Hydraulic Characteristics Analysis of Free-Surface-Pressurized Flow in Long Tailrace Systems Under Variable Load Conditions
Abstract
1. Introduction
2. Numerical Methodology
2.1. Algorithm
2.1.1. Characteristic Implicit Format Method
2.1.2. Characteristic Line Method
2.2. Numerical Model
2.2.1. Turbulence Model
2.2.2. VOF Model
2.2.3. Fluid Compressible Model
2.3. Computational Models and Meshing Division
2.4. Boundary Conditions and Numerical Model Validation
3. Results
3.1. Calculation Condition
3.2. Flow Pattern Analysis of Tailrace Tunnel
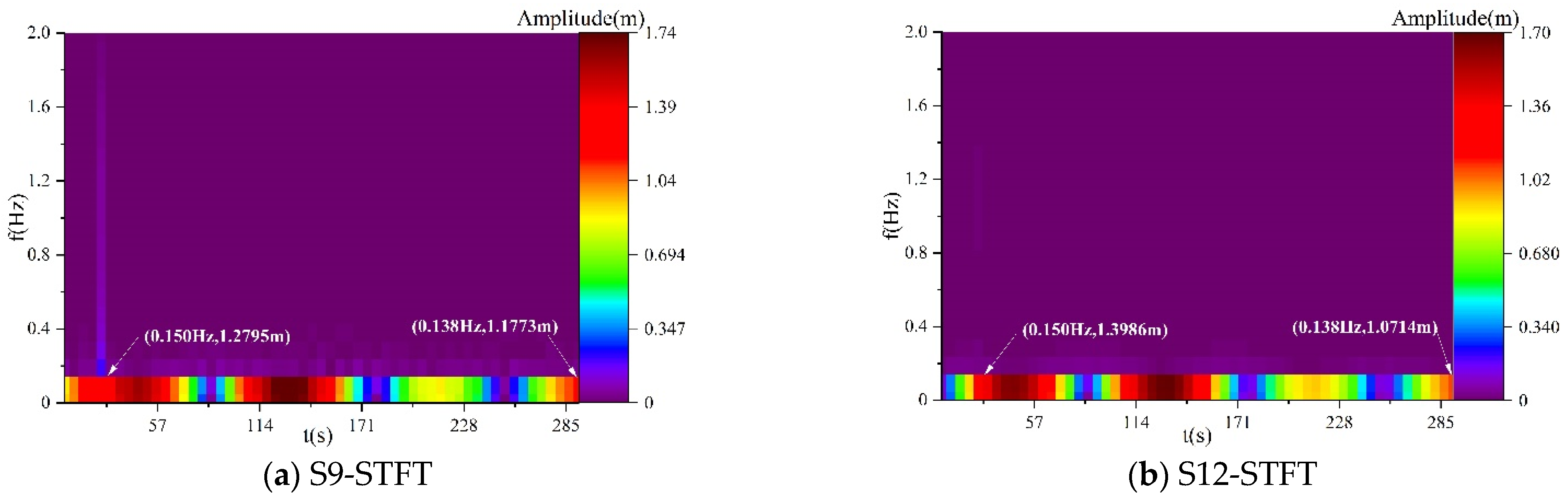
3.3. Analysis of Pressure Pulsation in Tailrace Tunnel
3.3.1. Monitoring Point Distribution
3.3.2. Result Analysis
4. Conclusions
- (1)
- The flow rate at the tailrace tunnel outlet fluctuates in response to unit load variations, with more pronounced fluctuations observed during load reduction. When the tailrace tunnel experiences free-surface-pressurized flow conditions, the flow fluctuation amplitude demonstrates significant variations, reaching up to 36%. Unit load changes induce flow regime transitions in the tailrace tunnel, accompanied by noticeable free-surface-pressurized flow phenomena.
- (2)
- Pressure fluctuations generated by unit load variations exhibit periodic characteristics within the tailrace tunnel, with energy gradually attenuating during downstream propagation. The variation range of pressure fluctuations increases with distance from the tailrace outlet. These fluctuations are primarily influenced by unit load changes and downstream water level variations, with unit load changes being the dominant factor.
- (3)
- Under free-surface flow conditions, monitoring points display substantially higher-order vibration frequencies and amplitudes, with prominent high-frequency wave components. Conversely, low-frequency waves appear more intense during pressurized flow conditions. The frequency waves generated by load variations in a single unit exert significant ultra-low frequency impacts on other units within the same tailrace system, while high-frequency components are effectively filtered out by the surge shaft’s damping effect.
Author Contributions
Funding
Data Availability Statement
Acknowledgments
Conflicts of Interest
References
- Zhang, W.; Cai, F.; Zhou, J.; Hua, Y. Experimental Investigation on Air-Water Interaction in a Hydropower Station Combining a Diversion Tunnel with a Tailrace Tunnel. Water 2017, 9, 274. [Google Scholar] [CrossRef]
- Li, L.; Yang, J.; Liu, M. Study on the Disruption of Water Flow in the System of Tailrace Tunnel Combined with Diversion Tunnel. In Proceedings of the 27th IAHR Symposium on Hydraulic Machinery and Systems (IAHR 2014), Montreal, QC, Canada, 22–26 September 2014; Desy, N., Deschenes, C., Guibault, F., Page, M., Turgeon, M., Giroux, A.M., Eds.; IoP Publishing Ltd: Montreal, QC, Canada, 2014; Volume 22, pp. 1–8. [Google Scholar]
- Guo, W.; Zhu, D. A Review of the Transient Process and Control for a Hydropower Station with a Super Long Headrace Tunnel. Energies 2018, 11, 2994. [Google Scholar] [CrossRef]
- Liu, Y.; Yu, X.; Guo, X.; Zhao, W.; Chen, S. Operational Stability of Hydropower Plant with Upstream and Downstream Surge Chambers during Small Load Disturbance. Energies 2023, 16, 4517. [Google Scholar] [CrossRef]
- Guo, W. A Review of the Hydraulic Transient and Dynamic Behavior of Hydropower Plants with Sloping Ceiling Tailrace Tunnels. Energies 2019, 12, 3220. [Google Scholar] [CrossRef]
- Jiang, D.; Yang, F.; Cai, Y.; Xu, G.; Tang, F.; Jin, Y. Cross Influence of Rotational Speed and Flow Rate on Pressure Pulsation and Hydraulic Noise of an Axial-Flow Pump. Phys. Fluids 2023, 35, 95144. [Google Scholar] [CrossRef]
- Zhang, H.; Pang, W.; Chen, D.; Tian, Y.; Patelli, E.; Li, C.; Zhou, J. Transient Stability of a Hydro-Turbine Governing System with Different Tailrace Tunnels. J. Hydraul. Res. 2020, 58, 60–69. [Google Scholar] [CrossRef]
- Cheng, Y.; Li, J.; Yang, J. Free Surface-Pressurized Flow in Ceiling-Sloping Tailrace Tunnel of Hydropower Plant: Simulation by VOF Model. J. Hydraul. Res. 2007, 45, 88–99. [Google Scholar] [CrossRef]
- Bourdarias, C.; Gerbi, S.; Gisclon, M. A Kinetic Formulation for a Model Coupling Free Surface and Pressurised Flows in Closed Pipes. J. Comput. Appl. Math. 2008, 218, 522–531. [Google Scholar] [CrossRef]
- Cea, L.; López-Núñez, A. Extension of the Two-component Pressure Approach for Modeling Mixed Free-surface-pressurized Flows with the Two-dimensional Shallow Water Equations. Int. J. Numer. Methods Fluids 2021, 93, 628–652. [Google Scholar] [CrossRef]
- Huang, Y.; Guan, G.; Wang, K.; Mao, Z.; Yang, Z. Hybridizing FDM and FVM Scheme of High-Precision Interface Fast Capture for Mixed Free-Surface-Pressurized Flow in Large Cascade Water Delivery System. J. Hydraul. Res. 2023, 61, 502–516. [Google Scholar] [CrossRef]
- Hu, D.; Li, S.; Yao, S.; Jin, Z. A Simple and Unified Linear Solver for Free-Surface and Pressurized Mixed Flows in Hydraulic Systems. Water 2019, 11, 1979. [Google Scholar] [CrossRef]
- Zhou, J.; Li, Y. Modeling of the Free-Surface-Pressurized Flow of a Hydropower System with a Flat Ceiling Tail Tunnel. Water 2020, 12, 699. [Google Scholar] [CrossRef]
- Calomino, F.; Alfonsi, G.; Gaudio, R.; D’Ippolito, A.; Lauria, A.; Tafarojnoruz, A.; Artese, S. Experimental and Numerical Study of Free-Surface Flows in a Corrugated Pipe. Water 2018, 10, 638. [Google Scholar] [CrossRef]
- Guo, W.; Yang, J. Combined Effect of Upstream Surge Chamber and Sloping Ceiling Tailrace Tunnel on Dynamic Performance of Turbine Regulating System of Hydroelectric Power Plant. Chaos Solitons Fractals 2017, 99, 243–255. [Google Scholar] [CrossRef]
- Yang, X.; Lian, J.; Yu, X.; He, W. Critical Stable Cross-Sectional Area of Surge Tank in Hydropower Plant with Multiple Units Sharing Common Hydraulic System. Int. J. Electr. Power Energy Syst. 2021, 131, 107067. [Google Scholar] [CrossRef]
- Guo, W.; Yang, J. Dynamic Performance Analysis of Hydro-Turbine Governing System Considering Combined Effect of Downstream Surge Tank and Sloping Ceiling Tailrace Tunnel. Renew. Energy 2018, 129, 638–651. [Google Scholar] [CrossRef]
- Wolski, A.; Junqueira, S.L.M.; Negrão, C.O.R. A Steady-State Approach for Evaluation of Surge and Swab Pressures in Flows with Free Surface Boundary Conditions. J. Pet. Sci. Eng. 2014, 122, 208–215. [Google Scholar] [CrossRef]
- Bashiri-Atrabi, H.; Hosoda, T.; Shirai, H. Propagation of an Air-Water Interface from Pressurized to Free-Surface Flow in a Circular Pipe. J. Hydraul. Eng. 2016, 142, 4016055. [Google Scholar] [CrossRef]
- Zhou, D.; Chen, Y.; Chen, H.; Chen, S.; Yang, C. Study of Hydraulic Disturbances from Single-Unit Load Rejection in a Pumped-Storage Hydropower Station with a Shared Water Delivery System. IEEE Access 2019, 7, 153382–153390. [Google Scholar] [CrossRef]
- Guo, W.; Wu, F. Stability Behavior of Load Adjustment and Primary Frequency Control of Pumped Storage Power Plant with Upstream and Downstream Surge Tanks. J. Energy Storage 2023, 60, 106626. [Google Scholar] [CrossRef]
- Guo, J.; Zhou, D.; Wang, H. Study of Intermittent Jets and Free-Surface-Pressurized Flow in Large Hydropower Tailrace Tunnel. Phys. Fluids 2024, 36, 53342. [Google Scholar] [CrossRef]
- Wang, X.; Zhang, J.; Yu, X.; Chen, S. Transient Air-Water Flow Patterns in the Vent Tube in Hydropower Tailrace System Simulated by 1-D-3-D Coupling Method. J. Hydrodyn. 2018, 30, 715–721. [Google Scholar] [CrossRef]
- Guo, W.; Yang, J. Modeling and Dynamic Response Control for Primary Frequency Regulation of Hydro-Turbine Governing System with Surge Tank. Renew. Energy 2018, 121, 173–187. [Google Scholar] [CrossRef]
- Park, J.; Seo, J.; Lee, S.B.; Rhee, S.H. Turbulence Structure under the Free-Surface Wave around an Advancing Surface-Piercing Cylindrical Body. Phys. Fluids 2022, 34, 123311. [Google Scholar] [CrossRef]
- Wang, L.; Guo, W. Nonlinear Hydraulic Coupling Characteristics and Energy Conversion Mechanism of Pipeline—Surge Tank System of Hydropower Station with Super Long Headrace Tunnel. Renew. Energy 2022, 199, 1345–1360. [Google Scholar] [CrossRef]
- Altimemy, M.; Attiya, B.; Daskiran, C.; Liu, I.-H.; Oztekin, A. Mitigation of Flow-Induced Pressure Fluctuations in a Francis Turbine Using Water Injection. In Proceedings of the 2019 ASME/JSME/KSME Joint Fluids Engineering Conference, San Francisco, CA, USA, 28 July–1 August 2019; American Society of Mechanical Engineers: San Francisco, CA, USA, 2019; Volume 3B. [Google Scholar]
- Zhou, J.; Mao, Y.; Shen, A.; Zhang, J. Modeling and Stability Investigation on the Governor-Turbine-Hydraulic System with a Ceiling-Sloping Tail Tunnel. Renew. Energy 2023, 204, 812–822. [Google Scholar] [CrossRef]
- Guo, J.; Woldeyesus, K.; Zhang, J.; Ju, X. Time Evolution of Water Surface Oscillations in Surge Tanks. J. Hydraul. Res. 2017, 55, 657–667. [Google Scholar] [CrossRef]
- Vörtler, H.L.; Smith, W.R. Computer Simulation Studies of a Square-Well Fluid in a Slit Pore. Spreading Pressure and Vapor-Liquid Phase Equilibria Using the Virtual-Parameter-Variation Method. J. Chem. Phys. 2000, 112, 5168–5174. [Google Scholar] [CrossRef]
- Bourdarias, C.; Gerbi, S. A Finite Volume Scheme for a Model Coupling Free Surface and Pressurised Flows in Pipes. J. Comput. Appl. Math. 2007, 209, 109–131. [Google Scholar] [CrossRef]
- Li, J.; McCorquodale, A. Modeling Mixed Flow in Storm Sewers. J. Hydraul. Eng. 1999, 125, 1170–1180. [Google Scholar] [CrossRef]
- Xue, Z.; Zhou, L.; Karney, B.; Liu, D.; Wang, P. Primitive Form Godunov-Type Scheme for Two-Phase Homogeneous Water Hammer Flows. J. Hydraul. Eng. 2020, 146, 4020018. [Google Scholar] [CrossRef]
- Wan, W.; Huang, W. Water Hammer Simulation of a Series Pipe System Using the MacCormack Time Marching Scheme. Acta Mech. 2018, 229, 3143–3160. [Google Scholar] [CrossRef]
- He, X.; Yang, J.; Yang, J.; Hu, J.; Peng, T. Experimental Study of Cavitating Vortex Rope and Water Column Separation in a Pump Turbine. Phys. Fluids 2022, 34, 44101. [Google Scholar] [CrossRef]
- Sun, S.; Ma, J.; Zhang, B.; Lian, Y.; Xiao, Y.; Zhong, D. Numerical Simulation of Transient Two-Phase Flow in the Filling Process of the Vertical Shaft Section of a Water Conveyance Tunnel. Processes 2025, 13, 2832. [Google Scholar] [CrossRef]
- Passandideh-Fard, M.; Roohi, E. Transient Simulations of Cavitating Flows Using a Modified Volume-of-Fluid (VOF) Technique. Int. J. Comput. Fluid Dyn. 2008, 22, 97–114. [Google Scholar] [CrossRef]
- Li, L.; Chen, Y.C.; Li, Y.L. Volume of Fluid (VOF) Method for Curved Free Surface Water Flow in Shallow Open Channel. In Proceedings of the Hydraulics of Rivers Water Works and Machinery, Theme D, Proceedings: 21st Century: The New Era for Hydraulic Research and Its Applications; Li, G., Ed.; Tsinghua University Press/Beijing Int Convent Ctr: Beijing, China, 2001; Volume II, pp. 244–250. [Google Scholar]
- Chen, G.-H.; Wang, G.-Y.; Huang, B.; Hu, C.-L.; Wang, Z.-Y.; Wang, J. Numerical Investigation of Dynamics of Unsteady Sheet/Cloud Cavitating Flow Using a Compressible Fluid Model. Mod. Phys. Lett. B 2015, 29, 1450269. [Google Scholar] [CrossRef]
- Inna, S.; Saito, H. Local Solvability for a Compressible Fluid Model of Korteweg Type on General Domains. Mathematics 2023, 11, 2368. [Google Scholar] [CrossRef]













| Part | Mesh Type | Orthogonal Quality | Number of Mesh Elements (×104) |
|---|---|---|---|
| Draft tube | Hexahedron | >0.56 | 95.7 |
| Surge shaft | Hexahedron | >0.58 | 90.1 |
| Tailrace tunnel | Hexahedron | >0.58 | 54.3 |
| Downstream river | Hexahedron | >0.52 | 35.8 |
| Total | / | / | 390 |
| Case | Downstream Water Level/m | Unit Flow Change/(m3/s) | Notes |
|---|---|---|---|
| 1 | 590 | Q → 0.9Q | The tailwater level is lower than the elevation of the top of the tunnel in the full flow section, and the tailwater tunnel is open flow |
| 2 | 590 | Q → 1.1Q | |
| 3 | 600 | Q → 0.9Q | The tailwater level is higher than the top elevation of the fully flowing section of the tunnel, and the tailwater tunnel is at full flow |
| 4 | 600 | Q → 1.1Q | |
| 5 | 595.8 | 0.8Q → Q | The tailwater level is slightly lower than the elevation of the top of the tunnel in the fully flowing section, resulting in alternating fully flowing sections |
| 6 | 596 | Q → 0.8Q | The elevation of the top of the tunnel in the clear and full flow section of the tailwater level domain is the same, resulting in alternating open and full flow |
Disclaimer/Publisher’s Note: The statements, opinions and data contained in all publications are solely those of the individual author(s) and contributor(s) and not of MDPI and/or the editor(s). MDPI and/or the editor(s) disclaim responsibility for any injury to people or property resulting from any ideas, methods, instructions or products referred to in the content. |
© 2026 by the authors. Licensee MDPI, Basel, Switzerland. This article is an open access article distributed under the terms and conditions of the Creative Commons Attribution (CC BY) license.
Share and Cite
Zhou, Y.; He, X.; Zhou, D.; Li, X.; Yu, A.; Zhou, L. Hydraulic Characteristics Analysis of Free-Surface-Pressurized Flow in Long Tailrace Systems Under Variable Load Conditions. Water 2026, 18, 449. https://doi.org/10.3390/w18040449
Zhou Y, He X, Zhou D, Li X, Yu A, Zhou L. Hydraulic Characteristics Analysis of Free-Surface-Pressurized Flow in Long Tailrace Systems Under Variable Load Conditions. Water. 2026; 18(4):449. https://doi.org/10.3390/w18040449
Chicago/Turabian StyleZhou, Yuguo, Xin He, Daqing Zhou, Xiaoliang Li, An Yu, and Ling Zhou. 2026. "Hydraulic Characteristics Analysis of Free-Surface-Pressurized Flow in Long Tailrace Systems Under Variable Load Conditions" Water 18, no. 4: 449. https://doi.org/10.3390/w18040449
APA StyleZhou, Y., He, X., Zhou, D., Li, X., Yu, A., & Zhou, L. (2026). Hydraulic Characteristics Analysis of Free-Surface-Pressurized Flow in Long Tailrace Systems Under Variable Load Conditions. Water, 18(4), 449. https://doi.org/10.3390/w18040449

