Next Article in Journal
Reliability Assessment of the Infrastructure Leakage Index for a Single DMA Using High-Resolution AMI Water Meter Data
Previous Article in Journal
Removal and Recovery of Ammonium Nitrogen from Dairy Processing Wastewater Using Air Stripping Technology: A Pilot-Scale Study
 
 
Font Type:
Arial Georgia Verdana
Font Size:
Aa Aa Aa
Line Spacing:
Column Width:
Background:
Article

Investigation of Scour Caused by Twin-Propeller Jet

by
Ayşe Hazel Hafızoğulları
1,
Kubilay Cihan
2,
Ayşe Yüksel Ozan
3,*,
Osman Yıldız
2,
İrfan Atabaş
4 and
Didem Yılmazer
5,†
1
Graduate School of Natural Sciences, Kırıkkale University, Kırıkkale 71450, Türkiye
2
Civil Engineering Department, Kırıkkale University, Kırıkkale 71450, Türkiye
3
Civil Engineering Department, Aydın Adnan Menderes University, Aydın 09010, Türkiye
4
Computer Engineering Department, Kırıkkale University, Kırıkkale 71450, Türkiye
5
Department of Civil Engineering, Tekirdağ Namık Kemal University, Tekirdağ 59860, Türkiye
*
Author to whom correspondence should be addressed.
Retired.
Water 2026, 18(2), 197; https://doi.org/10.3390/w18020197
Submission received: 20 November 2025 / Revised: 5 January 2026 / Accepted: 7 January 2026 / Published: 12 January 2026
(This article belongs to the Section Hydraulics and Hydrodynamics)

Abstract

This study investigated twin-propeller-induced scour on sandy seabeds with varying grain sizes (d50 = 0.11, 0.5, and 0.95 mm) through a series of laboratory experiments. The effects of propeller rotation speed (rpm), offset height (y0), propeller diameter (Dp), and sediment grain size (d50) on scour development were examined. Results indicated that sediment grain size significantly influences scour patterns. A key objective was to develop predictive expressions for primary scour characteristics at equilibrium: maximum scour depth (Smax), scour hole length (Lmax), and maximum scour width (Bmax). Using a nonlinear regression approach, the proposed expressions demonstrated strong predictive performance. Findings show that equilibrium scour depth increases with higher Froude numbers (F0) but decreases with larger sediment size (d50) and higher propeller offset (y0). Additionally, empirical equations were formulated to predict the temporal evolution of scour depth, achieving high correlations with experimental data (R2 > 0.97). These results enhance understanding of scour induced by unconfined twin-propeller jets in harbors or navigation channels and provide valuable data for the design and protection of harbor basins.

1. Introduction

Maritime transportation has experienced significant growth in recent years, resulting in substantial challenges during berthing and unberthing maneuvers in ports, particularly due to increased ship drafts and engine powers [1]. These issues are severe for older ports originally designed for smaller vessels [2]. When a ship is fully loaded, the channel depth significantly limits the selection of the vessel’s navigational route. Typically, a clearance exists between the seabed and the bottom of the ship to prevent grounding. However, high-velocity jets generated by ship propellers can spread into the port and reach the toe of port structures. The velocity of propeller jets can reach values of 1–2 m/s, which can cause unforeseen scouring and sedimentation problems in approach channels and navigable rivers [3].
The propeller water jet causes three interrelated problems on the seabed in ports: (i) scouring that damages berthing structures; (ii) sediment accumulation that reduces water depth and consequently hinders port operations; and (iii) resuspension of contaminated materials deposited on the seabed, leading to a decline in water quality [2].
In reality, there are many types of propellers and vessels, which makes it difficult to generalize the effects of propeller jets. However, certain vessel types are typically associated with specific types of propellers. For instance, ferries and Ro-Ro ships are commonly equipped with one or two bow thrusters and twin main propellers to perform maneuvers. Marzano et al. (2020) [4] noted that these vessels are among the most common in Mediterranean port operations [5]. Twin-propeller (TP) ships are vessels equipped with two counter-rotating propellers and are widely used in maritime transport. Most ships maneuver in an outward-turning propeller (OTP) mode and sometimes use an inward-turning propeller (ITP) mode during berthing.
In recent years, there has been an increase in the number of studies examining scouring problems caused by propeller jets. While earlier studies primarily focused on scour caused by a single propeller jet, more recent research has investigated scour caused by twin-propeller jets. In the literature, two different scouring scenarios are identified for both single- and twin-propeller problems:
(i)
Scouring that occurs when the propeller jet spreads without interacting with any structures, referred to as unconfined propeller jet flow;
(ii)
Scouring that occurs when the propeller jet interacts with a vertical berthing structure or a pile, referred to as confined propeller jet flow.
Hamill et al. (1999) [6] identified the maximum scour depth in front of quay walls caused by a single ship propeller in their study. Dimensional analysis revealed that the densimetric Froude number (F0) has the greatest impact on scouring. The densimetric Froude number is defined as F 0 = U 0 / g ρ s ρ d 50 where U0 is the efflux velocity, d50 is the median grain size, g is the gravitational acceleration, ρ is the water density, and ρs is the density of sediment particles.
In the unconfined scouring scenario without a vertical berthing structure, a symmetry relative to the propeller axis was observed, and a peak was found in the sediment accumulation zone at the end of the scour pit.
Hong et al. (2013) [7] experimentally investigated the scour problem caused by single propeller jets. They divided the development of the scour profile into four stages: initial, development equilibrium, and asymptotic. The final stage, known as the asymptotic scour profile, consists of a small scour region beneath the propeller, the main scour region, and the sediment accumulation zone. They also proposed an expression for the time-dependent maximum scour depth using experimental data.
Wei et al. (2017) [8] examined the effect of confined single propeller flows on scouring. To confine the flow, they placed a sloped revetment with a 1:1.5 gradient at the end of a sandy bed in the downstream region of the propeller, along with a vertical wall embedded into the sand at the toe of the slope. They analyzed the impact of jet diffusion and downstream flows on scouring for different propeller openings.
Penna et al. (2019) [9] conducted a study on the three-dimensional analysis of local scouring caused by a single propeller jet under unconfined conditions. They state that the scour hole is not necessarily symmetrical around the propeller’s longitudinal axis, as the swirling effect generated by the propeller causes asymmetry, resulting in a deeper scour on one side. Tan and Yüksel (2018) [10] experimentally investigated seabed scouring caused by single propeller jets. They proposed expressions to estimate the equilibrium scour depths under unconfined conditions.
Cui et al. (2019a) [11] experimentally studied and proposed equations to predict location-dependent scour profiles caused by both single and twin-propeller jets on a cohesionless seabed under unconfined flow conditions.
Cui et al. (2019b) [12] carried out an experimental study to determine the temporal variation in scour caused by twin propellers on a cohesionless seabed under unconfined flow conditions. Their findings led to the proposal of an expression for the temporal evolution of the maximum scour depth (Smax).
Cui et al. (2020) [3] experimentally examined the scour mechanism caused by twin propellers under unconfined conditions. Their experiments considered two different propeller rotation directions:
  • Inward-turning propellers (ITP);
  • Outward-turning propellers (OTP).
While a single scour hole was formed in the experiments conducted with ITP, two separate scour holes were formed in the experiments conducted with OTP.
Mujal-Colilles et al. (2018) [2] employed a 1:25 scale Ro-Ro ship model under the Froude model to investigate seabed scouring in confined twin-propeller jet conditions. Their experiments separately examined berthing and unberthing operations. Furthermore, they compared scour profiles from forward-reverse propeller operations during berthing/unberthing maneuvers with those produced during continuous forward or reverse operations.
Llull et al. (2021) [5] conducted an experimental study to investigate scour profiles on the seabed caused by confined twin-propeller jets in the presence of a vertical wall. The scour was examined for two operational modes:
  • Continuous forward propeller operation;
  • A combination of forward and reverse propeller operation.
For both scenarios, equations were proposed to describe the temporal evolution of scouring.
Suljevic and Kesgin (2025) [13] studied the scour problem caused by twin-propeller jets in cohesionless soils under various wall conditions. They proposed expressions to estimate scour for different wall configurations.
As summarized from the literature, investigations of scouring caused by single propeller jets have considered both confined (e.g., vertical wall, pile, or sloped revetment) and unconfined flow conditions for cohesionless seabed. In unconfined flow conditions, parameters such as varying bed material diameters (d50), different propeller heights (y0), different propeller diameters (Dp), and various propeller rotation speeds (rpm) have been used. Based on these parameters, expressions have been proposed to estimate maximum scour depth (Smax) either at equilibrium or as a function of time.
This study aims to fill a critical gap in the existing literature on propeller-induced scour. It is the only research that comprehensively investigates the effect of seabed sediment size, one of the most influential factors governing propeller-induced scour depth and morphology. While previous studies typically employed a single, fine-grained material, the present study considers sediment size (fine, medium, and coarse sand) as the primary independent variable. This narrow focus limits the applicability of current predictive formulas, as sediment grain size plays a crucial role in scour development. By systematically investigating the effects of fine, medium, and coarse sand on scour caused by unconfined twin-propeller jets, this research addresses a significant shortcoming in the field. Furthermore, based on the experimental data, this study develops new empirical equations with high accuracy for all key equilibrium dimensions of the propeller-induced scour hole, including depth, length, width, and deposition height. By incorporating a broad range of sediment conditions and providing empirical relations for multiple dimensional characteristics, the present study offers a more comprehensive and holistic representation of scour morphology. These findings are not only expected to advance academic understanding but also provide practical guidance for safer and more effective design in marine and coastal engineering applications.

2. Experimental Set-Up

The experiments were conducted in the Hydraulics Laboratory of Kırıkkale University, using a test tank with dimensions of 2 m in width, 1 m in height, and 3.2 m in length. For the placement of cohesionless soil in the experiments, a box measuring 1.5 m in width, 0.30 m in height, and 1.70 m in length was used. In each experiment, the water level was maintained at a constant 0.40 m above the sand surface. Care was taken during the tank’s filling to avoid disturbing the sand bed. Figure 1 provides a schematic representation of the test tank.
To simulate twin-propeller conditions in the experiments, a propeller-motor-control system was designed. In this system, the propellers are capable of operating in both inward and outward rotational directions and can also be used as a single-propeller system when necessary. The system operates within a propeller speed range of 300 to 1500 rpm. The horizontal distance between the propellers (G) and their vertical position can be adjusted. The propeller system is controlled via a panel, which manages two submersible motors connected to the system.
The propellers used in the experimental setup were produced using a K1 Max AI Fast 3D Printer (Creality, Shenzhen, China). Both the propellers and the shafts to which they are attached were made using rigid plastic materials.
To prepare a cohesionless seabed, three different sizes of quartz sand were used, corresponding to fine, medium, and coarse sand classifications.
The grain size distribution curves of the cohesionless materials used are presented in Figure 2. The d50 values of the materials are 0.11 mm, 0.5 mm, and 0.95 mm, respectively. Based on these values, it is evident that the materials fall into the categories of fine, medium, and coarse sand. The particle size distribution of the sediment is characterized by the geometric standard deviation, defined as:
σ g = d 84 d 16
where d16 and d84 represent the grain diameters at which 16% and 84% of the sample are finer by weight, respectively.
The geometric standard deviation (σg) values for fine, medium, and coarse sand were determined as 1.36, 1.16, and 1.21, respectively. According to the classification proposed by [14], these values indicate that the fine and coarse sands are well-sorted, while the medium sand is very well-sorted.
A four-beam, downward-looking Acoustic Doppler Velocimeter Profiler (ADVP) was employed to measure scour depth due to its ability to detect the bottom boundary accurately. The ADVP determines the distance from the central transducer to the seabed, with a maximum measurement range of 35 cm. To monitor changes in the seabed profile during the experiments, the ADVP was mounted on a transverse system. The initial bed level was recorded as the reference elevation, and subsequent measurements were taken at various time intervals to determine when the scour reached an equilibrium state. Scour profile measurements were performed at 2 cm intervals along the bed.
An advantage of using the ADVP is its capability to perform measurements while fully submerged, enabling accurate seabed profiling underwater. Bed profiles were recorded at 5, 15, 30, 45, and 60 min, then at 120 min, and subsequently at 2 h intervals by ADVP. During these measurement periods, the propeller was turned off. Previous studies by [7,15] indicated that operating the propeller during measurement does not significantly influence the development of the scour profile.
To obtain 3D representations of equilibrium bed profiles, a a Shining EinScan H handheld 3D scanner (Shining 3D Technology Co., Ltd., Hangzhou, China) was used. This is a handheld color 3D scanner equipped with a 5 MP texture camera, dual light sources (white LED and infrared VCSEL laser), allowing for high-quality scanning.
The scanner can save scan data in various file formats (e.g., *.ply, *.stl, *.asc) and supports different resolution settings. Data can be captured at resolutions ranging from 0.2 mm to 3 mm.
In the experiments, the 3D scanner was used to perform a detailed three-dimensional analysis of the scour profile. By scanning the bed surface before and after the experiments, the scour pattern formed by the propeller jet could be analyzed in relation to different parameters.
Since the scanned surface shows no significant depth variation before the experiment, reflectors were used to ensure accurate data acquisition. Additionally, including fixed reference points (such as the twin-propeller system) in the 3D scan data is essential for reliable post-experiment evaluation. Reflectors placed on the surface to be scanned before and after the experiment are shown in Figure 3.
To evaluate the pre- and post-experiment surface scans captured by the camera, the free and open-source software CloudCompare v2.14 was used to align both scans (in point cloud format) within the same coordinate system. The resulting point cloud data were then imported into QGIS, where raster data were generated for both conditions using the Inverse Distance Weighting (IDW) interpolation method. To obtain the bed deformation pattern, the raster data representing the initial condition were subtracted from the raster data representing the equilibrium condition.
The experimental test conditions are summarized in Table 1. In this study, scour development was examined on seabeds composed of sands with three different median grain sizes (d50): 0.11 mm (fine), 0.50 mm (medium), and 0.95 mm (coarse).
Experiments were carried out in a test tank. Two propeller diameters (Dp) were tested—5 cm and 7.5 cm—at three rotational speeds of 500, 750, and 1000 rpm. The vertical offset between the propeller axis and the initial bed surface (y0) was set to 5 cm and 10 cm. The distance between propellers (G) is 2Dp.
Bed evolution was monitored over time. Bed profiles were recorded at 5, 15, 30, 45, and 60 min, then at 120 min, and subsequently at 2 h intervals. The tests continued until the difference between consecutive maximum scour depths (Smax) was less than approximately 2 mm, indicating equilibrium conditions. Each test lasted approximately 12 h.
The experimental results indicate that the scour profile parameters, namely Smax, Bmax, and Lmax, are dependent on the following experimental variables.
S m a x , B m a x , L m a x = f U 0 , D p , d 50 , y 0 , ρ , ρ w , g , υ
The dimensionless parameters governing the scour profile were identified using the Buckingham Π theorem (Equation (3)). ρ, g, and U0 were selected as the fundamental variables, following the approach of [10]. For further details, readers are referred to [10].
S m a x D p , B m a x D p , L m a x D p = f F 0 , y 0 D p , y 0 d 50 , t D p / U 0
Here, F0 represents the densimetric Froude number. Meanwhile, Smax is the maximum scour depth, Lmax is the maximum length of the scour hole, and Bmax is the maximum width of the scour hole.
Rajaratnam (1981) [16] concluded that viscous effects are negligible when the propeller jet Reynolds number (Ref) exceeds 10,000. Later, Ref. [17] proposed that viscosity can be disregarded if the propeller’s Reynolds number (Reprop) is above 7 × 104 and the flow’s Reynolds number (Reflow) is greater than 3 × 103. The equations (Equations (4) and (5)) below can be used to calculate both Reprop and Reflow:
R e f l o w = U 0 D p ν
where ν is defined as kinematic viscosity (m2/s).
R e p r o p = n D p L m ν
Here, n is the frequency of propeller rotation, ν represents kinematic viscosity, and Lm represents the characteristic length of the propeller, calculated using the equation (Equation (6)) provided by [18] as follows:
L m = β D p π 2 N 1 D h D p 1
where Dh is the diameter of the propeller hub, β is the blade area ratio (BAR) of the propeller, and N is the number of propeller blades.
In this study, while the Reflow values range from 19,500 to 88,000, the Reprop values vary between 1694 and 7626. Since the Reflow values exceed 10,000, the effect of viscosity was neglected in the dimensionless parameters.
The results detailing the scour profiles formed on sandy seabeds of varying particle sizes, under unconfined twin-propeller jet conditions, are presented in dimensionless form in the Table A1 given in Appendix A.
The complete matrix of experimental conditions is summarized in Table 1. Each test configuration was repeated for all three sediment sizes.

3. Methodology

3.1. Determination of Bed Profile

The following procedure was used to determine changes in the bed profile. The bed profile measurement procedure is outlined below to determine the bed profile in the experiments. It has three steps, which are before the propeller is activated, during the experiments, and after the equilibrium conditions.
(i)
After laying the sand bed, the tank was filled with water and left undisturbed for a period to allow the settlement of the bed material. Then, the water was drained until the channel bed surface became visible, and a 3D scan of the surface was performed using a Shining EinScan H handheld 3D scanner (Shining 3D Technology Co., Ltd., Hangzhou, China). Once the scan was completed, the tank was refilled in a controlled manner to avoid disturbing the bed profile. Before the propellers were activated, reference bed measurements were taken using the ADVP Vectrino II for unconfined experiments, aligned with the propeller axes and their plane of symmetry.
(ii)
During the first hour of the experiment, bed profiles were recorded using the ADVP at the 5th, 15th, 30th, 45th, and 60th minutes. After the 60th minute, the time intervals between measurements were increased. Following the first hour, the propeller system was operated for an additional hour before it stopped functioning. Afterward, another bed profile measurement was taken. Subsequent measurements were conducted at two-hour intervals. The bed profile measurements with ADVP were performed along the propeller lines and the axis of symmetry at these intervals.
(iii)
Based on successive bed-level measurements, the scour profile was considered to have reached equilibrium when the difference between the Smax values was within ±1 mm. The experiments were continued until this condition was satisfied. Once equilibrium conditions, as defined by [7] as the point at which the dimensions of the scour hole remain constant, were reached, the experiment was concluded, and the water was carefully drained from the tank to avoid damaging the final bed profile. After the tank was completely emptied, the entire bed surface was scanned with the 3D camera. The pre- and post-experiment 3D surface data were processed using image analysis techniques, and the differences between the two surfaces were used to construct a 3D model of the scour hole.

3.2. Velocity Measurements

To determine the propeller efflux velocities, point velocity measurements were conducted in the vertical direction at 0.5–1Dp from the propeller using the ADVP for a single propeller condition. The data acquisition frequency was set to 100 Hz, and the data collection duration for each measurement point was 60 s.
Similarly to existing literature on single propeller velocity distributions (e.g., ref. [19,20]), the velocity distribution immediately in front of the propeller in a twin-propeller configuration also displays a double peak pattern. Figure 4a,b show the velocity profiles obtained at 500 rpm and 750 rpm rotational speeds, respectively.
The method proposed by [21] was found to be the most consistent with the experimental results. The propeller efflux velocity was calculated using the following formula.
U 0 = 1.59 n D p C T 0.5
where n defines the frequency of propeller rotation (1/s), Dp is the propeller diameter, and CT is the thrust coefficient of the propeller, which is 0.35. According to [22], if the thrust coefficient (CT) is unknown, an average value of 0.35 can be used. The thrust coefficient C T was determined using the jet exit velocity U 0 obtained from velocity measurements conducted with an Acoustic Doppler Velocity Profiler (ADVP). The measured U 0 values were substituted into Equation (7) to back-calculate the thrust coefficient for propeller rotational speeds of 500 and 750 rpm, yielding C T values of 0.36 and 0.31, respectively. Based on these results, adopting a representative value of C T = 0.35 is considered reasonable for the present study.

3.3. Evaluation of Scanning Data

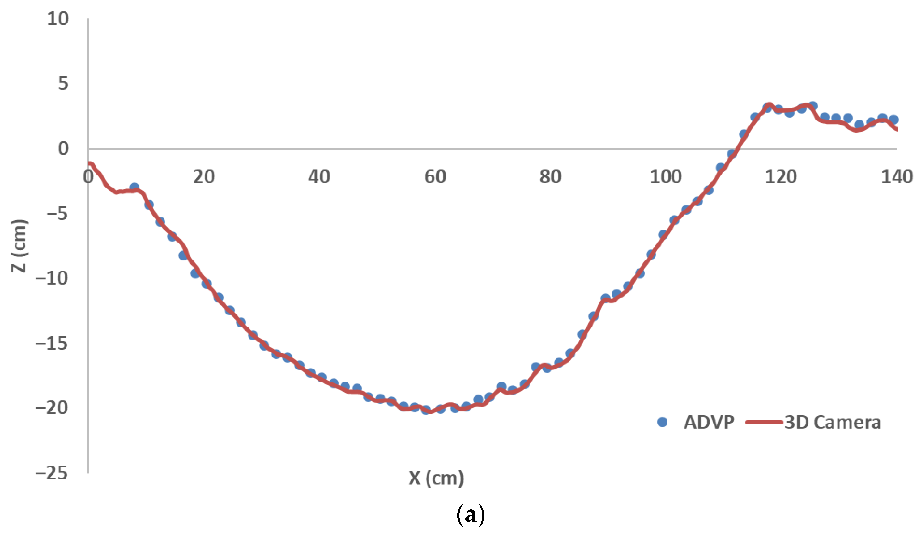
Figure 5a shows the bed profiles taken along the longitudinal direction from the symmetry axis using the ADVP, along with the 3D bed patterns obtained using the 3D camera. The profiles taken along the longitudinal direction from the symmetry center of the propellers show fairly good agreement when compared with the 3D scan results. This indicates that both measurement methods effectively capture the same features and details of the bed morphology. The 3D scan of the equilibrium scour pattern for Test 7 (Dp7.5_750_y05) with d50 = 0.11 mm is shown in Figure 5b.

4. Results and Discussion

4.1. Obtained Experimental Scour Profiles

Building on the mechanism proposed by [3], the present experiments were conducted to quantify how varying sediment size, propeller offset height, and rpm influence the scour morphology under similar hydrodynamic conditions. Figure 6 illustrates the temporal variation in the bed profiles along the symmetry axis under specific experimental conditions: a rotation speed of 750 rpm, a propeller elevation (y0) of 5 cm, a propeller diameter (Dp) of 7.5 cm, and a grain size (d50) of 0.11 mm. The maximum scour depths are observed along the symmetrical axis, an observation consistent with the experimental findings of [3] for inward-turning propellers (ITP).
When examining the temporal evolution of the scour hole, it is evident that the development is rapid during the first hour. However, after the fourth hour, the increase in scour depth slows down significantly. Furthermore, the location of the maximum scour depth shifts downstream over time, indicating a progressive displacement of the scour hole in the direction of the flow. Additionally, a deposition zone is observed at the downstream end of the main scour hole, followed by the formation of small sand ripples.
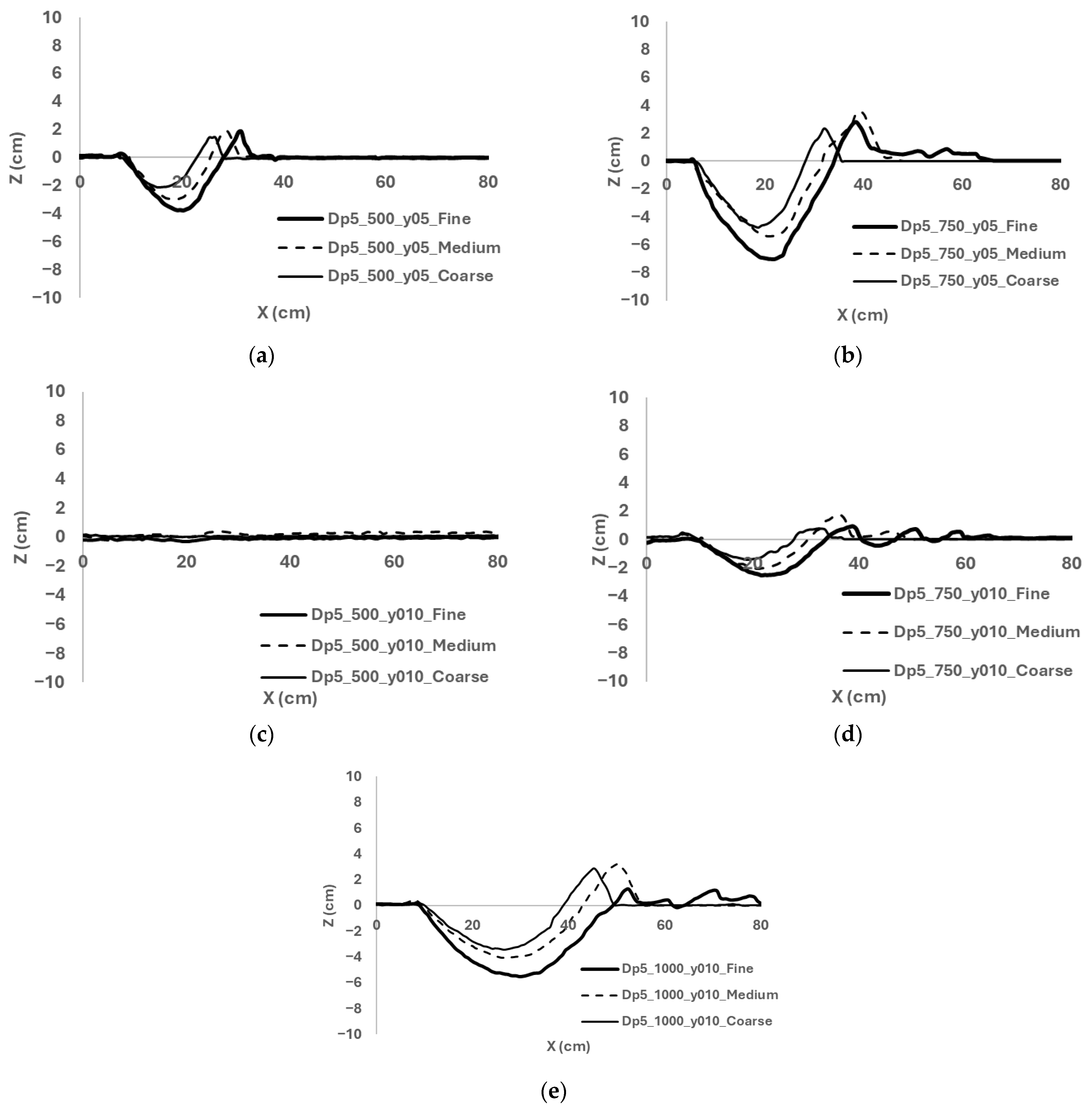
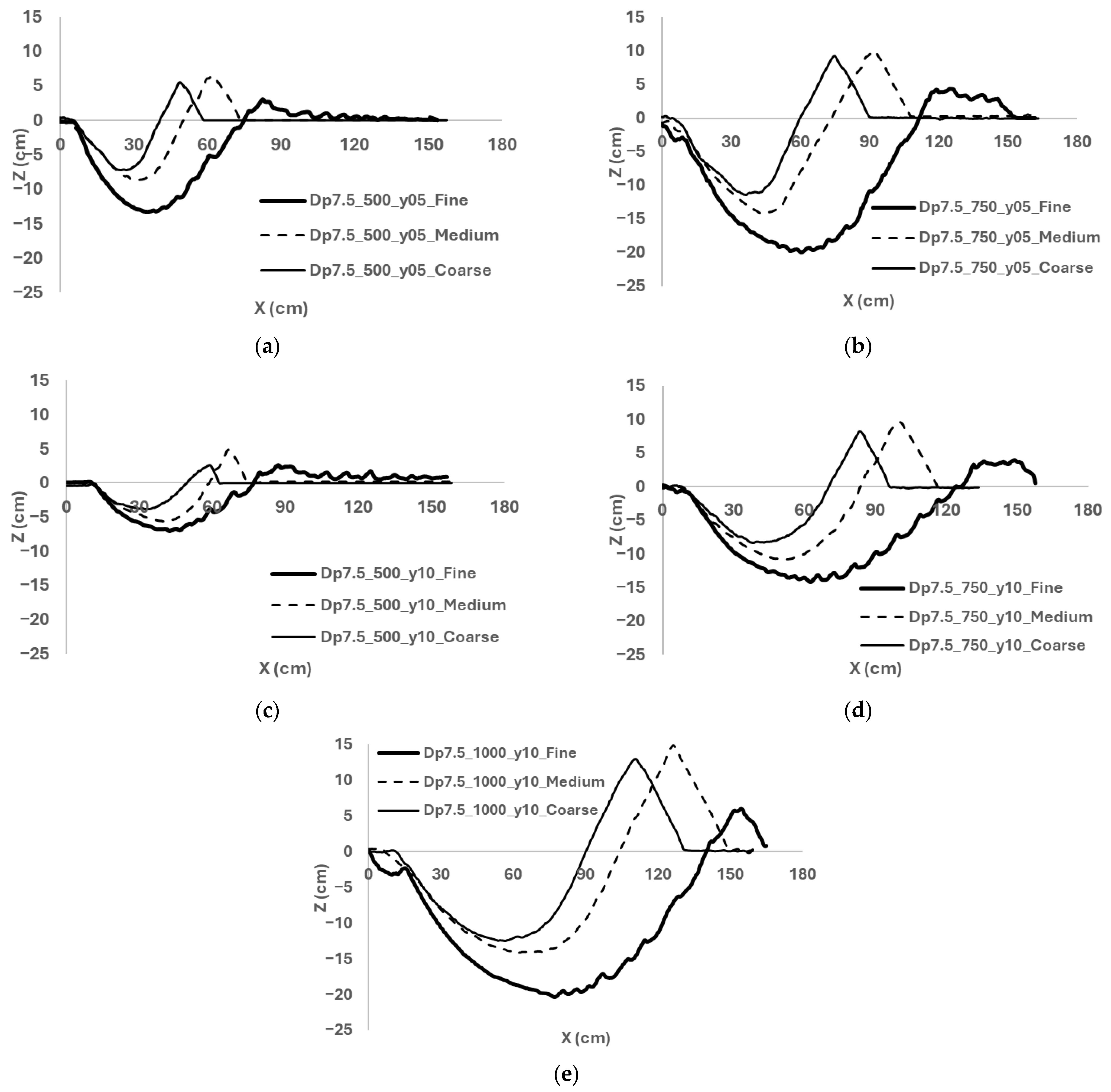
This investigation considered variations in propeller diameters, rotational speeds, and propeller heights. The typical characteristics used to evaluate and compare scour profiles are Smax, Bmax, and Lmax values. Smax represents the maximum scour depth, while Bmax is the widest distance of the scour hole in the transverse direction, and L denotes the length of the scour hole. The scour profiles obtained along the symmetrical axis of the propeller under the same conditions in the experiments conducted with fine, medium, and coarse sands are presented together in Figure 7 and Figure 8. Generally, the largest scour is observed in the seabed composed of fine sand under the twin-propeller jet effect. As expected, depth decreases as the grain size of the sand increases. However, the length of the scour hole (Lmax) is longest in fine sand and shortest in coarse sand.
The propeller height (y0) appears to have a significant effect on the scour profile. For example, when y0 = 5 cm, distinct scour profiles are formed at a rotational speed of 500 rpm (Figure 7a), while when y0 = 10 cm, no scour profiles are formed for all three sand types at the same rotational speed (Figure 7c). Also, as the propeller rotational speed increases, the scour depth decreases for larger y0 values in all three types of sands (see Figure 7 and Figure 8).
Another effect of y0 is the displacement of the location of the scour profile. A higher y0 shifts the point where the propeller jet reaches the seabed, thereby increasing the distance between the scour hole and the propeller. Additionally, especially on the seabed composed of fine sand, sand ripples are observed in the deposition zone. This is because the transport of fine sand occurs both by bed load transport and suspended load transport over short distances. As the sand grain size increases, bed-load transport becomes dominant, and the equilibrium profiles develop more uniformly.
The effect of propeller diameter is one of the most important parameters influencing scour. As the propeller diameter increases, the efflux velocity of the jet increases, resulting in larger scour profile dimensions (such as scour depth, scour length, and deposition zone height) on the seabed.
At the end of the scour hole, a deposition zone forms as flow conditions decrease. The accumulation of sand in this region develops in relation to the development of the scour hole. As the depth of the scour hole increases and the influence of the propeller jet begins to weaken, the development of the deposition zone slows down and eventually reaches equilibrium. On a fine sand bed, under the influence of the propeller jet, transport takes place both as bed load and as short-range suspended transport. As grain size increases, bed load transport becomes more dominant. Therefore, the height of the deposition zone on medium and coarse sand beds is greater than that on fine sand. The deposition zone exhibits a well-defined shape with a smooth, single-sloped profile. Due to the influence of sediment weight, coarse sand particles cannot be transported on the slope as easily as medium sand particles. As a result, the height of the deposition crest on coarse sand beds is lower than that on medium sand beds. However, on fine sand beds, the total height of the accumulation zone is lower due to the suspension of sand by the propeller jet, leading to the formation of sand ripples behind it (see Figure 7 and Figure 8).
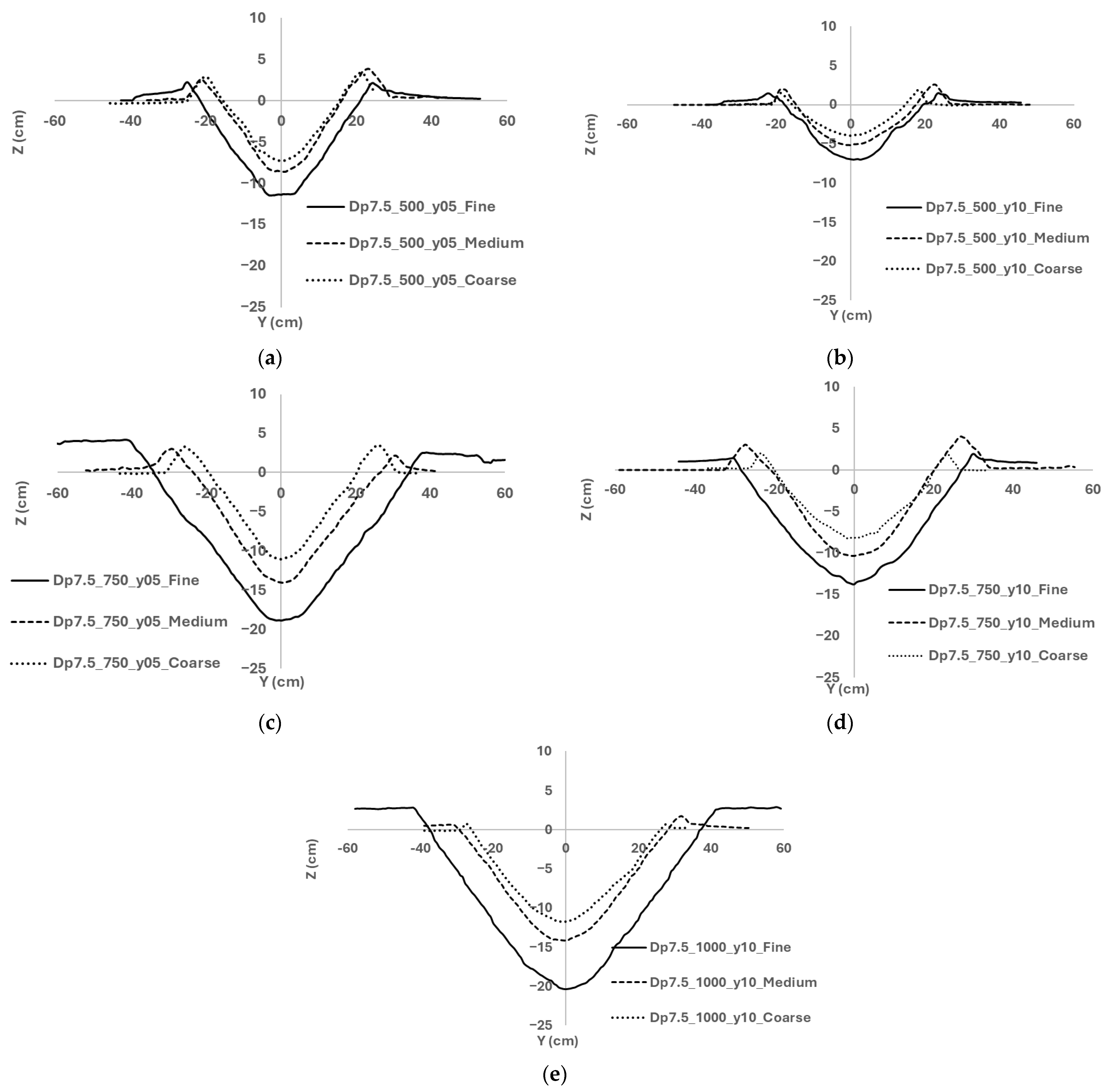
Figure 9 and Figure 10 show the transverse scour profiles at the location of maximum scour width for different sand types under equilibrium conditions with Dp = 0.05 and Dp = 0.075 m. According to the results given above, the most influential parameters affecting the equilibrium scour profiles are y0 and the propeller rotation speed (rpm). A reduction in y0 at constant rpm, or an increase in rpm while keeping y0 constant, leads to an increase in the dimensions of the scour profiles. It is clearly observed that both scour depth and width decrease with decreasing propeller diameter, under identical propeller rotational speeds. Conversely, scour depth and width increase as the sand grain size decreases. Due to the inward rotation of the twin propellers, the sediment deposition in the transverse direction appears to be nearly symmetrical. On the other hand, the deposition heights on medium and coarse sand seabeds are generally greater than those observed on fine sand seabeds due to the higher suspended sediment transport capacity of fine sand.
Figure 11 illustrates the ratio of dimensionless scour depths (Smax/Dp) for fine and medium sands compared to coarse sand under identical conditions. The continuous line with a unit value in Figure 11 represents the Smax/Dp conditions for coarse sand. As all data points lie above this line, it indicates that, under the same conditions, the Smax/Dp values for fine and medium sands are greater than those for coarse sand. This can also be attributed to the enhanced turbulent diffusion and bed shear stress in finer sediments, leading to greater entrainment and sediment mobility.
The deepest scour occurs in the fine sand bed, as its smaller d50 offers the least resistance to the propeller-induced jet. In contrast, the lowest scour depths are observed in coarse sand beds, where the larger d50 provides greater resistance to jet-induced erosion. Table 2 summarizes the comparative scour ratios obtained under various propeller speeds and propeller-bed distance ratios (Smax/Dp).
Referring to Figure 7c, when y0/Dp = 2, the Smax/Dp values for all sediment types approach zero when F0 reaches:
  • 9.289 for fine sand;
  • 4.357 for medium sand;
  • 3.161 for coarse sand.
This observation is valid for conditions where y0 = 10 cm, Dp = 5 cm, and the propeller speed is 500 rpm.
Figure 12 indicates the ratio of dimensionless scour lengths (Lmax/Dp) for fine and medium sands compared to those obtained for coarse sand under identical test conditions. Here, Lmax/Dp represents the maximum scour length, and the continuous line with a unit value indicates Lmax/Dp conditions for coarse sand. As seen in the Figure 12, nearly all points are located above this line, indicating that the Lmax/Dp values for fine and medium sands are larger than those of coarse sand under the same test conditions. It also appears that the largest Lmax/Dp occurs in fine sand conditions. When y0/Dp is 0.67 (i.e., y0 = 5 and Dp = 7.5 cm), relatively high L/Dp values are obtained. It was found that Lmax/Dp could not be obtained in all sediment types when y0/Dp = 2 (i.e., y0 = 10 cm, Dp = 5 cm) at a rotation speed of 500 rpm. This occurred when the Froude number (F0) reached:
  • 9.289 in fine sand;
  • 4.357 in medium sand;
  • 3.161 in coarse sand.
Figure 13 displays the ratio of dimensionless scour widths (Bmax/Dp) obtained for fine and medium sands to those obtained for coarse sand under identical conditions. Here, Bmax is the maximum scour width, and the continuous line with a unit value represents Bmax/Dp conditions for coarse sand.
Most data points for fine and medium sands fall above this line, indicating that their Bmax/Dp values are higher than those for coarse sands under identical test conditions. This suggests that fine sands generally lead to larger scour widths, likely due to their increased susceptibility to suspended transport. It is also noted that the Bmax/Dp ratio does not consistently form across all sediment types, a behavior similar to that observed for L/Dp. This occurs when y0/Dp = 2 and the densimetric Froude number (F0) reaches values of 9.289 for fine sand, 4.357 for medium sand, and 3.161 for coarse sand, respectively. These specific values correspond to experimental conditions where y0 = 10 cm, Dp = 5 cm, and the propeller speed is 500 rpm.

4.2. Estimation of Scour Profile Parameters

To obtain the scour dimensions from the experimental results, a nonlinear regression analysis was performed using SPSS 22 software. The maximum scour depth ( S m a x ) is the primary characteristic defining the scour hole generated by the propeller jet. The equilibrium values of the dimensionless scour parameters S m a x / D p , L m a x / D p , and B m a x / D p were correlated with the non-dimensional parameters F 0 , y 0 / D p , and y 0 / d 50 . The parameter G / D p was not included in the regression analysis because it was maintained at a constant value of 2 throughout the experiments; however, this limitation should be considered when evaluating the general applicability of the proposed equations.
Following the functional form (Equation (8)) proposed by [7] for describing scour characteristics, the general nonlinear expression used in this study is given as:
S m a x D p , L m a x D p , B m a x D p = K 1 F 0 K 2 K 3
where K1, K2 and K3 are regression coefficients are determined based on the experimental data (see Table A2 and Table A3 in the Appendix B). Among the examined parameters, F 0 exhibited the highest correlation with all three scour hole dimensions and was therefore selected as the governing variable in the final formulations.
Figure 14 presents a composite comparison between measured and calculated values for all scour dimensions: (a) maximum scour depth S m a x / D p , (b) scour hole length L m a x / D p , (c) scour hole width B m a x / D p , and (d) the overall predictive performance. As shown in Figure 14a, the proposed equation for S m a x / D p demonstrates excellent agreement with the experimental data, yielding an R 2 value of 0.99 and an RMSE of 0.069. Similarly, Figure 14b,c indicate strong predictive capability for L m a x / D p and B m a x / D p , with R 2 values of 0.92 and 0.91 and RMSE values of 1.00 and 0.528, respectively.
The validity ranges of the proposed equations are identical for all three scour dimensions and are defined as 0.67 < y0/Dp < 2, 3.16 < F0 < 27.87, 52.63 < y0/d50 < 909.09, and G/Dp = 2.
While the equations above describe the dimensions of scour profiles, they do not specify the location of maximum scour (Smax). To address this, ref. [9] introduced a relationship for single propeller water jet conditions to determine Xmu, which represents the distance from the propeller face to the position of maximum scour in the equilibrium profile. The equation is based on F0, which is the densimetric Froude number, and C, which corresponds to the clearance of the propeller blade tip.
In the present study, Xmu/Dp values range from 4.07 to 10.28 for fine sand, 3.73 to 8.22 for medium sand, and 3.14 to 7.57 for coarse sand. It is evident that increasing sediment size results in a narrower range of Xmu/Dp values.
Based on these observations, the current study proposes an equation (Equation (9)) to predict Xmu/Dp by incorporating the following dimensionless parameters:
X m u D p = f F 0 , y 0 D p , y 0 d 50
The following relationship (Equation (10)) was obtained for predicting the dimensionless location of maximum scour depth defined as Xmu/Dp. Figure 14d demonstrates high agreement between the calculated and measured Xmu/Dp values, with an R2 value of 0.84. The RMSE between the calculated and observed values was 0.71. It indicates a good level of agreement between the calculated and observed values (see Table A4 in Appendix B for the coefficients).
X m u D p = K 1 F 0 K 2

4.3. Time-Dependent Scour Depth Prediction

Given the critical importance of evaluating the temporal change in erosion for implementing effective measures in ports or navigation channels, the temporal evolution of scour was also investigated experimentally in this study. Figure 15a–c presents the variation in the ratio of the temporally maximum scour depth to the equilibrium scour depth (Smax,t/Se) with dimensionless time ( t / t e ), where t denotes time and t e denotes the time at which the scour profile reaches equilibrium.
According to the results, the temporal variation in the scour ratio during the initial two hours of the experiment shows distinct ranges based on material size: 50–81% for fine material, 56–86% for medium material, and 62–94% for coarse material. Additionally, a notable observation is that when y0 = 10 cm, the resulting scour ratios are lower compared to the case where y0 = 5 cm.
For fine material, the scour ratio’s variation is more uniform, while medium and coarse materials exhibit a sharper initial increase during the first two hours. This indicates that as particle size decreases, the propeller jet continues to mobilize the bed material for a longer duration.
During the experiments, the bed profiles were measured at specific time intervals using an ADVP. This allowed for the temporal variations in the Smax,t/Dp values to be obtained. The following equation form (Equation (11)), originally developed by [10] for predicting the temporal variation in scour under a single propeller jet, was applied to the results of this study (see Table A4 in the Appendix B for the coefficients)
S m a x , t D p = K 1 l o g U 0 t D p K 2 K 3
Figure 16 shows a high agreement between the calculated and measured time-dependent Smax,t/Dp values, with an R2 value of 0.98. However, it is worth noting that the derived equations are not valid for Smax values less than 0.5 cm. For Smax < 0.5 cm, measurement uncertainty and insufficient sediment mobilization are likely to reduce the regression accuracy; this limitation should be discussed explicitly.

4.4. Comparison with Previous Studies

The methods proposed in the literature for predicting scour under the influence of twin-propeller jets are summarized in Table 3. The differences between the conditions under which these methods were developed and those adopted in the present study can be outlined as follows:
Suljevic and Kesgin (2025) [13] conducted experiments using co-rotating propellers, which generate different velocity distributions compared to the inward-rotating propellers employed in the present study. Consequently, the scour patterns formed on the bed surface differ markedly. In particular, an asymmetric scour profile develops, with greater scour depths observed on the side corresponding to the direction of rotation. Moreover, their experiments were limited to 150 min, and the Froude number range (F0) was relatively low, restricting the applicability of their proposed equations.
Yew (2017) [23] also utilized a co-rotating twin-propeller configuration, which results in distinct jet interactions and scour characteristics compared with the inward-rotating setup investigated in the present study.
Cui (2019) [11,12] proposed empirical formulations to estimate the temporal variation in scour depth caused by outward-rotating propellers. However, their experiments were conducted exclusively with fine sand, and the results were reported to be valid for a relatively short experimental duration of two hours.
Cui et al. (2020) [3] investigated the seabed scour mechanism induced by inward-turning (ITP), outward-turning (OTP), and single propellers (SP) using an experimental setup with Acoustic Doppler Velocimetry (ADV). They reported that, after 2 h, the scour depth reached approximately 87% of the value observed after 7 days. Although the scour rate decreases significantly after the first 0.5 h, continuous scouring up to 7 days contributed an additional 13%. Thus, the variation in scour depth after one week was only 13% higher than that after 2 h, and the ultimate long-term scour depth was estimated to be less than 20% greater than the 2 h value. Their experiments were performed at rotation speeds of 500 and 700 rpm, with a constant distance of 110 mm between the propeller axes. The equations proposed for estimating scour depth were derived based on scour depths observed under single-propeller (SP) conditions and should therefore be regarded as estimation tools rather than precise engineering solutions.
Therefore, it can be concluded that experimental data available in the literature for validating empirical equations developed under similar conditions are highly limited, primarily due to differences in propeller rotation configurations, sediment types, and experimental durations.
The equations proposed in the literature for predicting scour induced by twin propeller jets are presented in Table 3. Among these, one of the formulas proposed by [3] is compatible with the inward-rotating twin propellers used in the present study. The proposed method is based on the approach originally introduced by ref. [6]. Figure 17 compares the predicted and measured Smax/Dp values obtained using the temporal scour development model of ref. [3] with the experimental data from the present study.
However, for a meaningful comparison, limits of the experimental conditions were selected in accordance with the parameters given in [6], and only the experimental data generated within these limits were used. It was observed that the difference in sediment size strongly affects the discrepancy between measured and predicted scour depths. Two sediment diameters (0.11 mm and 0.50 mm) used in the present study lie outside the parameter range of [6] and were therefore excluded from the comparison. Based on the remaining dataset, it was found that the method of [3] generally predicts larger scour values than those measured in the experiments.
Furthermore, ref. [3] reported two measured Smax values for inward-turning propellers (ITP). Using the experimental conditions provided in their study, the equation proposed herein (Equation (10)), which predicts Smax,t/Dp, was applied to estimate the Smax/Dp values at the end of 2 h. The experimental conditions of [3] and the calculated results are summarized in Table 4. The comparison indicates that the prediction errors remain low.

5. Conclusions

This study experimentally investigated the scour induced by twin-propeller jets under unconfined conditions, focusing on key parameters such as sand grain size, propeller rotation speed, propeller offset height, and densimetric Froude number. The results showed that the inward-rotating twin-propeller jets produce a scour profile similar to that of a single propeller, with the maximum depth occurring along the symmetry plane between the propellers. Among the examined parameters, propeller rotation speed and offset height were found to exert the strongest influence on the scour dimensions. Sand grain size also played a critical role: finer sands exhibited more pronounced sediment displacement and the formation of sand ripples at higher y0/Dp ratios, whereas medium and coarse sands led to deeper deposition mounds and smoother slopes due to dominant bed-load transport.
Temporal measurements of maximum scour depth, obtained using the ADVP system, revealed a rapid initial increase followed by a gradual approach to equilibrium, where sediment transport by the jet was balanced by deposition within the scour pit, consistent with the equilibrium concept proposed by [24]. Nonlinear regression equations were developed to predict both the non-dimensional scour parameters and the time evolution of maximum scour depth, showing strong agreement with experimental data (R2 = 0.97) and demonstrating their potential applicability for engineering predictions. Additionally, 3D scanning of the bed surface provided contour maps that closely matched longitudinal profiles along the propeller symmetry axis, indicating that such techniques can serve as reliable alternatives for laboratory bed monitoring.
Overall, the findings highlight the combined influence of hydrodynamic forcing and sediment characteristics on scour morphology. Future studies under varied experimental conditions are recommended to further validate the proposed predictive equations and to improve understanding of twin-propeller-induced scour processes in real-world scenarios.

Author Contributions

Conceptualization, K.C., A.Y.O., İ.A. and D.Y.; methodology, K.C.; investigation, A.H.H., K.C., A.Y.O., O.Y., İ.A. and D.Y.; writing—original draft preparation, A.H.H., K.C., A.Y.O. and O.Y.; writing—review and editing, K.C. and A.Y.O.; visualization, K.C.; supervision, K.C.; project administration, K.C. All authors have read and agreed to the published version of the manuscript.

Funding

This research was funded by Scientific and Technological Research Council of Turkey (TUBITAK), grant number 123M466.

Data Availability Statement

The original contributions presented in this study are included in the article. Further inquiries can be directed to the corresponding author.

Conflicts of Interest

The authors declare no conflicts of interest.

Appendix A

Table A1. Experimental conditions and obtained results.
Table A1. Experimental conditions and obtained results.
Dp
cm
d50
μm
y0
cm
rpmF0y0/Dpy0/d50G/DpLmax/DpBmax/DpHmax/DPSmax/Dp
511055009.2891.000454.5452.0003.9493.7070.3660.749
75013.9331.000454.5452.0006.6515.3760.5541.405
105009.2892.000909.0912.0000.0000.0000.0400.068
75013.9332.000909.0912.0005.0195.3760.1870.503
7.5110550013.9330.667454.5452.0009.1545.6690.4091.766
75020.8990.667454.5452.00013.6629.1200.5812.662
1050013.9331.333909.0912.0009.0044.9560.3470.946
75020.8991.333909.0912.00015.1747.4080.5151.890
511010100018.5772.000909.0912.0008.2344.3010.2611.103
7.527.8661.333909.0912.00016.6509.9630.7932.716
550055004.3571.000100.0002.0004.3383.2640.3770.605
7506.5351.000100.0002.0005.9074.2050.7121.074
105004.3572.000200.0002.0000.0000.0000.3340.050
7506.5352.000200.0002.0004.5723.2440.3540.414
7.550055006.5350.667100.0002.0006.8574.2870.8531.153
7509.8030.667100.0002.0009.3326.7151.3321.880
105006.5351.333200.0002.0006.4534.2520.6440.748
7509.8031.333200.0002.0009.9925.4841.2731.434
55001010008.7132.000200.0002.0006.8054.0300.6350.833
7.513.0701.333200.0002.00013.0937.6811.9821.896
595055003.1611.00052.6322.0003.1423.1290.2830.427
7504.7411.00052.6322.0004.4674.0980.4700.948
105003.1612.000105.2632.0000.0000.0000.1050.057
7504.7412.000105.2632.0005.1522.6580.1550.290
7.595055004.7410.66752.6322.0004.6624.0970.7360.967
7507.1120.66752.6322.0007.3905.3081.2401.517
105004.7411.333105.2632.0005.1124.0760.3480.516
7507.1121.333105.2632.0008.5375.3311.0951.116
59501010006.3212.000105.2632.0006.1594.3100.5800.682
7.59.4821.333105.2632.00010.4866.9441.7341.672

Appendix B

The coefficients (K1, K2, and K3) obtained for the equations are given in the following Table A2, Table A3 and Table A4.
Table A2. Coefficient for the obtained equations.
Table A2. Coefficient for the obtained equations.
Equation No 8   for   S m a x D p 8   for   L m a x D p
K1 y 0 D p 0.288 y 0 d 50 0.382 0.523 y 0 D p 1.951 y 0 d 50 0.032
K2 0.132 y 0 D p 1.296 y 0 d 50 0.484 8.028 × 10 10 y 0 D p 27.571 y 0 d 50 0.626
K3 y 0 D p 0.062 y 0 d 50 0.02 2.187 y 0 D p 0.556 y 0 d 50 0.124
Table A3. Coefficient for the obtained equations.
Table A3. Coefficient for the obtained equations.
Equation No 8   for   B m a x D p 10
K1 0.221 y 0 D p 0.802 y 0 d 50 1.434 5.519 y 0 D p 0.528 y 0 d 50 0.448
K2 1.924 y 0 D p 0.175 y 0 d 50 0.448 0.844 y 0 D p 0.106 y 0 d 50 0.036
K3 2.939 y 0 D p 0.40 y 0 d 50 0.013 -
Table A4. Coefficient for the obtained equations.
Table A4. Coefficient for the obtained equations.
Equation No11
K1 0.137 y 0 D p 0.428 y 0 d 50 0.218 F 0 0.90
K2 1.092 y 0 D p 0.442 y 0 d 50 0.331 F 0 0.462
K3 y 0 D p 0.379 y 0 d 50 0.004 F 0 0.046

References

  1. Mujal-Colilles, A.; Gironella, X.; Sanchez-Arcilla, A.; Puig Polo, C.; Garcia-Leon, M. Erosion caused by propeller jets in a low energy harbour basin. J. Hydraul. Res. 2017, 55, 121–128. [Google Scholar] [CrossRef]
  2. Mujal-Colilles, A.; Castells, M.L.; Llull, T.; Gironella, X.; Martínez de Osés, X. Stern twin-propeller effects on harbor infrastructures. Experimental analysis. Water 2018, 10, 1571. [Google Scholar] [CrossRef]
  3. Cui, Y.; Lam, W.H.; Robinson, D.; Hamill, G. Temporal and spatial scour caused by external and internal counter-rotating twin-propellers using Acoustic Doppler Velocimetry. Appl. Ocean Res. 2020, 97, 102093. [Google Scholar] [CrossRef]
  4. Marzano, V.; Tocchi, D.; Fiori, C.; Tinessa, F.; Simonelli, F.; Cascetta, E. Ro-Ro/Ro-Pax maritime transport in Italy: A policy-oriented market analysis. Case Stud. Transp. Policy 2020, 8, 1201–1211. [Google Scholar] [CrossRef]
  5. Llull, T.; Mujal-Colilles, A.; Gironella, X. Twin propeller time-dependent scouring processes. Physical experiments. Ocean Eng. 2021, 236, 109461. [Google Scholar] [CrossRef]
  6. Hamill, G.A.; Johnston, H.T.; Stewart, D.P. Propeller wash scour near quay walls. J. Waterw. Port Coast. Ocean Eng. 1999, 125, 170–175. [Google Scholar] [CrossRef]
  7. Hong, J.H.; Chiew, Y.M.; Cheng, N.S. Scour caused by a propeller jet. J. Hydraul. Eng. 2013, 139, 1003–1012. [Google Scholar] [CrossRef]
  8. Wei, M.; Chiew, Y.M.; Hsieh, S.C. Plane boundary effects on characteristics of propeller jets. Exp. Fluids 2017, 58, 141. [Google Scholar] [CrossRef]
  9. Penna, N.; D’Alessandro, F.; Gaudio, R.; Tomasicchio, G.R. Three-dimensional analysis of local scouring induced by a rotating ship propeller. Ocean Eng. 2019, 188, 106294. [Google Scholar] [CrossRef]
  10. Tan, R.I.; Yüksel, Y. Seabed scour induced by a propeller jet. Ocean Eng. 2018, 160, 132–142. [Google Scholar] [CrossRef]
  11. Cui, Y.; Lam, W.H.; Zhang, T.; Sun, C.; Hamill, G. Scour induced by single and twin propeller jets. Water 2019, 11, 1097. [Google Scholar] [CrossRef]
  12. Cui, Y.; Lam, W.H.; Zhang, T.; Sun, C.; Robinson, D.; Hamill, G. Temporal model for ship twin-propeller jet induced sandbed scour. J. Mar. Sci. Eng. 2019, 7, 339. [Google Scholar] [CrossRef]
  13. Suljevic, A.; Kesgin, E. Twin propeller scour in noncohesive seabed with different quay wall configurations. Ocean Eng. 2025, 322, 120554. [Google Scholar] [CrossRef]
  14. Folk, R.L.; Ward, W.C. A Study in the Significance of Grain-Size Parameters. J. Sediment. Petrol. 1957, 27, 3–26. [Google Scholar] [CrossRef]
  15. Hamill, G.A. Characteristics of the Screw Wash of a Manoeuvring Ship and the Resulting Bed Scour. Ph.D. Thesis, Queen’s University of Belfast, Belfast, UK, 1987. [Google Scholar]
  16. Rajaratnam, N. Erosion by plane turbulent jets. J. Hydraul. Res. 1981, 19, 339–358. [Google Scholar] [CrossRef]
  17. Verhey, H. The stability of bottom and banks subjected to the velocities in the propeller jet behind ships. In Proceedings of the 8th International Harbour Congress, Antwerp, Belgium, 13–17 June 1983. [Google Scholar]
  18. Blaauw, H.G.; van de Kaa, E.J. Erosion of Bottom and Sloping Banks Caused by the Screw Race of Manoeuvring Ships; Publication; Delft Hydraulics Laboratory: Delft, The Netherlands, 1978. [Google Scholar]
  19. Lam, W.H.; Hamill, G.A.; Robinson, D.J.; Raghunathan, S. Semi-empirical methods for determining the efflux velocity from a ship’s propeller. Appl. Ocean Res. 2012, 35, 14–24. [Google Scholar] [CrossRef]
  20. Hamill, G.A.; Kee, C. Predicting axial velocity profiles within a diffusing marine propeller jet. Ocean Eng. 2016, 124, 104–112. [Google Scholar] [CrossRef]
  21. Fuehrer, M.; Römisch, K. Effects of modern ship traffic on islands and ocean waterways and their structures. In Proceedings of the 24th International Navigation Congress, Leningrad, Russia, 11–16 September 1977. [Google Scholar]
  22. Romisch, K. Der propellerstrahl als erodierendes element beian-und albegenanovern von schifffen. Seewirtsch. Berl. 1975, 15, 187–190. (In Polish) [Google Scholar]
  23. Yew, W.-T.; Hashim, R.; Ng, K.-C. Experimental investigation of scour induced by twin-propeller wash. J. Waterw. Port Coast. Ocean Eng. 2017, 143, 04017006. [Google Scholar] [CrossRef]
  24. Wang, P.-F.; Rivera-Duarte, I.; Richter, K.; Liao, Q.; Farley, K.; Chen, H.-C.; Germano, J.; Markillie, K.; Gailani, J. Evaluation of Resuspension from Propeller Wash in DoD Harbors; ESTCP Project ER-201031; SSC Pacific: San Diego, CA, USA, 2016. [Google Scholar]
Figure 1. Experimental setup: (a) Side view; (b) Top view. Point A marks the origin of the measurement at coordinates (0, 0, 0).
Figure 1. Experimental setup: (a) Side view; (b) Top view. Point A marks the origin of the measurement at coordinates (0, 0, 0).
Water 18 00197 g001
Figure 2. Sieve analysis of the sand beds.
Figure 2. Sieve analysis of the sand beds.
Water 18 00197 g002
Figure 3. Scanning surfaces and reflectors before and after the experiment: (a) Before experiment; (b) After experiment.
Figure 3. Scanning surfaces and reflectors before and after the experiment: (a) Before experiment; (b) After experiment.
Water 18 00197 g003
Figure 4. Measured propeller velocity distribution for a single propeller condition: (a) Velocity distribution measured at 0.5Dp distance for a rotational speed of 500 rpm; (b) Velocity distribution measured at 0.5Dp distance for a rotational speed of 750 rpm.
Figure 4. Measured propeller velocity distribution for a single propeller condition: (a) Velocity distribution measured at 0.5Dp distance for a rotational speed of 500 rpm; (b) Velocity distribution measured at 0.5Dp distance for a rotational speed of 750 rpm.
Water 18 00197 g004
Figure 5. (a) Profiles taken along the symmetry axis of the propellers using ADVP and 3D camera scanning (Dp7.5_750_y05), (b) Scour pattern obtained using a 3D scanner for 750 rpm, y0 = 5 cm, Dp = 7.5 cm, and d50 = 0.11 mm (Test 7-Dp7.5_750_y05).
Figure 5. (a) Profiles taken along the symmetry axis of the propellers using ADVP and 3D camera scanning (Dp7.5_750_y05), (b) Scour pattern obtained using a 3D scanner for 750 rpm, y0 = 5 cm, Dp = 7.5 cm, and d50 = 0.11 mm (Test 7-Dp7.5_750_y05).
Water 18 00197 g005aWater 18 00197 g005b
Figure 6. Temporal variation in erosion profiles along the symmetry axis for 750 rpm, y0 = 5 cm, Dp = 7.5 cm, and d50 = 0.11 mm (Test 7-Dp7.5_750_y05).
Figure 6. Temporal variation in erosion profiles along the symmetry axis for 750 rpm, y0 = 5 cm, Dp = 7.5 cm, and d50 = 0.11 mm (Test 7-Dp7.5_750_y05).
Water 18 00197 g006
Figure 7. The scour profiles obtained along the symmetrical axis of the propeller under the same conditions in the experiments conducted with fine, medium, and coarse sand together for Dp = 5 cm: (a) 500 rpm, y0 = 5 cm; (b) 750 rpm, y0 = 5 cm; (c) 500 rpm, y0 = 10 cm; (d) 750 rpm, y0 = 10 cm; (e) 1000 rpm, y0 = 10 cm.
Figure 7. The scour profiles obtained along the symmetrical axis of the propeller under the same conditions in the experiments conducted with fine, medium, and coarse sand together for Dp = 5 cm: (a) 500 rpm, y0 = 5 cm; (b) 750 rpm, y0 = 5 cm; (c) 500 rpm, y0 = 10 cm; (d) 750 rpm, y0 = 10 cm; (e) 1000 rpm, y0 = 10 cm.
Water 18 00197 g007
Figure 8. The scour profiles obtained along the symmetrical axis of the propeller under the same conditions in the experiments conducted with fine, medium, and coarse sand together for Dp = 7.5 cm: (a) 500 rpm, y0 = 5 cm; (b) 750 rpm, y0 = 5 cm; (c) 500 rpm, y0 = 10 cm; (d) 750 rpm, y0 = 10 cm; (e) 1000 rpm, y0 = 10 cm.
Figure 8. The scour profiles obtained along the symmetrical axis of the propeller under the same conditions in the experiments conducted with fine, medium, and coarse sand together for Dp = 7.5 cm: (a) 500 rpm, y0 = 5 cm; (b) 750 rpm, y0 = 5 cm; (c) 500 rpm, y0 = 10 cm; (d) 750 rpm, y0 = 10 cm; (e) 1000 rpm, y0 = 10 cm.
Water 18 00197 g008
Figure 9. Scour profile in the transverse direction at the point where Bmax occurs for Dp = 5 cm: (a) 500 rpm, y0 = 5 cm; (b) 750 rpm, y0 = 5 cm; (c) 750 rpm, y0 = 10 cm; (d) 1000 rpm, y0 = 10 cm.
Figure 9. Scour profile in the transverse direction at the point where Bmax occurs for Dp = 5 cm: (a) 500 rpm, y0 = 5 cm; (b) 750 rpm, y0 = 5 cm; (c) 750 rpm, y0 = 10 cm; (d) 1000 rpm, y0 = 10 cm.
Water 18 00197 g009aWater 18 00197 g009b
Figure 10. Scour profile in the transverse direction at the point where Bmax occurs for Dp = 7.5 cm: (a) 500 rpm, y0 = 5 cm; (b) 500 rpm, y0 = 10 cm; (c) 750 rpm, y0 = 5 cm; (d) 750 rpm, y0 = 10 cm; (e) 1000 rpm, y0 = 10 cm.
Figure 10. Scour profile in the transverse direction at the point where Bmax occurs for Dp = 7.5 cm: (a) 500 rpm, y0 = 5 cm; (b) 500 rpm, y0 = 10 cm; (c) 750 rpm, y0 = 5 cm; (d) 750 rpm, y0 = 10 cm; (e) 1000 rpm, y0 = 10 cm.
Water 18 00197 g010
Figure 11. The ratio of dimensionless scour depths observed under identical test conditions for fine and medium sands to those for coarse sand.
Figure 11. The ratio of dimensionless scour depths observed under identical test conditions for fine and medium sands to those for coarse sand.
Water 18 00197 g011
Figure 12. The ratio of dimensionless scour lengths observed under identical test conditions for fine and medium sand to those for coarse sand.
Figure 12. The ratio of dimensionless scour lengths observed under identical test conditions for fine and medium sand to those for coarse sand.
Water 18 00197 g012
Figure 13. The ratio of dimensionless scour widths observed under identical test conditions for fine and medium sand to those for coarse sand.
Figure 13. The ratio of dimensionless scour widths observed under identical test conditions for fine and medium sand to those for coarse sand.
Water 18 00197 g013
Figure 14. Variation between measured and calculated values: (a) Smax/Dp; (b) Lmax/Dp; (c) Bmax/Dp; (d) Xmu/Dp.
Figure 14. Variation between measured and calculated values: (a) Smax/Dp; (b) Lmax/Dp; (c) Bmax/Dp; (d) Xmu/Dp.
Water 18 00197 g014
Figure 15. The ratio of the maximum scour depths to the total scour depths: (a) fine sand; (b) medium sand; (c) coarse sand.
Figure 15. The ratio of the maximum scour depths to the total scour depths: (a) fine sand; (b) medium sand; (c) coarse sand.
Water 18 00197 g015aWater 18 00197 g015b
Figure 16. Variation between measured and calculated Smax,t/Dp values.
Figure 16. Variation between measured and calculated Smax,t/Dp values.
Water 18 00197 g016
Figure 17. Comparison between the measured and calculated Smax/Dp using the proposed equation by [3].
Figure 17. Comparison between the measured and calculated Smax/Dp using the proposed equation by [3].
Water 18 00197 g017
Table 1. Test conditions.
Table 1. Test conditions.
TestPropeller Diameter
Dp
cm
Median Grain Size
d50
μm
Offset Height of the Propeller
y0
cm
Propeller Rotation Speed
rpm
Test 1 (Dp5_500_y05)5110, 500, 9505500
Test 2 (Dp5_750_y05)5750
Test 3 (Dp5_500_y010)10500
Test 4 (Dp5_750_y010)10750
Test 5 (Dp5_1000_y010)101000
Test 6 (Dp7.5_500_y05)7.5110, 500, 9505500
Test 7 (Dp7.5_750_y05)5750
Test 8 (Dp7.5_500_y010)10500
Test 9 (Dp7.5_750_y010)10750
Test 10 (Dp7.5_1000_y010)101000
Table 2. Comparison of Dimensionless Scour Ratios Relative to Coarse Sand.
Table 2. Comparison of Dimensionless Scour Ratios Relative to Coarse Sand.
y0/DpPropeller Speed (rpm)Fine Sand/Coarse Sand (Smax/Dp)fs/(Smax/Dp)csMedium Sand/Coarse Sand (Smax/Dp)fs/(Smax/Dp)cs
1.335001.8341.450
7501.6941.286
10001.6241.134
1.005001.7521.414
7501.4821.133
0.675001.8261.192
7501.7551.239
Table 3. Overview of predictive methods for scour under twin-propeller jet action.
Table 3. Overview of predictive methods for scour under twin-propeller jet action.
Model/SourcePurpose of the FormulaValidity Ranges
Outward-Turning
Twin Propeller (OTP)
[11]
To estimate
the time-dependent
maximum scour depth (Smax,t)
Propeller Diameter (Dp): 55 mm.
Propeller Spacing (G): 1.5Dp–3Dp.
Densimetric Froude Number (F0) = 8.135
Sediment Size (d50): 0.2 mm
Time Limit: Reliable up to 2 h (7200 s) according to experimental data. Within this period, the scour depth reached about 87% of the 7-day value.
Outward and Inward-Turning
Twin Propellers (OTP and ITP)
[3]
To propose
proportional factors relating
twin-propeller scour
characteristics to
single-propeller (SP) scour.
Propeller Spacing (G): 2Dp (110 mm).
Densimetric Froude Number (F0) = 8.135 and 11.3
Propeller tip-to-Bed Clearance (C): 0.5Dp (27.5 mm).
Rotational Speeds: 500 rpm and 700 rpm
Sediment Size (d50): 0.2 mm
Findings: ITP scour ≈ 1.2 × SP scour;
OTP scour ≈ 1.1 × SP scour.
Co-Rotating
Twin Propellers
[13]
To estimate
the equilibrium maximum
scour depth (Smax)
under different
wall configurations.
Propeller Diameter (Dp): 100 mm
Densimetric Froude Number (F0): 4.71–6.23.
Offset height of propeller (y0): 1–1.5Dp
Propeller Spacing (G): 2Dp–3Dp.
Sediment Size (d50): 1.2 mm.
All tests were standardized for a 150 min duration (2.5 h) when equilibrium scour depth was assumed.
Co-Rotating
Twin Propellers
(Temporal Model)
[23]
To predict
the maximum scour depth
(Smax) and its location (Xmax).
Propeller Diameter (Dp): 220 mm
Propeller tip-to-Bed Clearance (C): 0.3Dp–0.7Dp.
Rotation Speed: 400–600 rpm.
Sediment Size (d50): 1.0 mm
Present study
Inward-Turning
Twin Propellers (ITP)
To predict
the maximum scour depth
(Smax) and its location (Xmax).
Propeller Diameter (Dp): 50 and 75 mm
Offset height of propeller (y0): 0.67–2Dp
Rotation Speed: 500–750–1000 rpm
Densimetric Froude number (F0): 3.16–27.87
Propeller spacing (G): 2Dp
Sediment Size (d50): 0.11 mm, 0.50 mm, and 0.95 mm
Table 4. Overview of Experimental Conditions from [3] and Calculated S max Using Equation (10).
Table 4. Overview of Experimental Conditions from [3] and Calculated S max Using Equation (10).
t
(h)
d50
(mm)
Dp (mm)G (mm)C (mm)y0 (mm)rpmV0 (m/s)F0Measured
Smax (mm)
[3]
Calculated
Smax Using Equation (10) (mm)
Error
(%)
20.205511027.5555000.4638.13542.533.5221
7500.64511.305358.8511
Disclaimer/Publisher’s Note: The statements, opinions and data contained in all publications are solely those of the individual author(s) and contributor(s) and not of MDPI and/or the editor(s). MDPI and/or the editor(s) disclaim responsibility for any injury to people or property resulting from any ideas, methods, instructions or products referred to in the content.

Share and Cite

MDPI and ACS Style

Hafızoğulları, A.H.; Cihan, K.; Yüksel Ozan, A.; Yıldız, O.; Atabaş, İ.; Yılmazer, D. Investigation of Scour Caused by Twin-Propeller Jet. Water 2026, 18, 197. https://doi.org/10.3390/w18020197

AMA Style

Hafızoğulları AH, Cihan K, Yüksel Ozan A, Yıldız O, Atabaş İ, Yılmazer D. Investigation of Scour Caused by Twin-Propeller Jet. Water. 2026; 18(2):197. https://doi.org/10.3390/w18020197

Chicago/Turabian Style

Hafızoğulları, Ayşe Hazel, Kubilay Cihan, Ayşe Yüksel Ozan, Osman Yıldız, İrfan Atabaş, and Didem Yılmazer. 2026. "Investigation of Scour Caused by Twin-Propeller Jet" Water 18, no. 2: 197. https://doi.org/10.3390/w18020197

APA Style

Hafızoğulları, A. H., Cihan, K., Yüksel Ozan, A., Yıldız, O., Atabaş, İ., & Yılmazer, D. (2026). Investigation of Scour Caused by Twin-Propeller Jet. Water, 18(2), 197. https://doi.org/10.3390/w18020197

Note that from the first issue of 2016, this journal uses article numbers instead of page numbers. See further details here.

Article Metrics

Back to TopTop