Hydraulic Instability Characteristics of Pumped-Storage Units During the Transition from Hot Standby to Power Generation
Abstract
1. Introduction
2. Basic Equations
2.1. Governing Equations
2.2. Shear Stress Transport (SST) k-ω Turbulence
2.3. VOF Formula
2.4. Entropy Production Theory
- where is the mass flow rate (kg·s−1) and is the entropy production term (W·K−1).
3. Numerical Algorithm for the 3D Transient Process
3.1. Geometric Model
3.2. Mesh Generation and Grid Independence Verification
3.3. Numerical Method and Boundary Conditions
3.4. Control Strategies and Algorithm Implementation
4. Results and Discussion
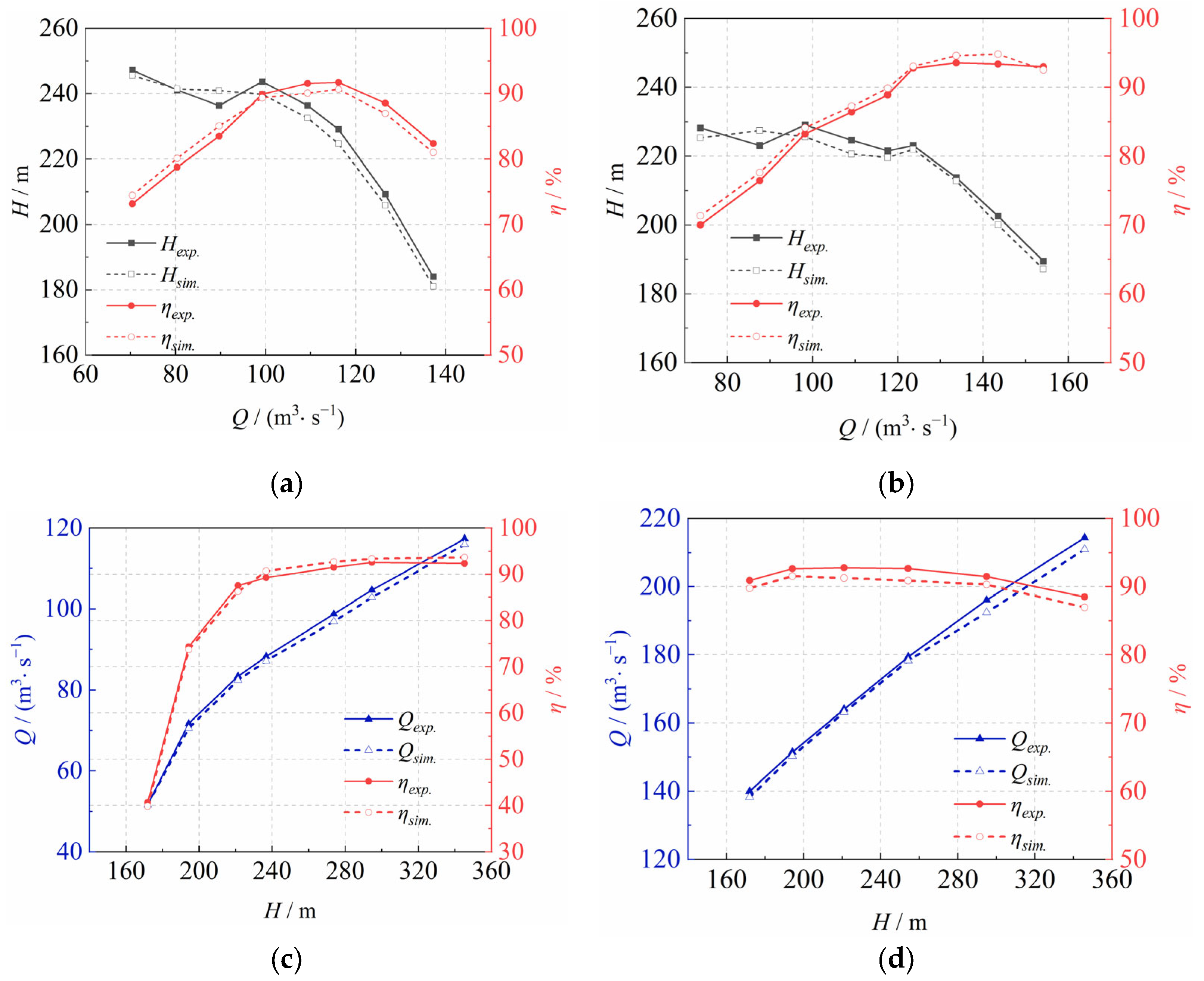
4.1. Validation of Model Accuracy
4.2. External Characteristics During the Hot-Standby-to-Generation Transition
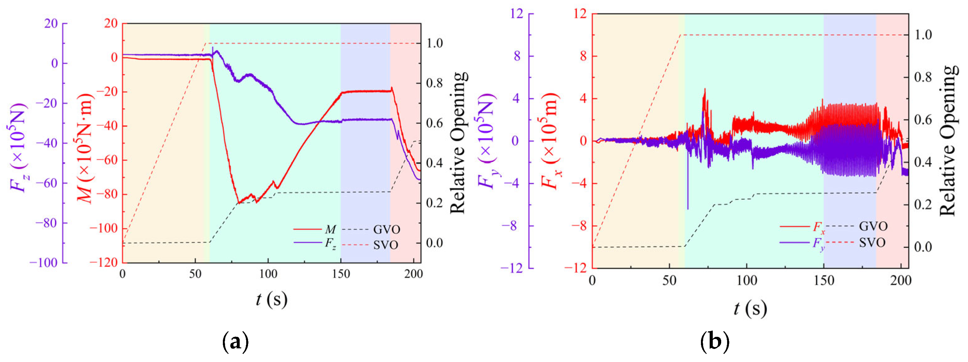
4.2.1. Evolution of External Characteristic Parameters
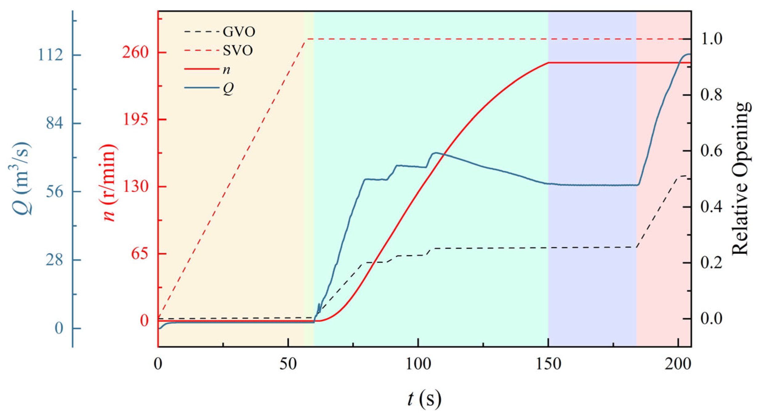
4.2.2. Evolution of Rotational Speed and Discharge
4.3. Internal-Flow Characteristics During the Hot-Standby-to-Generation Transition
4.3.1. Flow-Field Analysis of the Guide Vanes, Inter-Component Clearances, and Runner Passages
4.3.2. Draft Tube Flow-Field Analysis
4.4. Pressure Pulsations During the Hot-Standby-to-Generation Transition
Pressure Pulsation Analysis at Monitoring Points
5. Conclusions
- 1.
- Instability window. Instability is most conspicuous from vane opening to attainment of the rated speed, featuring sharp increases in Q, M, and axial force, together with amplified radial-force oscillations. In particular, during acceleration at a small opening (11.05°), Q and M partly roll back, axial force peaks, and the high-frequency content of radial load intensifies.
- 2.
- Internal-flow mechanisms and localization. The dominant instability arises during 105–150 s at small openings, localized near the guide vane leading edge/exit, in the vaneless region, and along the inner surfaces of the draft tube cone and elbow. Mechanistically, incidence mismatch, high-speed swirl in the vaneless space, and an adverse pressure gradient at the draft tube inlet trigger runner–inlet separation, strong shear in the vaneless region, and an axial recirculation core with a vortex rope in the draft tube.
- 3.
- Pressure pulsation signatures. Time domain: staged vane opening (60–105 s) raises the pulsation envelopes concurrently in the volute, vane cascades, vaneless zone, and draft tube before moving on to the interval with the strongest pressure pulses. During 105–150 s, incidence error and a strengthened draft tube adverse gradient sustain high variance, defining the main instability window. Spectrum: in the vaneless zone, the dominant peak tracks the rising speed during acceleration and settles into a horizontal ridge near rated conditions. The draft tube spectrum combines BPF components with a low-frequency vortex rope signature that reflects instability severity. In the clearance gaps and equalizing passage, broadband content dominates and blade frequency tones are weak, underscoring the damping provided by the labyrinth rings.
Author Contributions
Funding
Data Availability Statement
Conflicts of Interest
Abbreviations
| PSH | Pumped-Storage Hydropower |
| S-region | S-Shaped Characteristic Region |
| GVO | Guide Vane Opening |
| RSI | Rotor–Stator Interaction |
| CFD | Computational Fluid Dynamics |
| VOF | Volume-of-Fluid |
| EPDD | Entropy Production Rate Caused by Direct Dissipation |
| EPTD | Entropy Production Rate Caused by Turbulence Dissipation |
| EPWS | Entropy Production Rate Caused by Wall Shear Stress |
| EPR | Entropy Production Rate |
| TEP | Total Entropy Production |
| TKE | Turbulent Kinetic Energy |
| RANS | Reynolds-Averaged Navier–Stokes |
| SST | Shear Stress Transport |
| GCI | Grid Convergence Index |
| STFT | Short-Time Fourier Transform |
| BPF | Blade-Passing Frequency |
| SVO | Spherical-Valve Opening |
References
- Hoffstaedt, J.P.; Truijen, D.P.K.; Fahlbeck, J.; Gans, L.H.A.; Qudaih, M.; Laguna, A.J.; De Kooning, J.; Stockman, K.; Nilsson, H.; Storli, P.T.; et al. Low-head pumped hydro storage: A review of applicable technologies for design, grid integration, control and modelling. Renew. Sustain. Energy Rev. 2022, 158, 112119. [Google Scholar] [CrossRef]
- Nikolaos, P.C.; Marios, F.; Dimitris, K. A review of pumped hydro storage systems. Energies 2023, 16, 4516. [Google Scholar] [CrossRef]
- Vasudevan, K.R.; Ramachandaramurthy, V.K.; Venugopal, G.; Ekanayake, J.B.; Tiong, S.K. Variable speed pumped hydro storage: A review of converters, controls and energy management strategies. Renew. Sustain. Energy Rev. 2021, 135, 110156. [Google Scholar] [CrossRef]
- Li, D.; Wang, H.; Qin, Y.; Wei, X.; Qin, D. Numerical simulation of hysteresis characteristic in the hump region of a pump-turbine model. Renew. Energy 2018, 115, 433–447. [Google Scholar] [CrossRef]
- Khalili, S.; Lopez, G.; Breyer, C. Role and trends of flexibility options in 100% renewable energy system analyses towards the Power-to-X Economy. Renew. Sustain. Energy Rev. 2025, 212, 115383. [Google Scholar] [CrossRef]
- Wang, H.; Wang, F.; Wang, C.; Wang, B.; Li, C.; Li, D. A prospective assessment of scale effects of energy conversion in ultra-low-head pumped hydro energy storage units. Energy Convers. Manag. 2024, 315, 118798. [Google Scholar] [CrossRef]
- Singh, V.K.; Nath, T. Energy generation by small hydro power plant under different operating condition. Int. J. Hydromechatronics 2021, 4, 331–349. [Google Scholar] [CrossRef]
- Lu, J.; Tao, R.; Yao, Z.; Xiao, R.; Liu, W. Transient simulation energy study of fast opening of guide vane during start-up of pump turbine in energy storage mode. Energy 2025, 324, 135964. [Google Scholar] [CrossRef]
- Jin, F.; Luo, Y.; Bi, H.; Wang, H.; Wang, Z.; Lin, K.; Lei, X.; Yang, X. Transient simulation of reversible pump turbine during pump mode’s starting up. J. Energy Storage 2023, 68, 107678. [Google Scholar] [CrossRef]
- Zhang, D.; Quan, Q.; Huang, X.; Wang, Z.; Wang, B.; Xiao, Y. Transient flow-induced stress investigation on a prototype reversible pump–turbine runner. Energies 2024, 17, 3026. [Google Scholar] [CrossRef]
- Bantelay, D.T.; Gebresenbet, G.; Admasu, B.T.; Tigabu, M.T.; Getie, M.Z. Unveiling the startup characteristics of pump as turbine using computational and experimental techniques. Results Eng. 2025, 25, 103955. [Google Scholar] [CrossRef]
- Guo, J.; Zhou, D.; Wang, H. Hydraulic characteristics of pumped storage units from startup to no-load before synchronization based on PID control. Energy 2025, 330, 136747. [Google Scholar] [CrossRef]
- Wang, Z.; Yang, J.; Wang, W.; Qu, J.; Huang, X.; Zhao, W. Research on the flow-induced stress characteristics of head-cover bolts of a pump-turbine during turbine start-up. Energies 2022, 15, 1832. [Google Scholar] [CrossRef]
- Wang, T.; Yu, C.; Yang, H.; Zhao, Y.; Zhou, Y.; Liu, H.; Zhou, D.; Kan, K. Investigations into Hydraulic Instability during the Start-Up Process of a Pump-Turbine under Low-Head Conditions. Processes 2024, 12, 1876. [Google Scholar] [CrossRef]
- Yin, X.; Huang, X.; Zhang, S.; Bi, H.; Wang, Z. Numerical investigation of flow and structural characteristics of a large high-head prototype pump–turbine during turbine start-up. Energies 2023, 16, 3743. [Google Scholar] [CrossRef]
- Jin, F.; Luo, Y.; Wang, Z. Research on the starting-up process of a prototype reversible pump turbine with misaligned guide vanes: An energy loss analysis. Energy 2024, 304, 132219. [Google Scholar] [CrossRef]
- Zhang, M.; Liu, J.; Yu, J.; Nie, C. Characteristics and Optimization of Transient Process of Pump Turbine Units in Power Generation Mode. Energies 2025, 18, 602. [Google Scholar] [CrossRef]
- Moin, P.; Mahesh, K. Direct numerical simulation: A tool in turbulence research. Annu. Rev. Fluid Mech. 1998, 30, 539–578. [Google Scholar] [CrossRef]
- Pope, S.B. Turbulent Flows; Cambridge University Press: Cambridge, UK, 2003. [Google Scholar]
- Kan, K.; Liu, K.; Xu, Z.; Li, Z.; Rossi, M.; Chen, H. Fluid deformation induced energy loss of pump-turbines based on the transport of mean kinetic energy. Renew. Energy 2025, 248, 122998. [Google Scholar] [CrossRef]
- Rossi, D.; Di Giorgio, S.; Pirozzoli, S. Comparative analysis of volume of fluid and phase–field methods for numerical simulations of two-phase flows. Int. J. Multiph. Flow 2025, 189, 105245. [Google Scholar] [CrossRef]
- Zahoor, R.; Bajt, S.; Šarler, B. A numerical investigation of micro-jet characteristics in different pressure environments. Int. J. Hydromechatronics 2021, 4, 368–383. [Google Scholar] [CrossRef]
- Qiu, W.; Zhang, J.; Yu, X.; Chen, S.; Liu, Y.; Li, Y. Mathematical model and experimental validation of horizontal water level oscillations in surge tanks for hydraulic transient analysis of hydropower system. Energy 2025, 329, 136521. [Google Scholar] [CrossRef]
- Menéndez, J.; Fernández-Oro, J.M.; Galdo, M.; Loredo, J. Transient simulation of underground pumped storage hydropower plants operating in pumping mode. Energies 2020, 13, 1781. [Google Scholar] [CrossRef]
- Lu, J.; Qian, L.; Liu, X.; Choi, Y. Characterization of energy loss in jet mechanism of a Pelton turbine. Int. J. Fluid Eng. 2024, 1, 033502. [Google Scholar] [CrossRef]
- Rong, L.; Böhle, M.; Yandong, G. Improving the hydraulic performance of a high-speed submersible axial flow pump based on CFD technology. Int. J. Fluid Eng. 2024, 1, 013902. [Google Scholar] [CrossRef]
- Kock, F.; Herwig, H. Entropy production calculation for turbulent shear flows and their implementation in CFD codes. Int. J. Heat Fluid Flow 2005, 26, 672–680. [Google Scholar] [CrossRef]
- Mathieu, J.; Scott, J. An Introduction to Turbulent Flow; Cambridge University Press: Cambridge, UK, 2000. [Google Scholar]
- Xia, G.; Manickam, S.; Yoon, J.Y.; Boczkaj, G.; Wang, W.; Wang, B.; Sun, X. Technological advances and applications of rotational hydrodynamic cavitation reactors for process intensification: A comprehensive review. Chem. Eng. J. 2025, 522, 167152. [Google Scholar] [CrossRef]
- Li, Z.; You, W.; Manickam, S.; Bie, H.; Wang, W.; Sun, X. Synergistic degradation of levofloxacin (LEV) by Cu2+-activated peroxymonosulfate (PMS) under hydrodynamic cavitation (HC): Efficiency and mechanistic insights. Ultrason. Sonochemistry 2025, 123, 107679. [Google Scholar] [CrossRef]
- Tominaga, Y. CFD simulations of turbulent flow and dispersion in built environment: A perspective review. J. Wind Eng. Ind. Aerodyn. 2024, 249, 105741. [Google Scholar] [CrossRef]
- Shi, L.; Han, Y.; Xu, P.; Sun, Y.; Qiao, F.; Chen, Y.; Xue, M.; Chai, Y. Experimental study and numerical simulation of internal flow dissipation mechanism of an axial-flow pump under different design parameters. Sci. Rep. 2024, 14, 27619. [Google Scholar] [CrossRef]
- Mu, T.; Zhang, R.; Xu, H.; Fei, Z.; Feng, J.; Jin, Y.; Zheng, Y. Improvement of energy performance of the axial-flow pump by groove flow control technology based on the entropy theory. Energy 2023, 274, 127380. [Google Scholar] [CrossRef]
- Macchietto, A.; Zordan, V.; Shelton, C.R. Momentum control for balance. In ACM SIGGRAPH 2009 Papers; ACM: New York, NY, USA, 2009; pp. 1–8. [Google Scholar]
- Yang, Z.; Cheng, Y.; Liu, K.; Hou, X.; Zhang, X.; Wang, X.; Ding, J. Three-dimensional CFD simulations of start-up processes of a pump-turbine considering governor regulation. Energies 2021, 14, 8507. [Google Scholar] [CrossRef]
- Sun, Z.; Yu, J.; Tang, F.; Ge, H.; Yuan, H. Analysis of transient characteristics of submersible tubular pump during runaway transition. Front. Energy Res. 2022, 10, 894796. [Google Scholar] [CrossRef]
- Yan, X.; Zhang, F.; Kan, K.; Zheng, Y.; Xu, Z.; Chen, H.; Binama, M. Hydraulic instability of pump-turbine during fast pump-to-turbine transition under different control schemes: Changing guide vane pre-opening angles. Energy Convers. Manag. 2025, 323, 119274. [Google Scholar] [CrossRef]
- Ma, Z.; Zhu, B. Pressure fluctuations in vaneless space of pump-turbines with large blade lean runners in the S-shaped region. Renew. Energy 2020, 153, 1283–1295. [Google Scholar] [CrossRef]
- Zheng, X.; Lu, M.; Li, H.; Zhang, Y.; Li, J. Dynamic feature extraction and recognition of flow states in vaneless space of a prototype reversible pump turbine in generating mode based on variational mode decomposition and energy index. J. Energy Storage 2022, 55, 105821. [Google Scholar] [CrossRef]
- Su, W.T.; Li, X.B.; Xia, Y.X.; Liu, Q.Z.; Binama, M.; Zhang, Y.N. Pressure fluctuation characteristics of a model pump-turbine during runaway transient. Renew. Energy 2021, 163, 517–529. [Google Scholar] [CrossRef]
- Zhang, N.; Dong, H.; Zheng, F.; Gad, M.; Li, D.; Gao, B. Investigation of the impact of rotor-stator matching modes on the pressure pulsations of the guide vane centrifugal pump. Ann. Nucl. Energy 2025, 214, 111189. [Google Scholar] [CrossRef]













| Parameter | Unit | Value |
|---|---|---|
| Runner outlet diameter | D1 (m) | 5.259 |
| Runner outlet diameter | D2 (m) | 3.57 |
| Rated rotational speed | nr (rpm) | 250 |
| Rated head | Hr (m) | 195 |
| Rated discharge | Qr (m3·s−1) | 176.1 |
| Rated GVO | θ (°) | 37.4 |
| Number of runner blades | Zg | 9 |
| Number of guide vanes | Zg | 20 |
| Number of stay vanes | Zs | 20 |
| Parameter | φ = H (m) | φ = η (%) |
|---|---|---|
| number of cells N1 | 36,202,635 | |
| number of cells N2 | 15,740,276 | |
| number of cells N3 | 6,743,598 | |
| grid refinement ratio r21 | 1.3200 | |
| grid refinement ratio r32 | 1.3265 | |
| computed value φ1 | 198.0891 | 94.4047 |
| computed value φ2 | 197.8946 | 94.4360 |
| computed value φ3 | 189.0851 | 97.9472 |
| Richardson extrapolated value φext21 | 198.0938 | 94.4044 |
| approximate relative error ea21 | 0.0982% | 0.0332% |
| extrapolation error eext21 | 0.0024% | 0.0003% |
| grid convergence index on the fine pair GCIfine21 | 0.2969% | 0.0405% |
Disclaimer/Publisher’s Note: The statements, opinions and data contained in all publications are solely those of the individual author(s) and contributor(s) and not of MDPI and/or the editor(s). MDPI and/or the editor(s) disclaim responsibility for any injury to people or property resulting from any ideas, methods, instructions or products referred to in the content. |
© 2025 by the authors. Licensee MDPI, Basel, Switzerland. This article is an open access article distributed under the terms and conditions of the Creative Commons Attribution (CC BY) license.
Share and Cite
Chen, L.; Li, J.; Deng, L.; Xie, E.; Yan, X.; Hao, G.; Chen, H.; Xue, H.; Zhong, Z.; Kan, K. Hydraulic Instability Characteristics of Pumped-Storage Units During the Transition from Hot Standby to Power Generation. Water 2026, 18, 61. https://doi.org/10.3390/w18010061
Chen L, Li J, Deng L, Xie E, Yan X, Hao G, Chen H, Xue H, Zhong Z, Kan K. Hydraulic Instability Characteristics of Pumped-Storage Units During the Transition from Hot Standby to Power Generation. Water. 2026; 18(1):61. https://doi.org/10.3390/w18010061
Chicago/Turabian StyleChen, Longxiang, Jianguang Li, Lei Deng, Enguo Xie, Xiaotong Yan, Guowen Hao, Huixiang Chen, Hengyu Xue, Ziwei Zhong, and Kan Kan. 2026. "Hydraulic Instability Characteristics of Pumped-Storage Units During the Transition from Hot Standby to Power Generation" Water 18, no. 1: 61. https://doi.org/10.3390/w18010061
APA StyleChen, L., Li, J., Deng, L., Xie, E., Yan, X., Hao, G., Chen, H., Xue, H., Zhong, Z., & Kan, K. (2026). Hydraulic Instability Characteristics of Pumped-Storage Units During the Transition from Hot Standby to Power Generation. Water, 18(1), 61. https://doi.org/10.3390/w18010061

