Next Article in Journal
Extractable Water Index (EWI): Towards a Universal Metric for Sustainable River Extraction
Previous Article in Journal
Evaluating the Feasibility of Two Reduced Sulfur Compounds as Energy Sources and Electron Donors for Partial Autotrophic Denitrification: Thiocyanate and Sulfite
Previous Article in Special Issue
Enrichment Characteristics, Genesis, Development, and Utilization Suggestions for Metasilicic Acid in Groundwater of the Typical Black Soil Area of the Sanjiang Plain
 
 
Font Type:
Arial Georgia Verdana
Font Size:
Aa Aa Aa
Line Spacing:
Column Width:
Background:
Article

The Hydrochemical Evolution Between Over-Exploitation and Reduced Exploitation of Groundwater in the Funnel Area in Hengshui City, Central North China Plain

Center for Hydrogeology and Environmental Geology, China Geological Survey, Tianjin 300309, China
*
Author to whom correspondence should be addressed.
Water 2026, 18(6), 706; https://doi.org/10.3390/w18060706
Submission received: 8 December 2025 / Revised: 18 January 2026 / Accepted: 9 February 2026 / Published: 18 March 2026

Abstract

This study is based on isotope (δ18O, δ2H, 14C), hydrochemical, and groundwater-level data from the past 47 years in the central North China Plain (NCP). It uses methods such as mathematical statistics, Piper diagrams, Gibbs models, and ion ratios to investigate the characteristics of changes in the groundwater flow field, hydrochemistry, and isotopes across various aquifers in the Hengshui funnel area before and after the implementation of groundwater exploitation reduction measures (GWER). Furthermore, it reveals the driving mechanisms of these measures’ effects on hydrochemical characteristics and isotopic variations. The results show the following: (1) The hydrochemical type of shallow groundwater (SG) before GWER was primarily Cl▪SO4-Na▪Ca, which diversified to Cl▪SO4-Na and SO4▪Cl-Na types after GWER; the deep groundwater (DG) type changed from Cl▪SO4-Na to Cl-Na. (2) Before GWER, the hydrochemical composition of SG and DG was primarily controlled by the dissolution of silicates, salt rocks, and evaporites. After GWER, the hydrochemical composition of DG primarily originated from the dissolution of evaporites and salt rocks, accompanied by enhanced cation exchange. (3) The δ18O of SG was affected by the recharge of irrigation return water, changing from enrichment to depletion before and after the GWER. The δ18O value in DG changed from depletion to enrichment, and the groundwater age changed from older to younger after the GWER. The GWER altered the hydrodynamics, weakened the hydraulic connectivity, and led to changes in the evolution of the hydrochemistry. The findings have direct implications for water quality and promoting the sustainable utilization of deep groundwater in the NCP’s central funnel area.

1. Introduction

As a typical large sedimentary basin, the NCP has a complex hydrogeological structure and groundwater system [1]. Geologically, it is located in the Jizhong Depression, where the confined DG is paleowater formed during the Late Pleistocene [2,3], representing a non-renewable resource. As one of the world’s most densely populated and water-scarce regions, decades of agricultural irrigation and domestic water supply by over-extraction of DG led to a continuous decline in DG levels in the central part of the NCP. This has resulted in the formation of a large-scale groundwater funnel and triggered a series of issues such as the downward migration of saline water, land subsidence, water quality deterioration, and seawater intrusion [4].
The Hengshui area is a major city in the central-eastern NCP. Extensive extraction of DG began in the 1970s, causing a significant drop in DG levels and the formation of a depression cone. The cone area expanded to 3476 km2 by 1975 and grew to 8815 km2 by 2011. In 2021, the groundwater level depth within the cone area ranged from 90 to 120 m, with the current maximum depth of 136.5 m located in Jing County, southeast of Hengshui [5]. To prevent the further expansion of the groundwater depression cone and related problems, and to maintain the sustainable use of groundwater, the state implemented the groundwater exploitation reduction (GWER) project in 2014. This initiative aims to reduce DG extraction and increase external water recharge [6]. By 2021, a total of 130,000 DG extraction wells had closed in the NCP, reducing extraction volume by 5.23 m3. Consequently, the SG level in the NCP rose by 0.70 m, while the average DG level rose by 2.14 m [7]. The recovery of the groundwater level has altered the groundwater flow system and changed the recharge of groundwater. To ensure the sustainable use of groundwater, it is urgent to investigate the current groundwater flow system and recharge conditions in the Hengshui area.
In the early 1990s, several studies began to focus on issues such as changes in the hydrodynamics of the NCP caused by human activities, including the downward migration of saline water interfaces, salinization of deep freshwater, and evolution of a groundwater funnel [8]. Extensive research has been conducted on the evolution of the groundwater environment and its sustainable utilization [9]. In recent decades, as the groundwater level and chemical composition are sensitive to human activities over a 50–100 year timescale [10], the over-exploitation of groundwater has led to alterations in the groundwater flow system and water quality. In particular, the DG paleowater has been depleted due to extensive extraction [8,9], posing challenges to its sustainable use. Consequently, in recent years, many scholars have focused primarily on the impacts of large-scale extraction on the piedmont areas and certain aquifer systems of the NCP, as well as on the sustainable utilization of groundwater [11,12,13,14]. Additionally, studies have focused on the effects of intensive extraction stages on the evolution of its hydrochemistry [15].
However, there remains insufficient research on the vertical hydraulic connectivity of groundwater, the mixing processes between adjacent aquifers, and the mechanisms of hydrochemical evolution after the implementation of GWER measures in 2014, particularly in the central-eastern part of the NCP. However, there are few comparative studies on before and after the GWER, and long-term changes in the groundwater system over the years are still not well understood [16].
Currently, scholars often combine metrics such as stable isotopes (δD and δ18O), groundwater age (14C), and hydrochemistry to study groundwater circulation and recharge mechanisms, as well as the characteristics of the groundwater flow system and hydrochemical evolution [17]. Previous studies suggest that isotopic signatures can reveal the origin of groundwater, its circulation and hydrodynamic conditions, its recharge mechanisms [18], and interactions between aquifers [19]. Isotopic methods have proven highly valuable for understanding the hydrodynamic response and the sustainability of intensively exploited aquifers [20]. Changes in groundwater age over multiple years can be used to investigate groundwater circulation mechanisms and the characteristics of groundwater flow system variations [21]. The alterations in hydrochemical characteristics resulting from years of groundwater extraction and subsequent GWER can be analyzed to understand changes in hydrochemical evolution mechanisms [22].
In the NCP, the isotopic composition of SG differs significantly from that of DG. SG exhibits enriched isotopic signatures, whereas DG shows depleted isotopic signatures [2,3]. The 14C age indicates that the DG is paleowater recharged during the Late Pleistocene glacial period. Analyzing changes in the age of DG before and after the GWER can aid understanding of the current recharge and circulation status of DG. Therefore, combining stable-isotope (δD and δ18O), groundwater age (14C), and hydrochemical methods to study groundwater circulation and recharge mechanisms, as well as the characteristics of the groundwater flow system and hydrochemical evolution, yields credible results. Long-term time-series monitoring data of isotopes and hydrochemistry can provide reliable information on the changes in groundwater flow systems. This serves as a reference for assessing the current state of groundwater systems, predicting future groundwater quality, and enhancing the understanding of long-term human impact on groundwater systems [11].
This study is based on a comparative analysis of groundwater level, hydrochemistry, and isotopic data (δ18O, δ2H, and 14C) from the Hengshui area from 1977 to 2023, focusing on the periods before (1977–2014) and after (2014–2023) the implementation of GWER. It aims to clarify the driving effects of these measures on the hydrochemistry and hydrodynamics of both SG and DG. The primary objectives of this study are: (1) to analyze and compare the impact of GWER on the hydrochemistry in the Hengshui, central NCP, over the past 47 years; (2) to investigate the changes in hydraulic connectivity between different aquifers by the GWER and their influence on groundwater circulation, thereby elucidating the mechanisms of the hydrochemistry.

2. Study Area

Hengshui is situated in the central part of the NCP, within the Heilonggang basin of the Ziya River system, which belongs to the Haihe River basin. It covers a total area of 8815 km2.
The region has a semi-arid to semi-humid continental monsoon climate with four distinct seasons. Precipitation is concentrated in summer. The annual mean temperature is 13 °C. The annual mean precipitation is 475 mm [16], while the annual mean evaporation is 1665 mm [23]. The average elevation is 20.7 m [24]. Hengshui is located within the NCP depression zone [25]. The Quaternary strata have a thickness of 450–640 m and consist of loose, multilayered muddy and sandy alluvial and lacustrine deposits [26].
Hengshui can be divided into three main hydrogeological zones: Zone I is the Hutuo River and is alluvial–diluvial, Zone II is the Fuyang River and is alluvial–diluvial, and Zone III is the Zhangwei River and is alluvial–diluvial (Figure 1a). The groundwater in the study area is unconsolidated pore water. The Quaternary aquifer can be divided from top to bottom into four aquifers: I, II, III, and IV (Figure 1b), which correspond to the Holocene (Q4), Upper Pleistocene (Q3), Middle Pleistocene (Q2), and Lower Pleistocene (Q1) strata, respectively [27]. Aquifer I is a phreatic to weakly confined aquifer, with a bottom of 60 m. It consists of medium- to fine-grained sand in fluvial facies, with a mixed distribution of fresh and saline water [28]. Aquifer II is a confined aquifer with a bottom of 170 m. It comprises loose muddy and sandy sediments in fluvial–alluvial facies and is predominantly a saline-water aquifer in most areas. Aquifer III and IV, with a bottom of 350 m and 550 m, respectively, are composed mainly of medium to fine sands in fluvial–lacustrine facies.
Aquifer I and II are defined as SG, while Aquifer III and IV are defined as DG [2]. Shallow groundwater in most areas is saline, with the bottom boundary of saline water at depths of 50–85 m. Due to the lack of continuous low-permeability aquitards, Aquifer I and II in the NCP are closely connected hydraulically. Between Aquifer II and III there exists a relatively continuous aquitard composed of silty clay with a thickness greater than 10 m. The central plain features flat terrain with a small hydraulic gradient (0.1–0.2%), resulting in relatively weak horizontal groundwater flow. Evaporation is the primary discharge mechanism for SG [29]. Towards the central and southeastern parts, the thickness of the aquifers are decreased, and the water quantity becomes weaker [30].
Under natural conditions, the primary recharge sources for SG are atmospheric precipitation infiltration and irrigation return flow. DG at deeper depth belongs to semi-confined aquifers and is difficult to replenish by modern precipitation. The groundwater flow direction of the DG field is from southwest to northeast.

3. Materials and Methods

The groundwater level, hydrogen and oxygen isotopes, chemical composition, and precipitation data from 1977 to 2023 in the study area were collected [2]. Field surveys and sample collection were conducted in the study area in 2020.
Before the GWER, isotope and hydrochemical data from 1977 to 2014 were selected. These data represent the average values of long-term, multi-year records of multiple adjacent monitoring wells of the same aquifer. Samples were taken from 11 sites (Figure 1a) for a total of 104 chemical-composition data. After the GWER, the hydrochemistry data from 2014 to 2023 for the same wells before the GWER period were selected, combined with hydrochemical monitoring data from 2018 to 2023 for typical wells in Hengshui City for analysis.
In December 2020, water samples for hydrochemical and isotopic analysis were collected. All samples were taken from national groundwater engineering monitoring wells and civilian wells, with sampling depths as follows: Aquifer IV, 350–500 m; Aquifer III, 170–350 m; Aquifer II, 60–170 m; and Aquifer I, 0–60 m. A total of 16 groups of SG samples and 13 groups of DG samples were used. The shallow wells had depths ranging from 8.25 to 100 m, with groundwater levels between 3.33 and 12.79 m. The deep wells had depths of 200 to 400 m. The distribution of sampling points is shown in Figure 1a.
Prior to groundwater sampling, wells were pumped for 10–15 min to purge stagnant water. Three bottles of water samples (250 mL PVC bottles) were collected and sealed with filter membrane. The sample for cation testing was acidified with concentrated nitric acid to a pH < 2 [31], while the other two bottles were used for anion and stable-hydrogen–oxygen-isotope testing. On-site measurements of physicochemical parameters such as water temperature, pH, dissolved oxygen, electrical conductivity, and total dissolved solids were conducted using a portable water quality tester (HACH sension-156, Loveland, CO, USA). Hydrochemical analysis of the groundwater samples was performed by Pony Testing International Group Co., Ltd. (Beijing, China) and K+, Na+, Ca2+, and Mg2+ were measured using flame atomic absorption spectrometry (contrAA300, Jena, Germany), with method detection limits of 0.05, 0.01, 0.10, and 0.10 mg·L−1, respectively. HCO3 and CO32− concentrations were determined by titration, with a method detection limit of 5.0 mg·L−1 for both. SO42−, Cl, NO3, and F were analyzed using ion chromatography (883, Herisau, Switzerland), with method detection limits of 0.10, 0.05, 0.02, and 0.03 mg·L−1, respectively. The total dissolved solids (TDS) were measured by the dry-weighing method, with a relative error theoretically calculated within ±10%. Stable isotopes δD and δ18O were analyzed by the Laboratory of the Center for Hydrogeology and Environmental Geology, China Geological Survey, using wavelength-scanned cavity ring-down spectroscopy (WS-CRDS) on a Picarro L2130-i analyser, Santa Clara, CA, USA, with measurement errors of ±1.0‰ for δD and ±0.2‰ for δ18O, respectively. The results are reported relative to the VSMOW standard. The charge balance error for all samples in this study was within ±5%.

4. Results

4.1. Groundwater Level Variation

The SG level data are based on the average values from 136 groundwater quality monitoring wells in Aquifer I in Hengshui City [32]. The DG level data are collected from the Heng 62 monitoring well (Aquifer III) (Figure 2). Groundwater extraction in the Hengshui area showed a gradual increasing trend during stage 1, with an average of 800–900 million m3/y. During stage 2, extraction remained relatively stable but reached its peak, with an annual average of 1.4 billion m3/y. In stage 3, extraction gradually declined, dropping to 200 million m3/y by 2020. The main extraction layer in the study area is the deep Aquifer III.
The overall groundwater level showed a declining trend, which can be divided into three stages.
Stage 1 (1977–2004) was characterized by excessive groundwater extraction. The groundwater level of SG generally exhibited an increasing trend, rising from an initial range of 2–4 m to 10 m by 2004. In contrast, the DG level continued to decline, with an average annual drop of 30 m (Figure 2).
Stage 2 (2004–2014) was characterized by relatively minor changes in the SG level, increasing from 10 m to 11.58 m [33]. DG entered a stabilization period, maintaining an average groundwater level of around 78 m.
Stage 3 (2014–2023) was in the period following GWER [34]. A rising trend emerged around 2018 following the enforcement of GWER. By 2020, the depth of SG ranged between 9 and 13 m. DG levels stopped falling and began to rise by 4.2 m/y, resulting in a total rise of 25 m by 2021 [5].

4.2. Hydrochemical Evolution Characteristics of Groundwater

Based on the temporal variation trends of ion concentrations in groundwater, the evolution was divided into three stages, which are discussed separately for shallow and deep aquifers.
(1)
Changes in Ion Concentration in SG
Aquifer I: Analysis was conducted using the typical well Xian15 (depth of 33–54 m) (Figure 1a) as an example. In Aquifer I, the TDS and major ion concentrations in groundwater were generally high during stage 1 (1977–2004) and showed a declining trend. During stage 2 (2004–2014), both TDS and ion concentrations exhibited an overall decreasing trend. In stage 3 (2014–2023), TDS and ion concentrations displayed greater variability but generally tended to decrease. The TDS concentration varied within the following ranges: 15,000.0–13,907.5 mg/L (stage 1), 13,907.5–12,430.7 mg/L (stage 2), and 10,324.0–13,765.0 mg/L (stage 3) (Figure 3).
Aquifer II: Analysis was conducted using Well 9814 and Well Heng 63 as examples (Figure 1a). In Aquifer II, the TDS and major ion concentrations in the groundwater showed a slow increase during stage 1 (1977–2004). During stage 2 (2004–2014), TDS and ion concentrations increased significantly, peaking in 2009, with HCO3 concentration at its lowest and Cl exhibiting a sharp upward trend. In stage 3 (2014–2023), TDS and ion concentrations displayed greater variability but generally decreased. The TDS concentration varied within the following ranges: 625.7–724.9 mg/L (stage 1), 724.9–1400.0 mg/L (stage 2), and 823.0–933.0 mg/L (stage 3). Based on these values, the groundwater in Aquifer II is primarily classified as freshwater (Figure 3).
Overall, the hydrochemical type of SG (Aquifer I and II) before the implementation of GWER (1977–2004) was mainly Cl▪SO4-Na▪Ca. After the implementation of GWER in 2014, the hydrochemical type evolved into Cl▪SO4-Na or SO4▪Cl-Na (Figure 4a) [35].
(2)
Changes in Ion Concentration in DG
Monitoring data from the wells Heng 61 and Heng 330 (Aquifer III) were used for analysis. In DG, the total dissolved solids (TDS) and major ion concentrations remained relatively stable during stage 1 (1977–2004). In stage 2 (2004–2014), ion concentrations fluctuated with an overall decreasing trend. In stage 3 (2014–2023), ion concentrations showed more significant variability, with a notably sharp upward trend of Cl. The TDS varied within the following ranges: 593.8–626.2 mg/L (stage 1), 560.0–593.8 mg/L (stage 2), and 502.0–567.9 mg/L (stage 3). Thus, the DG is classified as freshwater (Figure 3). The hydrochemical types of the DG (Figure 4b) changed from the Cl▪SO4-Na type to the Cl-Na type after the GWER.

4.3. Isotopic Characteristics of Groundwater

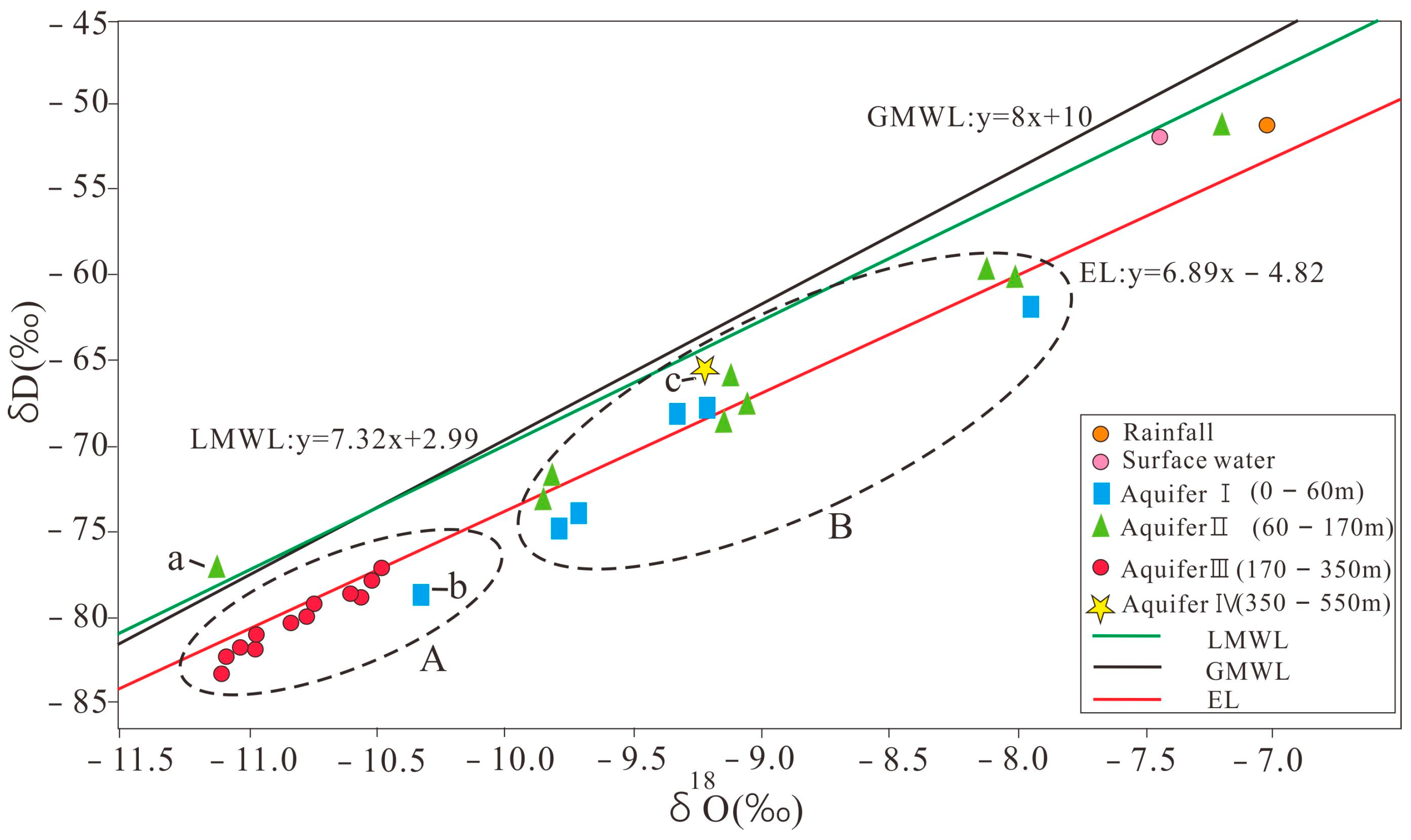
The δ18O values in SG (Aquifer I and II) range from −11.14‰ to −7.21‰ (mean: −9.10‰). The δ2H values range from −78.50‰ to −51.45‰ (mean: −67.71‰).
Specifically, in Aquifer I, the δ2H and δ18O ranged from −9.83‰ to −7.21‰ (mean: −8.90‰) and −72.97‰ to −51.45‰ (mean: −65.47‰), respectively. In Aquifer II, the δ2H and δ18O ranged from −11.14‰ to −7.90‰ (mean: −9.25‰) and −78.50‰ to −60.00‰ (mean: −69.46‰).
For Aquifers III and IV, the δ2H and δ18O values are concentrated in the lower-left quadrant (Figure 5). The variation in δ18O and δ2H isotopic ratios in this DG is relatively narrow. δ18O range from −11.17‰ to −10.15‰ (mean: −10.73‰), and δ2H range from −84‰ to −77.94‰ (mean: −79.83‰). However, the sample from Aquifer IV is an exception, as its isotopic composition (δ18O: −9.19‰; δ2H: −65.50‰) is relatively similar to that of the groundwater in Aquifers I and II.
The δ2H and δ18O values of groundwater showed a close relationship with the local meteoric water line (LMWL): δ2H = 7.32 × δ18O + 2.99 [10]. All groundwater samples are distributed near the global meteoric water line (δ2H = 8 × δ18O + 10) (Figure 5), indicating that all groundwater primarily originated from atmospheric precipitation. The greater deviation of SG samples from the meteoric water line suggests that shallow water had undergone stronger evaporation. The fitted evaporation line (EL) for all water samples is δ2H = 6.89 × δ18O − 4.82. Based on the intercept between the evaporation line and the LMWL, the estimated isotopic composition of the water body before evaporation is δ18O = −12.91‰ and δ2H = −93.28‰. On average, this δ18O is 2.25‰ lower and δ2H is 11.59‰ lower than those in the SG, which are significantly lower than the local precipitation-weighted average in Hengshui City (−7.0‰ and −51‰, respectively) [36]. This indicates an isotopically depleted signature characteristic of glacial periods, suggesting that the recharge source of DG was from the ice age, rather than modern precipitation or surface water infiltration [2,3].

5. Discussion

5.1. Changes in Hydrochemical Processes Before and After GWER

Significant changes occurred in the hydrochemical types before and after the implementation of GWER. The hydrochemical type of SG evolved from Cl▪SO4-Na▪Ca to Cl▪SO4-Na and SO4▪Cl-Na types, showing a trend of decreasing relative concentration of Ca2+ and increasing concentration of Na+. This was consistent with the Cl▪SO4-Na type observed in DG during stage 2 (2004–2014), indicating stronger leakage between shallow and deep aquifers during this period.
The hydrochemical type of DG changed from SO4▪Cl-Na and HCO3▪SO4-Na in stage 1 to Cl▪SO4-Na and SO4▪Cl-Na in stage 2, simplifying from complex to relatively uniform, and further evolved into the Cl-Na type in stage 3 (Figure 4). The mechanisms behind this evolution in groundwater hydrochemistry can be analyzed using the ion ratio.
Gibbs diagrams and ion ratios can be used to trace the evolution mechanisms of hydrochemical components [37]. In this study, the hydrogeochemical processes of saline groundwater are interpreted based on these methods. As shown in Figure 6, the hydrochemical components of groundwater in Aquifer I were primarily controlled by water–rock interactions during stages 1 and 2. However, in stage 3, particularly during the later stages of GWER (2018–2023), evaporation became the dominant process to influence the hydrochemistry. This shift may be related to changes in SG levels affected by the GWER.
For the groundwater in Aquifers II and III, water–rock interactions (weathering) dominated during stages 1 and 2. In the later part of stage 3 (2018–2023), data points are scattered toward the outer edges of the Gibbs diagram. It may be associated with cation exchange processes or inputs from other water sources.
The presence of cation exchange in the groundwater environment can be assessed by the relationship with [γ(Ca2+) + γ(Mg2+) − γ(HCO3) − γ(SO42−)]/[γ(Na+) − γ(Cl)] [38]. When the water sample points are distributed along the 1:1 line, it indicates strong cation exchange. In stages 1 and 2, the sample points for both shallow groundwater and DG did not align along the y = −x line, suggesting that cation exchange was relatively weak in both shallow groundwater and DG during these periods. However, in the later stage of GWER (2018–2023), the DG samples were located near the y = −x line (Figure 7a), and the Na+ ion concentration increased (Figure 2). This indicates that cation exchange may have occurred in the groundwater.
The molar ratio diagrams of Ca/Na and Mg/Na can be used to reflect different water–rock interaction processes [39]. All SG samples are primarily distributed between the controlling end-members of silicate weathering and evaporite weathering (Figure 7b), indicating that silicate and evaporite weathering are the main solute sources. DG samples before 2018 were mainly distributed in the silicate dissolution end-member. However, from 2018 to 2023, the samples were distributed between the evaporite and silicate end-members, shifting closer to the evaporite end-member. This suggests that the hydrochemical characteristics of DG after the implementation of GWER are primarily controlled by evaporite dissolution.
Based on the Na+/Cl ratio diagram, the sources of Na+ and Cl can be inferred [40]. Prior to the implementation of GWER, the data points for SG were located on the 1:1 line. After the implementation of GWER, the points shifted above the 1:1 line, indicating that the sources of Na+ were not halite dissolution, but cation exchange (Figure 7a). The points for DG do not lie on the 1:1 line, suggesting that Na+ in DG is not solely derived from salt rock dissolution (Figure 7c,d) but also has other sources, such as cation exchange (Figure 7a).
The relationship between γ(Ca2+ + Mg2+)/γ(HCO3) and γ(SO42−)/γ(HCO3) can be used to analyze the involvement of carbonic and sulfuric acids in carbonate-rock dissolution within groundwater (Figure 7e) [41]. Before 2018, both shallow groundwater and DG samples were concentrated in the region, indicative of carbonate weathering with H2CO3. From 2018 to 2023, DG samples were primarily distributed in gypsum dissolution, indicating that gypsum dissolution is the main source of Ca2+ and SO42− in the groundwater. For SG, the dominant process was carbonate weathering with H2SO4.

5.2. Driving Effects of GWER on Hydrochemical and Isotopic Evolution

Over the past 40 years, extensive groundwater extraction and GWER have significantly altered the hydrodynamics [11]. There exists a significant positive correlation between SG levels and ion concentrations (Figure 8). For instance, the correlation coefficient between groundwater level and TDS is 0.78 (Figure 8a), and the coefficients with SO42−, HCO3, and Cl are 0.77, 0.76, and 0.69, respectively. This indicates that the groundwater level significantly influences the chemistry of SG.
In DG, the correlations between groundwater level and TDS, Na+, and Cl remain significant, with correlation coefficients of 0.60, 0.86, and 0.78, respectively (Figure 8b). This suggests that the variations in these ions in deep water are also regulated by hydrodynamic conditions. The ions most affected by groundwater level changes in DG are Na+ (r = 0.86) and Cl (r = 0.78). It is evident that the influence of the groundwater level on TDS variation has less influence on DG compared to SG.
From the perspective of hydrochemical evolution processes, SG can be divided into three stages. During Stage 1 (1977–2004), the rapid decline in shallow groundwater leveled to an increase in vertical recharge, resulting in a steady decrease in ion concentrations in Aquifer I. Concurrently, the enhanced leakage from Aquifer I (which has higher ion concentrations) into Aquifer II caused an increase in the ion concentration of groundwater in Aquifer II (Figure 2 and Figure 3). In Stage 2 (2004–2014), SG levels stabilized. Due to relatively higher atmospheric precipitation during this period (Figure 2), SG received increased recharge from precipitation, leading to a decrease in ion concentrations in Aquifer I. Meanwhile, the groundwater level in Aquifer II continued to decline, the water–rock interactions were intensified, and the leakage recharge from Aquifer I into Aquifer II increased. This combination of factors resulted in a rise in groundwater ion concentration in Aquifer II (Figure 2 and Figure 3). In Stage 3 (2014–2023), influenced by the GWER, the evolution of SG chemistry was altered. This led to a clear decreasing trend in ions within Aquifer I. In Aquifer II, the groundwater level recovered, and the vertical hydraulic gradient decreased. Consequently, the leakage of higher-ion-concentration water from Aquifer I recharge to Aquifer II weakened, leading to a corresponding decrease in ion concentrations in Aquifer II. This phenomenon reduced the risk of saline water from Aquifer I migrating downward into the freshwater of Aquifer II, thereby helping to prevent the further development of salinization in deeper groundwater (Figure 2 and Figure 3).
DG (Aquifer III) exhibits a different response pattern. With large-scale extraction of DG, the regional groundwater level continued to decline, leading to the gradual formation of a deep funnel that expanded toward the southeast (Figure 9). The central groundwater level depth in Hengshui increased from (−20~0 m) (Stage 1) to (−80~−15 m) (Stage 3). By 2020, the maximum depth reached 136.5 m in Jing County [5], forming a regional DG funnel with a strong vertical hydraulic gradient [42].
Against this background, the hydrochemistry of DG also evolved in stages. In Stage 1, the deep groundwater level of Aquifer III declined rapidly, but the ion concentrations showed no significant changes, indicating that the system had not yet undergone noticeable hydrochemical variation. In Stage 2, DG levels reached their lowest depth. Although vertical recharge increased, the limited hydraulic connection between Aquifer II and Aquifer III resulted in only a slight decrease in ion concentrations. In Stage 3, the vertical hydraulic gradient decreased, and leakage from the overlying aquifer recharge diminished, leading to a significant decline in ion concentrations such as TDS, HCO3, and SO42−. However, the concentrations of Na+ and Cl increased, which is inferred to be primarily due to groundwater level recovery enhancing the dissolution of salt layers and cationic exchange processes (Figure 7a,d).
Isotopic evidence further reveals the hydraulic connectivity between aquifers. The δ18O and δ2H values show that most groundwater sample points from Aquifer I and II are distributed within Area B (Figure 5), indicating close hydraulic connectivity between these two groups. The samples from Aquifer III are relatively concentrated, all located within Area A, and some SG samples also fall within this distribution area, suggesting the presence of vertical leakage. Notably, there are three special points (Figure 5). For example, typical points such as HS26 (Aquifer II) and HS23 (Aquifer III) exhibit isotopic characteristics of Late Pleistocene glacial water [2], indicating that DG may have upward leakage into shallow aquifers. In contrast, the deep sample point HS11 (Aquifer IV) shows isotopic features characteristic of SG, likely resulting from downward leakage from SG (Aquifer I and II).
The temporal variations of 14C activity and δ18O in groundwater together reflect the hydraulic response and renewal state of the groundwater system at different stages. From a time-series perspective, the δ18O values in SG showed an overall enrichment trend from 1977 to 2014, with the average δ18O increasing from −8.6‰ in 1985 to −6.72‰ in 2014 (Figure 10b). This reflects the increased contribution of irrigation return flow during the period of declining SG levels, leading to the enrichment of δ18O. After the implementation of GWER in 2014, the δ18O values in SG tended to become depleted, indicating the influence from the reduced recharge of irrigation water with depleted δ18O (Figure 10b).
Similarly, during stage 1’s intensive extraction of DG, most DG samples (e.g., B6, B7, B8) exhibited a decline in 14C activity and a depletion in their δ18O values (Figure 11), indicating that extraction primarily targeted deep reservoirs rich in older water with slow circulation and poor renewal, leading to δ18O depletion with an aging trend. During stage 2 (2004–2014), a period of stable groundwater levels, continuous extraction of older DG resulted in most samples maintaining δ18O depletion and relatively old ages. However, sample point B5 showed a synchronous trend of increasing 14C activity and enriched δ18O during stages 1 and 2, suggesting enhanced recharge from overlying aquifers, with relatively younger, enriched shallow groundwater. During stage 3 (2014–2023), in the GWER stage, the δ18O values in DG gradually became enriched, 14C activity slightly increased, and groundwater age became younger. This may be related to the recovery of DG levels and compaction-induced water release from the strata, rather than leakage recharge from the shallow aquifers, reflecting changes in groundwater hydrogeochemical processes after the GWER. Overall, the coordinated changes in 14C activity and δ18O reveal the different evolution of hydraulic connectivity and renewal characteristics in the deep aquifer under the influence of GWER.
In summary, the changes in the hydrochemistry of DG are primarily driven by the changes in hydrodynamics induced by GWER. Different ions exhibit significant differences in their response to changes in groundwater levels, reflecting complex evolutionary processes of the deep-aquifer system.

6. Conclusions

Based on long-term data of isotopes (δ18O, δ2H, 14C), hydrochemistry, and groundwater level over the past 47 years (1977–2023), this study systematically analyzed the impacts of the groundwater flow system on the hydrochemical characteristics and age of groundwater in the Hengshui area before and after the GWER.
The main conclusions are as follows:
(1)
The impact of GWER on hydrochemistry
The concentration of groundwater ions was significantly affected by the GWER (2014–2023), with a fluctuating decline in ion concentration of each aquifer. In contrast, the ion concentration exhibited minimal fluctuations before the water injection control (1977–2014).
The hydrochemical types in SG (Aquifer I and II) evolved from the Cl▪SO4-Na▪Ca type to either the Cl▪SO4-Na or SO4▪Cl-Na type. The hydrochemical types of DG (Aquifer III and IV) changed from the Cl▪SO4-Na type to the Cl-Na type. This reflects an evolutionary trend where GWER led to decreased Ca2+ and increased Na+ concentration in SG, and increased Cl concentration in deep water. Analysis reveals that hydrogeochemical processes changed after the implementation of GWER. The dominant hydrochemical process in SG shifted from rock weathering to evaporation, while in DG, it shifted from carbonate dissolution to control by evaporite dissolution. Furthermore, cation exchange processes were significantly intensified in the entire aquifer.
(2)
The impact of GWER on hydrodynamics
Before the GWER, the δ18O in SG exhibited a trend of enrichment. After the GWER, the δ18O in SG tended to become depleted. Analysis indicates that during the period of intensive groundwater extraction, continuous declines in groundwater level and increased vertical hydraulic gradients led to greater recharge from irrigation return flow, resulting in δ18O enrichment. After the GWER, the depletion of δ18O is attributed to the reduced recharge from irrigation return flow. For DG, before the GWER, there was a notable decline in 14C content and depletion of δ18O. After the GWER, the δ18O in DG gradually became enriched, and 14C content showed a slight increase. Analysis reveals that prior to 2014, the continuous extraction of older DG in the study area resulted in relatively old groundwater ages and δ18O depletion. After the GWER, the rise in DG levels reduced the recharge from shallow to deep aquifers. Additionally, compaction-induced water release from overlying aquifers led to δ18O enrichment and a trend toward younger groundwater ages in DG. However, the reduction in recharge from SG with higher ion concentrations also contributed to the decrease in ion concentration in DG.
The study found that the GWER, by altering the groundwater dynamics in the Hengshui area, has reduced the hydraulic gradient. This has decreased the leakage recharge between Aquifer I and II, as well as the leakage recharge from SG into the deeper Aquifer III, thereby weakening the connectivity between shallow and DG and reducing mixing between aquifers. Consequently, the risk of groundwater salinization has been suppressed. The GWER have led to a recovery in DG levels and altered the groundwater flow field. The vertical mixing between aquifers has weakened, which has helped mitigate the continued deterioration of the deep depression cone. Decades of intensive extraction followed by the implementation of GWER have changed the hydrodynamic conditions in the study area, altering the chemical evolution processes of the groundwater. The quality of DG is undergoing changes, and further monitoring and analysis of these changes are needed in the future.

Author Contributions

M.Z.: Writing—review and editing; D.L.: Funding acquisition; J.L.: Supervision. All authors have read and agreed to the published version of the manuscript.

Funding

This research was funded by the China Geological Survey, grant number [DD20251242].

Data Availability Statement

The data that support the findings will be available in the China Institute of Geo-Environment Monitoring. The data are available on request from the corresponding author, as these datasets are subject to institutional restrictions.

Conflicts of Interest

The authors declare that they have no competing interests.

References

  1. Chen, Z.; Qi, J.; Zhang, Z. Application of Isotope Hydrogeological Methods in Typical Basins in Northern China; Science Press: Beijing, China, 2010; pp. 148–152. (In Chinese) [Google Scholar]
  2. Chen, Z.; Qi, J.; Xu, J.; Xu, J.; Ye, H.; Nan, Y. Paleoclimatic interpretation of the past 30 ka from isotopic studies of the deep confined aquifer of the NCP. Appl. Geochem. 2003, 18, 997–1009. [Google Scholar]
  3. Andreas, M.K.; Christoph, V.R.; Ronny, F.; Zong, C.; Jian, S.; Irka, H.; Rolf, K.; Werner, A.H. A record of temperature and monsoon intensity over the past 40 kyr from groundwater in the NCP. Chem. Geol. 2009, 259, 168–180. [Google Scholar]
  4. Han, D.; Matthew, J.; Currell, C.; Guo, H. Controls on distributions of sulphate, fluoride, and salinity in aquitard porewater from theNCP: Long-term implications for groundwater quality. J. Hydrol. 2021, 603, 126828. [Google Scholar] [CrossRef]
  5. Yang, H.; Cao, W.; Zhi, C.; Li, Z.; Bao, X.; Ren, Y.; Liu, F.; Fan, C.; Wang, S.; Wang, Y. Evolution of groundwater level in the NCP in the past 40 years and suggestions on its overexploitation treatment. Geol. China 2021, 48, 1142–1155. (In Chinese) [Google Scholar]
  6. Liu, F.; Yeh, T.C.J.; Wang, Y.L.; Hao, Y.; Wen, J.C.; Wang, W. Characterization of basin-scale aquifer heterogeneity using transient hydraulic tomography with aquifer responses induced by groundwater exploitation reduction. J. Hydrol. 2020, 588, 125–137. [Google Scholar] [CrossRef]
  7. Long, D.; Xu, Y.C.; Cui, Y.J. Unprecedented large-scale aquifer recovery through human intervention. Nat. Commun. 2025, 16, 7296. [Google Scholar] [CrossRef]
  8. Zhang, Z.; Shi, D.; Shen, Z.; Zong, Z.; Xue, Y. Evolution and Development of Groundwater Environment in NCP under Human Activities. Acta Geosci. Sin. 1997, 18, 337–344. [Google Scholar]
  9. Chen, Z.; Nie, Z.; Zhang, Z. Isotopes and sustainability of ground water resources, North China Plain. Ground Water 2005, 43, 485–493. [Google Scholar]
  10. Wang, Y.; Ma, T.; Guo, Q. Groundwater and environ mental change. Earth Sci. Front. 2005, 12, 14–21. (In Chinese) [Google Scholar]
  11. Su, C.; Cheng, Z.; Wei, W.; Chen, Z. Assessing groundwater availability and the response of the groundwater system to intensive exploitation in the NCP by analysis of long-term isotopic tracer data. Hydrogeol. J. 2018, 26, 1401–1415. [Google Scholar] [CrossRef]
  12. Liu, J.; Chen, Z.; Wang, Y.; Wei, W.; Chen, J. Evaluation of Hydrochemical Characteristics of Regional Groundwater Systems in Northern China under the Conditions of Large-scale Exploitation. Earth Environ. 2017, 45, 408–414. (In Chinese) [Google Scholar]
  13. Liu, F.; Wang, S.; Wang, L.; Shi, L.; Song, X.; Yeh, T.-C.J.; Zhen, P. Coupling hydrochemistry and stable isotopes to identify the major factors affecting groundwater geochemical evolution in the Heilong dong Spring Basin, North China. J. Geochem. Explor. 2019, 205, 106352. [Google Scholar] [CrossRef]
  14. Cheng, Z.; Zhang, Y.; Su, C.; Chen, Z. Chemical and isotopic response to intensive groundwater abstraction and its implications on aquifer sustainability in Shijiazhuang, China. J. Earth Sci. 2017, 28, 523–534. [Google Scholar] [CrossRef]
  15. Liu, F.; Wang, G.; Liang, X.; Qu, S.; Shi, Z.; Li, J.; Luo, A. Temporal variation of groundwater hydrochemistry and water stable isotopes under long-term mining disturbance in a coal mine, northwest China. Appl. Geochem. 2023, 158, 105802. [Google Scholar] [CrossRef]
  16. Li, C. Effect Analysis and Process Evaluation of Restricted Groundwater Over-Extraction in Hengshui City, Hebei Province. Ph.D. Thesis, Xi’an University of Technology, Xi’an, China, 2019. (In Chinese) [Google Scholar]
  17. Abhinav, P.; Shive, P.; Nijesh, P.; Abhinesh, K.; Jacob, N.; Rajesh, S.; Dharmappa, H.; Saravana, K.; Nachiketa, R.; Kossitse, V. Refining aquifer heterogeneity and understanding groundwater recharge sources in an intensively exploited agrarian dominated region of the Ganga Plain. Geosci. Front. 2024, 15, 101808. [Google Scholar]
  18. Clark, I.D.; Fritz, P. Environmental Isotopes in Hydrogeology; Lewis: New York, NY, USA, 1997; Volume 328. [Google Scholar]
  19. Mao, X.; Wang, H.; Feng, L. 14C age reassessment of groundwater from the discharge zone due to cross f low mixing in the deep confined aquifer. J. Hydrol. 2018, 560, 572–581. [Google Scholar] [CrossRef]
  20. Madioune, D.H.; Faye, S.; Orban, P. Application of Isotopic Tracers as a Tool for Understanding Hydrodynamic Behavior of the Highly Exploited Diass Aquifer System (Senegal). J. Hydrol. 2014, 511, 443–459. [Google Scholar] [CrossRef]
  21. Zhai, Y.; Wang, J.; Huan, H.; Zhou, J.; Wang, W. Characterizing the groundwater renewability and evolution of the strongly exploited aquifers of the North China Plain by major ions and environmental tracers. J. Radioanal. Nucl. Chem. 2013, 296, 1263–1274. [Google Scholar] [CrossRef]
  22. Zou, J. Characteristics and Controlling Factors of Hrdrochemistry Change in Typical Groundwater Exploitation Reduction Area of Heilonggang. Ph.D. Thesis, Hebei University of Engineering, Handan, China, 2022. Volume 12. (In Chinese) [Google Scholar]
  23. Liu, P.; Liu, S.; Jin, S.; Han, S.; Wang, Z.; Zhou, X.; Song, S. Preliminary Analysisi on the groundwater regime of the pumping test and isotopes in multi-aquifers:a case Study of the test site in Hengshui. Geogr. Geo-Inf. Sci. 2012, 28, 87–92. (In Chinese) [Google Scholar]
  24. Sun, J.; Wang, X.; Shamsuddin, S. Precipitation and runoff variation characteristics in typical regions of North China Plain: A case study of Hengshui City. Theor. Appl. Climatol. 2020, 142, 971–985. [Google Scholar] [CrossRef]
  25. Ma, X. The influence factors of shallow groundwater dynamics in Hengshui. Water Sci. Eng. Technol. 2018, 1, 40–42. (In Chinese) [Google Scholar]
  26. Chen, W. Ground Water in Hebei; Seismological Press: Beijing, China, 1999. (In Chinese) [Google Scholar]
  27. Li, S.; Cheng, J.; Li, M. Water quality characteristics and evolution of groundwater system in fluenced by human exploitation Activity in Henghusi area. South-North Water Transf. Water Sci. Technol. 2016, 14, 55–61. (In Chinese) [Google Scholar]
  28. Deng, X. Dynamic Characteristics and Trends of Groundwater Level in Hengshui City, Hebei Province. Master’s Thesis, Hebei GEO University, Shijiazhuang, China, 2019. (In Chinese) [Google Scholar]
  29. Shi, Y.; Wang, G.; Gao, Y. Indication of hydrochemistry and isotope for vertical circulation of groundwater in the NCP. Hydrogeol. Eng. Geol. 2010, 37, 18–23. (In Chinese) [Google Scholar]
  30. Zhang, H.; Cai, W.; Guo, F.; Bian, C.; Liu, F.; Zhang, L.; Liu, J.; Zhao, M. Microbial community composition and environmental response characteristics of typical brackish groundwater in the NCP. China Geol. 2023, 6, 383–394. [Google Scholar] [CrossRef]
  31. Zhao, C. Coupling analysis of water quality and quantity of shallow groundwater in Hengshui City. Ground Water 2023, 4, 58–59. (In Chinese) [Google Scholar]
  32. Wu, J.; Hao, Y. Analysis of shallow groundwater dynamic characteristics in Hengshui city in recent 50 years. Ground Water 2016, 38, 78–80. (In Chinese) [Google Scholar]
  33. Zhang, H. Restorability analysis of groundwater in Central and eastern Hebei Plain. Ground Water 2019, 41, 54–56. (In Chinese) [Google Scholar]
  34. Piper, A.M. A graphic procedure in the geochemical interpretation of water-analyses. Eos Trans. Am. Geophys. Union 1944, 25, 914–928. [Google Scholar]
  35. Wang, S.; Song, X.; Xiao, G.; Wang, Z.; Liu, X.; Wang, P. Appliance of oxygen and hydrogen isotope in the process of precipitation infiltration in the shallow groundwater areas of North China Plain. Adv. Water Sci. 2009, 4, 495–501. (In Chinese) [Google Scholar]
  36. Gibbs, R.J. Mechanisms controlling world water chemistry. Science 1970, 170, 1088–1090. [Google Scholar] [CrossRef]
  37. Wang, X.; Zheng, W.; Tian, W.; Gao, Y.; Wang, X.; Tian, Y.; Li, J.; Zhang, X. Groundwater hydrogeochemical characterization and quality assessment based on integrated weight matter-element extension analysis in Ningxia, upper Yellow River, Northwest China. Ecol. Indic. 2022, 135, 108525. [Google Scholar] [CrossRef]
  38. Singh, C.K.; Kumar, A.; Shashtri, S.; Kumar, A.; Kumar, P.; Mallick, J. Multivariate statistical analysis and geochemical modeling for geochemical assessment of groundwater of Delhi, India. J. Geochem. Explor. 2017, 175, 59–71. [Google Scholar] [CrossRef]
  39. Borrok, D.M.; Lenz, R.M.; Jennings, J.E.; Gentry, M.L.; Steensma, J.; Vinson, D.S. Applied Geochemistry the origins of high concentrations of iron, sodium, bicarbonate, and arsenic in the Lower Mississippi River Alluvial Aquifer. Appl. Geochem. 2018, 98, 383–392. [Google Scholar] [CrossRef]
  40. Qin, T.; Yang, P.; Groves, C.; Chen, F.; Xie, G.; Zhan, Z. Natural and anthropogenic factors affecting geochemistry of the Jialing and Yangtze Rivers in urban Chongqing, SW China. Appl. Geochem. 2018, 98, 448–458. [Google Scholar] [CrossRef]
  41. Song, H. Research on the Change of Groundwater Quality and the Interface of Salt and Fresh Water in the Representative Area of North China Plain. Master’s Thesis, Chinese Academy of Geological Sciences, Beijing, China, 2006. (In Chinese) [Google Scholar]
  42. Gao, Y. Study on Groundwater Hydraulic Connection in Different Aquifers Under Mass Pumped Conditions in Typical Area North China Plain. Ph.D. Thesis, Chinese Academy of Geological Sciences, Beijing, China, 2008. (In Chinese) [Google Scholar]
Figure 1. (a) Location of the study area, hydrogeological zonation map, and sampling points; (b) hydrogeological cross-section.
Figure 1. (a) Location of the study area, hydrogeological zonation map, and sampling points; (b) hydrogeological cross-section.
Water 18 00706 g001
Figure 2. Dynamic variations in multi-year precipitation, groundwater extraction, and groundwater level in the study area (the numbers 1, 2, and 3 in the figure represent stage 1 with white background colors, stage 2 with green background colors, and stage 3 with yellow background colors, respectively).
Figure 2. Dynamic variations in multi-year precipitation, groundwater extraction, and groundwater level in the study area (the numbers 1, 2, and 3 in the figure represent stage 1 with white background colors, stage 2 with green background colors, and stage 3 with yellow background colors, respectively).
Water 18 00706 g002
Figure 3. Variation in ion concentrations in groundwater from 1977 to 2023. (a) Aquifer I; (b) Aquifer II; (c) Aquifer III. The grey background in the picture represents Stage 2, the yellow background represents Stage 3, and the colorless area represents Stage 1.
Figure 3. Variation in ion concentrations in groundwater from 1977 to 2023. (a) Aquifer I; (b) Aquifer II; (c) Aquifer III. The grey background in the picture represents Stage 2, the yellow background represents Stage 3, and the colorless area represents Stage 1.
Water 18 00706 g003
Figure 4. Variation diagram of groundwater hydrochemical types: (a) SG, (b) DG. The colored circles represent the concentration of TDS.
Figure 4. Variation diagram of groundwater hydrochemical types: (a) SG, (b) DG. The colored circles represent the concentration of TDS.
Water 18 00706 g004
Figure 5. Isotope plot of samples from 2020 (Area A primarily consists of water points of Aquifer III; Area B primarily consists of water points of Aquifers I and II). The a, b and c represent of special sample.
Figure 5. Isotope plot of samples from 2020 (Area A primarily consists of water points of Aquifer III; Area B primarily consists of water points of Aquifers I and II). The a, b and c represent of special sample.
Water 18 00706 g005
Figure 6. Gibbs diagrams of groundwater samples. The arrows with yellow area represent of Cation exchange.
Figure 6. Gibbs diagrams of groundwater samples. The arrows with yellow area represent of Cation exchange.
Water 18 00706 g006
Figure 7. Ionic ratio diagram (a) γ (Ca2+ + Mg2+ − HCO3 − SO42−) vs. γ (Na+ − Cl), (b) Mg2+/Na+ vs. Ca2+/Na+, (c) Na+ vs. Cl, (d) part of Na+ vs. Cl, (e) (γ (Ca2+ + Mg2+)/(HCO3--) vs. γ (SO42−)/(HCO3). The blue dashed line in figure (d) represent of t (e) (γ (Ca2+ + Mg2+)/(HCO3--) vs. γ (SO42−)/(HCO3). The blue dashed line in figure (d) represent of the expanded area map inleft of the figure (c).
Figure 7. Ionic ratio diagram (a) γ (Ca2+ + Mg2+ − HCO3 − SO42−) vs. γ (Na+ − Cl), (b) Mg2+/Na+ vs. Ca2+/Na+, (c) Na+ vs. Cl, (d) part of Na+ vs. Cl, (e) (γ (Ca2+ + Mg2+)/(HCO3--) vs. γ (SO42−)/(HCO3). The blue dashed line in figure (d) represent of t (e) (γ (Ca2+ + Mg2+)/(HCO3--) vs. γ (SO42−)/(HCO3). The blue dashed line in figure (d) represent of the expanded area map inleft of the figure (c).
Water 18 00706 g007
Figure 8. Correlation between chemical parameters. (a) SG, (b) DG.
Figure 8. Correlation between chemical parameters. (a) SG, (b) DG.
Water 18 00706 g008
Figure 9. Evolution of SG and DG flow field from 1975 to 2020.
Figure 9. Evolution of SG and DG flow field from 1975 to 2020.
Water 18 00706 g009
Figure 10. Temporal variation in δ18O in SG. (a) Distribution of δD and δ18O; (b) annual variation in δ18O. The dashed ovals in figure (a) represent of the sample in 2014.
Figure 10. Temporal variation in δ18O in SG. (a) Distribution of δD and δ18O; (b) annual variation in δ18O. The dashed ovals in figure (a) represent of the sample in 2014.
Water 18 00706 g010
Figure 11. Annual variation in 14C content and isotopes in DG. (a)The annual variation in 14C content and isotopes in sample point B5. (b)The annual variation in 14C content and isotopes in sample point B6. (c)The annual variation in 14C content and isotopes in sample point B7. (d)The annual variation in 14C content and isotopes in sample point B8. The dashed and solid lines represent of δ18O and 14C content, respectively.
Figure 11. Annual variation in 14C content and isotopes in DG. (a)The annual variation in 14C content and isotopes in sample point B5. (b)The annual variation in 14C content and isotopes in sample point B6. (c)The annual variation in 14C content and isotopes in sample point B7. (d)The annual variation in 14C content and isotopes in sample point B8. The dashed and solid lines represent of δ18O and 14C content, respectively.
Water 18 00706 g011
Disclaimer/Publisher’s Note: The statements, opinions and data contained in all publications are solely those of the individual author(s) and contributor(s) and not of MDPI and/or the editor(s). MDPI and/or the editor(s) disclaim responsibility for any injury to people or property resulting from any ideas, methods, instructions or products referred to in the content.

Share and Cite

MDPI and ACS Style

Zhao, M.; Liu, D.; Liu, J. The Hydrochemical Evolution Between Over-Exploitation and Reduced Exploitation of Groundwater in the Funnel Area in Hengshui City, Central North China Plain. Water 2026, 18, 706. https://doi.org/10.3390/w18060706

AMA Style

Zhao M, Liu D, Liu J. The Hydrochemical Evolution Between Over-Exploitation and Reduced Exploitation of Groundwater in the Funnel Area in Hengshui City, Central North China Plain. Water. 2026; 18(6):706. https://doi.org/10.3390/w18060706

Chicago/Turabian Style

Zhao, Miao, Dandan Liu, and Jinwei Liu. 2026. "The Hydrochemical Evolution Between Over-Exploitation and Reduced Exploitation of Groundwater in the Funnel Area in Hengshui City, Central North China Plain" Water 18, no. 6: 706. https://doi.org/10.3390/w18060706

APA Style

Zhao, M., Liu, D., & Liu, J. (2026). The Hydrochemical Evolution Between Over-Exploitation and Reduced Exploitation of Groundwater in the Funnel Area in Hengshui City, Central North China Plain. Water, 18(6), 706. https://doi.org/10.3390/w18060706

Note that from the first issue of 2016, this journal uses article numbers instead of page numbers. See further details here.

Article Metrics

Back to TopTop