Mechanisms of Flow-Induced Pressure Pulsations in Semi-Open Impeller Sewage Pumps Under Solid–Liquid Two-Phase Flow Conditions
Abstract
1. Introduction
2. Numerical Calculation Method and Verification
2.1. Physical Model
2.2. Grid Generation and Independence Analysis
2.3. Boundary Conditions
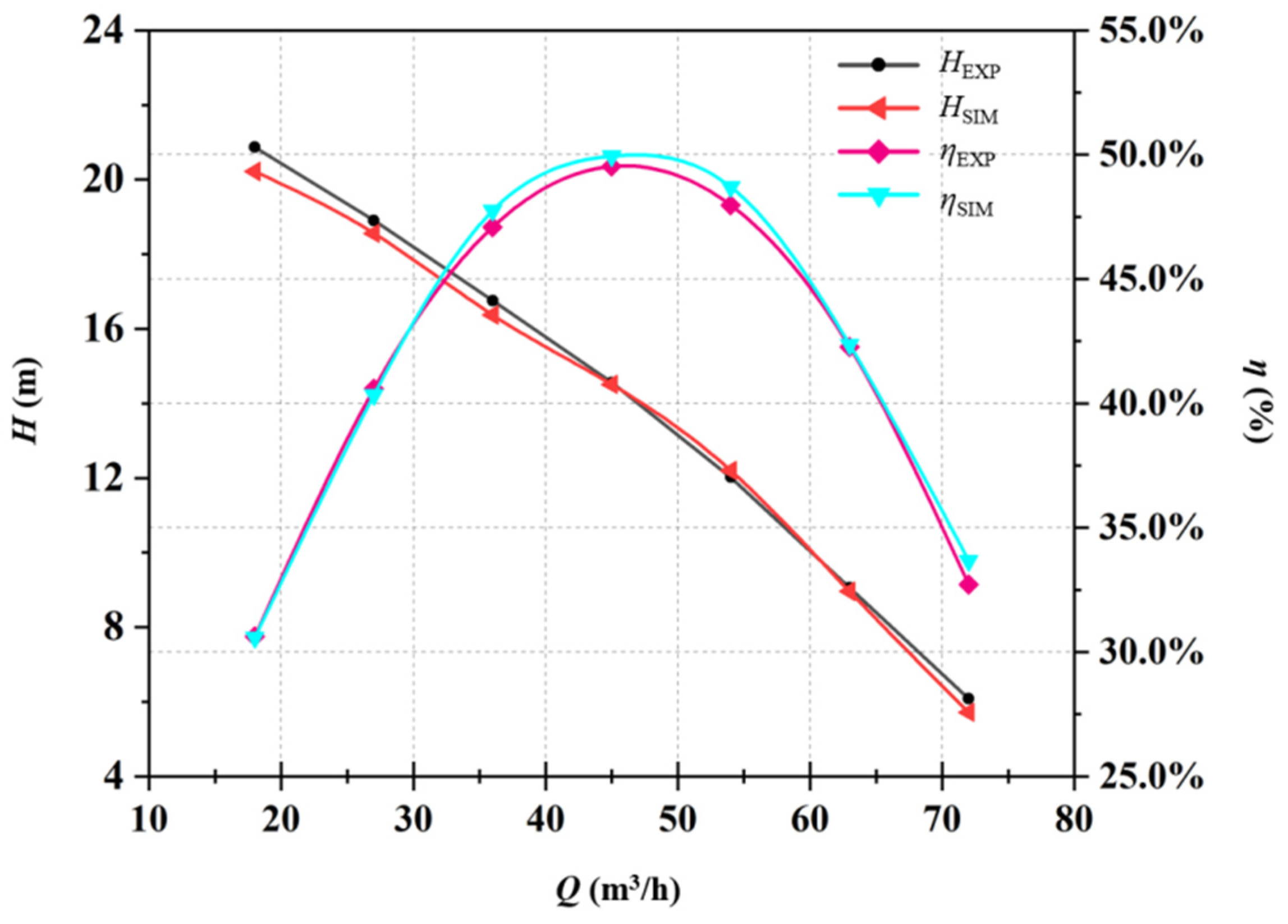
2.4. Verification of Numerical Calculation Results
3. Monitoring Point Setup and Analytical Methods
4. Pressure Pulsation Characteristics Under Clear Water Conditions
4.1. Impeller Pressure Pulsation at Different Flow Rates
4.2. Volute Pressure Pulsation at Different Flow Rates
5. Pressure Pulsation Characteristics in Solid–Liquid Two-Phase Flow Conditions
5.1. Pressure Pulsation Under Different Particle Size Conditions
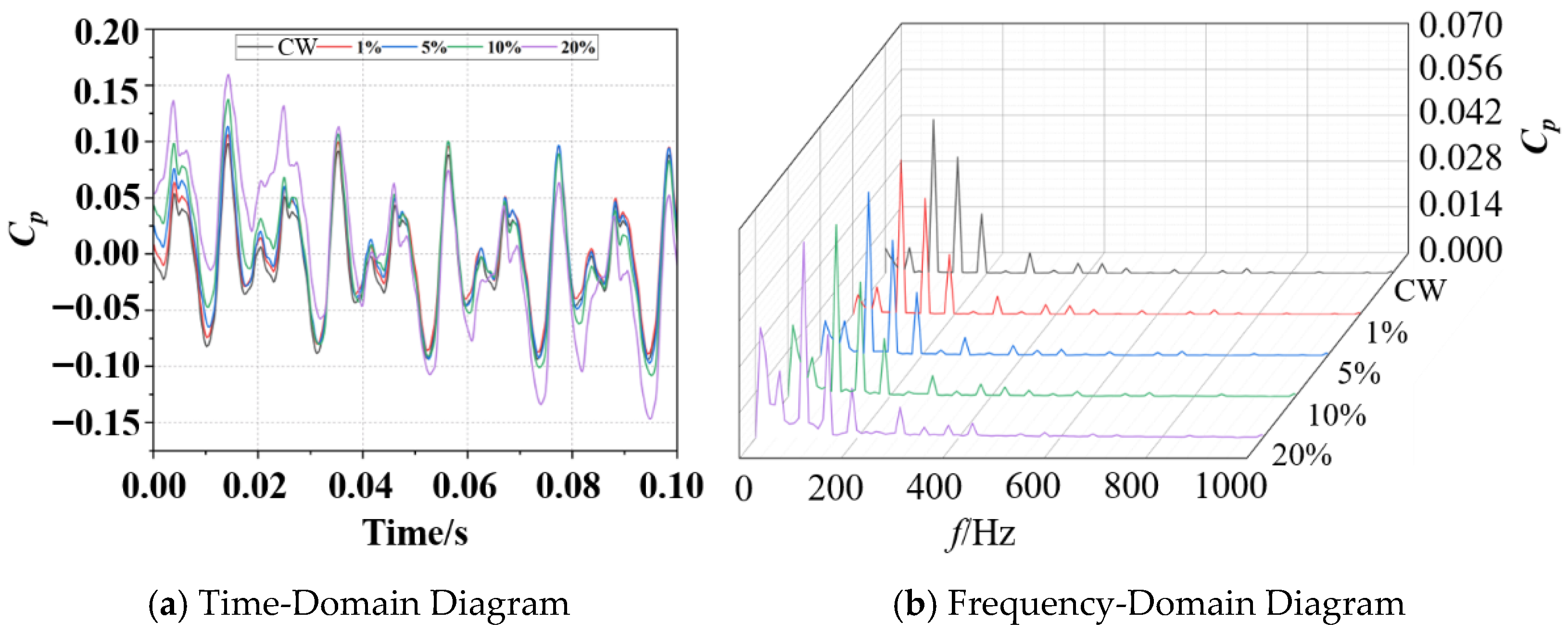
5.2. Pressure Pulsation Under Different Particle Volume Fraction Conditions
6. Conclusions
Author Contributions
Funding
Data Availability Statement
Conflicts of Interest
References
- Xue, Y.; Wang, X.; Yuan, G.; Ni, B.Y.; Xu, X.; Song, J. Numerical simulation study on ice breaking by a submerged water jet. Phys. Fluids 2024, 36, 113302. [Google Scholar] [CrossRef]
- Kong, D.; Zhu, Y.; Liu, C.; Niu, X.; Guo, T. Numerical analysis of flow and heat transfer characteristics of unsteady film cooling of HPT shroud under high-speed rotation sweeping of the rotor blade. Int. Commun. Heat Mass Transf. 2023, 149, 107142. [Google Scholar] [CrossRef]
- Li, Y.; Li, Y.; Ni, B.J.; Li, Y.Z.; Ni, S.Q. Towards scalable anammox: Mechanistic insights and emerging strategies. Trends Biotechnol. 2025, in press. [Google Scholar] [CrossRef]
- Zhang, N.; Li, D.; Gao, B.; Ni, D.; Li, Z. Unsteady pressure pulsations in pumps—A review. Energies 2022, 16, 150. [Google Scholar] [CrossRef]
- Spence, R.; Amaral-Teixeira, J. Investigation into pressure pulsations in a centrifugal pump using numerical methods supported by industrial tests. Comput. Fluids 2008, 37, 690–704. [Google Scholar] [CrossRef]
- Tang, X.; Zou, M.; Wang, F.; Li, X.; Shi, X. Comprehensive numerical investigations of unsteady internal flows and cavitation characteristics in double-suction centrifugal pump. Math. Probl. Eng. 2017, 2017, 5013826. [Google Scholar] [CrossRef]
- Zhang, N.; Yang, M.; Gao, B.; Li, Z.; Ni, D. Experimental investigation on unsteady pressure pulsation in a centrifugal pump with special slope volute. J. Fluids Eng. 2015, 137, 061103. [Google Scholar] [CrossRef]
- Ding, H.; Lin, F.; Chang, T.; Ge, F. Numerical study on the effect of blade trailing edge filing on performance and unsteady pressure pulsation in low specific speed centrifugal pump. J. Vib. Eng. Technol. 2024, 12, 233–245. [Google Scholar] [CrossRef]
- Bai, L.; Zhou, L.; Han, C.; Zhu, Y.; Shi, W. Numerical study of pressure fluctuation and unsteady flow in a centrifugal pump. Processes 2019, 7, 354. [Google Scholar] [CrossRef]
- Zhang, S.; Chen, H.; Ma, Z.; Wang, D.; Ding, K. Unsteady flow and pressure pulsation characteristics in centrifugal pump based on dynamic mode decomposition method. Phys. Fluids 2022, 34, 112014. [Google Scholar] [CrossRef]
- Cui, B.; Zhang, Y.; Huang, Y. Analysis of the pressure pulsation and vibration in a low-specific-speed centrifugal pump. J. Fluids Eng. 2021, 143, 021201. [Google Scholar] [CrossRef]
- Wu, X.; Li, C.; Luo, X.; Feng, J.; Zhu, G. Revealing the evolution of flow structure and pressure fluctuations in a multiphase pump under varying gas phase conditions. Phys. Fluids 2025, 37, 043301. [Google Scholar] [CrossRef]
- Xiang, R.; Wang, T.; Fang, Y.; Yu, H.; Zhou, M.; Zhang, X. Effect of blade curve shape on the hydraulic performance and pressure pulsation of a pump as turbine. Phys. Fluids 2022, 34, 085130. [Google Scholar] [CrossRef]
- Al-Obaidi, A.R. Investigation of the influence of various numbers of impeller blades on internal flow field analysis and the pressure pulsation of an axial pump based on transient flow behavior. Heat Transf. 2020, 49, 2000–2024. [Google Scholar] [CrossRef]
- Zhang, J.; Li, G.; Mao, J.; Yuan, S.; Qu, Y.; Jia, J. Numerical investigation of the effects of splitter blade deflection on the pressure pulsation in a low specific speed centrifugal pump. Proc. Inst. Mech. Eng. Part A J. Power Energy 2020, 234, 420–432. [Google Scholar] [CrossRef]
- Gao, Z.; Zhu, W.; Lu, L.; Deng, J.; Zhang, J.; Wuang, F. Numerical and experimental study of unsteady flow in a large centrifugal pump with stay vanes. J. Fluids Eng. 2014, 136, 071101. [Google Scholar] [CrossRef]
- Wu, C.; Li, Q.; Zheng, F.; Wu, P.; Yang, S.; Ye, H.; Huang, B.; Wu, D. Improve of unsteady pressure pulsation based on jet–wake suppression for a low specific centrifugal pump. J. Fluids Eng. 2021, 143, 111202. [Google Scholar] [CrossRef]
- Zhang, N.; Yang, M.; Gao, B.; Li, Z.; Ni, D. Experimental and numerical analysis of unsteady pressure pulsation in a centrifugal pump with slope volute. J. Mech. Sci. Technol. 2015, 29, 4231–4238. [Google Scholar] [CrossRef]
- Parrondo-Gayo, J.L.; González-Pérez, J.; Fernández-Francos, J.N. The effect of the operating point on the pressure pulsations at the blade passage frequency in the volute of a centrifugal pump. J. Fluids Eng. 2002, 124, 784–790. [Google Scholar] [CrossRef]
- Duan, X.; Tang, F.; Duan, W.; Zhou, W.; Shi, L. Experimental investigation on the correlation of pressure pulsation and vibration of axial flow pump. Adv. Mech. Eng. 2019, 11, 1687814019889473. [Google Scholar] [CrossRef]
- Yang, F.; Li, Z.; Fu, J.; Lv, Y.; Ji, Q.; Jian, H. Numerical and experimental analysis of transient flow field and pressure pulsations of an axial-flow pump considering the pump–pipeline interaction. J. Mar. Sci. Eng. 2022, 10, 258. [Google Scholar] [CrossRef]
- Duan, X.; Tang, F.; Duan, W. Improved robust stability criteria for uncertain linear neutral-type systems via novel Lyapunov-Krasovskii functional. Asian J. Control 2020, 22, 976–987. [Google Scholar] [CrossRef]
- Jiang, D.; Yang, F.; Cai, Y.; Xu, G.; Tang, F.; Jin, Y. Cross influence of rotational speed and flow rate on pressure pulsation and hydraulic noise of an axial-flow pump. Phys. Fluids 2023, 35, 095144. [Google Scholar] [CrossRef]
- Wu, D.; Bai, Y. Numerical simulation of flow-induced noise in horizontal axial flow pumps in forward and reverse conditions. Water 2023, 15, 322. [Google Scholar] [CrossRef]
- Qiu, J.T.; Liu, T.Y.; Liu, X.Y.; Dai, Y.X.; Wang, Z.L.; Cai, Y.L. Experimental and numerical study on cavitation pulsating pressure of water-jet propulsion axial-flow pump. PLoS ONE 2024, 19, e0310167. [Google Scholar] [CrossRef]
- Spence, R.; Amaral-Teixeira, J. A CFD parametric study of geometrical variations on the pressure pulsations and performance characteristics of a centrifugal pump. Comput. Fluids 2009, 38, 1243–1257. [Google Scholar] [CrossRef]
- Gangipamula, R.; Ranjan, P.; Patil, R.S. Flow-induced noise sources and reduction methods in centrifugal pumps: A literature review. Phys. Fluids 2022, 34, 081302. [Google Scholar] [CrossRef]
- Wang, H.; Yang, Y.; Che, Q.; Hou, J.; Liu, D.; Ji, L.; Zhou, L.; Li, H.; He, Z. Parameterised analysis of blade profiles within electric submersible pump for enhancing energy conversion efficiency. Eng. Appl. Comput. Fluid Mech. 2025, 19, 2532520. [Google Scholar] [CrossRef]
- Zhang, L.; Wang, X.; Wu, P.; Huang, B.; Wu, D. Optimization of a centrifugal pump to improve hydraulic efficiency and reduce hydro-induced vibration. Energy 2023, 268, 126677. [Google Scholar] [CrossRef]
- Cui, B.; Li, J.; Zhang, C.; Zhang, Y. Analysis of radial force and vibration energy in a centrifugal pump. Math. Probl. Eng. 2020, 2020, 6080942. [Google Scholar] [CrossRef]
- Zhou, W.; Ma, J.; Ma, Z.; Yu, W.; Gao, B. Multi-scale fluid-induced vibration characteristics of centrifugal pump based on fluid–structure interaction method. Phys. Fluids 2025, 37, 027163. [Google Scholar] [CrossRef]
- Sun, T.; Yao, Y.; Zhang, J.; Yang, L. Analysis of vibration characteristics of the centrifugal pump base on CFD. In Proceedings of the 2021 7th International Symposium on Mechatronics and Industrial Informatics (ISMII), Zhuhai, China, 22–24 January 2021; pp. 168–171. [Google Scholar] [CrossRef]
- Ye, S.; Zhang, J.; Xu, B.; Zhu, S.; Xiang, J.; Tang, H. Theoretical investigation of the contributions of the excitation forces to the vibration of an axial piston pump. Mech. Syst. Signal Process. 2019, 129, 201–217. [Google Scholar] [CrossRef]
- Bai, L.; Zhou, L.; Jiang, X.; Pang, Q.; Ye, D. Vibration in a multistage centrifugal pump under varied conditions. Shock Vib. 2019, 2019, 2057031. [Google Scholar] [CrossRef]
- Shi, L.; Zhu, J.; Yuan, Y.; Tang, F.; Huang, P.; Zhang, W.; Liu, H.; Zhang, X. Numerical Simulation and Experiment of the Effects of Blade Angle Deviation on the Hydraulic Characteristics and Pressure Pulsation of an Axial-Flow Pump. Shock Vib. 2021, 2021, 6673002. [Google Scholar] [CrossRef]
- Ding, H.; Chang, T.; Lin, F. The influence of the blade outlet angle on the flow field and pressure pulsation in a centrifugal fan. Processes 2020, 8, 1422. [Google Scholar] [CrossRef]
- Cui, B.; Li, W.; Zhang, C. Effect of blade trailing edge cutting angle on unstable flow and vibration in a centrifugal pump. J. Fluids Eng. 2020, 142, 101203. [Google Scholar] [CrossRef]
- Chen, C.; Ma, J.; Liu, R.; Zhou, P. Experimental Study on Centrifugal Pump Vibration in Different Operation Conditions. Noise Vib. Control 2012, 32, 199–202. [Google Scholar] [CrossRef]
- Yang, J.; Yuan, S.; Yuan, J.; Si, Q.; Pei, J. Numerical and experimental study on flow-induced noise at blade-passing frequency in centrifugal pumps. Chin. J. Mech. Eng. 2014, 27, 606–614. [Google Scholar] [CrossRef]
- Wang, X.; Li, H.; Baoyin, H.; Han, S.; Bao, C. Aerodynamic optimization of wind turbine blades via surrogate-assisted deep reinforcement learning. Phys. Fluids 2025, 37, 047141. [Google Scholar] [CrossRef]
- Gu, J.; Gao, B.; Zhang, N.; Liu, S.; Ni, D.; Zhou, W. Numerical analysis on the contributions of flow-induced noise sources in a centrifugal pump. Phys. Fluids 2025, 37, 055136. [Google Scholar] [CrossRef]
- Pei, J.; Yuan, S.; Yuan, J. Numerical analysis of periodic flow unsteadiness in a single-blade centrifugal pump. Sci. China Technol. Sci. 2013, 56, 212–221. [Google Scholar] [CrossRef]
- Wang, Z.; Yao, K.; Xin, X.; Huang, R.; Chang, J. Experimental and numerical simulation of shock train characteristics in the concave channel. J. Propuls. Power 2025, 41, 602–623. [Google Scholar] [CrossRef]
- Jia, Y.; Liu, Y.; He, X.; Meng, Z.; Zhao, S. Arrangement guideline of film holes along conjugate temperature difference in turbine guide vanes. Chin. J. Aeronaut. 2025, 38, 103400. [Google Scholar] [CrossRef]
- Wang, H.; Yang, Y.; Ge, H.; Chen, P.; Che, Q.; Yao, Y.; Ji, L.; Zhou, L.; Li, H.; He, Z. CFD-DEM Simulation of particle transport in solid–liquid flow within a semi-open centrifugal pump. Eng. Appl. Comput. Fluid Mech. 2025, 19, 2585367. [Google Scholar] [CrossRef]
- Yuan, G.Y.; Ni, B.Y.; Wu, Q.G.; Xue, Y.Z.; Han, D.F. Ice breaking by a high-speed water jet impact. J. Fluid Mech. 2022, 934, A1. [Google Scholar] [CrossRef]
- Yuan, G.; Wang, X.; Ni, B.; Xu, W.; Yang, D.; Xue, Y. Experimental study on load characteristic and icebreaking process of submerged Venturi cavitating water jets. J. Fluids Struct. 2025, 137, 104374. [Google Scholar] [CrossRef]
- Zhang, H.; Li, K.; Liu, T.; Liu, Y.; Hu, J.; Zuo, Q.; Jiang, L. Analysis of radial hydraulic forces in centrifugal pump operation via hierarchical clustering (HC) algorithms. Appl. Sci. 2025, 15, 10251. [Google Scholar] [CrossRef]
- HaiChao, C.; Wenlong, H.; Zuyuan, L.; Baiwei, F.; Qiang, Z. Enhancing surrogate model accuracy in ship design optimization through intelligent constraint-aware sample selection. Eng. Appl. Artif. Intell. 2026, 163, 112716. [Google Scholar] [CrossRef]
- Wang, H.; Li, A.; Wang, C.; Liu, S.; Shi, Y.; Yu, H.; Wang, X.; Jia, X. Influence mechanism of particle diameter and volume fraction on the solid-liquid two-phase flow performance of semi-open impeller sewage pumps. Water 2025, 18, 74. [Google Scholar] [CrossRef]
- Liu, X.; Cai, X.; Huang, Z.; Hou, Y.; Qin, J.; Chen, Z. Comparative study on the oblique water-entry of high-speed projectile based on rigid-body and elastic-plastic body model. Def. Technol. 2025, 46, 133–155. [Google Scholar] [CrossRef]
- Huang, J.; Li, Y.; Zhou, Z.; Xiang, M. Study on the impact of the atomized water droplet size on the performance of magnesium-based water ramjet engine. Appl. Therm. Eng. 2025, 279, 127849. [Google Scholar] [CrossRef]
- Yuan, G.Y.; Ni, B.Y.; Liu, P.; Kim, D.K. Ice damage characteristics under high-pressure water jet based on Johnson–Holmquist II brittle constitutive model. Phys. Fluids 2025, 37, 086153. [Google Scholar] [CrossRef]






















| Flow Rate Q (m3/h) | Head H (m) | Rotational Speed n (r/min) | Motor Power P (kW) |
|---|---|---|---|
| 45 | 15 | 2850 | 4 |
| Scheme | Impeller Grid Number | Volute Grid Number | Total Grid Number | Head (m) | Efficiency | Average y+ |
|---|---|---|---|---|---|---|
| 1 | 320,515 | 268,412 | 1,422,234 | 14.76 | 56.70% | 85.2 |
| 2 | 826,541 | 1,026,541 | 3,614,794 | 14.73 | 53.06% | 68.5 |
| 3 | 1,053,000 | 1,185,545 | 4,264,697 | 14.51 | 49.94% | 55.4 |
| 4 | 2,003,200 | 2,041,536 | 5,601,870 | 14.52 | 50.11% | 42.8 |
| 5 | 3,740,160 | 2,587,441 | 8,363,271 | 14.51 | 50.02% | 35.1 |
| Scheme | 1 | 2 | 3 | 4 | 5 |
|---|---|---|---|---|---|
| Grid Number | 1,422,234 | 3,614,794 | 4,264,697 | 5,601,870 | 8,363,271 |
| Head Coefficient | 0.6107 | 0.6095 | 0.6004 | 0.6008 | 0.6004 |
Disclaimer/Publisher’s Note: The statements, opinions and data contained in all publications are solely those of the individual author(s) and contributor(s) and not of MDPI and/or the editor(s). MDPI and/or the editor(s) disclaim responsibility for any injury to people or property resulting from any ideas, methods, instructions or products referred to in the content. |
© 2026 by the authors. Licensee MDPI, Basel, Switzerland. This article is an open access article distributed under the terms and conditions of the Creative Commons Attribution (CC BY) license.
Share and Cite
Wang, H.; Liu, S.; Wang, C.; Shen, Z.; Li, G.; Li, A.; Meng, F.; Cheng, X.; Wang, H. Mechanisms of Flow-Induced Pressure Pulsations in Semi-Open Impeller Sewage Pumps Under Solid–Liquid Two-Phase Flow Conditions. Water 2026, 18, 317. https://doi.org/10.3390/w18030317
Wang H, Liu S, Wang C, Shen Z, Li G, Li A, Meng F, Cheng X, Wang H. Mechanisms of Flow-Induced Pressure Pulsations in Semi-Open Impeller Sewage Pumps Under Solid–Liquid Two-Phase Flow Conditions. Water. 2026; 18(3):317. https://doi.org/10.3390/w18030317
Chicago/Turabian StyleWang, Hongliang, Shuai Liu, Chuan Wang, Zhenhua Shen, Guohui Li, Ang Li, Fan Meng, Xintian Cheng, and Hui Wang. 2026. "Mechanisms of Flow-Induced Pressure Pulsations in Semi-Open Impeller Sewage Pumps Under Solid–Liquid Two-Phase Flow Conditions" Water 18, no. 3: 317. https://doi.org/10.3390/w18030317
APA StyleWang, H., Liu, S., Wang, C., Shen, Z., Li, G., Li, A., Meng, F., Cheng, X., & Wang, H. (2026). Mechanisms of Flow-Induced Pressure Pulsations in Semi-Open Impeller Sewage Pumps Under Solid–Liquid Two-Phase Flow Conditions. Water, 18(3), 317. https://doi.org/10.3390/w18030317

