Distribution of Nitrification and Its Regulating Factors in Coastal Bays with Distinct Trophic Gradients
Abstract
1. Introduction
2. Materials and Methods
2.1. Sampling
2.2. Incubation Experiments
2.3. Chemistry Analysis
2.4. Nitrification Rate Calculation
2.5. Nutrient Limitation Criteria and Evaluation of Potential Eutrophication
3. Results
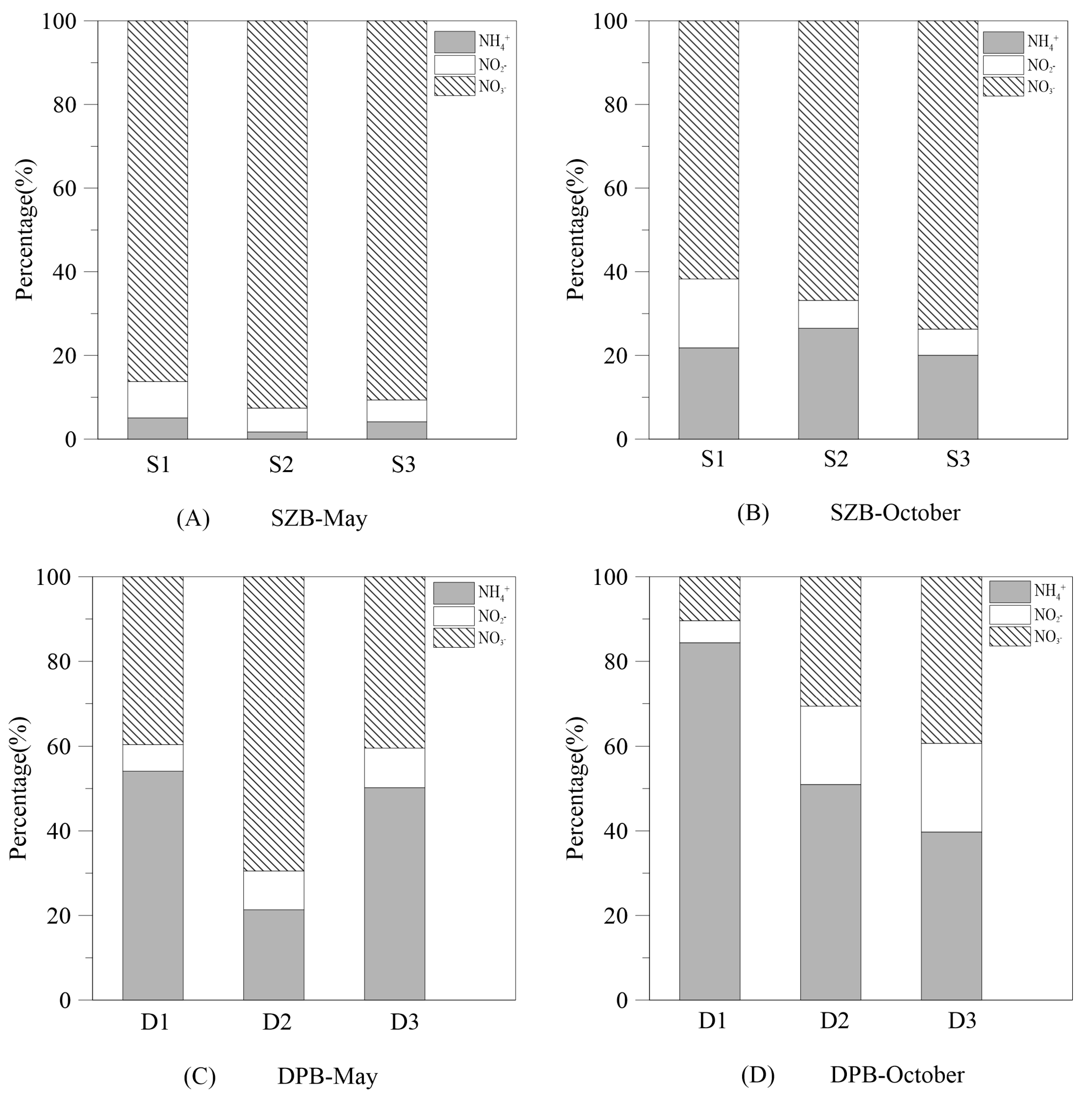
3.1. Environmental Settings
3.2. Nitrification Rate
3.3. Effect of Light on Nitrification Rate
4. Discussion
5. Conclusions
Author Contributions
Funding
Data Availability Statement
Conflicts of Interest
References
- Hutchins, D.A.; Capone, D.G. The marine nitrogen cycle: New developments and global change. Nat. Rev. Microbiol. 2022, 20, 401–414. [Google Scholar] [CrossRef] [PubMed]
- Fowler, D.; Coyle, M.; Skiba, U.; Sutton, M.A.; Cape, J.N.; Reis, S.; Sheppard, L.J.; Jenkins, A.; Grizzetti, B.; Galloway, J.N. The global nitrogen cycle in the twenty-first century. Philos. Trans. R. Soc. B Biol. Sci. 2013, 368, 20130164. [Google Scholar] [CrossRef]
- Zhao, Y.; Liu, J.; Uthaipan, K.; Song, X.; Xu, Y.; He, B.; Liu, H.; Gan, J.; Dai, M. Dynamics of inorganic carbon and pH in a large subtropical continental shelf system: Interaction between eutrophication, hypoxia, and ocean acidification. Limnol. Oceanogr. 2020, 65, 1359–1379. [Google Scholar] [CrossRef]
- Rockström, J.; Steffen, W.; Noone, K.; Persson, Å.; Chapin, F.S.; Lambin, E.F.; Lenton, T.M.; Scheffer, M.; Folke, C.; Schellnhuber, H.J. A safe operating space for humanity. Nature 2009, 461, 472–475. [Google Scholar] [CrossRef] [PubMed]
- Van Oostende, N.; Fawcett, S.E.; Marconi, D.; Lueders-Dumont, J.; Sabadel, A.; Woodward, E.; Jönsson, B.F.; Sigman, D.M.; Ward, B.B. Variation of summer phytoplankton community composition and its relationship to nitrate and regenerated nitrogen assimilation across the North Atlantic Ocean. Deep. Sea Res. Part I Oceanogr. Res. Pap. 2017, 121, 79–94. [Google Scholar] [CrossRef]
- Glibert, P.M.; Wilkerson, F.P.; Dugdale, R.C.; Raven, J.A.; Dupont, C.L.; Leavitt, P.R.; Parker, A.E.; Burkholder, J.M.; Kana, T.M. Pluses and minuses of ammonium and nitrate uptake and assimilation by phytoplankton and implications for productivity and community composition, with emphasis on nitrogen-enriched conditions. Limnol. Oceanogr. 2016, 61, 165–197. [Google Scholar] [CrossRef]
- Peng, X.; Fuchsman, C.A.; Jayakumar, A.; Oleynik, S.; Martens-Habbena, W.; Devol, A.H.; Ward, B.B. Ammonia and nitrite oxidation in the Eastern Tropical North Pacific. Glob. Biogeochem. Cycles 2015, 29, 2034–2049. [Google Scholar] [CrossRef]
- Freing, A.; Wallace, D.W.; Bange, H.W. Global oceanic production of nitrous oxide. Philos. Trans. R. Soc. B Biol. Sci. 2012, 367, 1245–1255. [Google Scholar] [CrossRef]
- Buitenhuis, E.T.; Suntharalingam, P.; Le Quéré, C. Constraints on global oceanic emissions of N2O from observations and models. Biogeosciences 2018, 15, 2161–2175. [Google Scholar] [CrossRef]
- Dore, J.E.; Popp, B.N.; Karl, D.M.; Sansone, F.J. A large source of atmospheric nitrous oxide from subtropical North Pacific surface waters. Nature 1998, 396, 63–66. [Google Scholar] [CrossRef]
- Xu, M.N.; Wu, Y.; Zhang, X.; Tang, J.-M.; Tan, E.; Zheng, Z.-Z.; Du, M.; Yan, X.; Kao, S.-J. Diel change in inorganic nitrogenous nutrient dynamics and associated oxygen stoichiometry along the Pearl River Estuary. Water Res. 2022, 222, 118954. [Google Scholar] [CrossRef]
- Zhou, J.; Zheng, Y.; Hou, L.; An, Z.; Chen, F.; Liu, B.; Wu, L.; Qi, L.; Dong, H.; Han, P. Effects of acidification on nitrification and associated nitrous oxide emission in estuarine and coastal waters. Nat. Commun. 2023, 14, 1380. [Google Scholar] [CrossRef] [PubMed]
- Hu, X.; Cai, W.J. An assessment of ocean margin anaerobic processes on oceanic alkalinity budget. Glob. Biogeochem. Cycles 2011, 25. [Google Scholar] [CrossRef]
- Xu, M.N.; Li, X.; Shi, D.; Zhang, Y.; Dai, M.; Huang, T.; Glibert, P.M.; Kao, S.J. Coupled effect of substrate and light on assimilation and oxidation of regenerated nitrogen in the euphotic ocean. Limnol. Oceanogr. 2019, 64, 1270–1283. [Google Scholar] [CrossRef]
- Zheng, Z.Z.; Wan, X.; Xu, M.N.; Hsiao, S.S.Y.; Zhang, Y.; Zheng, L.W.; Wu, Y.; Zou, W.; Kao, S.J. Effects of temperature and particles on nitrification in a eutrophic coastal bay in southern China. J. Geophys. Res. Biogeosci. 2017, 122, 2325–2337. [Google Scholar] [CrossRef]
- Ward, B. Phytoplankton community composition and gene expression of functional genes involved in carbon and nitrogen assimilation. J. Phycol. 2008, 44, 1490–1503. [Google Scholar] [CrossRef]
- Beman, J.M.; Chow, C.-E.; King, A.L.; Feng, Y.; Fuhrman, J.A.; Andersson, A.; Bates, N.R.; Popp, B.N.; Hutchins, D.A. Global declines in oceanic nitrification rates as a consequence of ocean acidification. Proc. Natl. Acad. Sci. USA 2011, 108, 208–213. [Google Scholar] [CrossRef] [PubMed]
- Isnansetyo, A.; Getsu, S.; Seguchi, M.; Koriyama, M. Independent effects of temperature, salinity, ammonium concentration and pH on nitrification rate of the Ariake seawater above mud sediment. HAYATI J. Biosci. 2014, 21, 21–30. [Google Scholar] [CrossRef]
- Damashek, J.; Casciotti, K.L.; Francis, C.A. Variable Nitrification Rates Across Environmental Gradients in Turbid, Nutrient-Rich Estuary Waters of San Francisco Bay. Estuaries Coasts 2016, 39, 1050–1071. [Google Scholar] [CrossRef]
- Merbt, S.N.; Stahl, D.A.; Casamayor, E.O.; Martí, E.; Nicol, G.W.; Prosser, J.I. Differential photoinhibition of bacterial and archaeal ammonia oxidation. FEMS Microbiol. Lett. 2012, 327, 41–46. [Google Scholar] [CrossRef]
- Smith, J.M.; Chavez, F.P.; Francis, C.A. Ammonium uptake by phytoplankton regulates nitrification in the sunlit ocean. PLoS ONE 2014, 9, e108173. [Google Scholar] [CrossRef] [PubMed]
- Hsiao, S.S.Y.; Hsu, T.C.; Liu, J.W.; Xie, X.; Zhang, Y.; Lin, J.; Wang, H.; Yang, J.Y.T.; Hsu, S.C.; Dai, M. Nitrification and its oxygen consumption along the turbid Chang Jiang River plume. Biogeosci. Discuss. 2014, 10, 8685–8713. [Google Scholar] [CrossRef]
- Kim, J.H.; Guo, X.; Park, H.S. Comparison study of the effects of temperature and free ammonia concentration on nitrification and nitrite accumulation. Process Biochem. 2008, 43, 154–160. [Google Scholar] [CrossRef]
- Jiang, T.J.; Niu, T.; Ying, W.Y. Relationship between the total discharge of pollutants in Shenzhen and the occurrence of red tides in the eastern waters. J. Appl. Ecol. 2007, 18, 1102–1106. [Google Scholar]
- Liang, Z.H.; Cheng, X.H.; Luo, H.; Wu, Q.; Li, M.G. Spatial and Temporal Distribution Characteristics of Water Quality and Source Analysis of Pollution in Shenzhen Bay. Water Resour. Prot. 2020, 36, 93–99. [Google Scholar]
- Zhang, Y.N.; Chen, J.S.; Wang, J.J.; Han, Y.; Yi, L. Remote Sensing Inversion of Net Primary Productivity and Its Spatiotemporal Variability in Shenzhen Coastal Waters. J. Appl. Oceanogr. 2017, 36, 311–318. [Google Scholar]
- Huan, Q.L.; Pang, R.S.; Zhou, Q.L.; Leng, K.M. Trends in Nitrogen and Phosphorus Nutrient Salts in Shenzhen Coastal Waters and Their Relationship with Red Tide Occurrence. Mar. Environ. Sci. 2016, 35, 908–914. [Google Scholar]
- Zhai, W.; Dai, M.; Cai, W.-J.; Wang, Y.; Wang, Z. High partial pressure of CO2 and its maintaining mechanism in a subtropical estuary: The Pearl River estuary, China. Mar. Chem. 2005, 93, 21–32. [Google Scholar] [CrossRef]
- Shi, H.M.; Wang, X.; Ma, Y.; Cai, Y.C.; Xu, X. Spatial and Temporal Distribution Characteristics of Nutrient Salts in the Northeastern Gulf of Tonkin from 2017 to 2018. Guangxi Sci. 2023, 30, 663–671. [Google Scholar]
- Tao, W.; Niu, L.; Dong, Y.; Fu, T.; Lou, Q. Nutrient pollution and its dynamic source-sink pattern in the pearl river estuary (South China). Front. Mar. Sci. 2021, 8, 713907. [Google Scholar] [CrossRef]
- Böhlke, J.K.; Smith, R.L.; Hannon, J.E. Isotopic analysis of N and O in nitrite and nitrate by sequential selective bacterial reduction to N2O. Anal. Chem. 2007, 79, 5888–5895. [Google Scholar] [CrossRef] [PubMed]
- Sigman, D.; Casciotti, K.; Andreani, M.; Barford, C.; Galanter, M.; Böhlke, J. A bacterial method for the nitrogen isotopic analysis of nitrate in seawater and freshwater. Anal. Chem. 2001, 73, 4145–4153. [Google Scholar] [CrossRef] [PubMed]
- Casciotti, K.; Sigman, D.; Hastings, M.G.; Böhlke, J.; Hilkert, A. Measurement of the oxygen isotopic composition of nitrate in seawater and freshwater using the denitrifier method. Anal. Chem. 2002, 74, 4905–4912. [Google Scholar] [CrossRef]
- Xu, M.N.; Zhang, W.Z.; Zhu, Y.F.; Liu, L.; Zheng, Z.Z.; Sean Wan, X.H.; Qian, W.; Dai, M.H.; Gan, J.P.; Hutchins, D.A.; et al. Enhanced Ammonia Oxidation Caused by Lateral Kuroshio Intrusion in the Boundary Zone of the Northern South China Sea. Geophys. Res. Lett. 2018, 45, 12345–12350. [Google Scholar] [CrossRef]
- Dortch, Q.; Packard, T.T. Differences in biomass structure between oligotrophic and eutrophic marine ecosystems. Deep. Sea Res. Part A Oceanogr. Res. Pap. 1989, 36, 223–240. [Google Scholar] [CrossRef]
- Justić, D.; Rabalais, N.N.; Turner, R.E. Stoichiometric nutrient balance and origin of coastal eutrophication. Mar. Pollut. Bull. 1995, 30, 41–46. [Google Scholar] [CrossRef]
- Guo, W.D.; Zhang, X.M.; Yang, Y.P.; Hu, M.H. Evaluation of Potential Eutrophication in Coastal Waters of China. Strait Taiwan 1998, 17, 64–70. [Google Scholar]
- Santoro, A.E.; Sakamoto, C.M.; Smith, J.M.; Plant, J.N.; Gehman, A.L.; Worden, A.Z.; Johnson, K.S.; Francis, C.A.; Casciotti, K.L. Measurements of nitrite production in and around the primary nitrite maximum in the central California Current. Biogeosciences 2013, 10, 7395–7410. [Google Scholar] [CrossRef]
- Wan, X.S.; Sheng, H.-X.; Dai, M.; Casciotti, K.L.; Church, M.J.; Zou, W.; Liu, L.; Shen, H.; Zhou, K.; Ward, B.B.; et al. Epipelagic nitrous oxide production offsets carbon sequestration by the biological pump. Nat. Geosci. 2023, 16, 29–36. [Google Scholar] [CrossRef]
- Soetaert, K.; Middelburg, J.J.; Heip, C.; Meire, P.; Van Damme, S.; Maris, T. Long-term change in dissolved inorganic nutrients in the heterotrophic Scheldt estuary (Belgium, The Netherlands). Limnol. Oceanogr. 2006, 51, 409–423. [Google Scholar] [CrossRef]
- Horak, R.E.; Qin, W.; Schauer, A.J.; Armbrust, E.V.; Ingalls, A.E.; Moffett, J.W.; Stahl, D.A.; Devol, A.H. Ammonia oxidation kinetics and temperature sensitivity of a natural marine community dominated by Archaea. Isme J. 2013, 7, 2023–2033. [Google Scholar] [CrossRef] [PubMed]
- Newell, S.E.; Fawcett, S.E.; Ward, B.B. Depth distribution of ammonia oxidation rates and ammonia-oxidizer community composition in the Sargasso Sea. Limnol. Oceanogr. 2013, 58, 1491–1500. [Google Scholar] [CrossRef]
- Lipschultz, F.; Wofsy, S.C.; Fox, L.E. The effects of light and nutrients on rates of ammonium transformation in a eutrophic river. Mar. Chem. 1985, 16, 329–341. [Google Scholar] [CrossRef]
- Horrigan, S.; Carlucci, A.; Williams, P. Light inhibition of nitrification in sea-surface films [California]. J. Mar. Res. 1981, 39, 567–580. [Google Scholar]
- Levipan, H.A.; Molina, V.; Anguita, C.; Rain-Franco, A.; Belmar, L.; Fernandez, C. Variability of nitrifying communities in surface coastal waters of the Eastern South Pacific (~36° S). Environ. Microbiol. Rep. 2016, 8, 851–864. [Google Scholar] [CrossRef]
- Kim JongGeol, K.J.; Park SooJe, P.S.; Damsté, J.; Schouten, S.; Rijpstra, W.; Jung ManYoung, J.M.; Kim SoJeong, K.S.; Gwak JooHan, G.J.; Hong HeeJi, H.H.; Si OkJa, S.O. Hydrogen peroxide detoxification is a key mechanism for growth of ammonia-oxidizing archaea. Environ. Microbiol. 2016, 18, 1528–1543. [Google Scholar]
- Ward, B. Temporal variability in nitrification rates and related biogeochemical factors in Monterey Bay, California, USA. Mar. Ecol. Prog. Ser. 2005, 292, 97–109. [Google Scholar] [CrossRef]
- Santoro, A.E.; Dupont, C.L.; Richter, R.A.; Craig, M.T.; Carini, P.; McIlvin, M.R.; Yang, Y.; Orsi, W.D.; Moran, D.M.; Saito, M.A. Genomic and proteomic characterization of “Candidatus Nitrosopelagicus brevis”: An ammonia-oxidizing archaeon from the open ocean. Proc. Natl. Acad. Sci. USA 2015, 112, 1173–1178. [Google Scholar] [CrossRef]
- Luo, H.; Tolar, B.B.; Swan, B.K.; Zhang, C.L.; Stepanauskas, R.; Ann Moran, M.; Hollibaugh, J.T. Single-cell genomics shedding light on marine Thaumarchaeota diversification. ISME J. 2014, 8, 732–736. [Google Scholar] [CrossRef]
- Francis, C.A.; Roberts, K.J.; Beman, J.M.; Santoro, A.E.; Oakley, B.B. Ubiquity and diversity of ammonia-oxidizing archaea in water columns and sediments of the ocean. Proc. Natl. Acad. Sci. USA 2005, 102, 14683–14688. [Google Scholar] [CrossRef]
- Brion, N.; Billen, G.; Guézennec, L.; Ficht, A. Distribution of nitrifying activity in the Seine River (France) from Paris to the estuary. Estuaries Coasts 2000, 23, 669–682. [Google Scholar] [CrossRef]
- Elisabeth, H.; Ines, B.; Maren, V.; Lasse, R. Extensive nitrification and active ammonia oxidizers in two contrasting coastal systems of the Baltic Sea. Environ. Microbiol. 2018, 20, 2245–2258. [Google Scholar] [CrossRef]
- Wang, H.; Shen, Z.; Guo, X.; Niu, J.; Kang, B. Ammonia adsorption and nitritation in sediments derived from the Three Gorges Reservoir, China. Environ. Earth Sci. 2010, 60, 1653–1660. [Google Scholar] [CrossRef]
- Pakulski, J.D.; Benner, R.; Whitledge, T.; Amon, R.; Eadie, B.; Cifuentes, L.; Ammerman, J.; Stockwell, D. Microbial Metabolism and Nutrient Cycling in the Mississippi and Atchafalaya River Plumes. Estuar. Coast. Shelf Sci. 2000, 50, 173–184. [Google Scholar] [CrossRef]
- Dahl, C.; Sund, C.; Kristensen, G.; Vredenbregt, L. Combined biological nitrification and denitrification of high-salinity wastewater. Water Sci. Technol. 1997, 36, 345–352. [Google Scholar] [CrossRef]
- Zhang, Q.; Tang, F.; Zhou, Y.; Xu, J.; Chen, H.; Wang, M.; Laanbroek, H.J. Shifts in the pelagic ammonia-oxidizing microbial communities along the eutrophic estuary of Yong River in Ningbo City, China. Front. Microbiol. 2015, 6, 1180. [Google Scholar] [CrossRef]
- Coci, M.; Riechmann, D.; Bodelier, P.L.; Stefani, S.; Zwart, G.; Laanbroek, H.J. Effect of salinity on temporal and spatial dynamics of ammonia-oxidising bacteria from intertidal freshwater sediment. FEMS Microbiol. Ecol. 2005, 53, 359–368. [Google Scholar] [CrossRef]








| Levels | Nutrient Levels | c(DIN)/(μmol L−1) | c(PO43−-P)/ (μmol L−1) | N/P |
|---|---|---|---|---|
| I | Poor nutrients | <14.28 | <0.97 | 8~30 |
| II | Mildly eutrophic | 14.28~21.41 | 0.97~1.45 | 8~30 |
| III | Eutrophication | >21.41 | >1.45 | 8~30 |
| IVp | P limitation, mildly eutrophic | 14.28~21.41 | - | >30 |
| Vp | P limitation, mild potential eutrophication | >21.41 | - | 30~60 |
| VIp | P limitation, potential eutrophication | >21.41 | - | >60 |
| IVN | N limitation, mildly eutrophic | - | 0.97~1.45 | <8 |
| VN | N limitation, mildly potential eutrophication | - | >1.45 | 4~8 |
| VIN | N limitation, potential eutrophication | - | >1.45 | <4 |
| Study Area | Station | N/P | Si/P | Si/N | Eutrophication Levels | Nutrient Limitation |
|---|---|---|---|---|---|---|
| SZB, May | S1 | 7.5 | 5.9 | 0.8 | III | Si limitation |
| S2 | 13.0 | 5.6 | 0.4 | III | Si limitation | |
| S3 | 10.6 | 4.2 | 0.4 | III | Si limitation | |
| SZB, October | S1 | 9.1 | 8.6 | 0.9 | III | Si limitation |
| S2 | 17.7 | 6.3 | 0.4 | III | Si limitation | |
| S3 | 18.6 | 7.4 | 0.4 | III | Si limitation | |
| DPB, May | D1 | 100.9 | 28.9 | 0.3 | I | P limitation |
| D2 | 45.0 | 10.9 | 0.2 | I | Si limitation | |
| D3 | 12.9 | 6.1 | 0.5 | I | Si limitation | |
| DPB, October | D1 | 41.1 | 51.4 | 1.2 | I | P limitation |
| D2 | 28.0 | 34.7 | 1.2 | I | P limitation | |
| D3 | 17.6 | 31.4 | 1.8 | I | P limitation |
| NTr | NTr-D | NTr-L | NH4+ | NOX− | TSM | Chl a | T | S | pH | ||
|---|---|---|---|---|---|---|---|---|---|---|---|
| NTr | r | 1.00 | 0.98 | 0.18 | 0.12 | 0.3 | 0.79 | 0.43 | 0.6 | 0.62 | 0.16 |
| P | 0.00 ** | 0.64 | 0.76 | 0.43 | 0.01 * | 0.24 | 0.08 | 0.07 | 0.69 | ||
| NTr-D | r | 0.98 | 1.00 | 0.03 | 0.07 | 0.28 | 0.69 | 0.26 | 0.5 | 0.49 | 0.14 |
| P | 0.00 ** | 0.95 | 0.86 | 0.47 | 0.04 * | 0.5 | 0.17 | 0.17 | 0.77 | ||
| NTr-L | r | 0.18 | 0.03 | 1.00 | 0.24 | 0.12 | 0.59 | 0.85 | 0.58 | 0.64 | 0.21 |
| P | 0.64 | 0.95 | 0.53 | 0.76 | 0.09 | 0.004 * | 0.1 | 0.06 | 0.6 |
| Study Area | NT r | NT r-D | NT r-L | NH4+ | Reference |
|---|---|---|---|---|---|
| (nmol L−1d−1) | (nmol L−1h−1) | (nmol L−1h−1) | (μmol L−1) | ||
| Pearl River Estuary | 0–18,200 | 0.02–1246.8 | 0.01–270.6 | 0–183.3 | [11] |
| Wuyuanwan Bay | 4.3–644.5 | 1.67–26.85 | 1.1–27.0 | [15] | |
| San Francisco Bay | 7–310 | 0.29–12.92 | 0.4–19 | [19] | |
| SZB | 12.72–615.60 | 0.59–49.37 | 0–10.15 | 2.4–37.2 | This study |
| Eastern Tropical North Pacific | 0–36 | 0–1.5 | 0–1.2 | [7] | |
| Central California Current | 0–31 | 0–1.29 | <1.5 | [18] | |
| DPB | 1.73–3.30 | 0.13–0.25 | 0.02–0.09 | 2.7–3.2 | This study |
| WNP, SCS, ECS Shelf | Surface water < 1 | <0.15 | [14,34,39] |
Disclaimer/Publisher’s Note: The statements, opinions and data contained in all publications are solely those of the individual author(s) and contributor(s) and not of MDPI and/or the editor(s). MDPI and/or the editor(s) disclaim responsibility for any injury to people or property resulting from any ideas, methods, instructions or products referred to in the content. |
© 2025 by the authors. Licensee MDPI, Basel, Switzerland. This article is an open access article distributed under the terms and conditions of the Creative Commons Attribution (CC BY) license (https://creativecommons.org/licenses/by/4.0/).
Share and Cite
Wu, Y.; Wei, W.; Luo, T.; Sun, X.; Shao, G.; Zheng, Z.; Wei, L.; Xiu, B.; Wang, C.; Liu, W.; et al. Distribution of Nitrification and Its Regulating Factors in Coastal Bays with Distinct Trophic Gradients. Water 2025, 17, 900. https://doi.org/10.3390/w17060900
Wu Y, Wei W, Luo T, Sun X, Shao G, Zheng Z, Wei L, Xiu B, Wang C, Liu W, et al. Distribution of Nitrification and Its Regulating Factors in Coastal Bays with Distinct Trophic Gradients. Water. 2025; 17(6):900. https://doi.org/10.3390/w17060900
Chicago/Turabian StyleWu, Yanhua, Wei Wei, Tao Luo, Xingnian Sun, Guanghe Shao, Zhenzhen Zheng, Lei Wei, Bin Xiu, Congqiang Wang, Wei Liu, and et al. 2025. "Distribution of Nitrification and Its Regulating Factors in Coastal Bays with Distinct Trophic Gradients" Water 17, no. 6: 900. https://doi.org/10.3390/w17060900
APA StyleWu, Y., Wei, W., Luo, T., Sun, X., Shao, G., Zheng, Z., Wei, L., Xiu, B., Wang, C., Liu, W., Wang, Z., Zhou, P., Kao, S.-J., & Tan, E. (2025). Distribution of Nitrification and Its Regulating Factors in Coastal Bays with Distinct Trophic Gradients. Water, 17(6), 900. https://doi.org/10.3390/w17060900

