18O for surface water and shallow groundwater reveals slopes lower than that of the LMWL, with shallow groundwater exhibiting even smaller slopes than surface water. Such reduced slopes are characteristic of evaporation lines, confirming substantial evaporative modification. Importantly, the lower slope in shallow groundwater suggests that infiltrating irrigation and surface water continue to undergo evaporation during percolation, resulting in stronger evaporative enrichment in shallow aquifers compared to surface water itself. This observation corroborates earlier hydrochemical evidence indicating active surface water infiltration and enhanced evaporative concentration within the shallow subsurface. On this basis, stable isotope analysis not only validates hydrochemical interpretations but also provides a dynamic perspective on seasonal surface water–groundwater interactions. The following section further quantifies the spatiotemporal variations in recharge relationships using isotope mass balance modeling.

3.6.2. Surface Water–Groundwater Interactions

To elucidate seasonal variations in surface water–groundwater interactions, a representative longitudinal transect (Section I–I′; Figure 2) was selected to examine downstream variations in δ2H and δ18O across hydrological periods. Pronounced isotopic fluctuations are observed in both surface water and groundwater along the transect (Figure 15). Notably, isotopic variability is more pronounced within the middle-reach oasis zone, where hydraulic connectivity between surface water and groundwater is most active (Figure 16). This enhanced variability reflects the coupled effects of recharge source variability, evaporation intensity, and anthropogenic activities such as irrigation diversion and drainage return flow. From the dry to the normal period, surface water samples in the middle oasis zone exhibit marked isotopic depletion, with 83.3% of samples showing lower δ2H and δ18O values. Approximately 84.6% of groundwater samples also become depleted, although the magnitude of depletion is smaller than that of surface water. This pattern indicates that enhanced recharge from piedmont meltwater and precipitation exerts dominant control during this stage. The recharge regime transitions from groundwater discharging to surface water (baseflow-dominated conditions) toward surface water recharging groundwater. The weaker isotopic response in groundwater suggests a lagged recharge effect, consistent with delayed infiltration of irrigation water and river water into the aquifer system. Previous studies have shown that meltwater and precipitation inputs can influence isotopic composition at the basin scale; however, their signals are often partially masked by strong evaporative enrichment and groundwater discharge processes [1]. Anthropogenic groundwater abstraction further complicates this dynamic by altering hydraulic gradients and inter-aquifer connectivity. For instance, certain shallow groundwater samples in the middle basin exhibit anomalous isotopic enrichment during this period. These samples are located away from the main river channel and irrigation districts, where surface water infiltration is minimal. In such areas, evaporation remains the dominant control [50]. Additionally, intensive pumping may induce upward leakage from deeper groundwater layers characterized by higher δ2H and δ18O values, contributing to localized enrichment. In the downstream desert zone, surface water samples display persistent isotopic enrichment. The relatively flat topography of the alluvial plain slows surface runoff, allowing cumulative evaporative fractionation along the flow path. Moreover, discharge of isotopically enriched groundwater may further elevate δ2H and δ18O values in surface water. Near desert sampling points, extensive upstream irrigation diversion significantly reduces downstream river discharge. As a result, river water experiences prolonged evaporation during vertical infiltration, and in extreme cases, may evaporate almost entirely before reaching the aquifer. This process can enhance isotopic fractionation in the shallow subsurface and maintain persistently elevated δ2H and δ18O values in desert groundwater. From the normal to the wet period, evaporation remains a dominant control in the Niya River Basin. Most water samples exhibit isotopic enrichment, with enrichment proportions reaching 83.3% in surface water and 76.5% in groundwater. The degree of enrichment is generally greater in surface water than in groundwater, reflecting stronger direct evaporative modification. Interestingly, within the middle oasis zone, isotopic enrichment in groundwater intensifies progressively from shallow to deeper layers during the wet period. This vertical pattern suggests sustained recharge from surface water, whereby enriched irrigation and river water progressively influences deeper aquifers through percolation and hydraulic connectivity. Compared to the dry-to-normal transition, shallow groundwater located farther from the main river shows significant isotopic depletion during this stage, highlighting the role of seasonal river recharge—even from ephemeral channels—in modulating local groundwater composition. In the downstream desert region, groundwater undergoes further evaporative fractionation during the wet period, resulting in even higher δ2H and δ18O values. Elevated isotopic signatures also reflect intensified groundwater discharge processes under strong evaporative demand. Notably, deep groundwater consistently exhibits relatively low δ2H and δ18O values and shows minimal seasonal variability. This stability suggests that deep aquifers are part of a semi-confined or confined system with limited direct hydraulic connection to recent recharge, rendering them largely insensitive to short-term hydrological fluctuations [51]. Overall, stable isotope evidence reveals a seasonally alternating interaction regime in the Niya River Basin. During the dry-to-normal transition, enhanced meltwater recharge shifts the system toward surface water-dominated groundwater replenishment with a measurable lag response. During the normal-to-wet transition, evaporation intensifies isotopic enrichment, while sustained irrigation infiltration strengthens vertical and lateral hydraulic connectivity. The combined effects of climatic forcing, evaporation, and anthropogenic regulation generate a highly dynamic yet depth-dependent surface water–groundwater coupling pattern within the oasis-desert transitional system.

3.6.3. Quantitative Estimation of Groundwater Contribution to Surface Water

Building upon the qualitative identification of surface water–groundwater interactions derived from hydrochemical and isotopic evidence, isotope mass balance calculations based on δ2H and δ18O were applied to quantify groundwater contributions to surface water in both the oasis and desert zones across hydrological periods (Table 1). This approach enables explicit evaluation of seasonal shifts in recharge–discharge dynamics. Overall, during the dry period, groundwater contributions to surface water reach 48.6% in the oasis zone and 54.3% in the desert zone. These high proportions indicate that under low-runoff conditions, groundwater discharge provides substantial baseflow support to surface water. Strong evaporation combined with limited meltwater recharge results in groundwater levels exceeding river stage, thereby establishing a hydraulic gradient from groundwater to surface water. During the transition to the normal period, groundwater contributions decline sharply to 1.0% in the oasis zone and 23.4% in the desert zone. This marked reduction reflects a seasonal reversal of recharge mechanisms. Enhanced piedmont meltwater and precipitation inputs increase river discharge and elevate river stage, reversing the hydraulic gradient from “groundwater → surface water” to “surface water → groundwater.” In the oasis zone, intensified canal irrigation and agricultural water allocation further amplify surface water infiltration, rendering groundwater the primary recipient of recharge. Although the desert zone also exhibits reduced groundwater discharge, the smaller magnitude of change suggests that lateral groundwater flow continues to sustain partial discharge. From the normal to the wet period, groundwater contributions increase slightly in the oasis zone (to 7.3%) and rise substantially in the desert zone (to 50.5%). This pattern indicates spatially differentiated responses under enhanced recharge conditions. In the oasis zone, although meltwater recharge remains strong, shifts in irrigation practices from groundwater pumping to canal diversion increase evaporative losses during irrigation. Simultaneously, irrigation return flow raises the groundwater table locally, creating temporary reversed hydraulic gradients that promote limited groundwater discharge to surface water. However, the relatively modest increase suggests that surface water recharge to groundwater remains dominant overall. In contrast, the pronounced increase in groundwater discharge in the desert zone during the wet period suggests strengthened subsurface outflow toward lower hydraulic potential areas. Large volumes of infiltrated irrigation water may temporarily elevate groundwater levels, increasing hydraulic heads above downstream river segments or depressions and enhancing discharge. Persistent high evaporative demand in the desert, coupled with shallow groundwater conditions, may further promote groundwater release to the surface system. Seasonally, the surface water–groundwater system thus exhibits a bidirectional dynamic regulation pattern. Groundwater discharge dominates during the dry period; surface water recharge prevails during the normal period; and the wet period is characterized by spatially differentiated adjustment, with continued surface water recharge in the oasis zone and renewed groundwater discharge in the desert zone. This dynamic alternation reflects the integrated influence of climatic forcing (meltwater and precipitation), irrigation practices, and evolving hydraulic gradients. Importantly, isotope-based quantitative results are consistent with prior hydrochemical, Gibbs diagram, and saturation index interpretations. Solute enrichment and baseflow dominance during the dry period correspond to groundwater-supported discharge; dilution during the normal period aligns with enhanced surface water infiltration; and renewed solute accumulation in the desert zone during the wet period corresponds with strengthened groundwater discharge. Thus, quantitative isotopic modeling not only validates qualitative inferences but also reveals seasonal reconstruction of hydrological connectivity within the oasis–desert transitional zone. Overall, the isotope-constrained framework developed in this study demonstrates that the surface water–groundwater system in the Niya River Basin operates under a periodically alternating control regime rather than a unidirectional recharge pattern. This dynamic equilibrium represents the hydrological system’s response to coupled climatic variability and anthropogenic regulation in arid inland river basins.
The isotopic relationships between δ2H and δ18O further demonstrate that evaporation exerts a strong control on both surface water and groundwater in the Niya River Basin. The fitted slopes for surface water and shallow groundwater are both distinctly lower than that of the LMWL, indicating substantial evaporative enrichment during recharge and transport. Moreover, the slope for shallow groundwater is consistently lower than that for surface water, suggesting that shallow groundwater is affected not only by evaporation but also by more complex mixing processes, including river seepage, irrigation return flow, and inter-aquifer exchange. This interpretation is further supported by the negative relationship between δ18O and d-excess, which reflects strong secondary evaporation in both surface water and groundwater across hydrological periods.

4. Discussion

Our results are generally consistent with previous studies from arid inland basins in Northwest China and Central Asia [29], which have shown that groundwater hydrochemistry is commonly controlled by a combination of evaporation concentration, evaporite dissolution, and ion exchange under low-precipitation and high-evaporation conditions. In oasis–desert systems, these natural controls are frequently superimposed by land-use change, irrigation return flow, and groundwater abstraction, resulting in intensified salinization and more heterogeneous water-salt migration processes. Similar patterns have been reported in Central Asian oasis–desert regions, where agricultural expansion has substantially altered groundwater chemistry and hydrological functioning [31].
In terms of SW-GW interactions, the seasonal and spatial variability observed in the Niya River Basin is also comparable to findings from other arid watersheds in Northwest China [30]. Previous studies in the Qaidam Basin have demonstrated that hydrochemical and isotopic tracers can effectively reveal complex river–groundwater exchange processes in arid basins [1], while recent work in the hyper-arid Golmud watershed showed that interaction regimes are highly heterogeneous and sensitive to geomorphic setting and water-source structure. These studies, together with our results, indicate that SW-GW interactions in arid inland basins are not fixed, but vary dynamically with hydrological period, recharge source, and anthropogenic disturbance.
However, compared with many earlier studies that mainly identified interaction pathways qualitatively, the present study further demonstrates a seasonally dynamic and quantitatively constrained “discharge-infiltration-zonal regulation” pattern. Specifically, groundwater supports river flow during the dry period, surface water becomes the dominant recharge source to groundwater during the normal period, and a zonally differentiated interaction structure emerges during the wet period. This finding suggests that in anthropogenically disturbed oasis–desert ecotones, hydrological connectivity may be repeatedly reorganized by the combined effects of snowmelt pulses, river seepage, irrigation return flow, and groundwater pumping. Therefore, the broader implication of this study is that sustainable water management in arid inland basins should consider not only the magnitude of available water resources, but also the seasonal reversibility, spatial heterogeneity, and human sensitivity of SW-GW exchange processes. Such understanding is essential for optimizing river-groundwater joint regulation, mitigating groundwater salinization, and maintaining ecological stability in oasis-dependent dryland watersheds.

5. Conclusions

This study comprehensively analyzed the hydrogeochemical characteristics, identified the Gibbs control mechanism, calculated the mineral saturation index, and applied the stable isotope mass conservation model to systematically reveal the hydrogeochemical evolution mechanism of surface water and groundwater in the oasis–desert transition zone of the Niya River Basin, as well as their dynamic recharge patterns on a seasonal scale. The results show that the surface water–groundwater system in this basin is driven and controlled by the coupling of evaporation concentration, water–rock interaction, and human activities. Under the background of climate pulses and irrigation disturbances, it exhibits significant phased transformation characteristics.
(1) The surface water and groundwater in the study area are overall weakly alkaline, mainly composed of slightly saline water and saline water. The main ion sequences remain consistent in different hydrological periods (SO42− > Cl > HCO3; Na+ > Ca2+ > Mg2+ > K+), indicating that the dissolution of evaporated salt rocks is the core controlling factor for solute sources. Spatially, the hydrogeochemical characteristics show a distinct zonation from the piedmont plain to the desert area. Along the runoff direction, the water body gradually concentrates towards the Cl-SO4-Na type, reflecting the continuous strengthening of evaporation concentration and ion exchange along the runoff path. The hydrogeochemical types of surface water and groundwater are highly similar and overlap significantly, indicating a continuous hydraulic connection and material exchange process between the two.
(2) The multi-index process diagnosis results show that the chemical composition of surface water is mainly affected by the combined influence of silicate weathering and evaporated salt rock dissolution, while groundwater more often shows a control mode of evaporated salt rock dissolution combined with cation exchange. The carbonate minerals are generally in a saturated or supersaturated state, mainly playing a buffering role rather than continuous dissolution input. With the change of hydrological periods, the dominant process controlling the water chemistry composition undergoes phased adjustments, reflecting the high sensitivity of the hydrogeochemical system in arid areas to the input of meltwater and changes in evaporation intensity.
(3) The slope and intercept of the regional atmospheric precipitation line (LMWL) are significantly lower than the global atmospheric precipitation line, indicating that precipitation has been significantly affected by secondary evaporation before infiltration. The stable isotope results show that surface water and groundwater exhibit a coordinated change trend in each hydrological period, revealing a frequent two-way recharge relationship between the two. During the dry season, groundwater significantly supports surface water (the recharge ratio in the oasis area and desert area is 48.6% and 54.3%, respectively); during the normal water period, driven by meltwater, rainfall enhancement, and agricultural irrigation, the recharge direction reverses, and surface water becomes the main source of groundwater (99.0% in the oasis area and 76.6% in the desert area); during the wet season, evaporation intensifies, causing the system to adjust again, and showing significant spatial differentiation. The “dry season discharge—normal water period infiltration—wet season regional adjustment” cycle pattern reveals the dynamic reconfiguration mechanism of hydrological connectivity in the oasis–desert transition zone on a seasonal scale.
Overall, this study has constructed a quantitative analysis framework coupled with stable isotope constraints for the seasonal regulation mechanism of bidirectional recharge of surface water and groundwater in the inland river basins of arid regions and the hydrogeochemical response path. It deepens the understanding of the coupling process of oasis–desert water circulation and provides scientific support for the optimization of regional water resources allocation and the prevention and control of groundwater salinization risks. However, this study still has certain uncertainties. Firstly, the isotope end members are set based on seasonal averages, failing to fully capture the influence of extreme precipitation or short-term meltwater pulses on the results of the mixed model; secondly, the groundwater sampling depth and spatial distribution are limited by well location conditions, and the representativeness of the middle and deep aquifers still has room for improvement; moreover, the return water from agricultural irrigation has not been independently traced and quantified, resulting in certain errors in separating the contribution ratio of natural recharge and human input. Future research should combine high-frequency automatic monitoring and continuous stable isotope observation data to improve the time resolution, and introduce multi-isotope joint tracing and hydrogeochemical inversion models to enhance the accuracy of end member identification. At the same time, the groundwater flow-solute transport numerical model was coupled, and the long-term evolution trend of the watershed water cycle structure under different climate scenarios and irrigation intensities was simulated. This provides a more solid theoretical basis for the adaptive management and sustainable utilization of the water resources system in arid regions.

Author Contributions

S.S.: Methodology, Investigation, Conceptualization, visualization. Validation, Formal analysis, Writing—original draft. S.L., Y.G. and F.J.: Resources, supervision, project administration, Visualization, Software, formal analysis, writing-review and editing. T.L. (Tianchao Liu): Resources, funding acquisition, project administration. T.L. (Tong Li): formal analysis, funding acquisition. All authors have read and agreed to the published version of the manuscript.

Funding

This research was funded by the “Tianshan Talents” Training Program Project (Grant No. 2023TSYCCX0091) and Key Laboratory Fund of Coupling Processes and Effects of Natural Resource Elements, Ministry of Natural Resources (Grant No. 2024KFKT013).

Data Availability Statement

The original contributions presented in this study are included in the article. Further inquiries can be directed to the corresponding author.

Conflicts of Interest

The authors declare that they have no known competing financial interests or personal relationships that could have appeared to influence the work reported in this paper.

Abbreviations

The following abbreviations are used in this manuscript:
IAEAAtomic Energy Agency
CVXoefficients of variation
LMWLLocal Meteoric Water Line
TDSTotal dissolved solids
SISaturation index

References

  1. Duan, L.; Zhang, W.; Qiu, Y.; Chen, S.; Wang, D.; Luo, Y.; Qu, S.; Gao, R.; Xue, B.; Wang, G.; et al. Identifying the spatio-seasonal pattern of hydrochemical evolution and surface water-groundwater interaction in a large urban river basin, Northwest China. Sci. Total Environ. 2024, 944, 173989. [Google Scholar] [CrossRef]
  2. Wang, R.; Yang, S.; Zhao, W. Microbial dynamics and ecological risk assessment of water reservoirs in agricultural areas of Daqing, China. Environ. Geochem Health 2025, 47, 337. [Google Scholar] [CrossRef]
  3. Wang, L.; Jiang, R.; Zhao, Y.; Xie, J.; Zhang, X.; Zuo, G.; Wang, S.; Lu, X. A Bayesian network-based bi-level multi-objective programming model for uncertainty agricultural water management and allocation optimization. J. Clean. Prod. 2025, 528, 146734. [Google Scholar] [CrossRef]
  4. Kumari, A.; Pathania, T. Comprehensive review of optimization and surrogate models for agricultural water resources and reservoir water management. Agric. Syst. 2026, 231, 104562. [Google Scholar] [CrossRef]
  5. Yang, S.; Qian, H.; Xu, P.; Zhao, W.; Liu, Y.; Shen, Y.; Zang, Y.; Wang, Q.; Cao, Z. Hydrogeochemical mechanism and interconversion processes of groundwater-surface water in the Chan River Basin: A new perspective from hydrochemistry and isotopes. J. Environ. Sci. 2025, 157, 890–907. [Google Scholar] [CrossRef]
  6. Yu, Z.; Yan, N.; Wu, G.; Xu, T.; Li, F. Chemical weathering in the upstream and midstream reaches of the Yarlung Tsangpo basin, southern Tibetan Plateau. Chem. Geol. 2021, 559, 119906. [Google Scholar] [CrossRef]
  7. Chen, Y.N.; Hao, X.M.; Chen, Y.P.; Zhu, C.G. Study on water system connectivity and ecological protection countermeasures of Tarim River Basin in Xinjiang. Bull. Chin. Acad. Sci. (Chin. Version) 2019, 34, 1156–1164. [Google Scholar] [CrossRef]
  8. Zhou, Z.W.; Zhou, Z.F.; Vanapalli, S.K. A quantitative study of changing groundwater-surface water interactions of a large reservoir due to impoundment based on hydrochemistry and isotope characteristics. J. Hydrol. 2024, 634, 131092. [Google Scholar] [CrossRef]
  9. Rotiroti, M.; Bonomi, T.; Sacchi, E.; McArthur, J.M.; Stefania, G.A.; Zanotti, C.; Taviani, S.; Patelli, M.; Nava, V.; Soler, V.; et al. The effects of irrigation on groundwater quality and quantity in a human-modified hydro-system: The Oglio River basin, Po Plain, northern Italy. Sci. Total Environ. 2019, 672, 342–356. [Google Scholar] [CrossRef]
  10. Singh, A. Groundwater recharge assessment and long-term simulation for managing the threat of salinization of irrigated lands. J. Hydrol. 2022, 609, 127775. [Google Scholar] [CrossRef]
  11. Zhang, L.; Han, J.; Dai, Y.; Lin, J.; Li, X.; Li, W.; Liu, P. Quantitative identification, uncertainty and sensitivity analysis of nitrate sources using stable isotopes in a drinking water source watershed of Eastern China. Environ. Earth Sci. 2026, 85, 103. [Google Scholar] [CrossRef]
  12. Valdivielso, S.; Turull, M.; Carrero, S.; Crisóstomo, B.; Jurado, D.; i Bassols, J.B.; Vázquez-Suñé, E.; Díez, S. Isotopic characterization and recharge dynamics of Karst aquifers in a mediterranean basin. J. Hydrol. Reg. Stud. 2026, 64, 103209. [Google Scholar] [CrossRef]
  13. He, Q.; Cao, G.; Han, G.; Zhao, M.; Bai, J.; Ye, W. A Study on the Hydrogen and Oxygen Stable Isotope Characteristics of Water in Small Watersheds on the Southern Slope of the Qilian Mountains. Water 2026, 18, 423. [Google Scholar] [CrossRef]
  14. Liu, L.; Yin, L.; Yang, Z.; Cui, L.; Han, B.; Bian, J.; Lu, Y. Stable isotope insights into water use sources and adaptation strategies of T amarix Chinensis in desert ecotone of arid regions. Sci. Rep. 2026, 16, 7218. [Google Scholar] [CrossRef]
  15. Schilling, O.S.; Cook, P.G.; Grierson, P.F.; Dogramaci, S.; Simmons, C.T. Controls on interactions between surface water, groundwater, and riverine vegetation along intermittent rivers and ephemeral streams in arid regions. Water Resour. Res. 2021, 57, e2020WR028429. [Google Scholar] [CrossRef]
  16. Ghosh, K.; Scott, C.A. Sustainable hydropower challenges for transboundary Himalayan River Tista: Strengthening future water-sharing between India and Bangladesh. Energy Sustain. Dev. 2025, 89, 101862. [Google Scholar] [CrossRef]
  17. Bishwakarma, K.; Wang, G.; Zhang, F.; Pant, R.R.; Adhikari, S.; Saqr, A.M. Hydrogeochemical controlling mechanism and associated health risk assessment of trace elements in the Koshi River Basin, Central Himalaya. Environ. Monit. Assess. 2025, 197, 1026. [Google Scholar] [CrossRef] [PubMed]
  18. Pang, Z.; Kong, Y.; Li, J.; Tian, J. An isotopic geoindicator in the hydrological cycle. Procedia Earth Planet. Sci. 2017, 17, 534–537. [Google Scholar] [CrossRef]
  19. Gu, S.; Zhou, J.; Zeng, Y.; Chen, Y.; Wang, S.; Du, J. Micronutrient content and distribution of soil micronutrients in farmland in Minfeng County, Xinjiang. Arid Zone Res. 2020, 37, 142–149. [Google Scholar] [CrossRef]
  20. Sun, Y.; Zhou, J.; Liang, X.; Zhou, Y.; Zeng, Y.; Lin, L. Distribution and Genesis of Shallow High-Iodine Groundwater in Southern Margin of Tarim Basin: A Case Study of Plain Area in Minfeng County, Xinjiang. Earth Sci. 2021, 46, 2999–3011. [Google Scholar] [CrossRef]
  21. HJ 164-2020; Technical Specifications for Environmental Monitoring of Groundwater. Ministry of Ecology and Environment: Beijing, China, 2020. (In Chinese)
  22. HJ 91.2-2022; Technical Specifications for Surface Water Environmental Quality Monitoring. Ministry of Ecology and Environment: Beijing, China, 2022. (In Chinese)
  23. Dansgaard, W. Stable isotopes in precipitation. Tellus 1964, 16, 436–468. [Google Scholar] [CrossRef]
  24. Liu, M.; Jiang, Y.; Xu, X.; Huang, Q.; Huo, Z.; Huang, G. Long-term groundwater dynamics affected by intense agricultural activities in oasis areas of arid inland river basins, Northwest China. Agric. Water Manag. 2018, 203, 37–52. [Google Scholar] [CrossRef]
  25. Jia, H.; Qian, H.; Zheng, L.; Feng, W.; Wang, H.; Gao, Y. Alterations to groundwater chemistry due to modern water transfer for irrigation over decades. Sci. Total Environ. 2020, 717, 137170. [Google Scholar] [CrossRef]
  26. Qu, S.; Duan, L.; Shi, Z.; Mao, H.; Wang, G.; Liu, T.; Yu, R.; Peng, X. Identifying the spatial pattern, driving factors and potential human health risks of nitrate and fluoride enriched groundwater of Ordos Basin, Northwest China. J. Clean. Prod. 2022, 376, 134289. [Google Scholar] [CrossRef]
  27. GB/T 14848-2017; Standard for Groundwater Quality. State Administration for Market Regulation and Standardization Administration of China: Beijing, China, 2017. (In Chinese)
  28. Kang, W.; Zhou, Y.; Zhou, J.; Jiang, F.; Han, S.B.; Lei, M.; Liu, J.W. Distribution, Source Apportionment, and Health Risk Assessment of Inorganic Components in Groundwater in the Plain Area of Manas River Basin in Xinjiang. Environ. Sci. 2025, 46, 843–853. [Google Scholar] [CrossRef]
  29. Zhao, D.; Wang, G.; Liao, F.; Yang, N.; Jiang, W.; Guo, L.; Liu, C.; Shi, Z. Groundwater-surface water interactions derived by hydrochemical and isotopic (222Rn, deuterium, oxygen-18) tracers in the Nomhon area, Qaidam Basin, NW China. J. Hydrol. 2018, 565, 650–661. [Google Scholar] [CrossRef]
  30. Xiao, Y.; Zhang, Y.; Yang, H.; Wang, L.; Han, J.; Hao, Q.; Wang, J.; Zhao, Z.; Hu, W.; Wang, S.; et al. Interaction regimes of surface water and groundwater in a hyper-arid endorheic watershed on Tibetan Plateau: Insights from multi-proxy data. J. Hydrol. 2024, 644, 132020. [Google Scholar] [CrossRef]
  31. Wang, W.; Chen, Y.; Wang, W.; Yang, Y.; Hou, Y.; Zhang, S.; Zhu, Z. Assessing the influences of land use change on groundwater hydrochemistry in an oasis-desert region of Central Asia. Water 2022, 14, 651. [Google Scholar] [CrossRef]
  32. Yang, N.; Guo, L.; Wang, G.; Xiong, L.; Song, X.; Li, H. Application of major ions and Sr isotopes to indicate the evolution of river water and shallow groundwater chemistry in a typical endorheic watershed, northwestern China. Appl. Geochem. 2024, 175, 106182. [Google Scholar] [CrossRef]
  33. Zhang, X.; Xu, Z.; Liu, W.; Moon, S.; Zhao, T.; Zhou, X.; Zhang, J.; Wu, Y.; Jiang, H.; Zhou, L. Hydro-geochemical and Sr isotope characteristics of the Yalong river Basin, Eastern Tibetan Plateau: Implications for chemical weathering and controlling factors. Geochem. Geophys. Geosystems 2019, 20, 1221–1239. [Google Scholar] [CrossRef]
  34. Gaillardet, J.D.B.L.; Dupré, B.; Louvat, P.; Allegre, C.J. Global silicate weathering and CO2 consumption rates deduced from the chemistry of large rivers. Chem. Geol. 1999, 159, 3–30. [Google Scholar] [CrossRef]
  35. Zhao, W.; Qian, H.; Xu, P.; Yang, S.; Liu, Y.; Shen, Y.; Zang, Y.; Wang, Q.; Cao, Z. Tracing groundwater-surface water sources and transformation processes in the Ba River Basin through dual isotopes and water chemistry. Appl. Geochem. 2024, 176, 106199. [Google Scholar] [CrossRef]
  36. Fan, H.; Song, F.; Wu, H.; Du, Y.; Lei, R.; Ding, M.; Li, K.; Li, J.; Fu, C. Identifying the pattern of shallow groundwater hydrochemistry and its driving factors in a typical estuarine delta of Poyang Lake watershed, China: Insights into water quality assessment. J. Hydrol. Reg. Stud. 2024, 56, 102049. [Google Scholar] [CrossRef]
  37. Zhang, F.; Yuan, Y.; Xi, B.; Lu, H.; Jiang, Y.; Hui, K.; Tan, W.; Wang, H.; Meng, F. Hydrochemistry characteristics and genesis of shallow groundwater in diverse industrial agglomeration areas in typical alluvial plain of the Yellow River. Sci. Total Environ. 2025, 958, 177764. [Google Scholar] [CrossRef]
  38. Dogramaci, S.; Skrzypek, G.; Dodson, W.; Grierson, P.F. Stable isotope and hydrochemical evolution of groundwater in the semi-arid Hamersley Basin of subtropical northwest Australia. J. Hydrol. 2012, 475, 281–293. [Google Scholar] [CrossRef]
  39. Lu, H.; Zeng, Y.; Zhou, J.; Sun, Y. Characteristics and Causes of Groundwater Salinization in the Plain Area of the Lower Kashgar River. Environ. Sci. 2022, 43, 4459–4469. [Google Scholar] [CrossRef]
  40. Shuai, G.; Shao, J.; Cui, Y.; Zhang, Q.; Guo, Y. Hydrochemical Characteristics and Quality Assessment of Shallow Groundwater in the Xinzhou Basin, Shanxi, North China. Water 2021, 13, 1993. [Google Scholar] [CrossRef]
  41. Zhao, N.; Zhou, J.; Jiang, F.; Ding, Q. Groundwater chemical characteristics and their influencing factors in the plain area of Tizinav River Basin, Xinjiang, China. South-North Water Transf. Water Sci. Technol. 2025, 23, 421–432. [Google Scholar] [CrossRef]
  42. Fan, G.; Zhang, D.; Zhang, J.; Li, Z.; Sang, W.; Zhao, L.; Xu, M. Ecological environmental effects of Yellow River irrigation revealed by isotope and ion hydrochemistry in the Yinchuan Plain, Northwest China. Ecol. Indic. 2022, 135, 108574. [Google Scholar] [CrossRef]
  43. Gao, F.; Jiang, F.; Zhou, J.; Zhou, Y.Z.; Sun, Y.; Li, J. Preliminary Analysis of the Chemical Characteristics and Boron Sources of Surface Water and Groundwater in the Cherchen River Basin of Xinjiang. Environ. Sci. 2024, 45, 7146–7156. [Google Scholar] [CrossRef]
  44. Liu, X.; Xiang, W.; Song, J.; Si, B. Spatial variations in groundwater hydrochemistry, sources, and controls across catchments on Chinese Loess Plateau. J. Hydrol. Reg. Stud. 2024, 53, 101791. [Google Scholar] [CrossRef]
  45. Zheng, Y.; Sun, Y.; Zhou, J.; Li, R. Hydrochemical Characteristics of Groundwater and Causal Mechanisms of Highly Fluoridized Water in the Plain Area of the Irtysh River Basin, Xinjiang, China. Arid Zone Res. 2024, 41, 2056–2070. [Google Scholar] [CrossRef]
  46. Wang, S.; Chen, J.; Zhang, S.; Zhang, X.; Chen, D.; Zhou, J. Hydrochemical evolution characteristics, controlling factors, and high nitrate hazards of shallow groundwater in a typical agricultural area of Nansi Lake Basin, North China. Environ. Res. 2023, 223, 115430. [Google Scholar] [CrossRef]
  47. Yang, L.; Jia, D.; Gao, R.; Su, W.; Lu, F.; Hao, Y. Hydrogen and Oxygen Isotopic Characteristics and Influencing Factors of “Three Waters” in Shandian River Basin. Environ. Sci. 2023, 44, 3855–3863. [Google Scholar] [CrossRef]
  48. Zeng, D.; Wu, J.; Li, H.; Zhao, Q.; Liu, S.; Qin, J. Progress of Hydrogen and Oxygen Isotope Studies in Precipitation of Northwest Arid Zone. Arid Zone Res. 2020, 37, 857–869. [Google Scholar] [CrossRef]
  49. Liu, F.; Tian, L.; Cai, Z.; Wang, X.; Liang, P.; Wang, S.; Li, S. What caused the lag between oxygen-18 and deuterium excess in atmospheric vapor and precipitation during the earlier summer season in southwest China? J. Hydrol. 2024, 644, 132087. [Google Scholar] [CrossRef]
  50. Xiong, L.; Xu, X.; Engel, B.; Huang, Q.; Huo, Z.; Xiong, Y.; Han, W.; Huang, G. Modeling agro-hydrological processes and analyzing water use in a super-large irrigation district (Hetao) of arid upper Yellow River basin. J. Hydrol. 2021, 603, 127014. [Google Scholar] [CrossRef]
  51. Wang, W.; Chen, Y.; Wang, W.; Zhu, C.; Chen, Y.; Liu, X.; Zhang, T. Water quality and interaction between groundwater and surface water impacted by agricultural activities in an oasis-desert region. J. Hydrol. 2023, 617, 128937. [Google Scholar] [CrossRef]
Figure 1. Distribution of sampling points in the study area.
Figure 1. Distribution of sampling points in the study area.
Water 18 00754 g001
Figure 2. Typical hydrogeological profile in the study area.
Figure 2. Typical hydrogeological profile in the study area.
Water 18 00754 g002
Figure 3. Violin plot of hydrochemical parameters of surface water groundwater for different hydrological periods in the study area. (a) pH, (b) TDS, (c) K+, (d) Na+, (e) Ca2+, (f) Mg2+, (g) Cl, (h) SO42−, (i) HCO3. Note: The red dashed line refers to the water chemistry parameters in China’s “Groundwater Quality Standard” (GB/T 14848-2017) [27].
Figure 3. Violin plot of hydrochemical parameters of surface water groundwater for different hydrological periods in the study area. (a) pH, (b) TDS, (c) K+, (d) Na+, (e) Ca2+, (f) Mg2+, (g) Cl, (h) SO42−, (i) HCO3. Note: The red dashed line refers to the water chemistry parameters in China’s “Groundwater Quality Standard” (GB/T 14848-2017) [27].
Water 18 00754 g003
Figure 4. Piper’s trilinear diagram of surface water (a) and groundwater (b) hydrochemical types during different hydrological periods in the study area.
Figure 4. Piper’s trilinear diagram of surface water (a) and groundwater (b) hydrochemical types during different hydrological periods in the study area.
Water 18 00754 g004
Figure 5. Land use and land cover (LUCC) distribution in the study area for the years 2000 (a), 2010 (b) and 2020 (c), and spatial distribution characteristics of surface water groundwater hydrochemistry types for different hydrological periods of the year during the dry (d), flat (e) and abundant (f) periods.
Figure 5. Land use and land cover (LUCC) distribution in the study area for the years 2000 (a), 2010 (b) and 2020 (c), and spatial distribution characteristics of surface water groundwater hydrochemistry types for different hydrological periods of the year during the dry (d), flat (e) and abundant (f) periods.
Water 18 00754 g005
Figure 6. Gibbs map of surface water and groundwater in the study area for different hydrological periods (a) TDS vs. Na+/(Ca2+/Na+), (b) TDS vs. Cl/(Cl + HCO3).
Figure 6. Gibbs map of surface water and groundwater in the study area for different hydrological periods (a) TDS vs. Na+/(Ca2+/Na+), (b) TDS vs. Cl/(Cl + HCO3).
Water 18 00754 g006
Figure 7. Plot of Mg2+/Na+ vs. Ca2+/Na+ (a) and HCO3/Na+ vs. Ca2+/Na+ (b) for surface water and groundwater in the study area for different hydrological periods.
Figure 7. Plot of Mg2+/Na+ vs. Ca2+/Na+ (a) and HCO3/Na+ vs. Ca2+/Na+ (b) for surface water and groundwater in the study area for different hydrological periods.
Water 18 00754 g007
Figure 8. (ac) Na+ + K+ vs. Cl, (df) Ca2+ + Mg2+ vs. HCO3, (gi) Ca2+ + Mg2+ vs. HCO3 + SO42− in surface and groundwater of different hydrological periods in the study area.
Figure 8. (ac) Na+ + K+ vs. Cl, (df) Ca2+ + Mg2+ vs. HCO3, (gi) Ca2+ + Mg2+ vs. HCO3 + SO42− in surface and groundwater of different hydrological periods in the study area.
Water 18 00754 g008
Figure 9. Plot of TDS versus SI of each mineral in groundwater during different hydrological periods in the study area.
Figure 9. Plot of TDS versus SI of each mineral in groundwater during different hydrological periods in the study area.
Water 18 00754 g009
Figure 10. (ac) (Ca2+ + Mg2+)-(SO42− + HCO3) vs. (Na+-Cl), (df) CAI-II vs. CAI-I in surface water and groundwater of different hydrological periods in the study area.
Figure 10. (ac) (Ca2+ + Mg2+)-(SO42− + HCO3) vs. (Na+-Cl), (df) CAI-II vs. CAI-I in surface water and groundwater of different hydrological periods in the study area.
Water 18 00754 g010
Figure 11. Distribution of fully analyzed sampling sites in the study area.
Figure 11. Distribution of fully analyzed sampling sites in the study area.
Water 18 00754 g011
Figure 12. Plot of (a) (NO3/Cl) vs. NO3, (b) (SO42−/Ca2+) vs. (NO3/Ca2+) in surface water and groundwater in the study area.
Figure 12. Plot of (a) (NO3/Cl) vs. NO3, (b) (SO42−/Ca2+) vs. (NO3/Ca2+) in surface water and groundwater in the study area.
Water 18 00754 g012
Figure 13. Scatter matrix of surface water and groundwater correlation for different hydrological periods in the study area (a) dry season, (b) normal season, (c) wet period. Note: SW: surface water, GW: groundwater; Corr: correlation; *: p < 0.05, **: p < 0.01, ***: p < 0.001, smaller p-values indicate stronger correlation significance.
Figure 13. Scatter matrix of surface water and groundwater correlation for different hydrological periods in the study area (a) dry season, (b) normal season, (c) wet period. Note: SW: surface water, GW: groundwater; Corr: correlation; *: p < 0.05, **: p < 0.01, ***: p < 0.001, smaller p-values indicate stronger correlation significance.
Water 18 00754 g013aWater 18 00754 g013b
Figure 14. Surface water-groundwater δ2H-δ18O relationship diagrams in different hydrological periods (GMWL: global atmospheric precipitation line; LMWL: local atmospheric precipitation line) and δ18O-d-excess relationship diagrams in the study area (a,d) dry season, (b,e) normal season, (c,f) wet period.
Figure 14. Surface water-groundwater δ2H-δ18O relationship diagrams in different hydrological periods (GMWL: global atmospheric precipitation line; LMWL: local atmospheric precipitation line) and δ18O-d-excess relationship diagrams in the study area (a,d) dry season, (b,e) normal season, (c,f) wet period.
Water 18 00754 g014
Figure 15. Characteristics of changes in δ2H and δ18O with relative distance in surface water and groundwater along profile line I-I′ during different hydrological periods. (a,d) dry season, (b,e) normal season, (c,f) wet period.
Figure 15. Characteristics of changes in δ2H and δ18O with relative distance in surface water and groundwater along profile line I-I′ during different hydrological periods. (a,d) dry season, (b,e) normal season, (c,f) wet period.
Water 18 00754 g015
Figure 16. Characteristics of spatial distribution of δ2H and δ18O in surface water and groundwater in the study area during different hydrological periods. (a,d) dry season, (b,e) normal season, (c,f) wet period.
Figure 16. Characteristics of spatial distribution of δ2H and δ18O in surface water and groundwater in the study area during different hydrological periods. (a,d) dry season, (b,e) normal season, (c,f) wet period.
Water 18 00754 g016
Table 1. Calculation of the ratio of groundwater recharge to surface water recharge during dry, normal and wet seasons.
Table 1. Calculation of the ratio of groundwater recharge to surface water recharge during dry, normal and wet seasons.
Zone of TransformationGs/‰Gb/‰Gg/‰Groundwater Recharge Ratio
Rainless periodOasis District−4.8−0.4−9.548.6%
Desert area−4.5−5.2−3.754.3%
Hydrostatic periodOasis District−12.1−12.2−9.11.0%
Desert area−4.1−6.8−4.523.4%
Wet season Oasis District−8.3−8.3−7.77.3%
Desert area−6.0−4.0−7.950.5%
Disclaimer/Publisher’s Note: The statements, opinions and data contained in all publications are solely those of the individual author(s) and contributor(s) and not of MDPI and/or the editor(s). MDPI and/or the editor(s) disclaim responsibility for any injury to people or property resulting from any ideas, methods, instructions or products referred to in the content.

Share and Cite

MDPI and ACS Style

Shi, S.; Li, S.; Ge, Y.; Jie, F.; Liu, T.; Li, T. Seasonal Dynamics of Surface Water–Groundwater Interactions in the Niya River Basin, Northwest China: Insights from Hydrochemistry and Stable Isotopes. Water 2026, 18, 754. https://doi.org/10.3390/w18060754

AMA Style

Shi S, Li S, Ge Y, Jie F, Liu T, Li T. Seasonal Dynamics of Surface Water–Groundwater Interactions in the Niya River Basin, Northwest China: Insights from Hydrochemistry and Stable Isotopes. Water. 2026; 18(6):754. https://doi.org/10.3390/w18060754

Chicago/Turabian Style

Shi, Shaoqi, Sheng Li, Yanyan Ge, Feilong Jie, Tianchao Liu, and Tong Li. 2026. "Seasonal Dynamics of Surface Water–Groundwater Interactions in the Niya River Basin, Northwest China: Insights from Hydrochemistry and Stable Isotopes" Water 18, no. 6: 754. https://doi.org/10.3390/w18060754

APA Style

Shi, S., Li, S., Ge, Y., Jie, F., Liu, T., & Li, T. (2026). Seasonal Dynamics of Surface Water–Groundwater Interactions in the Niya River Basin, Northwest China: Insights from Hydrochemistry and Stable Isotopes. Water, 18(6), 754. https://doi.org/10.3390/w18060754

Note that from the first issue of 2016, this journal uses article numbers instead of page numbers. See further details here.

Article Metrics

Back to TopTop