Effects of Simulated Water Depth and Nitrogen Addition on Phragmites australis Root Anatomy
Abstract
1. Introduction
2. Materials and Methods
2.1. Study Area
2.2. Experimental Design
2.3. Cryosectioning Method
2.4. Measurements
2.5. Statistical Analysis
3. Results
3.1. Effects of Water Depth Gradients, Nitrogen Forms, and Concentrations on P. australis Root Anatomy
3.2. Responses of Root Anatomical Structure to Water Depth Gradients in P. australis
3.3. Influence of Nitrate Addition on Root Anatomical Responses to Water Depth Gradients in P. australis
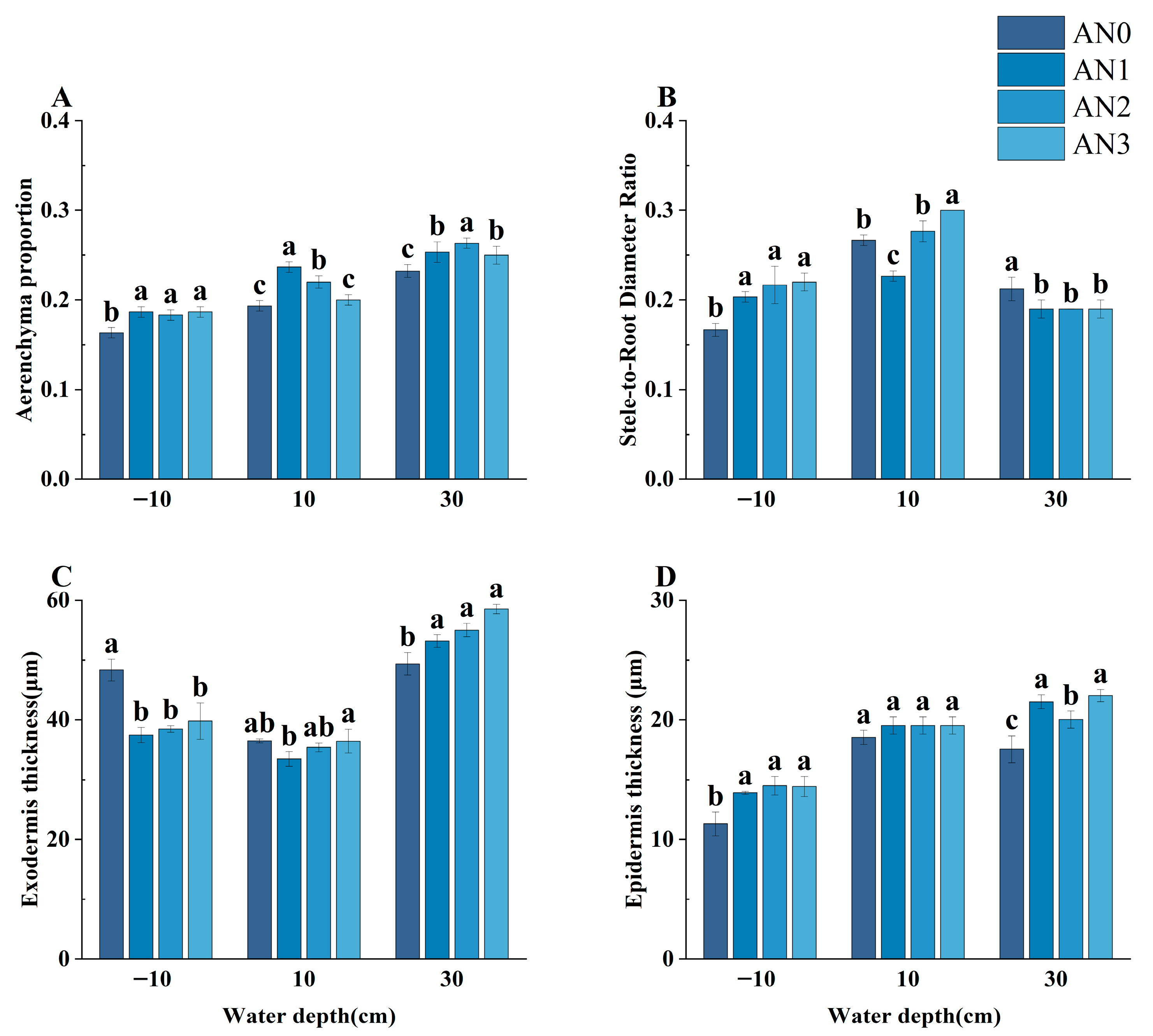
3.4. Influence of Ammonium Addition on Root Anatomical Responses to Water Depth Gradients in P. australis
4. Discussion
4.1. Responses of P. australis Root Anatomy to Water Depth Gradients
4.2. Effects of Nitrate Addition on the Responses of P. australis Root Anatomy to Water Depth Gradients
4.3. Effects of Ammonium Addition on Root Anatomical Responses of P. australis to Water Depth Gradients
4.4. Comparison of the Effects of Water Depth Gradients and Nitrogen Addition (Form and Concentration) on Root Anatomy in P. australis
5. Conclusions
Author Contributions
Funding
Data Availability Statement
Conflicts of Interest
References
- Qin, X.Y.; Xie, Y.H.; Chen, X.S. Comparative Study on the Aerenchyma of Four Dominant Wetland Plants in Dongting Lake. Plant Sci. J. 2010, 28, 400–405. (In Chinese) [Google Scholar] [CrossRef]
- Raza, S.; Miao, N.; Wang, P.; Ju, X.; Chen, Z.; Zhou, J.; Kuzyakov, Y. Dramatic loss of inorganic carbon by nitrogen-induced soil acidification in Chinese croplands. Glob. Change Biol. 2020, 26, 3738–3751. [Google Scholar] [CrossRef]
- Wang, P.; Chen, N.L.; Zou, X.H.; Ma, X.Q.; Wu, P.F. Research progress on adaptive responses of anatomical structure of plant roots to stress. Chin. J. Ecol. 2015, 34, 550–556. (In Chinese) [Google Scholar]
- Yang, Q.; Guo, B.; Ding, J.; Zhao, Y.; Yang, X.; Feng, Z.; Li, Z.; Fan, G.; Wang, J.; He, N.; et al. Root functional synergistic system: A new theoretical framework for the integrated study of plant root systems. Sci. Silvae Sin. 2025, 55, 1476–1487. [Google Scholar] [CrossRef]
- Karlova, R.; Boer, D.; Hayes, S.; Testerink, C. Root plasticity under abiotic stress. Plant Physiol. 2021, 187, 1057–1070. [Google Scholar] [CrossRef]
- Yamauchi, T.; Nakazono, M. Mechanisms of lysigenous aerenchyma formation under abiotic stress. Trends Plant Sci. 2022, 27, 13–15. [Google Scholar] [CrossRef]
- Abiko, T.; Kotula, L.; Shiono, K.; Malik, A.I.; Colmer, T.D.; Nakazono, M. Enhanced formation of aerenchyma and induction of a barrier to radial oxygen loss in adventitious roots of Zea nicaraguensis contribute to its waterlogging tolerance as compared with maize (Zea mays ssp. mays). Plant Cell Environ. 2012, 35, 1618–1630. [Google Scholar] [CrossRef] [PubMed]
- Yamauchi, T.; Sumi, K.; Morishita, H.; Nomura, Y. Root anatomical plasticity contributes to the different adaptive responses of two Phragmites species to water-deficit and low-oxygen conditions. Funct. Plant Biol. 2024, 51, FP23231. [Google Scholar] [CrossRef]
- Pedersen, O.; Sauter, M.; Colmer, T.D.; Nakazono, M. Regulation of root adaptive anatomical and morphological traits during low soil oxygen. New Phytol. 2021, 229, 42–49. [Google Scholar] [CrossRef] [PubMed]
- Chen, H.B.; Wei, X.; Wang, J.W. Morphological and Anatomical Responses of Fraxinus mandshurica Seedling Roots to Different Nitrogen Concentrations. Sci. Silvae Sin. 2010, 46, 61–66. (In Chinese) [Google Scholar]
- Kirk, G.J.D. Rice root properties for internal aeration and efficient nutrient acquisition in submerged soil. New Phytol. 2003, 159, 185–194. [Google Scholar] [CrossRef]
- Gao, C.; Ding, L.; Li, Y.; Chen, Y.; Zhu, J.; Gu, M.; Li, Y.; Xu, G.; Shen, Q.; Guo, S. Nitrate increases ethylene production and aerenchyma formation in roots of lowland rice plants under water stress. Funct. Plant Biol. 2017, 44, 430–442. [Google Scholar] [CrossRef]
- Gao, C.; Wang, M.; Ding, L.; Chen, Y.; Lu, Z.; Hu, J.; Guo, S. High water uptake ability was associated with root aerenchyma formation in rice: Evidence from local ammonium supply under osmotic stress conditions. Plant Physiol. Biochem. 2020, 150, 171–179. [Google Scholar] [CrossRef] [PubMed]
- Zhang, M.Y.; Wang, X.H.; Tong, S.Z.; Zhang, D.J.; Qi, Q.; An, Y. Species Biodiversity of Plant Communities in Restored Area in Momoge Wetlands. Wetl. Sci. 2021, 19, 458–464. [Google Scholar]
- Colmer, T.D. Long-distance transport of gases in plants: A perspective on internal aeration and radial oxygen loss from roots. Plant Cell Environ. 2003, 26, 17–36. [Google Scholar] [CrossRef]
- Yamauchi, T.; Pedersen, O.; Nakazono, M.; Tsutsumi, N. Key root traits of Poaceae for adaptation to soil water gradients. New Phytol. 2021, 229, 3133–3140. [Google Scholar] [CrossRef]
- Eller, F.; Skálová, H.; Caplan, J.S.; Bhattarai, G.P.; Burger, M.K.; Cronin, J.T.; Guo, W.Y.; Guo, X.; Hazelton, E.L.G.; Kettenring, K.M.; et al. Cosmopolitan species as models for ecophysiological responses to global change: The common reed Phragmites australis. Front. Plant Sci. 2017, 8, 1833. [Google Scholar] [CrossRef]
- Deng, C.N.; Zhang, G.X.; Li, H.Y.; Li, R.R. Eco-physiological responses of Phragmites australis to different water-salt conditions in Momoge Wetland. Acta Ecol. Sin. 2012, 32, 4146–4153. [Google Scholar] [CrossRef][Green Version]
- Mao, R.; Song, C.C.; Zhang, X.H.; Wang, X.W.; Zhang, Z.H. Response of leaf, sheath and stem nutrient resorption to 7 years of N addition in freshwater wetland of Northeast China. Plant Soil 2013, 364, 385–394. [Google Scholar] [CrossRef]
- Frevola, D.M.; Hovick, S.M. The independent effects of nutrient enrichment and pulsed nutrient delivery on a common wetland invader and its native conspecific. Oecologia 2019, 191, 447–460. [Google Scholar] [CrossRef]
- Głazowska, S.; Baldwin, L.; Mravec, J.; Bukh, C.; Fangel, J.U.; Willats, W.G.; Schjoerring, J.K. The source of inorganic nitrogen has distinct effects on cell wall composition in Brachypodium distachyon. J. Exp. Bot. 2019, 70, 6461–6473. [Google Scholar] [CrossRef]
- Lartaud, M.; Perin, C.; Courtois, B.; Thomas, E.; Henry, S.; Bettembourg, M.; Divol, F.; Lanau, N.; Artus, F.; Bureau, C.; et al. PHIV-RootCell: A supervised image analysis tool for rice root anatomical parameter quantification. Front. Plant Sci. 2015, 5, 790. [Google Scholar] [CrossRef]
- Chen, Y.; Li, G.; Zhao, B.; Zhang, Y.; Liu, K.; Samarawickrama, P.N.; Wu, X.; Lv, B.; Liu, L. Longitudinal pattern of aerenchyma formation using the Gompertz model in rice adventitious roots. Front. Plant Sci. 2021, 12, 776971. [Google Scholar] [CrossRef]
- Mucha, J.; Zadworny, M.; Bułaj, B.; Rutkowski, P.; Szuba, A.; Mąderek, E.; Łakomy, P.; Trocha, L.K. Root anatomical adaptations of contrasting ectomycorrhizal exploration types in Pinus sylvestris and Quercus petraea across soil horizons. Plant Soil 2025, 511, 119–134. [Google Scholar] [CrossRef]
- Bates, D.; Mächler, M.; Bolker, B.; Walker, S. Fitting Linear Mixed-Effects Models Using lme4. J. Stat. Softw. 2015, 67, 1–48. [Google Scholar] [CrossRef]
- Bao, Y.; Aggarwal, P.; Robbins, N.E.; Sturrock, C.J.; Thompson, M.C.; Tan, H.Q.; Tham, C.; Duan, L.; Rodriguez, P.L.; Vernoux, T.; et al. Plant roots use a patterning mechanism to position lateral root branches toward available water. Proc. Natl. Acad. Sci. USA 2014, 111, 9319–9324. [Google Scholar] [CrossRef]
- Koevoets, I.T.; Venema, J.H.; Elzenga, J.T.M.; Testerink, C. Roots withstanding their environment: Exploiting root system architecture responses to abiotic stress to improve crop tolerance. Front. Plant Sci. 2016, 7, 1335. [Google Scholar] [CrossRef]
- Takahashi, H.; Yamauchi, T.; Colmer, T.D.; Nakazono, M. Aerenchyma formation in plants. In Low-Oxygen Stress in Plants: Oxygen Sensing and Adaptive Responses to Hypoxia; van Dongen, J.T., Licausi, F., Eds.; Springer: Vienna, Austria, 2014; pp. 247–265. [Google Scholar]
- Wang, R.; Zhang, Z.; Wang, H.; Chen, Y.; Zhang, M. Soil Water Deficit Reduced Root Hydraulic Conductivity of Common Reed (Phragmites australis). Plants 2023, 12, 3543. [Google Scholar] [CrossRef] [PubMed]
- Yang, J.Y.; Wang, H.B.; Zhang, D.C. Response of the root anatomical structure of Carex moorcroftii to habitat drought in the western Sichuan Plateau of China. Planta 2024, 259, 131. [Google Scholar] [CrossRef]
- Henry, A.; Cal, A.J.; Batoto, T.C.; Torres, R.O.; Serraj, R. Root attributes affecting water uptake of rice (Oryza sativa) under drought. J. Exp. Bot. 2012, 63, 4751–4763. [Google Scholar] [CrossRef]
- Yamauchi, T.; Colmer, T.D.; Pedersen, O.; Nakazono, M. Regulation of root traits for internal aeration and tolerance to soil waterlogging-flooding stress. Plant Physiol. 2018, 176, 1118–1130. [Google Scholar] [CrossRef] [PubMed]
- Jiang, Z.; Song, X.F.; Zhou, Z.Q.; Wang, L.K.; Li, J.W.; Deng, X.Y.; Fan, H.Y. Aerenchyma formation: Programmed cell death in adventitious roots of winter wheat (Triticum aestivum) under waterlogging. Funct. Plant Biol. 2010, 37, 748–755. [Google Scholar] [CrossRef]
- Bartlett, M.K.; Sinclair, G.; Fontanesi, G.; Knipfer, T.; Walker, M.A.; McElrone, A.J. Root pressure–volume curve traits capture rootstock drought tolerance. Ann. Bot. 2022, 129, 389–402. [Google Scholar] [CrossRef]
- Gunawardena, A.H.L.A.N. Programmed cell death and tissue remodelling in plants. J. Exp. Bot. 2008, 59, 445–451. [Google Scholar] [CrossRef]
- Trobacher, C.P. Ethylene and programmed cell death in plants. Botany 2009, 87, 757–769. [Google Scholar] [CrossRef]
- Chen, Z.; Sun, J.; Li, D.; Li, P.; He, K.; Ali, F.; Mi, G.; Chen, F.; Yuan, L.; Pan, Q. Plasticity of root anatomy during domestication of a maize-teosinte derived population. J. Exp. Bot. 2022, 73, 139–153. [Google Scholar] [CrossRef]
- Fitter, A.; Williamson, L.; Linkohr, B.; Leyser, O. Root system architecture determines fitness in an Arabidopsis mutant in competition for immobile phosphate ions but not for nitrate ions. Proc. R. Soc. Lond. B Biol. Sci. 2002, 269, 2017–2022. [Google Scholar] [CrossRef] [PubMed]
- Guhr, T.; Song, Z.; Andersen, A.G.; de la Cruz Jiménez, J.; Pedersen, O. Root morphology and anatomy respond similarly to drought and flooding in two wheat cultivars. Ann. Bot. 2025, 136, 1239–1250. [Google Scholar] [CrossRef] [PubMed]
- Peralta Ogorek, L.L.; Song, Z.; Pellegrini, E.; Liu, F.; Tomasella, M.; Nardini, A.; Pedersen, O. Root acclimations to soil flooding prime rice (Oryza sativa L.) for subsequent conditions of water deficit. Plant Soil 2024, 494, 529–546. [Google Scholar] [CrossRef]
- Shoaib, M.; Banerjee, B.P.; Hayden, M.; Kant, S. Roots’ Drought Adaptive Traits in Crop Improvement. Plants 2022, 11, 2256. [Google Scholar] [CrossRef]
- Manzur, M.E.; Grimoldi, A.A.; Insausti, P.; Striker, G.G. Radial oxygen loss and physical barriers in relation to root tissue age in species with different types of aerenchyma. Funct. Plant Biol. 2014, 42, 9–17. [Google Scholar] [CrossRef]
- Deng, H.; Ye, Z.H.; Wong, M.H. Lead, zinc and iron (Fe2+) tolerances in wetland plants and relation to root anatomy and spatial pattern of ROL. Environ. Exp. Bot. 2009, 65, 353–362. [Google Scholar] [CrossRef]
- Enstone, D.E.; Peterson, C.A.; Ma, F. Root endodermis and exodermis: Structure, function, and responses to the environment. J. Plant Growth Regul. 2002, 21, 335–351. [Google Scholar] [CrossRef]
- Pesqueira, J.; Kralj, A.M.; Rovegno, M.S.; Lovisolo, M.R.; García, M.D. Physiological and anatomical differences between subtropical forage plants grown in waterlogged alkaline-sodic soil. Pesqui. Agropecu. Bras. 2023, 58, e03118. [Google Scholar] [CrossRef]
- Clowes, F.A.L. Origin of the epidermis in root meristems. New Phytol. 1994, 127, 335–347. [Google Scholar] [CrossRef]
- Han, Y.; Chen, F.; Yang, C.; Zhang, D. Responses of anatomical structures of different root orders of Kobresia humilis to habitat aridification in an alpine meadow. Chin. J. Ecol. 2024, 43, 8. [Google Scholar]
- Yang, X.; Li, Y.; Ren, B.; Ding, L.; Gao, C.; Shen, Q.; Guo, S. Drought-induced root aerenchyma formation restricts water uptake in rice seedlings supplied with nitrate. Plant Cell Physiol. 2012, 53, 495–504. [Google Scholar] [CrossRef]
- Abiko, T.; Obara, M. Enhancement of porosity and aerenchyma formation in nitrogen-deficient rice roots. Plant Sci. 2014, 215–216, 76–83. [Google Scholar] [CrossRef]
- Wany, A.; Kumari, A.; Gupta, K.J. Nitric oxide is essential for the development of aerenchyma in wheat roots under hypoxic stress. Plant Cell Environ. 2017, 40, 3002–3017. [Google Scholar] [CrossRef] [PubMed]
- Naulin, P.A.; Armijo, G.I.; Vega, A.S.; Tamayo, K.P.; Gras, D.E.; de la Cruz, J.; Gutiérrez, R.A. Nitrate induction of primary root growth requires cytokinin signaling in Arabidopsis thaliana. Plant Cell Physiol. 2020, 61, 342–352. [Google Scholar] [CrossRef]
- Asim, M.; Ullah, Z.; Xu, F.; An, L.; Aluko, O.O.; Wang, Q.; Liu, H. Nitrate signaling, functions, and regulation of root system architecture: Insights from Arabidopsis thaliana. Genes 2020, 11, 633. [Google Scholar] [CrossRef]
- Cheng, Z.; Tong, L.; Wang, Q.G.; Han, S.J. Effects of long-term nitrogen addition on fine root morphological, anatomical structure and stoichiometry of broadleaved Korean pine forest. J. Beijing For. Univ. 2022, 44, 31–40. [Google Scholar]
- Yamauchi, T.; Noshita, K.; Tsutsumi, N. Climate-smart crops: Key root anatomical traits that confer flooding tolerance. Breed. Sci. 2021, 71, 51–61. [Google Scholar] [CrossRef]
- Vega, A.; O’Brien, J.A.; Gutiérrez, R.A. Nitrate and hormonal signaling crosstalk for plant growth and development. Curr. Opin. Plant Biol. 2019, 52, 155–163. [Google Scholar] [CrossRef]
- Iqbal, A.; Dong, Q.; Wang, X.; Gui, H.; Zhang, H.; Zhang, X.; Song, M. High nitrogen enhance drought tolerance in cotton through antioxidant enzymatic activities, nitrogen metabolism and osmotic adjustment. Plants 2020, 9, 178. [Google Scholar] [CrossRef] [PubMed]
- Li, S.; Zhou, L.; Addo-Danso, S.D.; Ding, G.; Sun, M.; Wu, S.; Lin, S. Nitrogen supply enhances the physiological resistance of Chinese fir plantlets under polyethylene glycol (PEG)-induced drought stress. Sci. Rep. 2020, 10, 7509. [Google Scholar] [CrossRef] [PubMed]
- Shiono, K.; Ejiri, M.; Sawazaki, Y.; Egishi, Y.; Tsunoda, T. Low nitrate under waterlogging triggers exodermal suberization to form a barrier to radial oxygen loss in rice roots. Plant Physiol. 2024, 196, 551–563. [Google Scholar] [CrossRef]
- Timilsina, A.; Dong, W.; Hasanuzzaman, M.; Liu, B.; Hu, C. Nitrate–nitrite–nitric oxide pathway: A mechanism of hypoxia and anoxia tolerance in plants. Int. J. Mol. Sci. 2022, 23, 11522. [Google Scholar] [CrossRef]
- Gupta, K.J.; Igamberdiev, A.U. Reactive nitrogen species in mitochondria and their implications in plant energy status and hypoxic stress tolerance. Front. Plant Sci. 2016, 7, 369. [Google Scholar] [CrossRef]
- Chen, Y.P.; Gao, C.M.; Ren, B.B.; Hu, X.Y.; Shen, Q.R.; Guo, S.W. Physiological mechanism of nitrogen forms affecting aerenchyma formation of rice root under water stress. J. Nanjing Agric. Univ. 2017, 40, 273–280. (In Chinese) [Google Scholar]
- Pan, R.; Buitrago, S.; Feng, X.; Hu, A.; Zhou, M.; Zhang, W. Ethylene regulates aerenchyma formation in cotton under hypoxia stress by inducing the accumulation of reactive oxygen species. Environ. Exp. Bot. 2022, 197, 104826. [Google Scholar] [CrossRef]
- Pan, C.X.; Xiao, Y.H.; He, J.M.; Wang, Y.Z. Effects of different nitrogen levels on seedling growth and root primary vascular system of the loquat trees. Guangdong Agric. Sci. 2011, 38, 6–8+17. (In Chinese) [Google Scholar]
- Ding, L.; Gao, C.; Li, Y.; Li, Y.; Zhu, Y.; Xu, G.; Shen, Q.; Kaldenhoff, R.; Kai, L.; Guo, S. The enhanced drought tolerance of rice plants under ammonium is related to aquaporin (AQP). Plant Sci. 2015, 234, 14–21. [Google Scholar] [CrossRef] [PubMed]
- Ranathunge, K.; Schreiber, L.; Bi, Y.M.; Rothstein, S.J. Ammonium-induced architectural and anatomical changes with altered suberin and lignin levels significantly change water and solute permeabilities of rice (Oryza sativa L.) roots. Planta 2016, 243, 231–249. [Google Scholar] [CrossRef] [PubMed]
- Zhou, H.W. Response of Camellia Oleifera Leaves and Root Anatomy to Drought and Nitrogen Addition. Master’s Thesis, Anhui Agricultural University, Hefei, China, 2024. (In Chinese) [Google Scholar]
- Yu, J. Research on Anatomical Structure and Ecological Adaptability of Dominant Plants in Poyang Lake Wetland. Master’s Thesis, Nanchang University, Nanchang, China, 2015. (In Chinese) [Google Scholar]
- Tang, J.; Ji, X.; Li, A.; Zheng, X.; Zhang, Y.; Zhang, J. Effect of persistent salt stress on the physiology and anatomy of hybrid walnut (Juglans major × Juglans regia) seedlings. Plants 2024, 13, 1840. [Google Scholar] [CrossRef]






| Substance | Concentration (μM) |
|---|---|
| KH2PO4 | 500 |
| KCl | 3000 |
| CaCl2 | 2000 |
| MgSO4∙7H2O | 1000 |
| H3BO3 | 23.13 |
| MnCl2∙4H2O | 4.57 |
| ZnSO4∙7H2O | 0.382 |
| CuSO4∙5HeO | 0.16 |
| MoO3 | 0.0695 |
| Fe-EDTA | 9 |
| Tissue Type | Ecological Significance | Measurement Index |
|---|---|---|
| Protective tissue | Maintaining a secure interface between roots and the external environment reduces mechanical damage, pathogen invasion, and water loss. | Exodermis thickness Epidermis thickness |
| Vascular tissue | To achieve long-distance material transport between roots and above-ground parts, and to maintain the overall plant metabolic coordination. | Stele diameter |
| Aerenchyma | Regulation of metabolism and gas exchange in roots to adapt to anoxic or resource-fluctuating environments. | Aerenchyma area |
| Factor | Df | Aerenchyma Proportion | Stele-to-Root Diameter Ratio | Exodermis Thickness | Epidermis Thickness | ||||
|---|---|---|---|---|---|---|---|---|---|
| F | p | F | p | F | p | F | p | ||
| F | 1 | 27.23 | *** | 1.08 | ns | 52.05 | *** | 2.54 | ns |
| N | 3 | 11.89 | *** | 17.04 | *** | 8.75 | *** | 24.93 | *** |
| W | 2 | 1186.28 | *** | 726.22 | *** | 209.05 | *** | 304.39 | *** |
| F:N | 3 | 3.89 | * | 9.45 | *** | 6.21 | ** | 1.24 | ns |
| F:W | 2 | 41.93 | *** | 33.17 | *** | 203.66 | *** | 16.38 | *** |
| N:W | 6 | 18.14 | *** | 44.14 | *** | 8.78 | *** | 14.02 | *** |
| F:N:W | 6 | 12.79 | *** | 6.82 | *** | 25.26 | *** | 2.12 | * |
Disclaimer/Publisher’s Note: The statements, opinions and data contained in all publications are solely those of the individual author(s) and contributor(s) and not of MDPI and/or the editor(s). MDPI and/or the editor(s) disclaim responsibility for any injury to people or property resulting from any ideas, methods, instructions or products referred to in the content. |
© 2026 by the authors. Licensee MDPI, Basel, Switzerland. This article is an open access article distributed under the terms and conditions of the Creative Commons Attribution (CC BY) license.
Share and Cite
Zhang, M.; Zhang, C.; Wang, G.; Xu, Z.; Lou, Y. Effects of Simulated Water Depth and Nitrogen Addition on Phragmites australis Root Anatomy. Water 2026, 18, 243. https://doi.org/10.3390/w18020243
Zhang M, Zhang C, Wang G, Xu Z, Lou Y. Effects of Simulated Water Depth and Nitrogen Addition on Phragmites australis Root Anatomy. Water. 2026; 18(2):243. https://doi.org/10.3390/w18020243
Chicago/Turabian StyleZhang, Mingyu, Changwei Zhang, Guijun Wang, Zhenwen Xu, and Yanjing Lou. 2026. "Effects of Simulated Water Depth and Nitrogen Addition on Phragmites australis Root Anatomy" Water 18, no. 2: 243. https://doi.org/10.3390/w18020243
APA StyleZhang, M., Zhang, C., Wang, G., Xu, Z., & Lou, Y. (2026). Effects of Simulated Water Depth and Nitrogen Addition on Phragmites australis Root Anatomy. Water, 18(2), 243. https://doi.org/10.3390/w18020243

