Next Article in Journal
Origin and Hydrogeochemical Evolution of Jety-Oguz Mineral Waters (Issyk-Kul Basin, Tien Shan)
Previous Article in Journal
Synergistic Development Mechanism Between Reservoir Resettlers’ Livelihoods and Host Regions
 
 
Font Type:
Arial Georgia Verdana
Font Size:
Aa Aa Aa
Line Spacing:
Column Width:
Background:
Article

Influence Mechanism of Particle Diameter and Volume Fraction on the Solid–Liquid Two-Phase Flow Performance of Semi-Open Impeller Sewage Pumps

1
School of Mechanical Engineering, Changzhou Institute of Technology, Changzhou 213032, China
2
International Shipping Research Institute, Jiujiang Polytechnic University of Science and Technology, Jiujiang 332020, China
3
Yangzhou Urban Riverway Management Office, Yangzhou 225100, China
4
College of Hydraulic Science and Engineering, Yangzhou University, Yangzhou 225009, China
5
SHIMGE Pump Co., Ltd., Taizhou 317525, China
*
Authors to whom correspondence should be addressed.
Water 2026, 18(1), 74; https://doi.org/10.3390/w18010074 (registering DOI)
Submission received: 24 October 2025 / Revised: 12 December 2025 / Accepted: 14 December 2025 / Published: 26 December 2025
(This article belongs to the Section Hydraulics and Hydrodynamics)

Abstract

Semi-open impeller sewage pumps are widely used in fields such as municipal wastewater treatment. However, they often face performance degradation and operational instability when conveying solid–liquid two-phase flows containing solid particles. This study aims to systematically elucidate the influence mechanisms of particle diameter (0.5–3.0 mm) and volume fraction (1–20%) on the external characteristics and internal flow field of semi-open impeller sewage pumps, providing a theoretical basis for optimizing their design and operational stability. Using an 80WQ4QG-type sewage pump as the research subject, this study employed a combination of numerical simulation and experimental research. The standard k-ε turbulence model coupled with the Discrete Phase (Particle) approach was adopted for multi-condition solid–liquid two-phase flow simulations. Furthermore, two-way analysis of variance (two-way ANOVA) was utilized to quantify the main effects and interaction effects of the parameters. The results indicate that the pump head and efficiency generally exhibit a decreasing trend with increasing particle diameter or volume fraction, with particle diameter exerting a more pronounced effect (p < 0.01). When the particle diameter increased to 3.0 mm, the head decreased by 5.66%; when the volume fraction rose to 20%, the head decreased by 4.17%. It is noteworthy that the combination of a 0.5 mm particle diameter and a 20% volume fraction resulted in an abnormal increase in head, suggesting a possible flow pattern optimization under specific conditions. Analysis of the internal flow field reveals that coarse particles (≥1.5 mm) intensify the pressure gradient disparity between the front and rear shroud cavities of the impeller, thereby increasing the axial thrust. A high volume fraction (≥10%) promotes pronounced flow separation in the volute tongue region and exacerbates the risk of localized erosion at the outlet.

1. Introduction

With the rapid progression of urbanization in China, municipal wastewater treatment systems are operating under increasingly stringent demands. Municipal wastewater treatment is characterized by large discharge volumes, highly heterogeneous pollutant compositions, complex process chains, and elevated operating costs [1]. As the core equipment for conveying and handling municipal sewage, sewage pumps are experiencing growing market demand. However, the presence of fibrous materials, solid particles, and other easily entangled or accumulative impurities in wastewater frequently leads to pipeline blockage and abrasion, ultimately causing damage to the pump body and associated components. Zheng et al. [2] investigated the evolution of fiber entanglement and clogging mechanisms in pumps using CFD–DEM simulations, and confirmed that impurity accumulation is a key factor contributing to equipment failure and increased maintenance costs. Consequently, the design and development of sewage pumps must emphasize adaptability to complex real-world operating conditions. In practical engineering applications, sewage pumps are commonly classified according to two criteria: by installation type, as dry-installed or submersible; and by impeller configuration, as closed, open, or semi-open [3]. Furthermore, to address specific impurity-handling requirements, Zhu et al. [4] and Ou et al. [5] improved the operational stability of grinder pumps and vortex pumps by optimizing the cutting mechanisms and proposing non-overload impeller designs, respectively. Among these configurations, submersible sewage pumps equipped with semi-open impellers play a particularly important role in municipal engineering owing to their compact structure and superior anti-clogging performance.
Hydraulic design and the performance enhancement of centrifugal machinery are central topics in the fluid machinery field, in which the optimization of the internal flow passage is a widely adopted strategy for improving overall efficiency. For example, Ahmadi et al. [6] achieved a novel design by incorporating helical-groove turbulence promoters in heat exchangers, thereby significantly enhancing both thermal-hydraulic and exergy performance. This concept of performance enhancement via refined flow regulation has important implications for sewage pump design. Early work by Nishi et al. [7] elucidated the rotor-stator interaction mechanism between the impeller and volute in sewage pumps, while more recent studies by Fallah et al. [8] further explored the performance limits of vortex pump impeller configurations.
However, due to the inherent complexity of internal solid–liquid two-phase flows in sewage pumps, empirical design alone is insufficient to satisfy the demands for high efficiency and operational stability. To ensure the accuracy of numerical predictions, contemporary research therefore commonly adopts a combined approach of Computational Fluid Dynamics (CFD) and experimental validation. For instance, Zhou et al. [9] employed Particle Image Velocimetry (PIV) to assess the accuracy of different turbulence models in centrifugal pump diffusers, whereas Westra et al. [10] performed detailed measurements and calculations of secondary flows within the impeller using combined PIV/CFD methods. Huang et al. [11] successfully carried out transient simulations of solid–liquid two-phase flow based on a DEM–CFD coupling strategy, and Pu et al. [12] further analyzed particle dynamics, demonstrating the advantages of numerical methods in resolving unsteady particle trajectories. In parallel, to address the challenges inherent to two-phase flow modeling, Probst et al. [13] conducted quantitative validations of two-phase turbulence models, thereby reinforcing the credibility of numerical approaches and providing a robust foundation for in-depth investigation of complex solid–liquid interaction mechanisms.
On the other hand, the introduction of solid particles fundamentally modifies the internal energy conversion process of centrifugal pumps, causing their hydraulic performance to deviate markedly from that under clear-water conditions. Pioneering experimental research by Selim et al. [14] demonstrated that pump head and efficiency are not determined solely by rotational speed, but are highly sensitive to slurry solid concentration and particle density. This conclusion was subsequently corroborated by Li et al. [15] through combined numerical and experimental validation, which explicitly identified variations in solid-phase characteristics as the primary cause of external performance degradation. To further elucidate the hydrodynamic mechanisms underlying this decline, Zhang et al. [16] and Tarodiya et al. [17] conducted detailed analyses of the internal solid–liquid two-phase flow fields. Their results showed that the presence of solid particles not only intensifies hydraulic losses within the flow passages, but also severely distorts the original velocity distribution. Building on these findings, Pu et al. [18] employed an improved four-way coupled CFD–DEM approach to quantify energy dissipation from the perspective of entropy production, revealing that entropy dissipation within the volute region accounts for more than 67% of the total. This result clarifies the spatial distribution of high energy consumption induced by the solid phase. Such alterations in the microscopic energy structure directly manifest as macroscopic flow instability. Focusing on transient flows under variable operating conditions and high-concentration transport, Dong et al. [19] and Lin et al. [20] further elucidated the mechanisms of solid-phase-induced flow instability.
Beyond solid concentration, particle diameter exerts a more intricate regulatory influence on flow structures and particle trajectories. Hu et al. [21] investigated the flow characteristics of non-spherical mineral particles in deep-sea mining systems and highlighted the pronounced impact of particle properties on overall system performance. For conventional particulate systems, Shi et al. [22], based on solid–liquid two-phase turbulence modeling, demonstrated that pump efficiency is highly sensitive to particle size, and that different impeller designs exhibit markedly different levels of adaptability to large particles. Using Lagrangian-frame numerical simulations, Shen et al. [23] showed that large particles display a strong tendency toward inertial separation, leading to frequent impingement on blade surfaces. Consistent with this, wear tests by Wang et al. [24] and recent work by Jalalvandi et al. [25] clearly indicate that, as particle size increases, the erosion zone shifts significantly toward downstream blade regions, with the pressure side at the blade outlet identified as the most severely eroded area. Li et al. [26] further clarified that impact erosion dominates on the blade pressure surface, whereas cutting wear is predominant in the volute, while Lai et al. [27] supplemented these findings by identifying the impeller hub and blade leading edge as additional high-risk erosion zones. Moreover, Pu et al. [28] reported that regions of elevated turbulent kinetic energy are concentrated near the volute tongue, in good agreement with the particle deposition patterns along the volute wall observed experimentally by Zhou et al. [29]. To more rigorously quantify the influence of particle size distribution (PSD), Tarodiya et al. [30] developed a multi-size solid–liquid two-phase flow model and demonstrated that single-size representations fail to capture the variations in friction losses induced by polydisperse particles. Building on this, Li et al. [31] employed a CFD–DEM coupled approach to analyze the motion dynamics of mixed-size particles within the pump and found that fine particles tend to accumulate near the wall, where this accumulation forms a protective layer that effectively cushions the direct impact of larger particles, thereby reducing the wear rate on the volute surface.
Although extensive research has been carried out on the hydraulic performance of centrifugal and sewage pumps under solid–liquid two-phase conditions, most existing studies have predominantly concentrated on macroscopic performance degradation or empirical optimization of impeller geometry. The fundamental mechanisms by which suspended particles modify internal flow patterns, redistribute pressure, and induce hydraulic deterioration in semi-open impeller configurations remain insufficiently clarified. In particular, the coupled effects of particle inertia, interphase momentum exchange, and flow-induced asymmetry have yet to be systematically quantified.
To address this gap, the present study combines validated four-way coupled CFD simulations with variance-based statistical analysis to examine how particle size and volumetric concentration jointly influence flow distortion and hydraulic characteristics in semi-open impeller flows. By correlating the evolution of internal flow structures with variations in global hydraulic performance, this work seeks to identify the coupled particle–flow mechanisms responsible for hydraulic losses and flow instability. The results provide mechanistic insight into the quantitative influence weights of particle-related parameters in rotating multiphase systems and offer guidance for the engineering optimization of particle-laden flow equipment.

2. Numerical Method

2.1. Geometric Model

This study selected the 80WQ4QG semi-open impeller sewage pump as the research object, with its parameters listed in Table 1 and its structure illustrated in Figure 1. The main components include the motor, stator, rotor, impeller, volute, and outlet fixed cutter. The key parameters of the sewage pump are as follows: flow rate Q = 45 m3/h, head H = 15 m, rotational speed n = 2850 r/min, and motor power = 4 kW. Three-dimensional software was used to establish a refined overall model of the sewage pump and demarcate the main flow passage regions, as shown in Figure 2.

2.2. Computational Domain

Based on the structure of the sewage pump, the main flow passage regions were identified, and the full-flow computational fluid domain was extracted and modeled as shown in Figure 3. The computational fluid domain primarily includes inlet and outlet sections, fixed knife, front cavity, impeller, pump cavity, volute, and rear cavity.

2.3. Boundary Conditions

The computational domain consists of a rotating region containing the impeller–rotor system and a stationary region encompassing the inlet and outlet flow passages. The impeller rotation direction was set following the right-hand rule, with a rotational speed of 2850 r/min. A mass flow inlet boundary condition was applied at the inlet, and a static pressure outlet at the outlet. The solid volume fraction was controlled by adjusting the mass flow rate of the injected particles at the inlet. The reference pressure was set to 1 atm to simulate normal atmospheric conditions, with the temperature fixed at 25 °C. The liquid phase density ρₗ = 997 kg/m3, and the solid phase consisted of spherical quartz sand with a density of 2300 kg/m3. All walls were assigned a no-slip condition to reflect the actual fluid-wall interaction. The impeller inlet and outlet were defined as dynamic-static interfaces, and Frozen-rotor method was employed to handle interactions between rotating and non-rotating components, effectively simulating flow interactions across these regions. The maximum number of time steps was set to 2500, and the root-mean-square residual of the governing equations was converged to 10−5 to ensure the stability and accuracy of the computational results.

2.4. Mesh Generation

The computational domain was discretized using a hybrid meshing strategy combining structured and unstructured grids. A structured mesh was generated for the impeller in ICEM to ensure high mesh quality and improve the accuracy of the numerical predictions, while unstructured grids were employed in geometrically complex regions such as the volute, rear cavity, and front cavity. The resulting mesh resolution satisfies the required level of computational accuracy and enables effective coupling between the structured and unstructured regions. The overall mesh distribution in the computational domain is shown in Figure 4.

2.5. Mesh Independence

Mesh independence verification evaluates whether grid density significantly affects results, optimizing computational resources and efficiency. Too coarse meshes may miss key flow features, causing deviations. Typically, several mesh schemes with different grid densities are evaluated. Once the variation in head becomes negligible beyond a certain grid resolution, the mesh is deemed sufficiently fine to capture the essential flow features, and further refinement is considered unnecessary, thereby ensuring accuracy while avoiding excessive computational cost. In the present study, five mesh densities were examined at the rated operating condition, and the dimensionless head coefficient ψ, which is commonly used in mesh independence assessments, was adopted as the evaluation metric. The relationships among the five mesh schemes and the head coefficients are summarized in Table 2. The head coefficient ψ is calculated as follows:
ψ = 2 g H u 2 2
where u2 is the impeller outlet velocity, in m/s.
As shown in the table, as the number of meshes increases from a smaller value to 4.26 million, the calculated head coefficient decreases gradually. However, the rate of decrease becomes progressively smaller. When the number of meshes exceeds 4.26 million (e.g., Scheme 3 and Scheme 4), the variation in the head coefficient is less than 0.05%, indicating that further increases in the number of meshes have a negligible effect on the calculated head coefficient. Therefore, Scheme 3, which consists of 4.26 million meshes, is chosen for the subsequent simulations. This choice ensures the accuracy of the results while also optimizing computational efficiency.

2.6. Numerical Model

2.6.1. Turbulence Model

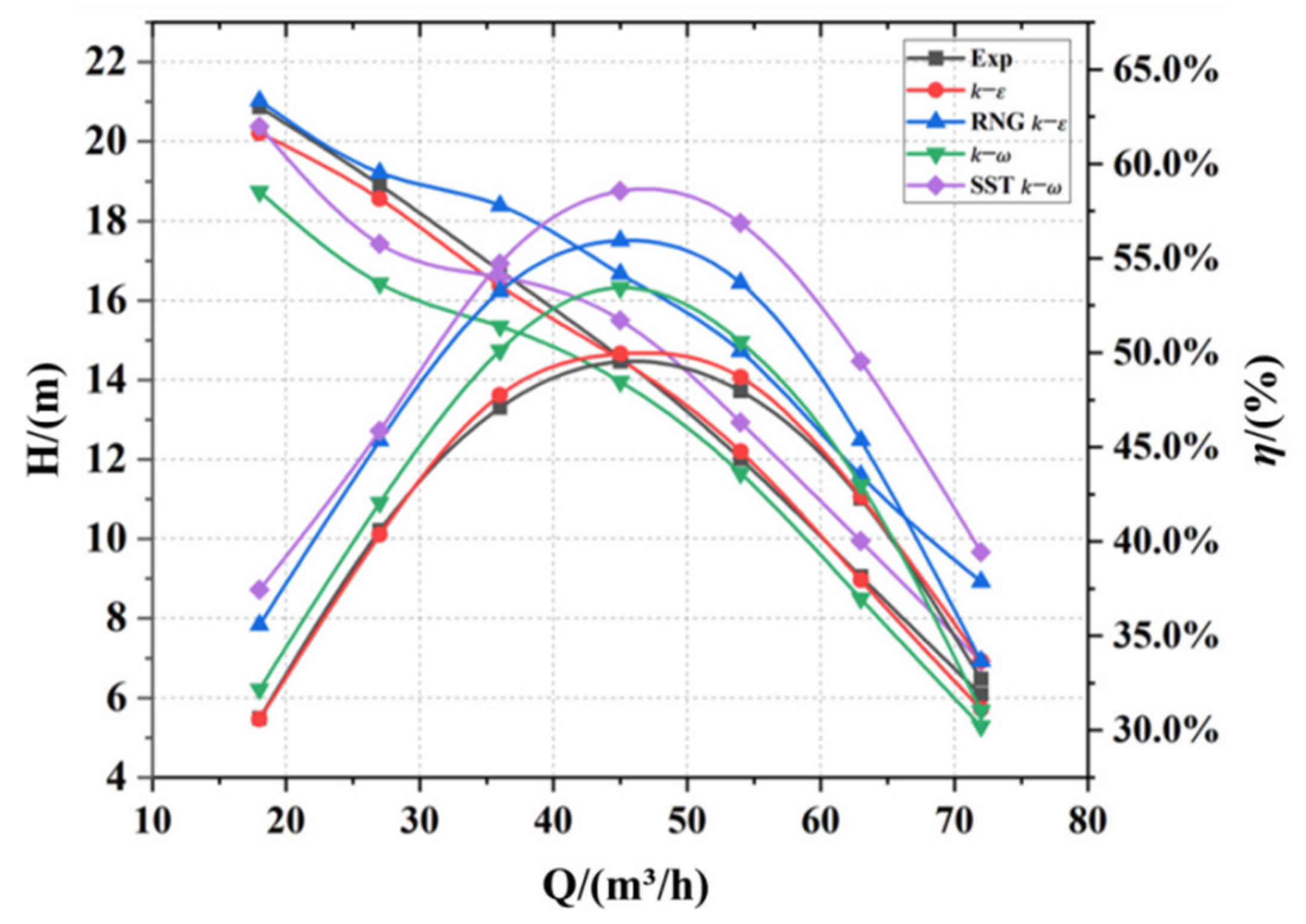
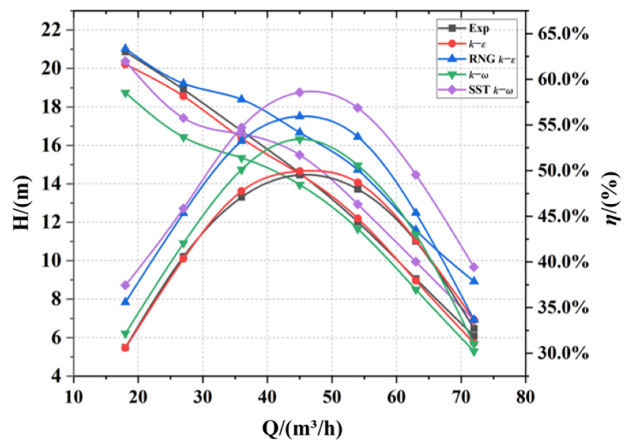
In this study, numerical simulations were conducted using ANSYS-CFX 19.2 software. The selection of a turbulence model has a significant impact on computational results. To identify the most suitable turbulence model for this research, four turbulence models (standard k-ε, RNG k-ε, k-ω, and SST k-ω) were employed for numerical simulations, and the simulation results were compared with experimental data. Figure 5 presents a comparison between the external characteristic simulation results of the sewage pump and the experimental results. As shown in the figure, the overall trends of the external characteristic simulation results from all turbulence models are consistent; however, the simulation results from the standard k-ε model are the closest to the experimental results, while the deviations of other models are relatively larger. Therefore, the standard k-ε model was selected as the turbulence model for the numerical simulations in this study.

2.6.2. Solid–Liquid Two-Phase Flow Model

To investigate the solid–liquid two-phase flow characteristics, this study employs the Euler–Lagrange approach based on the particle tracking method. Given that the maximum solid volume fraction reaches 20% and the particle diameter extends up to 3.0 mm, the flow falls within the dense regime, characterized by significant particle inertia. As a result, the assumption that particles closely follow the fluid streamlines is no longer valid. Instead, this study adopts a four-way coupling strategy. Specifically, the fully coupled interaction accounts for momentum transfer between the fluid and solid phases, while the particle-particle collision model is incorporated to capture inter-particle interactions. This approach ensures the accurate prediction of particle trajectories under high-concentration conditions. The validity of this coupled RANS-Lagrangian method for predicting hydraulic performance degradation under such high particle concentration conditions has been demonstrated in previous studies [32,33]. In this study, the solid-induced head drop is captured physically through interphase momentum coupling in the governing equations, which accounts for the energy loss caused by the drag force on coarse particles. Within the computational domain, all phases share the same spatial coordinates, and their distributions are represented by volume fraction fields. Phase interactions are coupled through momentum, energy, and mass transfer models, enabling comprehensive characterization of the particle-phase flow field.

3. Experimental Validation

The sewage pump performance test was conducted on a professional test bench at a pump manufacturing company, as shown in Figure 6. Figure 7 illustrates the layout of the sewage pump performance testing system, which includes a water pump, pressure sensors for measuring pressure differences, an electromagnetic flowmeter for measuring flow rate, and a data processing center for receiving and integrating various test data (such as current, voltage, flow rate, and pressure) and for calculating key pump performance parameters such as head and efficiency. The system also features control valves for adjusting flow rate, a water tank as the pump testing site, and a control center for regulating various test parameters of the pump.
Figure 8 compares the simulation results with experimental data at different flow rates. It is evident that the simulation curves for head and efficiency closely match the experimental measurements across the entire operating range. At the rated flow condition, the head error is only 0.41%. More importantly, the model shows excellent consistency for both head and efficiency across all operating conditions, not just at the rated point. The average relative errors for head and efficiency are 3.2% and 4.1%, respectively. The maximum deviation is 4.8%, observed at the minimum flow condition (0.6Qd), with all errors remaining within 5%. This confirms that the numerical model developed in this study demonstrates high accuracy and reliability across the entire flow range, not just at the design point. A comparison with the design structure of ordinary centrifugal pumps shows that the sewage pump selected in this paper is equipped with a fixed knife device at the impeller inlet. This structure alters the initial flow state of the fluid entering the impeller, making the flow pattern in the impeller inlet region more complex. The presence of the fixed knife may intensify fluid separation, leading to an increase in local vortex intensity, and this disturbance propagates to subsequent flow channels along with fluid movement. In numerical simulation, this may be one of the reasons for the slight differences between the simulated head, efficiency and the measured data. However, in the numerical simulation of the full flow condition, the variation in external characteristics shows that the simulation results tend to be consistent with the experimental data. The consistent variation trend under the full flow condition further fully confirms the applicability and accuracy of the numerical simulation.

4. Results Analysis

In solid–liquid two-phase flow conditions, the key factors affecting the external characteristics of the water pump are the particle size and volume fraction of solid particles. The following section presents a comparative analysis of the external characteristic data from numerical simulations of the sewage pump under different particle sizes and volume fractions. Particle sizes of 0.5 mm, 1.0 mm, 1.5 mm, and 3.0 mm, along with volume fractions of 1%, 5%, 10%, and 20%, were selected for the numerical simulations and research analysis.

4.1. Two-Way Analysis of Variance for External Characteristics

In scientific research practice, observation indices are often determined by the combined action of multiple variables, and independent analysis of a single variable is insufficient to fully elucidate the influence mechanism of each parameter. As a key mathematical statistical tool, multi-factor analysis of variance can systematically assess the combined effects of different control variables on target parameters while identifying the coupling relationships between variables. This study focuses on semi-open impeller sewage pumps, with a particular emphasis on investigating the influence patterns of solid particle size and volume fraction on the operational performance of the equipment. By means of multi-factor analysis of variance, the influence weights of key parameters are accurately quantified, and the interaction mechanism between particle size and volume fraction, as well as the ranking of their primary and secondary effects, is clarified. The research confirms that the mathematical model constructed by this method provides reliable theoretical support for the structural optimization of semi-open impeller sewage pumps and holds guiding value for engineering practice. The verification results based on the external characteristic simulation data under rated operating conditions are presented in the following Table 3.
The results indicate that both volume fraction and particle size significantly affect the external characteristics of the sewage pump. Statistical analysis reveals that volume fraction significantly affects both head (p = 0.039; Table 4) and efficiency (p = 0.007; Table 5), while particle size has a substantial impact on head (p = 0.003; Table 4). Comparing the significance levels, it is clear that particle size is the dominant factor influencing head, whereas volume fraction is the primary factor affecting efficiency (p = 0.007 < p = 0.025). Larger particles notably decrease both head and efficiency due to increased frictional resistance and energy loss. Higher volume fractions (1–20%) also have a negative effect. Interestingly, under the condition of a 20% volume fraction and a 0.5 mm particle size, both head (14.761 m) and efficiency (50.21%) are significantly higher than those for other combinations, suggesting potential flow optimization effects such as enhanced particle distribution uniformity or turbulence suppression. The interaction between the two factors is not statistically significant (p > 0.05), indicating that their influences are relatively independent.

4.2. Influence of Solid Particle Size Variation on External Characteristics

For different particle sizes, simulations were performed to evaluate sewage pump external characteristics. Figure 9a,b show head-flow and efficiency-flow relations. Results indicate that with constant particle size, head decreases with increasing flow, while efficiency rises to a peak at rated flow and then declines. After adding particles, overall trends remain similar to clear-water conditions, but at the same flow both head and efficiency decrease as particle size increases. This occurs because larger particles increase the impact between the fluid and the impeller, requiring more work and reducing performance. At rated flow, particle diameters of 0.5, 1.0, 1.5, and 3.0 mm result in head reductions of 1.26%, 2.51%, 3.77%, and 5.66%, respectively, along with efficiency reductions of 0.75%, 1.50%, 2.26%, and 3.51%. Therefore, larger particles cause greater resistance and lead to more significant performance losses.

4.3. Influence of Solid Particle Volume Fraction Variation on External Characteristics

For different solid-phase volume fractions, simulations were conducted to analyze external characteristics of the sewage pump. Figure 10a,b show the head-flow and efficiency-flow relations. Results indicate that at constant volume fraction, head decreases with flow rate, while efficiency exhibits a typical peak consistent with clear-water conditions. At rated flow, both head and efficiency decrease with increasing volume fraction, following the same trend as in clear water. This occurs because added solid particles increase mixture viscosity, raising impeller energy consumption and reducing performance. Compared with clear water, when solid-phase volume fractions are 1%, 5%, 10%, and 20%, head decreases by 0.20%, 1.02%, 2.08%, and 4.17%, and efficiency by 0.17%, 1.01%, 2.70%, and 3.37%, respectively. Higher volume fractions thus intensify viscous resistance and cause more pronounced declines in head and efficiency.

4.4. Flow Field in the Pump Under Different Flow Conditions

To analyze the influence of solid particles on internal flow in a semi-open impeller sewage pump, simulations were performed at 0.6Qd, 1.0Qd, and 1.4Qd with a particle diameter of 1 mm, particle density of 2300 kg/m3, and a solid phase volume fraction of 10%. Figure 11 illustrates the pressure distribution in the radial mid-section. The fluid enters through the fixed cutter, passes through the impeller, and is discharged into the volute, with pressure gradually increasing from the inlet to the outlet, peaking in the volute. This pressure rise is primarily due to the work performed by the rotating impeller, which converts mechanical energy into hydraulic pressure energy through centrifugal force. Additionally, the pressure in the rear cavity exceeds that in the front cavity, which is a result of the asymmetric structure of the semi-open impeller.
At the small volute cross-section (Zone 1), a distinct local high-pressure zone forms under rated and low flow conditions, with the intensity more pronounced at lower flow rates. This is caused by the local geometry of the volute and the strong rotor-stator interaction, which creates a pressure buildup in the volute region. As the flow rate increases, the pressure rise in this region weakens. This weakening is attributed to the increasing flow velocity, which mitigates the pressure buildup and reduces the intensity of the rotor-stator interaction, allowing for a more uniform distribution of pressure across the volute. The presence of solid particles, especially at higher concentrations, can further exacerbate these pressure variations due to increased particle-fluid interactions, which affect both flow stability and the efficiency of pressure conversion within the pump.
Figure 12 shows the velocity distribution in the radial mid-section of the sewage pump under flow conditions of 0.6Qd, 1.0Qd, and 1.4Qd. As shown in the figure, the fluid enters the impeller through the fixed cutter from the pump inlet and then flows into the volute channel. Inside the impeller, the fluid gradually accelerates from the impeller inlet and reaches its maximum velocity at the impeller outlet. This increase in velocity is primarily driven by the transfer of kinetic energy from the rotating impeller blades to the fluid. A notable feature observed in the figure is the occurrence of backflow phenomena of varying degrees in both the impeller and rear cavity regions. This backflow is primarily due to the geometry of the fixed cutter at the front section of the impeller inlet, which disrupts the fluid flow near the impeller inlet. The altered flow path induces flow separation, creating low-pressure zones that lead to backflow at the impeller inlet. The intensity of the backflow varies with the flow rate, being more pronounced at lower flow rates (Zone 1).
Figure 13 illustrates the solid-phase distribution in the radial mid-section of the sewage pump under flow conditions of 0.6Qd, 1.0Qd, and 1.4Qd. As depicted in the figure, solid particles predominantly accumulate within the flow channels of both the impeller and volute. Under low-flow conditions, the solid phase receives less kinetic energy, resulting in a relatively concentrated and uneven distribution, particularly in the volute (Zone 1). This is due to the insufficient kinetic energy imparted to the particles, which hinders their ability to overcome local resistance, causing them to accumulate in regions of lower flow velocity. As the flow rate increases, the solid particles acquire more kinetic energy, enabling them to overcome local resistance more effectively. Consequently, the distribution of the solid phase becomes progressively more uniform, with particles spreading toward the periphery of the flow channels, both in the impeller and volute. This behavior is governed by a complex interaction between fluid dynamics and particle inertia. As the flow rate increases, the solid particles gain sufficient energy to mix more thoroughly with the liquid phase, leading to a more homogeneous particle distribution. However, due to their larger inertia, larger particles continue to lag behind the main flow direction, resulting in a higher concentration of particles in certain localized regions, particularly in areas with lower flow velocities, such as the volute.
Figure 14 shows the pressure distribution in the volute mid-section under various flow conditions. As shown in the figure, the pressure increases progressively from the impeller inlet to the outlet region, with the radial pressure gradient being primarily driven by the centrifugal work performed by the rotating impeller. The pressure reaches its maximum value near the volute outlet. However, as the flow rate increases, the high-pressure zone near the volute outlet gradually diminishes, while the pressure within the flow channel increases slightly. This phenomenon occurs because the increase in flow rate enhances the fluid’s kinetic energy, which in turn exerts a greater impact on the volute flow channel. As a result, there is a slight increase in pressure in certain areas within the volute flow channel. This leads to an increase in hydraulic losses along the flow path, contributing to a decrease in the outlet pressure. The interaction between the increased flow rate and the geometry of the volute results in more complex pressure dynamics, ultimately influencing the pump’s overall efficiency and performance.
Figure 15 illustrates the velocity distribution in the volute mid-section. As shown in the figure, as the fluid passes through the impeller, its velocity increases progressively from the inlet to the outlet. Notably, the flow velocity on the suction side of the blade is higher than that on the pressure side, with the maximum velocity occurring near the trailing edge of the outlet. Upon entering the volute channel, the flow velocity decreases rapidly due to the sudden expansion of the cross-sectional area, a phenomenon observed across all operating conditions. However, in the lower wall region of the volute diffuser, flow separation occurs, resulting in relatively low flow velocities near the wall around the tongue. This is accompanied by backflow phenomena of varying intensities.
Figure 16 shows the solid-phase distribution in the volute mid-section under flow conditions of 0.6Qd, 1.0Qd, and 1.4Qd. As indicated in the figure, solid particles are mainly distributed in the impeller flow channels, while in the volute, they are mainly attached to the inner wall of the volute. It can be clearly observed that the volume fraction of particles on the pressure side of the impeller is higher than that on the suction side. This is primarily because the solid particles, having higher density and inertia than water, cannot strictly follow the curved streamlines and tend to accumulate on the blade’s pressure surface. As the flow rate increases, the high-concentration particle area on the impeller (Zone 1) gradually shrinks. Under the large flow condition, the number of particles on the inner wall of the volute decreases, while the particle distribution at the volute outlet increases. At a larger flow rate, the higher fluid velocity provides a stronger carrying capacity, allowing particles to follow the flow more easily and pass through the pump.

4.5. Analysis of Internal Flow Field Under Different Particle Size Conditions

To investigate the influence of particle size on the internal flow performance of a semi-open impeller sewage pump, numerical simulations were conducted under the design flow rate of 1.0Qd and a volume fraction of Cv = 10%, with particle diameters (ds) of 0.5 mm, 1.0 mm, 1.5 mm, and 3.0 mm, respectively. The simulation results were analyzed accordingly.
Figure 17 shows the pressure contour plots of the radial mid-section of the sewage pump under the 1.0Qd flow rate for the clear water condition and the conditions with particle diameters (ds) of 0.5 mm, 1.0 mm, 1.5 mm, and 3.0 mm. As indicated in the figure, compared with the single clear water condition, after adding solid particles into the fluid, the pressure distribution gradient in the section increases significantly. This is primarily attributed to the increased energy consumption caused by the solid–liquid interaction. The fluid transfers pressure energy to the solid particles to accelerate them, resulting in a steeper pressure gradient. Under the rated flow rate, the overall pressure distribution pattern inside the pump is similar. When the particle diameter increases from 1 mm to 3 mm, the pressure in the rear cavity gradually decreases, while the pressure in the volute channel changes slightly. The presence of solid particles increases the pressure difference between the rear cavity (Zone 1) and the volute channel (Zone 2). The increase in this pressure difference will directly enhance the axial force on the impeller, which may exacerbate the bearing load and the risk of wear.
Figure 18 presents the velocity contour plots of the radial mid-section of the sewage pump under a 1.0Qd flow rate for both the clear water condition and conditions with particle diameters (ds) of 0.5 mm, 1.0 mm, 1.5 mm, and 3.0 mm. As shown in the figure, backflow is observed to varying degrees in both the impeller and pump cavity regions (Zone 1, Zone 2). Clear flow separation and stall wake zones are evident at the impeller inlet and within the volute channel, suggesting that these regions experience significant dynamic-static interference. Moreover, more pronounced backflow is observed in the rear cavity region, indicating that additional hydraulic losses occur here.
As the diameter of the solid particles increases, their ability to follow the liquid phase diminishes, resulting in a reduction in the overall flow velocity in the rear cavity of the sewage pump. This reduced flow velocity means that the impeller must exert additional work on the particles, which leads to a decline in the pump’s transmission efficiency. This phenomenon is reflected in the trend that both the pump head and efficiency decrease as the particle size increases. The weakening of the particles’ ability to align with the flow dynamics contributes to increased energy dissipation and reduced pump performance, particularly in the regions of flow separation and backflow.
Figure 19 shows the solid-phase distribution plots in the radial mid-section of the sewage pump under a 1.0Qd flow rate for both the clear water condition and conditions with particle diameters (ds) of 0.5 mm, 1.0 mm, 1.5 mm, and 3.0 mm. As indicated in the figure, solid particles are primarily concentrated within the impeller and volute flow channels. As the particle diameter increases, there is a significant increase in the concentration of solid particles along the inner wall of the volute (Zone 1). This is because larger particles require more kinetic energy to maintain the same motion, resulting in a higher volume fraction of larger particles in the volute. In contrast, the distribution of solid particles in the impeller flow channels tends to become more uniform as particle size increases. This uniformity occurs because, at higher flow rates and larger particle sizes, the particles are more evenly dispersed in the impeller due to increased mixing, although their movement is still influenced by their larger inertia. The accumulation of larger particles along the volute wall further emphasizes the influence of particle size on the flow dynamics, as the larger particles are less able to follow the flow, leading to their concentration in regions of lower velocity.
Figure 20 shows the pressure distribution in the volute mid-section of the sewage pump under the 1.0Qd flow rate for the clear water condition and the conditions with particle diameters (ds) of 0.5 mm, 1.0 mm, 1.5 mm, and 3.0 mm. As indicated in the figure, from the impeller inlet to the outlet, the pressure gradually increases along the radial direction, reaching a peak at the volute outlet. This pressure build-up is generated by the rotating impeller converting mechanical energy into hydraulic energy. Meanwhile, a local high-pressure zone is formed at the junction of the impeller outlet and the pump cavity (Zone 1). Notably, as the solid particle diameter increases, the range of this local high-pressure zone gradually shrinks. This is fundamentally because larger particles possess higher inertia and drag. The fluid must consume more pressure energy to accelerate and transport these coarser particles, leading to a reduction in the local static pressure.
Figure 21 presents the velocity distribution in the volute mid-section of the sewage pump under the 1.0Qd flow rate, encompassing both the clear water condition and scenarios with solid particles of diameters (ds) 0.5 mm, 1.0 mm, 1.5 mm, and 3.0 mm. As illustrated in the figure, when the sewage pump conveys particle-laden fluid, the inherent high-velocity zone at the impeller outlet (Zone 1) undergoes a gradual contraction with increasing particle size, accompanied by a corresponding reduction in flow velocity. Large particles, due to their substantial inertia, struggle to fully synchronize with the water flow, thereby inducing a velocity differential relative to the liquid phase. This phenomenon intensifies inter-particle collisions and escalates the dissipation of fluid energy. Concurrently, the movement of large particles tends to generate localized flow retardation effects, culminating in a decrease in the overall kinetic energy of the fluid. Such dynamics may potentially exacerbate the wear risk in the impeller outlet region during practical operation.
Figure 22 illustrates the solid-phase distribution in the volute mid-section of the sewage pump under the clear-water condition and under particle diameter (ds) conditions of 0.5 mm, 1.0 mm, 1.5 mm, and 3.0 mm at a flow rate of 1.0Qd. It can be observed that solid particles are primarily concentrated within the impeller flow passages, whereas in the volute they are predominantly deposited along the inner wall. As the particle diameter increases, the high-concentration particle region in Zone 1 becomes increasingly prominent. This trend implies that coarser particles, possessing higher inertia, are less responsive to the fluid drag force. Consequently, they are more strongly subjected to centrifugal separation and tend to accumulate along the wall. Moreover, the particle volume fraction in the vicinity of the volute tongue near the outlet shows a noticeable increase. This local accumulation is largely attributed to the direct impingement of high-inertia particles on the tongue structure, as they fail to follow the sharp curvature of the streamlines in this region.

4.6. Internal Flow Field Analysis Under Different Solid-Phase Volume Fractions

To investigate the effect of varying solid-phase volume fractions on the internal flow performance of a semi-open impeller sewage pump, numerical simulations were conducted at the design flow rate of 1.0Qd with a particle diameter of ds = 1.0 mm. The simulations were performed for solid-phase volume fractions (Cv) of 1%, 5%, 10%, and 20%, and the results were analyzed accordingly.
Figure 23 presents the pressure contour plots of the radial mid-section of the sewage pump under both the clear-water condition and with solid-phase volume fractions (Cv) of 1%, 5%, 10%, and 20% at a flow rate of 1.0Qd. As depicted in the figure, the fluid enters the rotating impeller acceleration zone through the inlet (Zone 1), where pressure data indicate the formation of a dynamic pressure gradient, which increases along the impeller’s rotational direction due to the mechanical work performed by the impeller. A global pressure peak is observed in the volute diffuser section, and the pressure level in the rear cavity is generally higher than that in the front cavity, which is a result of the asymmetric structure of the semi-open impeller. As shown in Figure 23d,e, the pressure gradient becomes more pronounced at higher solid-phase volume fractions. This intensification can be attributed to increased flow resistance and momentum transfer losses. With a higher concentration of solids, the continuous phase must expend more pressure energy to accelerate and transport the discrete particles, resulting in a steeper pressure distribution. Furthermore, as seen in Figure 23a–e, under solid–liquid two-phase flow conditions, the static pressure gradient within the volute flow passage intensifies with increasing solid-phase concentration. This indicates that as the solid-phase volume fraction increases, the energy gradient difference between the impeller’s rotating domain and the stationary domain of the pump chamber becomes more pronounced.
Figure 24 shows the velocity contour plots of the radial mid-section of the sewage pump under the clear-water condition and under solid-phase volume fractions (Cv) of 1%, 5%, 10%, and 20% at a flow rate of 1.0Qd. As illustrated in the figure, backflow phenomena of varying degrees occur in the impeller inlet, volute flow passage, and rear cavity regions. Among these, the volute flow passage exhibits the most pronounced backflow, influenced by the high-velocity flow at the impeller outlet, with a relatively large vortex region (Zone 1) being generated. As shown in Figure 24b–e, the increase in solid-phase volume fraction leads to a rise in the viscosity of the fluid medium, a reduction in the efficiency of mechanical energy conversion by the impeller, and an intensification of dynamic-static interference effects. Physically, the high concentration of particles consumes a significant amount of fluid kinetic energy through drag work. This momentum loss makes the fluid more susceptible to flow separation, thereby enlarging the vortex regions. Notably, under low-concentration conditions (1% and 5%), the overall velocity gradient distribution is relatively smooth; however, in the impeller shroud region (Zone 2), a greater degree of backflow is observed.
Figure 25 presents the solid-phase distribution in the radial mid-section of the sewage pump under the clear-water condition and under solid-phase volume fractions (Cv) of 1%, 5%, 10%, and 20% at a flow rate of 1.0Qd. As shown in Figure 25b, when the volume fraction is 5%, the solid phase is mainly concentrated at the impeller inlet (Zone 1) and along the inner wall of the volute (Zone 2). The particle distribution characteristics indicate that, at relatively low solid-phase volume fractions, solids tend to accumulate in certain critical regions of the flow field. A further examination of Figure 25b–d reveals that, with a gradual increase in solid-phase volume fraction, the frequency of inter-particle collisions and interphase momentum exchange intensifies, directly resulting in a reduction in fluid kinetic energy. This is manifested as an incremental increase in the distribution of solids within both the impeller and the volute. Notably, in the volute (Zone 2), this increasing trend is more pronounced. This is primarily attributed to the strong centrifugal force which drives the high-inertia particles towards the wall, combined with the crowding effect caused by the high local concentration, leading to significant accumulation near the boundaries.
Figure 26 shows the pressure distribution in the volute mid-section of the sewage pump under the clear-water condition and under solid-phase volume fractions (Cv) of 1%, 5%, 10%, and 20% at a flow rate of 1.0Qd. As illustrated in the figure, the overall pressure distribution trend within the volute flow passage is similar under both clear-water and solid–liquid two-phase flow conditions. However, with increasing particle volume fraction, the pressure within the flow passage exhibits a gradual upward trend. This variation is primarily attributed to the increase in the effective density of the solid–liquid mixture and the intensified inter-particle collisions. As the particle volume fraction increases, the frequent collisions among particles and the interphase drag significantly enhance the flow resistance. Physically, the fluid transfers more pressure energy to the particles to overcome the inertia of the dense solid phase. Consequently, the static pressure distribution is readjusted to balance the increased momentum exchange, resulting in a gradual increase in the overall pressure level.
Figure 27 illustrates the velocity distribution in the volute mid-section of the sewage pump under the clear-water condition and at solid-phase volume fractions (Cv) of 1%, 5%, 10%, and 20% at a flow rate of 1.0Qd. As shown in the figure, during the impeller’s rotation, the radial velocity of the fluid increases, and the velocity field distribution across different solid-phase volume fractions follows a similar evolutionary trend. In Figure 27a, the velocity distribution shows that, under the clear-water condition, a “low-velocity zone” has already formed in the volute tongue region (Zone 1). As the solid-phase volume fraction increases, the extent of this low-velocity zone expands significantly. This phenomenon can be attributed to two main factors: first, the increase in fluid medium viscosity caused by higher solid-phase concentrations intensifies the flow separation effect at the volute tongue; second, the higher particle content increases frictional interactions between the solid phase and the volute wall, resulting in greater dissipation of fluid energy. The combined effect of these two factors leads to the observed enlargement of the low-velocity zone in the tongue region. This behavior highlights the impact of solid-phase concentration on the flow dynamics within the volute, which contributes to reduced flow efficiency and potentially increased wear and erosion in these regions.
Figure 28 presents the solid-phase distribution in the volute mid-section of the sewage pump under the clear-water condition and under solid-phase volume fractions (Cv) of 1%, 5%, 10%, and 20% at a flow rate of 1.0Qd. As shown in the figure, solid particles are predominantly concentrated within the volute flow passage. From Figure 28a–d, it can be observed that the solid particle concentration near the volute outlet increases with the rise in volume fraction. This is attributed to the relatively lower flow velocity at the volute outlet. Due to their higher inertia, particles cannot follow the fluid streamlines and are driven towards the outer wall by centrifugal force, leading to accumulation. Furthermore, under high-volume-fraction conditions, as illustrated in Figure 28d, the solid-phase distribution within the impeller flow passages increases noticeably. This is primarily because the high concentration leads to increased particle-particle interaction. These interactions, combined with the momentum transfer to the fluid, hinder the effective transport of particles, resulting in a more pronounced accumulation within the impeller passages.
Figure 29 displays the turbulence kinetic energy (TKE) distribution contours in the volute at the design flow rate under clear-water conditions and varying solid volume fractions (Cv ranging from 1% to 20%). It is evident that under clear-water and low-concentration conditions, the overall flow field is predominantly characterized by blue regions, indicating low turbulence intensity. High TKE regions are confined to small areas near the blade trailing edges and the tip of the volute tongue, suggesting a relatively stable flow state.
However, as the solid volume fraction increases, the flow field structure undergoes significant changes. Particularly when the volume fraction rises to 10% and 20%, TKE intensity at the impeller outlet and the volute tongue region shows explosive growth, with red high-value zones expanding significantly towards the volute diffuser section. This increase in turbulence is primarily due to the fact that, as the concentration of particles rises, the 1.0 mm particles passing through the narrow volute tongue region struggle to follow the fluid streamlines due to their inertia. This results in a higher frequency of particle-wall collisions, leading to localized flow separation. The intense turbulence generated by the solid phase causes a substantial amount of fluid kinetic energy to be dissipated, rather than being converted into pressure energy. This explains, on a microscopic level, the significant decline in macroscopic hydraulic efficiency as solid concentration increases.
Figure 30 presents the distribution of the Turbulent Eddy Dissipation Rate in the volute under clear water and different solid concentrations. This indicator intuitively reflects the rate of fluid energy loss. By observing the contours, it is evident that under clear water and low-concentration conditions (1% and 5%), the red regions representing high energy consumption are relatively small and strictly confined to the blade trailing edges and the tip of the volute tongue. However, when the concentration rises to 10% and 20%, the high-dissipation regions near the impeller outlet and the volute tongue expand significantly towards the surroundings, accompanied by a marked increase in numerical values. This phenomenon is primarily attributed to the disturbance effect of particles on the fluid. As the concentration increases, dense particle clusters flowing out of the impeller possess high inertia and cannot pass through the volute tongue as smoothly as the liquid phase. Instead, they frequently impact the walls and agitate the surrounding fluid. Such continuous collisions and intense friction dissipate a substantial amount of kinetic energy, causing energy that should have been converted into pressure to be ineffectively consumed. This directly leads to the degradation of fluid transport efficiency under high-concentration conditions.

5. Conclusions

This study elucidated the coupled mechanisms of particle-induced solid–liquid interaction and hydraulic degradation in semi-open impeller flows through validated four-way coupled CFD simulations and variance-based statistical analysis. The results demonstrate that both particle size and volumetric concentration profoundly influence energy transfer, flow field distribution, and global performance.
(1)
Particle diameter primarily governs the intensity of hydraulic losses. Coarse particles increase inter-cavity pressure gradients, exacerbating flow asymmetry and axial thrust, whereas finer particles more effectively follow the carrier phase, promoting quasi-homogeneous dispersion and partially stabilizing the flow field.
(2)
An increase in solid-phase volume fraction enhances inter-particle collisions and momentum exchange, which in turn promotes large-scale flow separation and low-velocity recirculation, particularly in the volute tongue region. These phenomena contribute to energy loss, localized pressure gradients, and increased particle deposition on the walls, thereby heightening the susceptibility to erosion.
(3)
Quantitative variance analysis reveals that particle size has a dominant effect on head attenuation, while volumetric concentration is the primary factor influencing efficiency degradation. The interaction between these two parameters governs the transition between quasi-steady and unstable flow regimes.
(4)
The present findings elucidate the mechanisms by which suspended particles alter internal flow patterns and hydraulic energy transfer. The results provide quantitative engineering insights for optimizing multiphase pump design and enhancing operational stability.
It is important to note that while the current model captures the primary performance trends, the results at high solid concentrations (20%) represent a qualitative prediction due to the simplified treatment of collision dynamics. Future studies will incorporate transient simulations and experimental validation of particle trajectories to further refine the understanding of complex particle-laden flow behavior.

Author Contributions

Conceptualization, C.W. and H.W.; Methodology, H.W.; Software, S.L. and H.Y.; Validation, A.L., X.W. and X.J.; Formal Analysis, H.W.; Investigation, H.W. and Y.S.; Resources, C.W.; Data Curation, S.L.; Writing—Original Draft Preparation, H.W.; Writing—Review and Editing, C.W.; Visualization, H.Y.; Supervision, C.W.; Project Administration, C.W.; Funding Acquisition, C.W. All authors have read and agreed to the published version of the manuscript.

Funding

This research received no external funding.

Data Availability Statement

The data presented in this study are contained within the article.

Conflicts of Interest

Author Yansheng Shi was employed by the company SHIMGE Pump Co., Ltd. The remaining authors declare that the research was conducted in the absence of any commercial or financial relationships that could be construed as a potential conflict of interest.

References

  1. Xu, A.; Wu, Y.H.; Chen, Z.; Wu, G.; Wu, Q.; Ling, F.; Zhou, X.F.; Zheng, H.B.; Wang, C.; Zhang, X.H.; et al. Towards the new era of wastewater treatment of China: Development history, current status, and future directions. Water Cycle 2020, 1, 80–87. [Google Scholar] [CrossRef]
  2. Zheng, S.; Yang, C.; Yan, C.; Chai, M.; Sun, Z. Study on fiber clogging mechanism in sewage pump based on CFD–DEM simulation. Energies 2022, 15, 1598. [Google Scholar] [CrossRef]
  3. Ayad, A.F.; Abdalla, H.M.; Aly, A.A.E.A. Effect of semi-open impeller side clearance on the centrifugal pump performance using CFD. Aerosp. Sci. Technol. 2015, 47, 247–255. [Google Scholar] [CrossRef]
  4. Zhu, R.; Qiang, Z.; Wang, Z.; Fu, Q.; Long, Y. Influence of Cutter Head on Cavitation of Non-Jammed Submerged Grinder Pump. Appl. Sci. 2022, 12, 6112. [Google Scholar] [CrossRef]
  5. Ou, M.X.; Lin, P.; Wang, X.L.; Su, B.W. Optimized design of the impeller of a non-overload vortex pump based on the orthogonal design method. Reneng Dongli Gongcheng (J. Eng. Therm. Energy Power) 2012, 27, 591–595. [Google Scholar]
  6. Ahmadi, N. Revolutionizing Heat Exchanger Design: Helical Groove Turbulators for Superior Thermal-Hydraulic and Exergy Performance. Results Eng. 2025, 28, 107207. [Google Scholar] [CrossRef]
  7. Nishi, Y.; Matsuo, N.; Fukutomi, J. A study on internal flow in a new type of sewage pump (2nd report, influence of impeller blade loading and volute casing). J. Fluid Sci. Technol. 2009, 4, 661–672. [Google Scholar] [CrossRef]
  8. Fallah Ardeshir, H.; Javadpour, T. The Influence of Impeller Design on Hydraulic Performance of Vortex Pump. Comput. Sci. Eng. 2025, 4, 153–176. [Google Scholar]
  9. Zhou, L.; Bai, L.; Li, W.; Shi, W.; Wang, C. PIV validation of different turbulence models used for numerical simulation of a centrifugal pump diffuser. Eng. Comput. 2018, 35, 2–17. [Google Scholar] [CrossRef]
  10. Westra, R.W.; Broersma, L.; van Andel, K.; Kruyt, N.P. PIV measurements and CFD computations of secondary flow in a centrifugal pump impeller. J. Fluids Eng. 2010, 132, 061104. [Google Scholar] [CrossRef]
  11. Huang, S.; Su, X.; Qiu, G. Transient numerical simulation for solid-liquid flow in a centrifugal pump by DEM-CFD coupling. Eng. Appl. Comput. Fluid Mech. 2015, 9, 411–418. [Google Scholar] [CrossRef]
  12. Pu, W.; Ji, L.; Li, W.; Shi, W.; Tian, F.; Xiao, C.; Yang, Q.; Yang, Y.; Agarwal, R. Study on the particle dynamic characteristics in a centrifugal pump based on an improved computational fluid dynamics-discrete element model. Phys. Fluids 2024, 36, 123331. [Google Scholar] [CrossRef]
  13. Probst, M.; Pritz, B. Quantitative validation of CFD-simulation against PIV data for a centrifugal fan. In Proceedings of the 14th International Symposium on Experimental Computational Aerothermodynamics of Internal Flows, Gdańsk, Poland, 8–11 July 2019; pp. 8–11. [Google Scholar]
  14. Selim, S.M.; El-kad, M.A.; Hosien, M.A.; Younes, M.; Teaima, I.R. Effect of solid concentration on a centrifugal pump performance. ERJ Eng. Res. J. 2007, 30, 67–76. [Google Scholar] [CrossRef]
  15. Li, Y.; Zhu, Z.; He, W.; He, Z. Numerical simulation and experimental research on the influence of solid-phase characteristics on centrifugal pump performance. Chin. J. Mech. Eng. 2012, 25, 1184–1189. [Google Scholar] [CrossRef]
  16. Zhang, Y.; Li, Y.; Cui, B.; Zhu, Z.; Dou, H. Numerical simulation and analysis of solid-liquid two-phase flow in centrifugal pump. Chin. J. Mech. Eng. 2013, 26, 53–60. [Google Scholar] [CrossRef]
  17. Tarodiya, R.; Gandhi, B.K. Numerical simulation of a centrifugal slurry pump handling solid-liquid mixture: Effect of solids on flow field and performance. Adv. Powder Technol. 2019, 30, 2225–2239. [Google Scholar] [CrossRef]
  18. Pu, W.; Ji, L.; Li, W.; Shi, W.; Tian, F.; Huang, W.; Yang, Y.; Xu, X.; Agarwal, R.; Jiang, S. Energy dissipation of solid–liquid flow in a centrifugal pump based on an improved four-way coupling method. Phys. Fluids 2025, 37, 013344. [Google Scholar] [CrossRef]
  19. Dong, W.; Li, S.C.; He, F.; Fan, X.G.; Li, P.X. Effect of variable conditions on transient flow in a solid–liquid two-phase centrifugal pump. Phys. Fluids 2024, 36, 073340. [Google Scholar] [CrossRef]
  20. Lin, Z.; Hu, L.; Tao, J.; Zhu, X.; Zhou, C.; Li, Y. Analysis of high-concentration solid-liquid flow and erosion characteristics of centrifugal pump based on CFD-DEM. Chem. Eng. Sci. 2025, 317, 122106. [Google Scholar] [CrossRef]
  21. Hu, J.; Jin, G.; Zou, L.; Yu, Z.; Dong, X.; Qian, H. Solid–liquid two-phase flow characteristics considering nonspherical mineral particles in deep-sea mining systems. Ocean Eng. 2025, 320, 120323. [Google Scholar] [CrossRef]
  22. Shi, B.; Zhang, S.; Shi, L.; Hu, Z. Computational Fluid Dynamics Analysis of a Centrifugal Pump Based on Solid–Liquid Two-Phase Turbulence. ACS Omega 2025, 10, 14031–14041. [Google Scholar] [CrossRef]
  23. Shen, Z.J.; Li, R.N.; Han, W.; Zhao, W.G.; Wang, X.H. The research on particle trajectory of solid-liquid two-phase flow and erosion predicting in screw centrifugal pump. IOP Conf. Ser. Mater. Sci. Eng. 2016, 129, 012052. [Google Scholar] [CrossRef]
  24. Wang, Y.; Wang, X.; Chen, J.; Li, G.; Liu, H.; Xiong, W. An experimental insight into dynamic characteristics and wear of centrifugal pump handling multi-size particulate slurry. Eng. Fail. Anal. 2022, 138, 106303. [Google Scholar] [CrossRef]
  25. Jalalvandi, K.; Parvareh, A. CFD Modelling of Solid-Liquid Two-Phase Flow in a Centrifugal Pump and investigation of the Effects of Fluid Flow Rate and Particle Concentration on Erosion Rate. Iran. J. Chem. Eng. 2025, 22, 50–67. [Google Scholar]
  26. Li, W.; Yang, Y.; Wu, P.; Ji, L.; Liu, M.; Qi, H.; Li, S. Impact characteristics and erosion mechanism of solid particles in a centrifugal pump. Front. Energy Res. 2023, 11, 1206309. [Google Scholar] [CrossRef]
  27. Lai, F.; Wang, Y.; EI-Shahat, S.A.; Li, G.; Zhu, X. Numerical study of solid particle erosion in a centrifugal pump for liquid–solid flow. J. Fluids Eng. 2019, 141, 121302. [Google Scholar] [CrossRef]
  28. Pu, W.; Ji, L.; Li, W.; Shi, W.; Yang, Y.; Li, H.; Zhang, X. Experimental study of solid-liquid two-phase flow field in a centrifugal pump volute under multiple working conditions. Flow Meas. Instrum. 2024, 100, 102739. [Google Scholar] [CrossRef]
  29. Zhou, P.; Wen, Z.; Wang, Y.; Wu, Y.; Wu, D.; Huang, R.; Yao, Z. Improving the energy performance of vortex pump based on whale optimization algorithm. Eng. Appl. Comput. Fluid Mech. 2025, 19, 2441344. [Google Scholar] [CrossRef]
  30. Tarodiya, R.; Gandhi, B.K. Effect of particle size distribution on performance and particle kinetics in a centrifugal slurry pump handling multi-size particulate slurry. Adv. Powder Technol. 2020, 31, 4751–4767. [Google Scholar] [CrossRef]
  31. Li, Y.; Zhang, H.; Lin, Z.; Zhang, G.; Zhu, Z. Analysis of particle motion and wear characteristics for mixed particle sizes in centrifugal pumps. J. Mech. Sci. Technol. 2023, 37, 4705–4716. [Google Scholar] [CrossRef]
  32. Wang, H.; Yang, Y.; Ge, H.; Chen, P.; Che, Q.; Yao, Y.; Ji, L.; Zhou, L.; Li, H.; He, Z. CFD-DEM Simulation of particle transport in solid–liquid flow within a semi-open centrifugal pump. Eng. Appl. Comput. Fluid Mech. 2025, 19, 2585367. [Google Scholar] [CrossRef]
  33. Jiang, L.; Zhao, Y.; Zhao, Z.; Guo, T.; Bai, L.; Zhou, L. CFD-DEM simulation and experimental study of particle dynamics in a solid-liquid two-phase centrifugal pump. Adv. Powder Technol. 2025, 36, 105077. [Google Scholar] [CrossRef]
Figure 1. Physical entity of the sewage pump.
Figure 1. Physical entity of the sewage pump.
Water 18 00074 g001
Figure 2. Three-dimensional model of the sewage pump.
Figure 2. Three-dimensional model of the sewage pump.
Water 18 00074 g002
Figure 3. Computational domain.
Figure 3. Computational domain.
Water 18 00074 g003
Figure 4. Mesh generation.
Figure 4. Mesh generation.
Water 18 00074 g004
Figure 5. Comparison of External Characteristics of Turbulence Models.
Figure 5. Comparison of External Characteristics of Turbulence Models.
Water 18 00074 g005
Figure 6. On-site diagram of sewage pump performance test.
Figure 6. On-site diagram of sewage pump performance test.
Water 18 00074 g006
Figure 7. Layout diagram of sewage pump performance testing system. 1, Water pump; 2, Pressure sensor; 3, Electromagnetic flowmeter; 4, Data processing center; 5, Pressure sensor; 6, Control valve; 7, Water tank; 8, Control valve; 9, Control center.
Figure 7. Layout diagram of sewage pump performance testing system. 1, Water pump; 2, Pressure sensor; 3, Electromagnetic flowmeter; 4, Data processing center; 5, Pressure sensor; 6, Control valve; 7, Water tank; 8, Control valve; 9, Control center.
Water 18 00074 g007
Figure 8. Comparison diagram of external characteristic simulation and experimental data.
Figure 8. Comparison diagram of external characteristic simulation and experimental data.
Water 18 00074 g008
Figure 9. External characteristic curves under different particle sizes.
Figure 9. External characteristic curves under different particle sizes.
Water 18 00074 g009
Figure 10. External characteristic curves under different volume fractions.
Figure 10. External characteristic curves under different volume fractions.
Water 18 00074 g010
Figure 11. Pressure distribution in the radial mid-section of the sewage pump under different flow conditions.
Figure 11. Pressure distribution in the radial mid-section of the sewage pump under different flow conditions.
Water 18 00074 g011
Figure 12. Velocity distribution in the radial mid-section of the sewage pump under different flow conditions.
Figure 12. Velocity distribution in the radial mid-section of the sewage pump under different flow conditions.
Water 18 00074 g012
Figure 13. Solid-phase distribution in the radial mid-section of the sewage pump under different flow conditions.
Figure 13. Solid-phase distribution in the radial mid-section of the sewage pump under different flow conditions.
Water 18 00074 g013
Figure 14. Pressure distribution in the volute mid-section under different flow conditions.
Figure 14. Pressure distribution in the volute mid-section under different flow conditions.
Water 18 00074 g014
Figure 15. Velocity distribution in the volute mid-section under different flow conditions. The black circle highlights the vortex structure, and the small arrowheads represent the velocity vectors.
Figure 15. Velocity distribution in the volute mid-section under different flow conditions. The black circle highlights the vortex structure, and the small arrowheads represent the velocity vectors.
Water 18 00074 g015
Figure 16. Solid-phase distribution in the volute mid-section under different flow conditions.
Figure 16. Solid-phase distribution in the volute mid-section under different flow conditions.
Water 18 00074 g016
Figure 17. Pressure plots of the radial mid-section of the sewage pump under clear-water and different particle size conditions.
Figure 17. Pressure plots of the radial mid-section of the sewage pump under clear-water and different particle size conditions.
Water 18 00074 g017
Figure 18. Velocity plots of the radial mid-section of the sewage pump under clear-water and different particle size conditions. The black arrows indicate the flow direction.
Figure 18. Velocity plots of the radial mid-section of the sewage pump under clear-water and different particle size conditions. The black arrows indicate the flow direction.
Water 18 00074 g018
Figure 19. Solid-phase distribution plots of the radial mid-section of the sewage pump under different particle size conditions.
Figure 19. Solid-phase distribution plots of the radial mid-section of the sewage pump under different particle size conditions.
Water 18 00074 g019
Figure 20. Pressure plots of the volute mid-section under clear-water and different particle size conditions.
Figure 20. Pressure plots of the volute mid-section under clear-water and different particle size conditions.
Water 18 00074 g020
Figure 21. Velocity plots of the volute mid-section under clear-water and different particle size conditions. The black arrowheads represent the velocity vectors.
Figure 21. Velocity plots of the volute mid-section under clear-water and different particle size conditions. The black arrowheads represent the velocity vectors.
Water 18 00074 g021aWater 18 00074 g021b
Figure 22. Solid-phase distribution in the volute mid-section under different particle diameter conditions.
Figure 22. Solid-phase distribution in the volute mid-section under different particle diameter conditions.
Water 18 00074 g022
Figure 23. Pressure analysis of the radial mid-section of the sewage pump under clear-water and different solid-phase volume fraction conditions.
Figure 23. Pressure analysis of the radial mid-section of the sewage pump under clear-water and different solid-phase volume fraction conditions.
Water 18 00074 g023
Figure 24. Velocity distribution in the radial mid-section of the sewage pump under clear-water and different solid-phase volume fraction conditions. The black lines with arrowheads represent the flow streamlines.
Figure 24. Velocity distribution in the radial mid-section of the sewage pump under clear-water and different solid-phase volume fraction conditions. The black lines with arrowheads represent the flow streamlines.
Water 18 00074 g024
Figure 25. Solid-phase distribution in the radial mid-section of the sewage pump under different solid-phase volume fraction conditions.
Figure 25. Solid-phase distribution in the radial mid-section of the sewage pump under different solid-phase volume fraction conditions.
Water 18 00074 g025
Figure 26. Pressure distribution in the volute mid-section under clear-water and different solid-phase volume fraction conditions.
Figure 26. Pressure distribution in the volute mid-section under clear-water and different solid-phase volume fraction conditions.
Water 18 00074 g026
Figure 27. Velocity distribution in the volute mid-section under clear-water and different solid-phase volume fraction conditions. The black arrowheads represent the velocity vectors.
Figure 27. Velocity distribution in the volute mid-section under clear-water and different solid-phase volume fraction conditions. The black arrowheads represent the velocity vectors.
Water 18 00074 g027aWater 18 00074 g027b
Figure 28. Solid-phase distribution in the volute mid-section under different solid-phase volume fraction conditions.
Figure 28. Solid-phase distribution in the volute mid-section under different solid-phase volume fraction conditions.
Water 18 00074 g028
Figure 29. Distribution of Turbulence Kinetic Energy (TKE) in the volute under clear water and different solid volume fractions.
Figure 29. Distribution of Turbulence Kinetic Energy (TKE) in the volute under clear water and different solid volume fractions.
Water 18 00074 g029
Figure 30. Distribution of Turbulent Eddy Dissipation Rate in the volute under clear water and different solid volume fractions.
Figure 30. Distribution of Turbulent Eddy Dissipation Rate in the volute under clear water and different solid volume fractions.
Water 18 00074 g030
Table 1. Parameters of the sewage pump.
Table 1. Parameters of the sewage pump.
Flow Rate Q/(m3/h)Head H/mRotational Speed n (r/min)Rated Power P/kw
451528504
Table 2. Comparison of Key Grid Schemes.
Table 2. Comparison of Key Grid Schemes.
Scheme12345
Number of cells1,422,2343,614,7944,264,6975,601,8708,363,271
Head coefficient0.61070.60950.60040.60080.6004
Table 3. Simulation Parameters and Results of External Characteristics under Solid–Liquid Two-Phase Conditions at Rated Flow Rate.
Table 3. Simulation Parameters and Results of External Characteristics under Solid–Liquid Two-Phase Conditions at Rated Flow Rate.
Volume FractionParticle SizeHead/(m)Efficiency/(%)
1%0.5 mm14.55449.82
1%1.0 mm14.48049.77
1%1.5 mm14.32349.96
1%3.0 mm14.39249.66
5%0.5 mm14.42849.63
5%1.0 mm14.36248.93
5%1.5 mm14.11048.96
5%3.0 mm14.02049.25
10%0.5 mm14.32849.19
10%1.0 mm14.14548.44
10%1.5 mm13.96347.69
10%3.0 mm13.68946.43
20%0.5 mm14.76150.21
20%1.0 mm14.12548.57
20%1.5 mm13.89048.65
20%3.0 mm13.68147.08
Table 4. Two-Factor Model Analysis of Variance Table for Sewage Pump Head.
Table 4. Two-Factor Model Analysis of Variance Table for Sewage Pump Head.
Sum of Squares (SS)Degrees of Freedom (df)Mean Square (MS)Fp
Solid Phase Particle Size0.75330.2518.340.003
Solid Phase Concentration0.37230.1244.120.039
Solid Phase Particle Size × Concentration0.11890.0130.430.891
Error0.153160.019--
Table 5. Two-Factor Model Analysis of Variance Table for Sewage Pump Efficiency.
Table 5. Two-Factor Model Analysis of Variance Table for Sewage Pump Efficiency.
Sum of Squares (SS)Degrees of Freedom (df)Mean Square (MS)Fp
Solid Phase Particle Size5.19631.7324.830.025
Solid Phase Concentration7.59932.5337.060.007
Solid Phase Particle Size × Concentration2.84190.3160.880.573
Error0.387160.048--
Disclaimer/Publisher’s Note: The statements, opinions and data contained in all publications are solely those of the individual author(s) and contributor(s) and not of MDPI and/or the editor(s). MDPI and/or the editor(s) disclaim responsibility for any injury to people or property resulting from any ideas, methods, instructions or products referred to in the content.

Share and Cite

MDPI and ACS Style

Wang, H.; Li, A.; Wang, C.; Liu, S.; Shi, Y.; Yu, H.; Wang, X.; Jia, X. Influence Mechanism of Particle Diameter and Volume Fraction on the Solid–Liquid Two-Phase Flow Performance of Semi-Open Impeller Sewage Pumps. Water 2026, 18, 74. https://doi.org/10.3390/w18010074

AMA Style

Wang H, Li A, Wang C, Liu S, Shi Y, Yu H, Wang X, Jia X. Influence Mechanism of Particle Diameter and Volume Fraction on the Solid–Liquid Two-Phase Flow Performance of Semi-Open Impeller Sewage Pumps. Water. 2026; 18(1):74. https://doi.org/10.3390/w18010074

Chicago/Turabian Style

Wang, Hongliang, Ang Li, Chuan Wang, Shuai Liu, Yansheng Shi, Hao Yu, Xi Wang, and Xuanwen Jia. 2026. "Influence Mechanism of Particle Diameter and Volume Fraction on the Solid–Liquid Two-Phase Flow Performance of Semi-Open Impeller Sewage Pumps" Water 18, no. 1: 74. https://doi.org/10.3390/w18010074

APA Style

Wang, H., Li, A., Wang, C., Liu, S., Shi, Y., Yu, H., Wang, X., & Jia, X. (2026). Influence Mechanism of Particle Diameter and Volume Fraction on the Solid–Liquid Two-Phase Flow Performance of Semi-Open Impeller Sewage Pumps. Water, 18(1), 74. https://doi.org/10.3390/w18010074

Note that from the first issue of 2016, this journal uses article numbers instead of page numbers. See further details here.

Article Metrics

Article metric data becomes available approximately 24 hours after publication online.
Back to TopTop