Abstract
Monitoring of antimicrobial resistance (AMR) in the environment is needed, but standardized methods are lacking. This study evaluated a cost-efficient, kit-based approach for detecting antibiotic-resistant Escherichia coli (AR-E. coli) and predicting multidrug-resistant E. coli (MDR-E. coli) in concentrated animal feeding operations (CAFO)-impacted surface waters in Tulare, California, and Clayton, Michigan. Eighteen Tulare and six Clayton samples were analyzed using modified IDEXX Colilert-18 kits with selective antibiotics. In Round 1 of the study, 702 isolates were tested against 12 antibiotics using disk diffusion to identify ideal additions. No and low resistance to AMP was seen at the unimpacted and less-impacted sites, respectively, while up to 34% of isolates at impacted sites were resistant to AMP. The percentage of isolates resistant to erythromycin was 16% or lower at less-impacted sites, but it ranged up to 64% at impacted sites. In Round 2, 1002 isolates (1704 total) were characterized to compare modified IDEXX results with culture-based results. Resistance to ampicillin (AMP-E. coli-col) detected by IDEXX strongly correlated with MDR prevalence in Clayton (R2 = 0.71, p = 0.00197), while extended-spectrum beta-lactamase-producing E. coli (ESBL-E. coli-col) correlated with MDR prevalence in Tulare (R2 = 0.70, p < 0.0001). This observation appears to be site-specific. Findings suggest both IDEXX- and culture-based methods can serve as AMR screening tools at CAFO-impacted sites. This work supports community-based monitoring and informs standardized approaches for tracking AMR in inland waters.
1. Introduction
Antimicrobial resistance (AMR) is a critical public health threat. The role of the environment as a reservoir and transport pathway for AMR is well-documented. Numerous studies have shown elevated levels of antibiotic-resistance genes (ARGs) near concentrated animal feeding operations (CAFOs) in different regions and countries [1], with effluent runoff, manure application on crops, and accidental contamination all serving as potentially important sources [2,3,4,5]. In addition to increased AMR, several studies have reported elevated multidrug-resistant Escherichia coli (MDR-E. coli) in CAFO-impacted waters [6,7,8]. Recent global metagenomic studies of livestock manure show that intensive animal production systems contain a large diversity of antibiotic resistance genes, supporting the role of CAFOs as important environmental reservoirs of AMR [9]. Documented health issues associated with living in proximity to livestock operations [10,11], fields with manure applications, and impacted waterways [12] include increased risk of skin and soft-tissue infections, exacerbation of chronic obstructive pulmonary disease (COPD) [13], and colonization with antibiotic resistant pathogens, including livestock-associated MRSA [14,15,16,17].
The Centers for Disease Control and Prevention (CDC) have called for increased surveillance of AMR beyond clinical settings, including in environmental compartments [18]. However, monitoring of AMR is quite challenging due to the large number of possible target bacteria and antibiotic combinations to monitor. While routine monitoring exists for fecal indicator bacteria (FIB), including E. coli in coastal waters, there are no standardized methods for evaluating AMR or MDR in recreational waters. Although standardized antimicrobial susceptibility testing methods such as broth microdilution and disk diffusion are well established for clinical isolates, no equivalent standardized approaches exist for environmental monitoring and AMR surveillance in surface waters is not routinely conducted.
To address the lack of standardized methods for AMR monitoring, the World Health Organization (WHO) has chosen extended-spectrum beta-lactamase-producing E. coli (ESBL-E. coli) as a proxy for monitoring AMR with a One Health approach, which recognizes the interconnectedness of humans, non-human animals, and the environment [19]. The WHO Tricycle Protocol enables spatial and temporal tracking of ESBL-E. coli in various compartments, but its implementation is limited by cost, labor requirements, and Biosafety Level 2 (BSL-2) lab facilities [20,21,22,23,24]. Recent work has demonstrated the feasibility of using a simplified IDEXX Colilert-18 kits method for ESBL-E. coli monitoring, offering a new approach in a resource-limited setting [25]. The IDEXX Colilert-18™ method detects β-glucuronidase activity as an indicator of E. coli presence and by amending wells with antibiotics, it can be adapted to screen for resistant phenotypes under selective conditions.
Despite the embrace of ESBL-E. coli as an AMR indicator, new evidence shows that ESBL-E. coli may not by itself be adequate to characterize risk from other AMR bacteria and ARG in the environment [26]. Our previous work near CAFO-impacted sites in Michigan and Wisconsin found dramatically higher levels of AMR and MDR in CAFO-impacted sites compared to less-impacted controls [26]. Notably, the ESBL-E. coli abundance did not correlate with the MDR-E. coli detected using Kirby–Bauer susceptibility testing, while resistance to specific antibiotics was more strongly associated with MDR [27]. These findings suggest that simplified screening tools targeting selective antibiotics may improve environmental AMR surveillance.
Conventional culture-based techniques involving isolate recovery followed by antimicrobial susceptibility testing provide accurate resistance profiles but are resource-intensive, require BSL-2 laboratories, and are impractical for routine environmental monitoring. Therefore, there remains a critical need for low-cost, field-adaptable screening tools that can identify AMR patterns in impacted surface waters, such as those in proximity to CAFOs. The goals of this study were as follows: (1) characterize AMR and MDR in E. coli collected from surface waters near dairy CAFOs in Michigan and California, and (2) provide a set of tools that will enable low-cost monitoring of AMR and MDR in inland waters.
2. Materials and Methods
2.1. Field Sampling and In Situ Water Quality Parameters
Sample locations in Tulare County, California (CA), USA, and Clayton, Michigan (MI), USA, were determined in collaboration with our community partner, the Socially Responsible Agriculture Project. In both watersheds, surface waters downgradient of CAFOs and fields where manure is sprayed were analyzed by lowering a sterile plastic 2 L bottle into the water. Clean reference sites that were not influenced by CAFOs were sampled in each watershed. In Michigan, a suspected human-wastewater-impacted site was also sampled. The number of sampling replicates varied by site due to weather conditions and seasonal changes in water availability, as some creeks and streams dried after the rainy season, limiting repeated sampling at certain locations (TI1: 3 replicates; TI2: 2 replicates; TI4: 3 replicates; TI5: 2 replicates; all other sites were sampled once) (Table 1 and Table 2). Bottles were immediately stored and transported in a cool box at 4 °C and processed the same day in the laboratory. An Apera Instruments AI311 Premium Series PH60 multiparameter probe (Columbus, OH, USA) was used to determine pH, temperature, conductivity, and salinity in the field.
Table 1.
Tulare site information table.
Table 2.
Clayton site information table [27].
Additional Information
The U.S. EPA defines CAFOs as animal feeding operations where animals are confined and maintained for 45 days or more per year and no sustained crops or vegetation cover the facility [28]. For dairy cows, fewer than 300 animals can be defined as a small CAFO; medium CAFOs may confine 300–699 animals, while large CAFOs contain more than 1000 animals.
2.2. Fecal Indicator Bacteria Analysis
Levels of fecal indicator bacteria (FIB) [Total Coliform (TC), E. coli], ESBL-E. coli, ampicillin-resistant E. coli (AMP-E. coli), and tetracycline-resistant E. coli (TE-E. coli), were measured with Colilert-18TM (IDEXX, Westbrook, ME, USA) reagents and protocols [29] to determine the most probable number (MPN) of cells per 100 mL of water. Milli-Q water was used as a negative control during method validation and showed no detectable growth.
2.3. Isolate Selection, Purification, and AMR Testing (Figure 1)
Water samples were passed through gridded mixed ester cellulose membranes with a pore size of 0.45 μm and incubated on modified mTEC agar (Difco, Becton Dickinson, Sparks, MD, USA), which is selective for EC. Phosphate-buffered saline (PBS), prepared using a standard recipe (0.58 g NaH2PO4, 2.5 g Na2HPO4, and 8.5 g NaCl per liter) and autoclaved before use, was used as a blank and for diluting samples under 20 mL. The dilution step using PBS was performed to enable even passage of small-volume samples through the membrane filter. Plates were bagged and incubated first at 35 °C ± 0.5 °C for 2 ± 0.5 h, then transferred to 44.5 °C ± 0.5 °C for 20 ± 2 h. Isolates were purified with a minimum of three streaks on Tryptone Bile X-glucuronide (TBX) media (Oxoid, Thermo Fisher Scientific, Basingstoke, United Kingdom) plates (also selective for E. coli) and tested for resistance to a suite of antibiotics using the Kirby–Bauer method. The antibiotics used were ciprofloxacin (CIP-5 μg), chloramphenicol (C-30 μg), cefotaxime (CTX-30 μg), cefoxitin (FOX-30 μg), tetracycline (TE-30 μg), amoxicillin/clavulanic acid (AMC-30 μg), imipenem (IPM-10 μg), ampicillin (AMP-10 μg), kanamycin (K-30 μg), gentamicin (CN-10 μg), trimethoprim–sulfamethoxazole (SXT-25 μg) and erythromycin (E-15 μg) (Oxoid, Thermo Fisher Scientific, Basingstoke, United Kingdom). The Indole test was also performed, followed by the ASM protocol [30], for all isolates as a secondary confirmation for E. coli identification.
Figure 1.
Method diagram.
Figure 1.
Method diagram.

2.4. Validation of Modified Colilert-18 Method
After determining which antibiotics’ resistance patterns correlated with MDR, we conducted a second round of sampling in which samples were measured by both the modified Colilert-18 method and the traditional approach involving colony purification and testing with the Kirby–Bauer method. On the day of sampling, some water from each site was filtered and plated onto mTEC media for traditional selection as described above. The modified Colilert-18 test was also conducted by spiking ampicillin or tetracycline. Cefotaxime was also added as it serves as the standard marker for detecting ESBL-E. coli.
2.5. Data Processing and Statistical Analysis
Colilert-18 MPN values were used to calculate the percentage of resistant E. coli for each antibiotic by dividing the antibiotic-amended MPN by the total E. coli MPN for the corresponding site.
MDR was defined as resistance to three or more types of antibiotics, based on the Kirby–Bauer disk diffusion test results.
Correlation analyses between resistance to individual antibiotics and MDR prevalence were conducted using linear regression. Coefficients of determination (R2) were calculated from regression residuals. All data processing, statistical analyses, and figure generation were performed using Python 3.13.5. Samples with insufficient values were excluded from the correlation analyses.
3. Results
3.1. EC Results Detected by Colilert-18 (IDEXX) for All Sampling Days
For both Tulare, CA, and Clayton, MI, field work, levels of E. coli were determined with Colilert-18 with no amendments. Unimpacted sites at both locations and the wastewater-impacted site showed levels that were below the recreational standard (the U.S. EPA recommended level for E. coli in recreational water is 2.61 log10MPN/100 mL), while some CAFO-impacted sites showed E. coli substantially above the standard. Specifically, the Tulare Impacted (TI) site 4 (TI4) had E. coli present at 2.87 log10MPN/100 mL (95% CI: 2.56, 3.17) on the first sampling day. In Michigan, one of the dairy sites had E. coli levels of 2.89 log10MPN/100 mL (95% CI: 2.74, 3.04) and the two sites with swine and dairy influence had levels of 3.18 log10MPN/100 mL (95% CI: 3.05, 3.31) and 3.61 log10MPN/100 mL (95% CI: 3.42, 3.79) (Figure 2).
Figure 2.
E. coli level (log MPN/100 mL) detected by modified IDEXX method in Tulare County, CA (a) and Clayton, MI (b). The U.S. EPA recommended level for E. coli in recreational water is 410 CFU/100 mL (2.61 log10MPN/100 mL shown in dashed line).
3.2. Antibiotic Testing on E. coli Isolates with the Kirby–Bauer Method
A total of 1704 isolates (Tulare: n = 1267; Michigan: n = 437) were purified and tested for resistance to 12 antibiotics using the Kirby–Bauer method (see Table 3 and Table 4). In Tulare, at the unimpacted site (TUI), 16% of the isolates were resistant to erythromycin, but no resistance was seen for any of the other 11 antibiotics. Isolates from impacted Tulare sites showed resistance ranging up to 64% for erythromycin, 34% for ampicillin, 26% imipenem, 31% tetracycline, and 31% for cefotaxime. Erythromycin resistance was the most prevalent among all tested antibiotics, with the highest proportion observed at TI2 on March 2 (64%). Tetracycline resistance was also frequently detected, reaching up to 31% at TI1 on March 2, while only the unimpacted site (TUI) showed no resistance. Similarly, ampicillin resistance was also notable, with the highest reading at TI6 on April 27 (34%), followed by 33% at TI1 on March 2. The highest imipenem resistance was detected at TI6 on April 27 (26%). Resistance at the remainder of the sites ranged from 0 to 7%, with 0% on clean sites. MDR was most pronounced on March 2, with 29% in TI1, while no MDR was seen at the unimpacted site. The less impacted site (TLI) had 1% MDR-E. coli, and the rest of the impacted sites ranged from 2 to 29% MDR.
Table 3.
% Resistance table. Percent resistance to each antibiotic for E. coli isolates purified from surface waters in Tulare County, CA.
Table 4.
% Resistance table. Percent resistance to each antibiotic for E. coli isolates purified from surface waters in Clayton, MI.
Similarly, in Michigan, at the unimpacted site UI, 7% of the isolates were resistant to erythromycin, but no resistance was seen for any of the other 11 antibiotics. E. coli from impacted Michigan sites showed resistance ranging up to 22% for erythromycin, 17% for ampicillin, and 25% tetracycline. MDR-E. coli ranged up to 7% at impacted sites but was absent at the unimpacted site. Among all the isolates, amoxicillin/clavulanic acid-resistant isolates were only detected at D1 (4%). Tetracycline-resistant isolates were most prevalent in D1 as well (25%), followed by SD2 (5%) and SD1 (3%), while all other sites showed no tetracycline resistance. Similarly to Tulare sites, erythromycin resistance was widespread. D2 shows the highest prevalence (22%), CAFO-impacted sites (D1, SD1, SD2) exhibit 3–8% resistance and unimpacted (UI) and wastewater (WW) sites show 7% and 10% resistance, respectively. Notably, ciprofloxacin resistance was not detected at any sites. However, the % MDR observed at this time point is substantially lower compared to findings from a previous study at the same sampling sites but during different season. In all previously mentioned impacted sites, MDR level exceeded 10%, with resistance reaching up to 89% for erythromycin, 67% for ampicillin, and 62% tetracycline [27]. These findings suggest that the AMR level has seasonal variations.
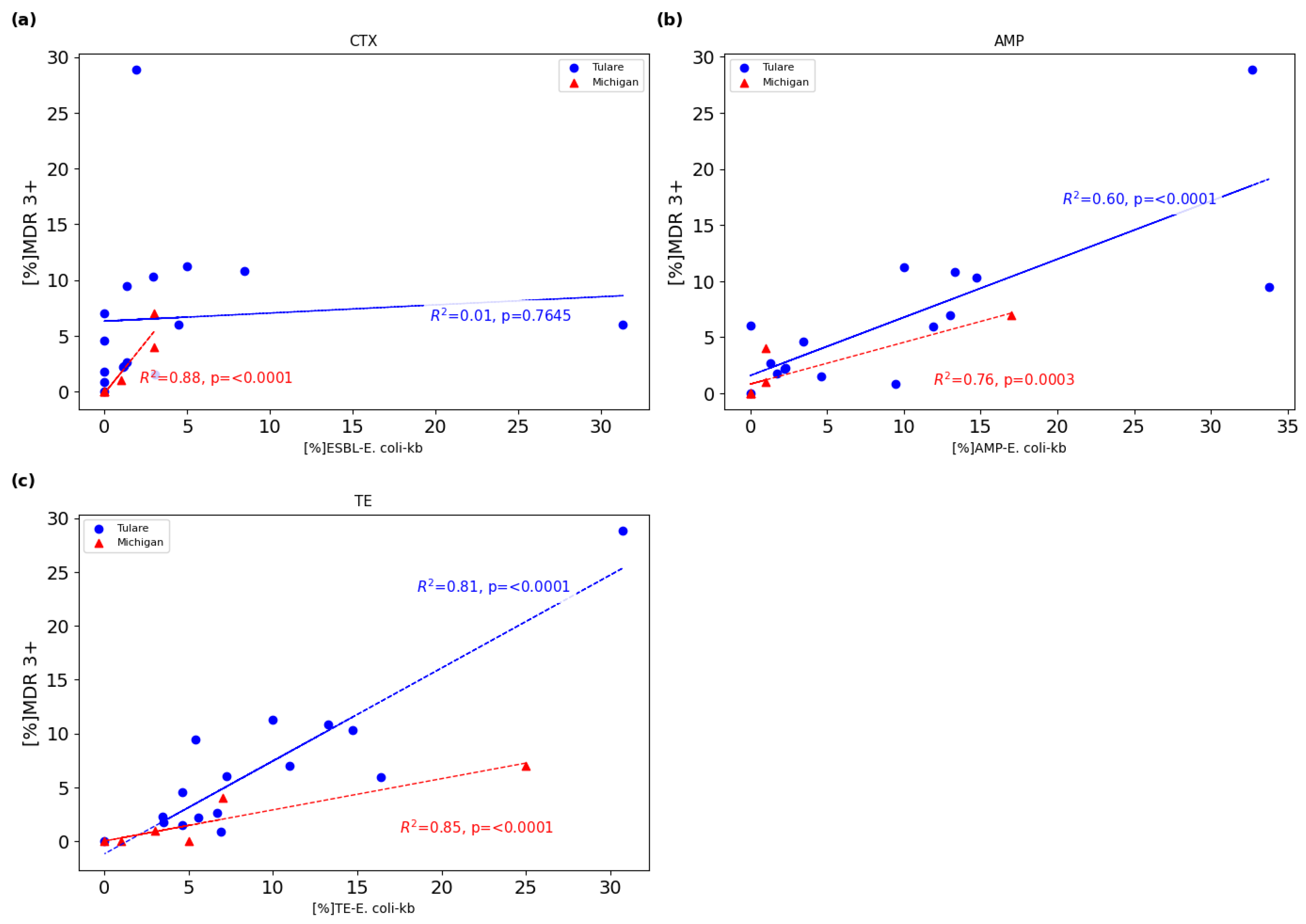
The correlations between resistance to a particular antibiotic and MDR from Round 1 results were examined to choose antibiotics for the modified IDEXX method (Figure 3). For the Tulare sites (Figure 3, blue circles), tetracycline and ampicillin correlated (R2 = 0.81 and 0.6, respectively) with highly significant p-values (p < 0.001). For the Michigan sites (Figure 3, red triangles), significant correlations were observed for tetracycline (R2 = 0.85, p < 0.00001), ampicillin (R2 = 0.76, p = 0.00033), chloramphenicol (R2 = 0.99, p < 0.00001), cefotaxime (R2 = 0.88, p < 0.00001), trimethoprim–sulfamethoxazole (R2 = 0.88, p < 0.00001) and imipenem (R2 = 0.90, p < 0.00001). In an earlier study conducted in Michigan, a strong correlation was identified between the % of AMP resistance isolates and the % of MDR (R2 = 0.856, p = 0.0010) [26]. The current study reinforces this observation, further supporting its consistency.
Figure 3.
Correlation analysis between (%) MDR (3 + classes of antibiotics) and (%) resistance to cefotaxime (a), ampicillin (b), and tetracycline (c), detected by culture-based Kirby–Bauer disk diffusion tests. Expanded data are available in the Supplemental Section (Figure S1).
3.3. Correlations Between Amended IDEXX and AMR
Colilert-18 amended with tetracycline correlated with the percentage of isolates resistant to tetracycline (R2 = 0.61 and p = 0.00004) (Figure 4).
Figure 4.
Correlation analysis between amended IDEXX and disk diffusion for AMP and TE. Percentage of EC resistant to TE as measured with tetracycline-amended Colilert-18 (%TE-E. coli-col) versus the percentage of isolates resistant to tetracycline by Kirby–Bauer (%TE-E. coli-kb) in Tulare (a) and Michigan (c). Percentage of E. coli resistant to AMP as measured with ampicillin-amended Colilert-18 (% AMP-E. coli-col) versus the percentage of isolates resistant to ampicillin by Kirby–Bauer (% AMP-E. coli-kb) in Tulare (b) and Michigan (d). Expanded data is available in the Supplemental Section (Figure S2).
3.4. Correlations Between Amended Colilert-18 and MDR for E. coli Isolates
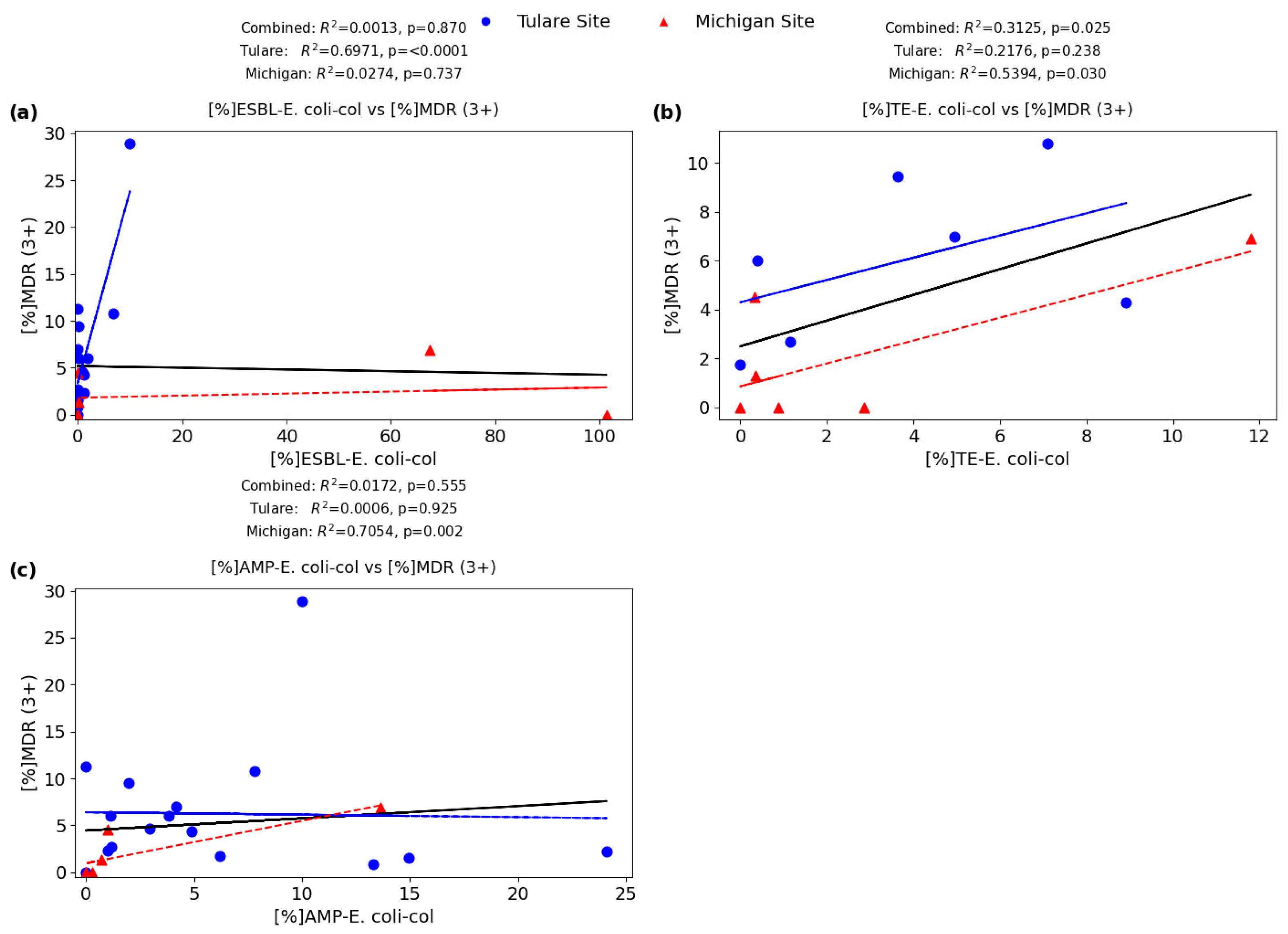
We tested the hypothesis that Colilert-18 modified with the most promising antibiotics from Round 1 would predict MDR in Round 2 for Tulare, CA, and Clayton, MI. ESBL-E. coli (measured with IDEXX on both rounds of sampling) correlated well with MDR-E. coli in Tulare (R2 = 0.6971, p = 0.000057) but not in Michigan (R2 = 0.0274, p = 0.753887057), while AMP-E. coli correlated with MDR-E. coli in Michigan (R2 = 0.705, p-value = 0.0363), but not in Tulare (R2 = 0.00063, p-value = 0.927) (Figure 5).
Figure 5.
Correlation analysis for (a) percentage of ESBL-E. coli-col to percentage of MDR-E. coli Tulare (R2 = 0.70, p < 0.0001), Michigan (R2 = 0.03, p = 0.737); (b) percentage of TE-E. coli-col to percentage of MDR-EC Tulare (R2 = 0.22, p = 0.238), Michigan (R2 = 0.54, p = 0.030); (c) percentage of AMP-E. coli-col to percentage of MDR-E. coli Tulare (R2 = 0.0006, p = 0.925), Michigan (R2 = 0.71, p = 0.002).
4. Discussion
Working with our community partners, we developed a two-stage approach to create an IDEXX-based method for screening for AMR and MDR at our study sites that would leverage existing water-quality monitoring infrastructure. In Round 1, we isolated E. coli without pre-selection for antibiotic resistance and characterized these isolates for their resistance to twelve antibiotics. Based on the correlations between specific antibiotics and MDR for these sites, we developed an IDEXX-based method that could indicate hotspots for MDR in our area, which was tested in Round 2.
The findings of this study demonstrate elevated levels of AMR and MDR in surface water near CAFOs, particularly at sites associated with dairy and swine operations in both Tulare, CA, and Clayton, MI. Ampicillin (AMP) and tetracycline (TE) are two antibiotics that are widely used in livestock production in several countries [31,32] and in the U.S. [33]. In Tulare, AMP-resistant EC were detected in 13 out of 14 impacted sites, while in Michigan they were detected in one dairy (out of two) and one swine and dairy site (out of two). Tetracycline-resistant E. coli were observed across all CAFO-impacted sites in both regions. Notably, the highest percentage of TE resistance coincided with the highest MDR prevalence, while sites with no TE resistance exhibited no MDR. This finding was reported by Sayah et al. [34], who found that TE resistance was frequently associated with MDR-E. coli, suggesting that EC with TE resistance has an increasing likelihood of being resistant to other antibiotics.
Erythromycin (E) is another antibiotic commonly used in cattle for the treatment of infection and is often administered to the entire animal population [35]. This high-level usage may help explain the high prevalence of E-resistant E. coli observed in all of the sampling sites. In contrast, ciprofloxacin (CIP)-resistant E. coli was detected only five times across all sampling locations—twice at TI4, with a maximum prevalence of 6%. This is similar to other studies that found that EC isolates that have resistance to certain antibiotics can be site- or animal-specific. In a study in South Africa, only 2 of 19 MDR-E. coli among all 150 E. coli isolates from herbivores and domestic pigs were AMP-resistant [36]. While in Brazil, none of 28 isolates from pig farms were AMP-resistant [37].
It is notable that the E. coli MPN in all sites among Tulare and Michigan measured using the modified IDEXX method generally fell within acceptable limits for environmental waters; thus, a low bacterial concentration does not always reflect a low level of AMR. Several sites impacted by CAFO displayed an elevated E. coli level, which may result from direct or indirect inputs of animal waste, runoff from storm events, or manure applications. Other recent findings show that MDR can still be prevalent even when E. coli levels appear low. Chowdhry et al. (2025) reported that despite low MPN values, MDR among E. coli isolates reached up to 75% at a Michigan dairy site [27]. The results from these studies demonstrate that only relying on MPN values to access water quality may underestimate the potential health risk posed by ARB in surface water influenced by agricultural activities.
Even in the midst of a growing health crisis regarding the proliferation of antimicrobial resistance, there is currently a paucity of data on MDR in the United States. One contributing factor is that MDR is difficult to measure. DNA-based approaches that analyze DNA extracted from a whole bacterial community cannot indicate MDR in any one organism. Also, DNA-based techniques without special modifications capture DNA from both live and dead cells, so any observed MDR may not be occurring in a live organism. The method proposed in this study will dramatically increase the accessibility of MDR analysis in the environment.
In studies of the nature and transport of ARGs and ARB dynamics across large areas, it is very beneficial to have methods that have a quick turnaround and are not prohibitively expensive. Overnight testing allows for adaptive sampling on multi-day sampling campaigns. The low cost of this method indicates that it can be used as a screening tool to indicate a subset of sites that are appropriate for further testing by DNA-based methods.
This method would be more easily transferable if the same antibiotics correlated equally with MDR across the two study areas. The fact that they do not indicates that two rounds of sampling may be needed to develop a method that works best in a particular region. The finding that different antibiotics were better predictors of MDR is likely due to the fact that local farming practices differ and this is a topic for future research.
Traditional Kirby–Baur testing, while being the gold standard for assessing AMR in cultures, is time-consuming and laborious. That fact is part of why this research is so valuable. The method presented here is a much faster and less laborious method for detecting AMR and predicting MDR in environmental bacteria.
This work will lead to an improved understanding of the impact of agricultural activities on nearby aquatic ecosystems, including the transport and nature of ARB in the environment. The California State Water Resources Control Board is currently determining the appropriate methods for monitoring the risk level for pathogen exposure in inland waters. The method used in this work, IDEXX kits with added antibiotics, was validated as a quick screening tool for antibiotic resistance surveillance in natural water environments.
Community-based participatory research (CBPR) is an approach to research that involves collaboration between community members, researchers, and stakeholders at some level at all project stages. It is an equitable approach to research that values community knowledge, eschews traditional research power structures through its emphasis on co-learning and co-production, and aims to directly benefit communities, such as through influences on policy or regulation. CBPR improves the scientific enterprise itself through the three R’s of Rigor, Relevance, and Reach [38].
The kit-based methods proposed here involve simple modifications to IDEXX kits, which are very widely used for FIB analysis. The modifications can be completed without extensive laboratory equipment, and Biosafety Level 2 is not needed. While in this work the analysis was completed in an academic laboratory, the simplicity of the method opens the door for community groups to participate in the monitoring and research of environmental antibiotic resistance in their regions of interest. The majority of samples in this study were collected from CAFO-impacted regions, so the findings may not be generalizable to surface water impacted by other pollution sources. Future studies will aim to evaluate the MDR patterns across different contamination scenarios.
5. Conclusions
Our study used a community-engaged monitoring approach to investigate the dynamics of E. coli, ESBL-E. coli, and MDR-E. coli in surface waters near CAFOs in Tulare County, CA, and Clayton, MI. MDR-E. coli levels were elevated at CAFO-impacted sites compared to unimpacted reference locations. However, site-dependent variability was observed in resistance patterns, indicating that AMR dynamics are influenced by local factors and suggesting that resistance patterns are influenced by local environmental and agricultural factors rather than universal trends. Relationships between modified Colilert-18 methods and MDR-E. coli were site-specific. IDEXX ESBL-E. coli was correlated with MDR for the CA, but not the MI sites, while Colilert-18 modified with AMP and TE was correlated with MDR for sites in MI but not those in CA. Seasonal variation likely contributes to these differences, as agricultural activities such as manure application, irrigation, and calving season can increase runoff and bacterial loading in nearby waterways. The observed resistance peaks likely reflect real temporal variability driven by dynamic environmental and agricultural conditions. These temporal changes emphasize the need for long-term monitoring across different seasons to better capture resistance trends and assess risks to local communities. This work has developed and provided a proof-of-concept for an accessible, low-cost screening method based on modified IDEXX that can reveal hotspots for environmental AMR or MDR, especially in the region where access to an advanced laboratory is limited. Future work will compare this IDEXX-based approach with traditional culture-based methods, qPCR, and metagenomic-based techniques to support standardization and broader applicability. These findings highlight the importance of continued monitoring of AMR in agricultural watersheds to protect both environmental and public health.
Supplementary Materials
The following supporting information can be downloaded at https://www.mdpi.com/article/10.3390/w18020207/s1, Figure S1: Correlation analysis between (%) MDR (3+) and (%) resistance to different types of antibiotics, detected by culture-based Kirby–Bauer disk diffusion tests; Figure S2: Correlation analysis for (a) percentage of E. coli resistant to CTX as measured with cefotaxime-amended Colilert-18 (%ESBL-E. coli-col) versus the percentage of isolates resistant to cefotaxime by Kirby–Bauer (%ESBL-E. coli-kb). (b) Percentage of E. coli resistant to TE as measured with tetracycline-amended Colilert-18 (%TE-E. coli-col) versus the percentage of isolates resistant to tetracycline by Kirby–Bauer (%TE-E. coli-kb). (c) Percentage of E. coli resistant to CTX as measured with ampicillin-amended Colilert-18 (%AMP-E. coli-col) versus the percentage of isolates resistant to ampicillin by Kirby–Bauer (%AMP-E. coli-kb).
Author Contributions
Conceptualization, Y.Z., Y.K., K.O., E.T., C.B., E.M., A.M., A.S., V.T., L.T., D.V., M.C.D.L., J.F.G., J.A.S., C.D., L.H., N.K. and J.A.J.; methodology, Y.Z., Y.K., K.O., C.D., L.H., N.K. and J.A.J.; validation, Y.Z., E.T., C.B., E.M., A.M., A.S., V.T., L.T., D.V., M.C.D.L., T.L., N.B., A.C., M.C. (Michelle Chang), A.D., S.J., J.K., J.L., J.V., Z.A., R.C., A.E., H.H., K.M. and M.C. (Malika Cheema); formal analysis, Y.Z., Y.K., K.O., E.T., L.T. and J.A.J.; investigation, Y.Z., Y.K., K.O., E.T., C.B., E.M., A.M., A.S., V.T., L.T., D.V., M.C.D.L., C.D., L.H. and J.A.J.; resources, C.D. and L.H.; data curation, Y.Z., E.T., C.B., E.M., A.M., A.S., V.T., L.T., D.V., M.C.D.L., T.L., N.B., A.C., M.C. (Michelle Chang), A.D., S.J., J.K., J.L., J.V., Z.A., R.C., A.E., H.H., K.M. and M.C. (Malika Cheema); writing—original draft preparation, Y.Z., E.T., C.B., E.M., A.M., A.S., V.T., L.T., D.V., M.C.D.L. and J.A.J.; writing—review and editing, Y.Z., Y.K., K.O., E.T., C.B., E.M., A.M., A.S., V.T., L.T., D.V., M.C.D.L., T.L., N.B., A.C., M.C. (Michelle Chang), A.D., S.J., J.K., J.L., J.V., Z.A., R.C., A.E., H.H., K.M., M.C. (Malika Cheema), J.F.G., J.A.S., C.D., L.H., N.K. and J.A.J.; visualization, Y.Z. and J.A.J.; supervision, Y.Z., Y.K., K.O., M.C. (Michelle Chang), J.L., S.J., R.C. and J.A.J.; project administration, Y.Z., Y.K., K.O. and J.A.J.; funding acquisition, J.A.J. All authors have read and agreed to the published version of the manuscript.
Funding
This research was funded by the Joan Doren Family Foundation. This research was performed in a collaborative laboratory space renovated by the National Science Foundation [Grant number #0963183], an award funded under the American Recovery and Reinvestment Act of 2009 (ARRA). This research was also supported in part by the Teagle Foundation [Grant #20193340] entitled Integrating Liberal Arts Foundations in the Engineering Undergraduate Experience.
Data Availability Statement
The data for this study are available on request from the corresponding author due to privacy reasons.
Acknowledgments
We express our gratitude to the Joan Doren Family Foundation, as well as the dedicated undergraduate students participating in the Institute of the Environmental Science practicum project in 2025, and the undergraduate students at the Center for Community Engaged Learning in the University of California, Los Angeles. We also gratefully acknowledge support from the Hypothesis Fund. We are deeply thankful to the Socially Responsible Agriculture Project for field assistance and site information. We are deeply grateful for our founders. We also thank IDEXX for providing a portion of the Colilert-18 reagents used in this study. All authors have reviewed and approved the manuscript and take full responsibility for the content of this publication. All individuals included in this section have consented to the acknowledgement.
Conflicts of Interest
Author Naomi Korir was employed by the company Sanivation Limited. The remaining authors declare that the research was conducted in the absence of any commercial or financial relationships that could be construed as a potential conflict of interest.
Abbreviations
The following abbreviations are used in this manuscript:
| AMR | Antimicrobial Resistance |
| E. coli | Escherichia coli |
| AR-E. coli | Antibiotic-resistant Escherichia coli |
| MDR | Multidrug Resistance |
| CAFOs | Concentrated Animal Feeding Operations |
| ESBL-E. coli | Extended-spectrum beta-lactamase-producing Escherichia coli |
| AMP-E. coli-col | Resistance to Ampicillin Detected by IDEXX Colilert-18 |
| ESBL-E. coli-col | Extended-spectrum beta-lactamase-producing Escherichia coli Detected by IDEXX Colilert-18 |
| TE-E. coli-col | Resistance to Tetracycline Detected by IDEXX Colilert-18 |
| ARGs | Antibiotic Resistance Genes |
| COPD | Chronic Obstructive Pulmonary Disease |
| WHO | World Health Organization |
| FIB | Fecal Indicator Bacteria |
| TC | Total Coliform |
| AMP-E. coli | Ampicillin-resistant E. coli |
| TE-E. coli | Tetracycline-resistant E. coli |
| MPN | Most Probable Number |
| CIP | Ciprofloxacin |
| C | Chloramphenicol |
| CTX | Cefotaxime |
| FOX | Cefoxitin |
| TE | Tetracycline |
| AMC | Amoxicillin/clavulanic acid |
| IPM | Imipenem |
| AMP | Ampicillin |
| K | Kanamycin |
| CN | Gentamicin |
| SXT | Trimethoprim-sulfamethoxazole |
| E | Erythromycin |
| AMP-E. coli-kb | Resistance to Ampicillin Detected by Kirby-Bauer Disk Diffusion Test |
| ESBL-E. coli-kb | Resistance to Cefotaxime Detected by Kirby-Bauer Disk Diffusion Test |
| TE-E. coli-kb | Resistance to Tetracycline Detected by Kirby-Bauer Disk Diffusion Test |
| CBPR | Community-based Participatory Research |
References
- Vidovic, N.; Vidovic, S. Antimicrobial Resistance and Food Animals: Influence of Livestock Environment on the Emergence and Dissemination of Antimicrobial Resistance. Antibiotics 2020, 9, 52. [Google Scholar] [CrossRef]
- Heaney, C.D.; Myers, K.; Wing, S.; Hall, D.; Baron, D.; Stewart, J.R. Source Tracking Swine Fecal Waste in Surface Water Proximal to Swine Concentrated Animal Feeding Operations. Sci. Total Environ. 2015, 511, 676–683. [Google Scholar] [CrossRef]
- Hubbard, L.E.; Givens, C.E.; Griffin, D.W.; Iwanowicz, L.R.; Meyer, M.T.; Kolpin, D.W. Poultry Litter as Potential Source of Pathogens and Other Contaminants in Groundwater and Surface Water Proximal to Large-Scale Confined Poultry Feeding Operations. Sci. Total Environ. 2020, 735, 139459. [Google Scholar] [CrossRef]
- Rieke, E.L.; Soupir, M.L.; Moorman, T.B.; Yang, F.; Howe, A.C. Temporal Dynamics of Bacterial Communities in Soil and Leachate Water After Swine Manure Application. Front. Microbiol. 2018, 9, 3197. [Google Scholar] [CrossRef]
- Graham, D.W.; Bergeron, G.; Bourassa, M.W.; Dickson, J.; Gomes, F.; Howe, A.; Kahn, L.H.; Morley, P.S.; Scott, H.M.; Simjee, S.; et al. Complexities in Understanding Antimicrobial Resistance across Domesticated Animal, Human, and Environmental Systems. Ann. N. Y. Acad. Sci. 2019, 1441, 17–30. [Google Scholar] [CrossRef] [PubMed]
- Boripun, R.; Saengsawang, P.; Intongead, S.; Narinthorn, R.; Wongtawan, T.; Nissapatorn, V.; de Lourdes Pereira, M.; Mitsuwan, W. Molecular Characterization and Nucleotide Substitution of Antibiotic Resistance Genes in Multidrug-Resistant Escherichia coli Isolated from Environmental Swine Farms. Emerg. Contam. 2023, 9, 100249. [Google Scholar] [CrossRef]
- Shoaib, M.; He, Z.; Geng, X.; Tang, M.; Hao, R.; Wang, S.; Shang, R.; Wang, X.; Zhang, H.; Pu, W. The Emergence of Multi-Drug Resistant and Virulence Gene Carrying Escherichia coli Strains in the Dairy Environment: A Rising Threat to the Environment, Animal, and Public Health. Front. Microbiol. 2023, 14, 1197579. [Google Scholar] [CrossRef] [PubMed]
- Mitsuwan, W.; Intongead, S.; Saengsawang, P.; Romyasamit, C.; Narinthorn, R.; Nissapatorn, V.; Pereira, M.d.L.; Paul, A.K.; Wongtawan, T.; Boripun, R. Occurrence of Multidrug Resistance Associated with Extended-Spectrum Β--lactamase and the Biofilm Forming Ability of Escherichia coli in Environmental Swine Husbandry. Comp. Immunol. Microbiol. Infect. Dis. 2023, 103, 102093. [Google Scholar] [CrossRef]
- Li, B.; Jiang, L.; Johnson, T.; Wang, G.; Sun, W.; Wei, G.; Jiao, S.; Gu, J.; Tiedje, J.; Qian, X. Global health risks lurking in livestock resistome. Sci. Adv. 2025, 11, eadt8073. [Google Scholar] [CrossRef]
- Hoelzer, K.; Wong, N.; Thomas, J.; Talkington, K.; Jungman, E.; Coukell, A. Antimicrobial Drug Use in Food-Producing Animals and Associated Human Health Risks: What, and How Strong, Is the Evidence? BMC Vet. Res. 2017, 13, 211. [Google Scholar] [CrossRef]
- Aarestrup, F.M. The Livestock Reservoir for Antimicrobial Resistance: A Personal View on Changing Patterns of Risks, Effects of Interventions and the Way Forward. Philos. Trans. R. Soc. B Biol. Sci. 2015, 370, 20140085. [Google Scholar] [CrossRef] [PubMed]
- Amarasiri, M.; Sano, D.; Suzuki, S. Understanding Human Health Risks Caused by Antibiotic Resistant Bacteria (ARB) and Antibiotic Resistance Genes (ARG) in Water Environments: Current Knowledge and Questions to Be Answered. Crit. Rev. Environ. Sci. Technol. 2020, 50, 2016–2059. [Google Scholar] [CrossRef]
- van Dijk, C.E.; Garcia-Aymerich, J.; Carsin, A.-E.; Smit, L.A.M.; Borlée, F.; Heederik, D.J.; Donker, G.A.; Yzermans, C.J.; Zock, J.-P. Risk of Exacerbations in COPD and Asthma Patients Living in the Neighbourhood of Livestock Farms: Observational Study Using Longitudinal Data. Int. J. Hyg. Environ. Health 2016, 219, 278–287. [Google Scholar] [CrossRef] [PubMed]
- Bisdorff, B.; Scholhölter, J.L.; Claußen, K.; Pulz, M.; Nowak, D.; Radon, K. MRSA-ST398 in Livestock Farmers and Neighbouring Residents in a Rural Area in Germany. Epidemiol. Infect. 2012, 140, 1800–1808. [Google Scholar] [CrossRef]
- Carrel, M.; Schweizer, M.L.; Sarrazin, M.V.; Smith, T.C.; Perencevich, E.N. Residential Proximity to Large Numbers of Swine in Feeding Operations Is Associated with Increased Risk of Methicillin-Resistant Staphylococcus Aureus Colonization at Time of Hospital Admission in Rural Iowa Veterans. Infect. Control Hosp. Epidemiol. 2014, 35, 190–193. [Google Scholar] [CrossRef]
- Casey, J.A.; Curriero, F.C.; Cosgrove, S.E.; Nachman, K.E.; Schwartz, B.S. High-Density Livestock Operations, Crop Field Application of Manure, and Risk of Community-Associated Methicillin-Resistant Staphylococcus Aureus Infection in Pennsylvania. JAMA Intern. Med. 2013, 173, 1980–1990. [Google Scholar] [CrossRef]
- Forrester, J.D.; Cao, S.; Schaps, D.; Liou, R.; Patil, A.; Stave, C.; Sokolow, S.H.; Leo, G.D. Influence of Socioeconomic and Environmental Determinants of Health on Human Infection and Colonization with Antibiotic-Resistant and Antibiotic-Associated Pathogens: A Scoping Review. Surg. Infect. 2022, 23, 209–225. [Google Scholar] [CrossRef] [PubMed]
- Centers for Disease Control and Prevention (U.S.). Antibiotic Resistance Threats in the United States; Centers for Disease Control and Prevention (U.S.): Washington, DC, USA, 2019. [Google Scholar] [CrossRef]
- WHO Integrated Global Surveillance on ESBL-Producing E. coli Using a “One Health” Approach: Implementation and Opportunities. Available online: https://www.who.int/publications/i/item/9789240021402 (accessed on 2 September 2025).
- Banu, R.A.; Alvarez, J.M.; Reid, A.J.; Enbiale, W.; Labi, A.-K.; Ansa, E.D.O.; Annan, E.A.; Akrong, M.O.; Borbor, S.; Adomako, L.A.B.; et al. Extended Spectrum Beta-Lactamase Escherichia coli in River Waters Collected from Two Cities in Ghana, 2018–2020. Trop. Med. Infect. Dis. 2021, 6, 105. [Google Scholar] [CrossRef]
- Milenkov, M.; Rasoanandrasana, S.; Rahajamanana, L.V.; Rakotomalala, R.S.; Razafindrakoto, C.A.; Rafalimanana, C.; Ravelomandranto, E.; Ravaoarisaina, Z.; Westeel, E.; Petitjean, M.; et al. Prevalence, Risk Factors, and Genetic Characterization of Extended-Spectrum Beta-Lactamase Escherichia coli Isolated From Healthy Pregnant Women in Madagascar. Front. Microbiol. 2021, 12, 786146. [Google Scholar] [CrossRef]
- Milenkov, M.; Proux, C.; Rasolofoarison, T.L.; Rakotomalala, F.A.; Rasoanandrasana, S.; Rahajamanana, V.L.; Rafalimanana, C.; Ravaoarisaina, Z.; Ramahatafandry, I.T.; Westeel, E.; et al. Implementation of the WHO Tricycle Protocol for Surveillance of Extended-Spectrum β-Lactamase Producing Escherichia coli in Humans, Chickens, and the Environment in Madagascar: A Prospective Genomic Epidemiology Study. Lancet Microbe 2024, 5, 100850. [Google Scholar] [CrossRef]
- Puspandari, N.; Sunarno, S.; Febrianti, T.; Febriyana, D.; Saraswati, R.D.; Rooslamiati, I.; Amalia, N.; Nursofiah, S.; Hartoyo, Y.; Herna, H.; et al. Extended Spectrum Beta-Lactamase-Producing Escherichia coli Surveillance in the Human, Food Chain, and Environment Sectors: Tricycle Project (Pilot) in Indonesia. One Health 2021, 13, 100331. [Google Scholar] [CrossRef]
- Ruppé, E. Network for Enhancing Tricycle ESBL Surveillance Efficiency (NETESE) group. Lessons from a Global Antimicrobial Resistance Surveillance Network. Bull. World Health Organ. 2023, 101, 672–678. [Google Scholar] [CrossRef]
- Jimenez, K.; Kong, Y.; Zhang, Y.; Ferketic, D.; Nagori, S.K.; Yang, J.; Yulo, A.A.; Kramer, B.; Prado, O.G.; Cason, T.; et al. Evaluation of a Modified IDEXX Method for Antimicrobial Resistance Monitoring of Extended Beta-Lactamases-Producing Escherichia coli in Impacted Waters near the U.S.-Mexico Border. One Health 2025, 20, 100997. [Google Scholar] [CrossRef]
- Bengtsson-Palme, J.; Abramova, A.; Berendonk, T.U.; Coelho, L.P.; Forslund, S.K.; Gschwind, R.; Heikinheimo, A.; Jarquín-Díaz, V.H.; Khan, A.A.; Klümper, U.; et al. Towards Monitoring of Antimicrobial Resistance in the Environment: For What Reasons, How to Implement It, and What Are the Data Needs? Environ. Int. 2023, 178, 108089. [Google Scholar] [CrossRef]
- Chowdhry, R.; Jun, S.; Kong, Y.; Casillas Saenz, A.; Chung, J.; Chang, M.; Osborn, K.; Zhang, Y.; Bodeau, W.; Curristan, N.; et al. Community--Engaged Course--Based Undergraduate Research of Multidrug Resistance in Escherichia coli in Water Near Dairy and Hog Farms in Michigan. Environ. Microbiol. Rep. 2025, 17, e70151. [Google Scholar] [CrossRef]
- United States Environmental Protection Agency (EPA). Animal Feeding Operations (AFOs). Available online: https://www.epa.gov/npdes/animal-feeding-operations-afos (accessed on 2 September 2025).
- Korir, N.; Kirby, A.; Murphy, J.; Berendes, D. Evaluation of Prevalence and Change s in Antimicrobial-Resistant Faecal Organisms in Faecal Sludge and Wastewate r Treatment Plants, Naivasha, Kenya. In Proceedings of the 6th International Faecal Sludg e Management Conference, Virtual, 1–5 February 2021. [Google Scholar]
- MacWilliams, M.P. Indole Test Protocol; American Society for Microbiology (ASM): Washington, DC, USA, 2009; pp. 1–9. [Google Scholar]
- Bamidele, O.; Amole, T.A.; Oyewale, O.A.; Bamidele, O.O.; Yakubu, A.; Ogundu, U.E.; Ajayi, F.O.; Hassan, W.A. Antimicrobial Usage in Smallholder Poultry Production in Nigeria. Vet. Med. Int. 2022, 2022, 7746144. [Google Scholar] [CrossRef]
- Azabo, R.; Mshana, S.; Matee, M.; Kimera, S.I. Antimicrobial Usage in Cattle and Poultry Production in Dar Es Salaam, Tanzania: Pattern and Quantity. BMC Vet. Res. 2022, 18, 7. [Google Scholar] [CrossRef] [PubMed]
- Wallinga, D.; Smit, L.A.M.; Davis, M.F.; Casey, J.A.; Nachman, K.E. A Review of the Effectiveness of Current US Policies on Antimicrobial Use in Meat and Poultry Production. Curr. Environ. Health Rep. 2022, 9, 339–354. [Google Scholar] [CrossRef]
- Sayah, R.S.; Kaneene, J.B.; Johnson, Y.; Miller, R. Patterns of Antimicrobial Resistance Observed in Escherichia coli Isolates Obtained from Domestic- and Wild-Animal Fecal Samples, Human Septage, and Surface Water. Appl. Environ. Microbiol. 2005, 71, 1394–1404. [Google Scholar] [CrossRef] [PubMed]
- McEwen, S.A.; Fedorka-Cray, P.J. Antimicrobial Use and Resistance in Animals. Clin. Infect. Dis. 2002, 34, S93–S106. [Google Scholar] [CrossRef]
- King, T.L.B.; Schmidt, S. Assessment of Three Indigenous South African Herbivores as Potential Reservoirs and Vectors of Antibiotic-Resistant Escherichia coli. Eur. J. Wildl. Res. 2017, 63, 44. [Google Scholar] [CrossRef]
- Oliveira-Silva, M.; Goulart, R.S.; Moraes, M.A.; Nakamura-Silva, R.; Fujimoto, R.Y.; Sousa, R.C.; Kobayashi, R.K.T.; Medeiros, L.P.; Nakazato, G.; Pitondo-Silva, A. Multidrug-Resistant Escherichia coli Strains Isolated from Swine Manure Biofertilizer in Brazil. Environ. Monit. Assess. 2024, 196, 534. [Google Scholar] [CrossRef] [PubMed]
- Balazs, C.L.; Morello-Frosch, R. The Three R’s: How Community Based Participatory Research Strengthens the Rigor, Relevance and Reach of Science. Environ. Justice Print 2013, 6, 9–16. [Google Scholar] [CrossRef] [PubMed]
Disclaimer/Publisher’s Note: The statements, opinions and data contained in all publications are solely those of the individual author(s) and contributor(s) and not of MDPI and/or the editor(s). MDPI and/or the editor(s) disclaim responsibility for any injury to people or property resulting from any ideas, methods, instructions or products referred to in the content. |
© 2026 by the authors. Licensee MDPI, Basel, Switzerland. This article is an open access article distributed under the terms and conditions of the Creative Commons Attribution (CC BY) license.



