Enhancement of Tetradesmus obliquus Adsorption for Heavy Metals Through Lysine Addition: Optimization and Competitive Study
Abstract
1. Introduction
2. Materials and Methods
2.1. Cultivation of Microalgae
2.2. Preparation of Stock Solutions
2.3. Effect of Lysine Addition
2.3.1. Effect of Lysine Exposure Time
2.3.2. Effect of Lysine Concentration
2.4. Adsorption of Single Heavy Metals
2.4.1. Biosorption Kinetics
2.4.2. Adsorption Kinetics Model
2.4.3. Adsorption Isotherm Models
- (1)
- The Langmuir adsorption isotherm equation is as follows:where qe (mg/g) represents the equilibrium adsorption capacity, indicating the amount of heavy metal ions adsorbed per unit mass of the biosorbent; qm (mg/g) denotes the maximum adsorption capacity; Ce (mg/L) indicates the residual concentration of heavy metals in the solution at equilibrium; and KL (L/mg) is the Langmuir adsorption equilibrium constant, reflecting the affinity of heavy metal ions for the biosorbent [14].
- (2)
- The Freundlich adsorption isotherm equation is as follows:where Kf is the Freundlich equilibrium constant, which is associated with the adsorption capacity. The coefficient n indicates the favorability of the adsorption process, with higher values reflecting enhanced adsorption performance. Specifically, an n value between 2 and 10 suggests effective adsorption, while a value between 1 and 2 indicates moderate difficulty in adsorption. An n value of less than 1 implies that adsorption is unlikely to occur [13].
- (3)
- The Sips isotherm model is as follows:where qmS (mg/g) represents the maximum adsorption capacity, while KS (Lns/mgns) and ns are the constants of the Sips model. Ce (mg/L) denotes the equilibrium concentration of heavy metal ions. Notably, when ns = 1, the Sips model simplifies to the Langmuir model.
2.5. Binary Heavy Metal Competitive Adsorption
2.6. Analytical Methods
2.6.1. Analysis of Three-Dimensional Fluorescence Excitation-Emission Matrix (3D-EEM)
2.6.2. Analysis of Fourier-Transform Infrared Spectroscopy (FTIR)
2.6.3. Analysis of X-Ray Photoelectron Spectroscopy (XPS)
2.7. Statistical Analysis of Data
3. Results and Discussion
3.1. Optimization of Lysine Addition Conditions
3.1.1. Optimization of Lysine Interaction Time
3.1.2. Optimization of the Lysine Concentration
3.2. Adsorption of Single Metals by Microalgae
3.2.1. Adsorption Kinetics
3.2.2. Adsorption Kinetics Model Fitting
3.2.3. Adsorption Isotherm Modeling
3.3. Binary Mixed-Metal Adsorption Study
3.3.1. Adsorption Rate
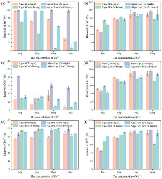
3.3.2. Removal Efficiency
3.4. Analysis and Characterization
3.4.1. 3D-EEM
3.4.2. FTIR
3.4.3. XPS
4. Conclusions
- (i)
- Mechanism of Amino Acid–Microalgae Interactions. Further studies should investigate the factors influencing the binding affinity of different amino acids to Tetradesmus obliquus and identify strategies to enhance this interaction. Additionally, research should differentiate between extracellular adsorption and intracellular uptake of heavy metals in response to amino acid modification.
- (ii)
- Competitive Adsorption Mechanisms. The specific functional groups involved in heavy metal adsorption should be identified, and their affinities for different metal ions should be evaluated. Selecting amino acids that target high-affinity functional groups could optimize microalgal surface modification for enhanced adsorption performance.
- (iii)
- Binary Isotherm Adsorption Model Analysis. Several binary isotherm models, including the Extended Langmuir and Extended Freundlich models, have been developed to predict microalgae’s efficiency in removing mixed heavy metals. However, the presence of DOM affects the adsorption behavior of microalgae, and there is limited research on how DOM influences the removal efficiency in binary metal mixtures. Future research should focus on assessing the performance of these models and refining them to improve their accuracy.
- (iv)
- Recovery and Reusability. Research is needed to explore methods for recovering microalgae after heavy metal adsorption and to assess the regeneration potential of the biosorbent. Notably, significant flocculation was observed during adsorption with lysine treatment, suggesting that self-flocculating sedimentation could serve as a potential harvesting method.
Supplementary Materials
Author Contributions
Funding
Data Availability Statement
Conflicts of Interest
References
- Hussain, F.; Shah, S.Z.; Ahmad, H.; Abubshait, S.A.; Abubshait, H.A.; Laref, A.; Manikandan, A.; Kusuma, H.S.; Iqbal, M. Microalgae an ecofriendly and sustainable wastewater treatment option: Biomass application in biofuel and bio-fertilizer production. A review. Renew. Sust. Energ. Rev. 2021, 137, 110603. [Google Scholar] [CrossRef]
- Priya, A.K.; Jalil, A.A.; Vadivel, S.; Dutta, K.; Rajendran, S.; Fujii, M.; Soto-Moscoso, M. Heavy metal remediation from wastewater using microalgae: Recent advances and future trends. Chemosphere 2022, 305, 135375. [Google Scholar] [CrossRef] [PubMed]
- Salama, E.S.; Roh, H.S.; Dev, S.; Khan, M.A.; Abou-Shanab, R.A.I.; Chang, S.W.; Jeon, B.H. Algae as a green technology for heavy metals removal from various wastewater. World J. Microbiol. Biotechnol. 2019, 35, 75. [Google Scholar] [CrossRef]
- Wang, Y.; Li, H.; Xia, W.; Yu, L.; Yao, Y.; Zhang, X.; Jiang, H. Synthesis of carbon microsphere-supported nano-zero-valent iron sulfide for enhanced removal of Cr(VI) and p-nitrophenol complex contamination in peroxymonosulfate system. J. Mol. Liq. 2023, 390, 123089. [Google Scholar] [CrossRef]
- Wang, Y.; Gong, Y.; Lin, N.; Jiang, H.; Wei, X.; Liu, N.; Zhang, X. Cellulose hydrogel coated nanometer zero-valent iron intercalated montmorillonite (CH-MMT-nFe0) for enhanced reductive removal of Cr(VI): Characterization, performance, and mechanisms. J. Mol. Liq. 2022, 347, 118355. [Google Scholar] [CrossRef]
- Peng, Z.; Zhao, D.; Fang, J.; Chen, J.; Zhang, J. Biosynthetic amyloid fibril CsgA-Fe3O4 composites for sustainable removal of heavy metals from water. Sep. Purif. Technol. 2024, 329, 125191. [Google Scholar] [CrossRef]
- González-Camejo, J.; Ferrer, J.; Seco, A.; Barat, R. Outdoor microalgae-based urban wastewater treatment: Recent advances, applications, and future perspectives. Wiley Interdiscip. Rev. Water 2021, 8, e1518. [Google Scholar] [CrossRef]
- Leong, Y.K.; Chang, J.S. Bioremediation of heavy metals using microalgae: Recent advances and mechanisms. Bioresour. Technol. 2020, 303, 122886. [Google Scholar] [CrossRef]
- Kumar, K.S.; Dahms, H.U.; Won, E.J.; Lee, J.S.; Shin, K.H. Microalgae—A promising tool for heavy metal remediation. Ecotox. Environ. Safe. 2015, 113, 329–352. [Google Scholar] [CrossRef]
- Liu, L.H.; Lin, X.A.; Luo, L.Z.; Yang, J.; Luo, J.L.; Liao, X.; Cheng, H.X. Biosorption of copper ions through microalgae from piggery digestate: Optimization, kinetic, isotherm and mechanism. J. Clean Prod. 2021, 319, 128724. [Google Scholar] [CrossRef]
- Saavedra, R.; Muñoz, R.; Taboada, M.E.; Vega, M.; Bolado, S. Comparative uptake study of arsenic, boron, copper, manganese and zinc from water by different green microalgae. Bioresour. Technol. 2018, 263, 49–57. [Google Scholar] [CrossRef] [PubMed]
- Ding, Y.R.; He, R.Y.; Wang, C.M.; Wei, Q.; Ma, X.M.; Yang, G.R. Efficient separation of Cd2+ and Pb2+ by Tetradesmus obliquus: Insights from cultivation conditions with competitive adsorption modeling. J. Water Process. Eng. 2024, 63, 105505. [Google Scholar] [CrossRef]
- Gu, S.W.; Lan, C.Q. Effects of culture pH on cell surface properties and biosorption of Pb(II), Cd (II), Zn(II) of green alga. Chem. Eng. J. 2023, 468, 143579. [Google Scholar] [CrossRef]
- Wei, Q.; He, R.Y.; Sun, H.J.; Ding, Y.R.; Wang, C.M.; Ma, X.M.; Yang, G.R. Competitive adsorption of copper and zinc ions by Tetradesmus obliquus under autotrophic and mixotrophic cultivation. J. Water Process. Eng. 2024, 60, 105201. [Google Scholar] [CrossRef]
- Ahmad, A.; Bhat, A.H.; Buang, A. Biosorption of transition metals by freely suspended and Ca-alginate immobilised with Chlorella vulgaris: Kinetic and equilibrium modeling. J. Clean Prod. 2018, 171, 1361–1375. [Google Scholar] [CrossRef]
- Ma, X.M.; Yan, X.; Yao, J.J.; Zheng, S.M.; Wei, Q. Feasibility and comparative analysis of cadmium biosorption by living scenedesmus obliquus FACHB-12 biofilms. Chemosphere 2021, 275, 130125. [Google Scholar] [CrossRef]
- Ghasemi, S.; Khoshgoftarmanesh, A.H.; Afyuni, M.; Hadadzadeh, H.; Schulin, R. Zinc-amino acid complexes are more stable than free amino acids in saline and washed soils. Soil Biol. Biochem. 2013, 63, 73–79. [Google Scholar] [CrossRef]
- Chen, J.; Li, K.W.; Hu, A.B.; Fu, Q.L.; He, H.; Wang, D.S.; Shi, J.B.; Zhang, W.J. The molecular characteristics of DOMs derived from bio-stabilized wastewater activated sludge and its effect on alleviating Cd-stress in rice seedlings (Oryza sativa L.). Sci. Total Environ. 2022, 845, 157157. [Google Scholar] [CrossRef]
- Shi, W.; Zhang, G.X.; Li, F.L.; Feng, J.R.; Chen, X.J. Two-step adsorption model for Pb ion accumulation at the algae-water interface in the presence of fulvic acid. Sci. Total Environ. 2020, 742, 140606. [Google Scholar] [CrossRef]
- Fang, J.J.; Qian, J.J.; Shi, W.; Mou, H.Q.; Chen, X.J.; Zhang, G.X.; Jin, Z.F.; Li, F.L. Role of amino acid functional group in alga-amino acid-Zn ternary complexes. J. Environ. Chem. Eng. 2023, 11, 111350. [Google Scholar] [CrossRef]
- Wei, Q.; Yuan, T.; Li, Z.; Zhao, D.; Wang, C.M.; Yang, G.R.; Tang, W.W.; Ma, X.M. Investigating cultivation strategies for enhancing protein content in Auxenochlorella pyrenoidosa FACHB-5. Bioresour. Technol. 2024, 402, 130828. [Google Scholar] [CrossRef]
- More, T.T.; Yadav, J.S.S.; Yan, S.; Tyagi, R.D.; Surampalli, R.Y. Extracellular polymeric substances of bacteria and their potential environmental applications. J. Environ. Manage. 2014, 144, 1–25. [Google Scholar] [CrossRef] [PubMed]
- Slaveykova, V.I.; Wilkinson, K.J.; Ceresa, A.; Pretsch, E. Role of fulvic acid on lead bioaccumulation by Chlorella kesslerii. Environ. Sci. Technol. 2003, 37, 1114–1121. [Google Scholar] [CrossRef]
- Fang, J.J.; Chen, S.Y.; Leng, Y.L.; Shi, W.; Zhang, G.X.; Lin, Y.J.; Li, F.L. The role of amino acids in facilitating lead accumulation in microalgae: A quantitative analysis of functional group effects. J. Mol. Liq. 2024, 399, 124465. [Google Scholar] [CrossRef]
- Chen, X.Y.; Hossain, M.F.; Duan, C.Y.; Lu, J.; Tsang, Y.F.; Islam, M.S.; Zhou, Y.B. Isotherm models for adsorption of heavy metals from water-A review. Chemosphere 2022, 307, 135545. [Google Scholar] [CrossRef]
- Jeppu, G.; Girish, C.R.; Prabhu, B.; Mayer, K. Multi-component Adsorption Isotherms: Review and Modeling Studies. Environ. Process. 2023, 10, 38. [Google Scholar] [CrossRef]
- Wang, J.L.; Guo, X. Adsorption isotherm models: Classification, physical meaning, application and solving method. Chemosphere 2020, 258, 127279. [Google Scholar] [CrossRef]
- Zhang, C.; Laipan, M.; Zhang, L.; Yu, S.; Li, Y.; Guo, J. Capturing effects of filamentous fungi Aspergillus flavus ZJ-1 on microalgae Chlorella vulgaris WZ-1 and the application of their co-integrated fungi-algae pellets for Cu(II) adsorption. J. Hazard. Mater. 2023, 442, 130105. [Google Scholar] [CrossRef]
- Sulaymon, A.H.; Mohammed, A.A.; Al-Musawi, T.J. Competitive biosorption of lead, cadmium, copper, and arsenic ions using algae. Environ. Sci. Pollut. Res. 2013, 20, 3011–3023. [Google Scholar] [CrossRef]
- Shi, W.; Jin, Z.F.; Hu, S.Y.; Fang, X.M.; Li, F.L. Dissolved organic matter affects the bioaccumulation of copper and lead in Chlorella pyrenoidosa: A case of long-term exposure. Chemosphere 2017, 174, 447–455. [Google Scholar] [CrossRef]
- Zhang, X.Z.; Amendola, P.; Hewson, J.C.; Sommerfeld, M.; Hu, Q. Influence of growth phase on harvesting of Chlorella zofingiensis by dissolved air flotation. Bioresour. Technol. 2012, 116, 477–484. [Google Scholar] [CrossRef]
- Liu, X.N.; Wu, M.H.; Li, C.C.; Yu, P.; Feng, S.S.; Li, Y.W.; Zhang, Q.Z. Interaction Structure and Affinity of Zwitterionic Amino Acids with Important Metal Cations (Cd, Cu, Fe, Hg, Mn, Ni and Zn) in Aqueous Solution: A Theoretical Study. Molecules 2022, 27, 2407. [Google Scholar] [CrossRef] [PubMed]
- Que, W.Y.; Wang, B.H.; Li, F.L.; Chen, X.J.; Jin, H.; Jin, Z.F. Mechanism of lead bioaccumulation by freshwater algae in the presence of organic acids. Chem. Geol. 2020, 540, 119565. [Google Scholar] [CrossRef]
- Lamelas, C.; Slaveykova, V.I. Comparison of Cd(II), Cu(II), and Pb(II) biouptake by green algae in the presence of humic acid. Environ. Sci. Technol. 2007, 41, 4172–4178. [Google Scholar] [CrossRef] [PubMed]
- Shi, W.; Wang, Z.W.; Li, F.L.; Xu, Y.X.; Chen, X.J. Multilayer adsorption of lead (Pb) and fulvic acid by Mechanism and impact of environmental factors. Chemosphere 2023, 329, 138596. [Google Scholar] [CrossRef]
- Luo, L.; Yang, C.; Jiang, X.; Guo, W.S.; Ngo, H.H.; Wang, X.C. Impacts of fulvic acid and Cr(VI) on metabolism and chromium removal pathways of green microalgae. J. Hazard. Mater. 2023, 459, 132171. [Google Scholar] [CrossRef]
- Gu, S.W.; Lan, C.Q. Biosorption of heavy metal ions by green alga: Effects of metal ion properties and cell wall structure. J. Hazard. Mater. 2021, 418, 126336. [Google Scholar] [CrossRef]
- Marella, T.K.; Saxena, A.; Tiwari, A. Diatom mediated heavy metal remediation: A review. Bioresour. Technol. 2020, 305, 123068. [Google Scholar] [CrossRef]
- Li, C.; Li, P.; Fu, H.; She, Z.; Zhang, C.; Li, Y.; Zhang, M.; Ge, Y. Dynamic responses and adsorption mechanisms of Chlamydomonas reinhardtii extracellular polymeric substances under Cd, Cu, Pb, and Zn exposure. Environ. Pollut. 2025, 368, 125747. [Google Scholar] [CrossRef]
- Brinza, L.; Geraki, K.; Breaban, I.G.; Neamtu, M. Zn adsorption onto Irish Fucus vesiculosus: Biosorbent uptake capacity and atomistic mechanism insights. J. Hazard. Mater. 2019, 365, 252–260. [Google Scholar] [CrossRef]
- Plöhn, M.; Escudero-Oñate, C.; Funk, C. Biosorption of Cd(II) by Nordic microalgae: Tolerance, kinetics and equilibrium studies. Algal Res. 2021, 59, 102471. [Google Scholar] [CrossRef]
- Wang, J.L.; Guo, X. Adsorption kinetic models: Physical meanings, applications, and solving methods. J. Hazard. Mater. 2020, 390, 122156. [Google Scholar] [CrossRef]
- Zhang, G.X.; Yang, B.X.; Shao, L.Z.; Li, F.L.; Leng, Y.L.; Chen, X.L. Differences in bioaccumulation of Ni and Zn by microalgae in the presence of fulvic acid. Chemosphere 2022, 291, 132838. [Google Scholar] [CrossRef] [PubMed]
- Liu, S.; Huang, J.H.; Zhang, W.; Shi, L.X.; Yi, K.X.; Zhang, C.Y.; Pang, H.L.; Li, J.N.; Li, S.Z. Investigation of the adsorption behavior of Pb(II) onto natural-aged microplastics as affected by salt ions. J. Hazard. Mater. 2022, 431, 128643. [Google Scholar] [CrossRef] [PubMed]
- Wang, S.; Vincent, T.; Faur, C.; Guibal, E. Modeling competitive sorption of lead and copper ions onto alginate and greenly prepared algal-based beads. Bioresour. Technol. 2017, 231, 26–35. [Google Scholar] [CrossRef]
- Usman, A.R.A. The relative adsorption selectivities of Pb, Cu, Zn, Cd and Ni by soils developed on shale in New Valley, Egypt. Geoderma 2008, 144, 334–343. [Google Scholar] [CrossRef]
- Areco, M.M.; Hanela, S.; Duran, J.; Afonso, M.D.S. Biosorption of Cu(II), Zn(II), Cd(II) and Pb(II) by dead biomasses of green alga Ulva lactuca and the development of a sustainable matrix for adsorption implementation. J. Hazard. Mater. 2012, 213–214, 123–132. [Google Scholar] [CrossRef]
- Bertagnolli, C.; Espindola, A.P.D.M.; Kleinübing, S.J.; Tasic, L.; Silva, M.G.C.D. Sargassum filipendula alginate from Brazil: Seasonal influence and characteristics. Carbohydr. Polym. 2014, 111, 619–623. [Google Scholar] [CrossRef]
- Wang, Z.; Wang, H.; Nie, Q.; Ding, Y.; Lei, Z.; Zhang, Z.; Shimizu, K.; Yuan, T. Pb(II) bioremediation using fresh algal-bacterial aerobic granular sludge and its underlying mechanisms highlighting the role of extracellular polymeric substances. J. Hazard. Mater. 2023, 444, 130452. [Google Scholar] [CrossRef]
- Chen, W.; Westerhoff, P.; Leenheer, J.A.; Booksh, K. Fluorescence Excitation−Emission Matrix Regional Integration to Quantify Spectra for Dissolved Organic Matter. Environ. Sci. Technol. 2003, 37, 5701–5710. [Google Scholar] [CrossRef]
- Nicomel, N.R.; Otero-Gonzalez, L.; Arashiro, L.; Garfí, M.; Ferrer, I.; Van Der Voort, P.; Verbeken, K.; Hennebel, T.; Laing, G.D. Microalgae: A sustainable adsorbent with high potential for upconcentration of indium(iii) from liquid process and waste streams. Green Chem. 2020, 22, 1985–1995. [Google Scholar] [CrossRef]
- Song, S.S.; Qiu, Z.C.; Sun-Waterhouse, D.; Bai, X.Y.; Xiang, L.; Zheng, Z.J.; Qiao, X.G. Garlic polysaccharide-Cr (III) complexes with enhanced and hypoglycemic activities. Int. J. Biol. Macromol. 2023, 237, 124178. [Google Scholar] [CrossRef]
- Krishna, D.N.G.; Philip, J. Review on surface-characterization applications of X-ray photoelectron spectroscopy (XPS): Recent developments and challenges. Appl. Surf. Sci. Adv. 2022, 12, 100332. [Google Scholar] [CrossRef]
- Kanani-Jazi, M.H.; Akbari, S. Quantitative XPS analysis of amine-terminated dendritic functionalized halloysite nanotubes decorated on PAN nanofibrous membrane and adsorption/filtration of Cr(VI). Chem. Eng. J. 2024, 482, 148746. [Google Scholar] [CrossRef]








| Experimental Group | Pseudo-First-Order Model | Pseudo-Second-Order Model | ||||
|---|---|---|---|---|---|---|
| qe | k1 | R2 | qe | k2 | R2 | |
| Algae (Cu) | 26.92 | 0.145 | 0.909 | 30.07 | 5.72 × 10−3 | 0.998 |
| Algae + Lys (Cu) | 31.32 | 8.82 | 0.997 | 30.39 | 3.08 × 10−2 | 0.999 |
| Algae (Zn) | - | - | 0.867 | 11.75 | 2.12 × 10−3 | 0758 |
| Algae + Lys (Zn) | 51.31 | 0.37 | 0.913 | 61.91 | 1.84 × 10−3 | 0.987 |
| Algae (Cd) | 3.965 | 0.16 | 0.775 | 5.25 | 1.24 × 10−2 | 0.980 |
| Algae + Lys (Cd) | 26.630 | 0.33 | 0.847 | 34.25 | 2.32 × 10−3 | 0.971 |
| Algae (Pb) | 56.08 | 0.84 | 0.999 | 56.66 | 5.09 × 10−2 | 0.999 |
| Algae + Lys (Pb) | 63.42 | 2.58 | 0.999 | 62.77 | 4.65 × 10−2 | 0.999 |
| Experimental Group | Langmuir Constant | Freundlich Constant | Sips Constant | |||||||
|---|---|---|---|---|---|---|---|---|---|---|
| qm | KL | R2 | Kf | n | R2 | qmS | KS | ns | R2 | |
| Algae (Cu) | 81.41 | 0.12 | 0.852 | 26.81 | 1.98 | 0.770 | 67.46 | 0.08 | 1.03 | 0.988 |
| Algae + Lys (Cu) | 93.60 | 0.82 | 0.922 | 62.17 | 7.75 | 0.805 | 84.98 | 1.58 | 1.92 | 0.984 |
| Algae (Zn) | 24.75 | 7.45 | 0.957 | 18.83 | 11.57 | 0.893 | 26.72 | 2.92 | 0.49 | 0.998 |
| Algae + Lys (Zn) | 79.49 | 2.68 | 0.982 | 41.05 | 4.69 | 0.728 | 78.04 | 3.26 | 1.14 | 0.969 |
| Algae (Cd) | 28.56 | 0.22 | 0.933 | 10.51 | 4.11 | 0.704 | 25.20 | 0.08 | 1.76 | 0.988 |
| Algae + Lys (Cd) | 76.09 | 0.06 | 0.981 | 8.26 | 1.95 | 0.996 | 71.23 | 0.03 | 1.22 | 0.959 |
| Algae (Pb) | 162.13 | 0.65 | 0.806 | 58.63 | 2.07 | 0.740 | 118.15 | 2.88 | 3.50 | 0.964 |
| Algae + Lys (Pb) | 165.56 | 5.87 | 0.996 | 174.47 | 2.22 | 0.975 | 178.30 | 4.23 | 0.92 | 0.995 |
| Treatment | Elemental Composition (Atomic %) | Functional Group Composition (%) | ||||||
|---|---|---|---|---|---|---|---|---|
| C 1s | O 1s | N 1s | Cu2+ | C-C/C-H | C-N/ C-O-C | COOH | O-C=O | |
| Algae | 65.14 | 15.38 | 4.92 | - | 77.30 | 14.55 | 6.94 | 1.20 |
| Algae + Lys | 63.86 | 17.13 | 5.20 | - | 66.43 | 24.15 | 7.12 | 2.29 |
| Algae + Cu | 66.45 | 14.55 | 4.07 | 0.39 | 77.72 | 14.44 | 6.36 | 1.48 |
| Algae + Lys + Cu | 62.79 | 17.13 | 5.02 | 0.85 | 69.33 | 23.34 | 4.24 | 3.08 |
Disclaimer/Publisher’s Note: The statements, opinions and data contained in all publications are solely those of the individual author(s) and contributor(s) and not of MDPI and/or the editor(s). MDPI and/or the editor(s) disclaim responsibility for any injury to people or property resulting from any ideas, methods, instructions or products referred to in the content. |
© 2025 by the authors. Licensee MDPI, Basel, Switzerland. This article is an open access article distributed under the terms and conditions of the Creative Commons Attribution (CC BY) license (https://creativecommons.org/licenses/by/4.0/).
Share and Cite
Wei, Q.; Sun, H.; Qi, H.; Wang, C.; Yang, G.; Ma, X. Enhancement of Tetradesmus obliquus Adsorption for Heavy Metals Through Lysine Addition: Optimization and Competitive Study. Water 2025, 17, 935. https://doi.org/10.3390/w17070935
Wei Q, Sun H, Qi H, Wang C, Yang G, Ma X. Enhancement of Tetradesmus obliquus Adsorption for Heavy Metals Through Lysine Addition: Optimization and Competitive Study. Water. 2025; 17(7):935. https://doi.org/10.3390/w17070935
Chicago/Turabian StyleWei, Qun, Haijian Sun, Haoqi Qi, Conghan Wang, Gairen Yang, and Xiangmeng Ma. 2025. "Enhancement of Tetradesmus obliquus Adsorption for Heavy Metals Through Lysine Addition: Optimization and Competitive Study" Water 17, no. 7: 935. https://doi.org/10.3390/w17070935
APA StyleWei, Q., Sun, H., Qi, H., Wang, C., Yang, G., & Ma, X. (2025). Enhancement of Tetradesmus obliquus Adsorption for Heavy Metals Through Lysine Addition: Optimization and Competitive Study. Water, 17(7), 935. https://doi.org/10.3390/w17070935
