Next Article in Journal
Rainwater Treatment Using Ecological Buffer Zones: Influence of Plant and Filler Collocation
Previous Article in Journal
Numerical Simulation of Fine Particle Migration in Loose Soil Under Groundwater Seepage Based on Computational Fluid Dynamics–Discrete Element Method
 
 
Font Type:
Arial Georgia Verdana
Font Size:
Aa Aa Aa
Line Spacing:
Column Width:
Background:
Article

Self-Excited Oscillating Cavitation Jet Combined with Fenton’s Reagent for Tetracycline Degradation in Water: Optimization of Geometric Structure and Operating Parameters

1
School of Urban Construction, Wuhan University of Science and Technology, Wuhan 430065, China
2
School of Computer Science and Technology, Wuhan University of Science and Technology, Wuhan 430065, China
*
Author to whom correspondence should be addressed.
Water 2025, 17(5), 742; https://doi.org/10.3390/w17050742
Submission received: 10 February 2025 / Revised: 24 February 2025 / Accepted: 28 February 2025 / Published: 3 March 2025
(This article belongs to the Section Wastewater Treatment and Reuse)

Abstract

This study utilizes a novel self-excited oscillatory hydrodynamic cavitation (HC) device for tetracycline degradation. The effects of key parameters, including cavity length, inlet-to-outlet diameter ratio, and operational conditions (inlet pressure of 0.3–0.8 MPa), as well as the initial tetracycline concentration (5.0–20.0 mg/L) and the addition of common inorganic anions, on tetracycline degradation are systematically explored. The results show that the self-excited oscillating hydrodynamic cavitator, with a cavity length of 23.0 mm and an inlet-to-outlet diameter ratio of 0.75 (inlet diameter: 3.0 mm; outlet diameter: 4.0 mm), generates a strong HC effect. Under an inlet pressure of 0.5 MPa and an initial tetracycline concentration of 10.0 mg/L, the degradation rate reaches 51.32 ± 0.56%. The three common inorganic anions, CO32−, NO3, and SO42−, all inhibit tetracycline degradation. The addition of Fenton’s reagent further enhances the degradation efficiency of tetracycline via hydrodynamic cavitation. The optimal molar ratio of Fenton’s reagent (TC:Fe2+:H2O2 = 1:1:10) is determined, resulting in a tetracycline degradation rate of 85.91 ± 0.29% after 120 min of reaction. The self-excited oscillatory hydrodynamic cavitator proposed in this study offers a simple structure, high reliability, and improved degradation efficiency, providing a novel approach to antibiotic treatment.

1. Introduction

As contemporary industries continue to advance at an accelerated pace, the discharge of organic wastewater from industrial activities has been increasing annually, exerting unprecedented pressure on the natural environment and ecosystems [1,2,3]. Industrial wastewater exhibits diverse compositions, among which tetracycline-containing wastewater has garnered significant attention from researchers.
Tetracycline antibiotics are extensively utilized in medicine and agriculture due to their cost-effectiveness and high efficacy. They are commonly used to treat bacterial infections and increase crop yields [4,5]. However, the widespread use of tetracycline has led to a growing concern regarding its environmental residues. Tetracycline antibiotics exhibit low degradability and tend to accumulate in surface water and wastewater, posing significant risks to both aquatic and terrestrial ecosystems [6,7].
The discharge of industrial wastewater serves as a major source of tetracycline contamination. Such wastewater typically contains low concentrations of tetracycline antibiotics, which are resistant to degradation. Over time, their accumulation leads to environmental contamination and poses serious risks to human health. Therefore, developing effective strategies for tetracycline removal from wastewater has become a critical environmental challenge [8,9].
Given the severity of this issue, traditional wastewater treatment technologies have proven inadequate in meeting the current demand for efficient organic wastewater purification due to their low efficiency and high operational costs [10,11]. Therefore, developing innovative approaches that simultaneously reduce costs and enhance processing efficiency has become a critical research focus in the realm of environmental preservation, aiming to achieve the efficient degradation of pollutants in industrial organic wastewater [12,13,14]. This challenge pertains not only to the efficient management of water resources but also to the long-term stability of ecological balance and public health [11].
Hydrodynamic cavitation technology, recognized as an advanced, energy-efficient, and environmentally friendly technique, holds significant application potential. It facilitates the degradation of organic matter through cavitation effects induced by high-speed water flow, demonstrating substantial potential across various fields. This technology effectively leverages the extreme microenvironment generated during cavitation, significantly enhancing physical and chemical process efficiency while offering benefits such as energy conservation, emission reduction, and improved overall performance [15,16,17]. When water flows through the special hydraulic structures of the hydraulic cavitation reactor, the change in boundary conditions leads to alterations in the path and range, resulting in changes in the flow rate and pressure. When the pressure drops below the saturated vapor pressure corresponding to the liquid’s temperature, bubbles are formed. As the liquid continues to flow through the compression section of the cavitation structure, the liquid pressure increases, leading to the subsequent growth, collapse, and implosion of the cavitation bubbles. The collapse of the cavitation bubbles is accompanied by the local destruction of chemical bonds and the generation of high temperature (5000 K or greater) and high pressure (500 atm) [18,19].
Within the domain of water purification, hydrodynamic cavitation reactor technology is widely adopted in disinfection [20], sludge management [21], and wastewater purification [22] due to its significant advantages, including ease of operation and cost efficiency. Hydrodynamic cavitation reactor technology can be classified into several main types, including Venturi-type [23,24], Plate-type [23], and Vortex-type [25], among others. This technology enables efficient energy conversion and precise fluid control through cavitation effects induced by high-speed water flow, thereby holding significant application value in fields such as water resource management and ecological environmental protection [26,27].
Boczkaj et al. investigated the effect of a Venturi tube combined with O3/H2O2 on reducing the total pollution load in asphalt production wastewater during the oxidation process [17]. Wang et al. explored the removal efficiency of methylene blue (MB) under hole plate HC treatment and studied the synergistic effect of the Na2S2O8/O3 combination [28]. Wang et al. also examined the degradation of tetracycline hydrochloride (TC) using the HC method (Venturi tube and hole plate) combined with advanced oxidation processes (AOPs) [23]. Most of the existing studies predominantly utilize simple devices such as hole plates and Venturi tubes, which result in low system energy efficiency and require further improvement in degradation efficiency. The pulse cavitation generator has been used less in wastewater treatment, but it can release a large amount of energy in a very short time. The centralized release of energy from each pulse produces a very strong cavitation effect [29]. By thoroughly investigating the performance characteristics of hydrodynamic cavitation reactors and optimizing their key operating parameters, the reactor’s operational efficiency can be significantly improved, leading to reduced energy consumption and enhanced water treatment effectiveness. The integration of hydrodynamic cavitation technology with Fenton reactions effectively addresses the limited generation of free radicals in standalone hydrodynamic cavitation processes, thereby enabling the deeper degradation of organic pollutants in wastewater [15,30]. Therefore, the synergistic effect between the two can further enhance the degradation efficiency of tetracycline.
This paper employs a custom-built system to investigate the degradation of tetracycline in a 5 L solution using a self-excited oscillating hydrodynamic reactor. It examines the influence of key experimental conditions on degradation efficiency, including reactor parameters such as cavity length and nozzle inlet-to-outlet size ratio, initial tetracycline concentration, inlet pressure, the presence of inorganic anions, and variations in water quality. Building on these findings, key hydrodynamic parameters are optimized to improve degradation efficiency. Furthermore, quenching experiments are conducted to identify the main active substance involved in the degradation process. Finally, the optimized hydrodynamic parameters are integrated with the Fenton method to achieve enhanced tetracycline degradation.

2. Materials and Methods

2.1. Experimental Equipment

The experimental setup of the hydrodynamic cavitation reactor is shown in Figure 1. The reactor consists of two main components: a circulation pipe and a degradation tank. The pipe equipped with devices (valves, flow meter, and pressure gauge) is made of stainless steel, the connecting pipe between the stainless-steel pipe and the water tank is a PU pipe, and the connecting pipe between the pump and the system is a PVC pipe. Except for the PU pipe, which has a diameter of 10 mm, the diameter of the other pipes is 14 mm. The pump power is only 2 kW, the pipeline pressure is lower than 1 MPa, and the core components are only about 5 cm in size, covering a small area. The degradation tank is constructed from plexiglass. One end of the circulation pipe is connected to an auto-oscillating generator, which is immersed in the liquid within the degradation tank, while the other end is connected to the tank’s bottom. Between the bottom of the degradation tank and the auto-oscillating generator, the circulation pipe is equipped with a circulation pump, throttle valve I, a flow meter, and a pressure gauge. The flow meter and pressure gauge provide real-time feedback on the dynamic characteristics of the water flow, ensuring precise system control and adjustment. A pressure control branch pipe, connected to the degradation tank, is integrated into the circulation pipe. The primary function of this branch pipe is to maintain a stable water supply to the inlet pipe connected to the oscillation chamber. Throttle valve II is installed on this branch pipe. By adjusting the two throttle valves, the flow rate and inlet pressure can be precisely controlled, ensuring efficient system operation.
The core section of Figure 1b, which shows the self-excited oscillation generator, consists of a front nozzle, a chamber, and a rear nozzle connected in sequence, where the front nozzle is linked to the circulation pipe. The rear nozzle has a larger diameter than the front nozzle, and the side of the chamber near the rear nozzle is concave. Collision walls are positioned on both sides of the chamber near the rear nozzle, forming a 60° angle with it. In the self-excited oscillation hydrodynamic cavitation generator, the unique structural design of the self-oscillating chamber converts continuous jets into pulsed jets, resulting in intense pulse phenomena in the water tank. This process generates a large quantity of hydroxyl radicals, which are highly reactive and can rapidly degrade harmful substances, thereby enhancing water purification. An acrylic panel behind the water tank enables detailed and precise observation of the pulsed cavitation jet’s impact performance.

2.2. Reagents and Solutions

The hydrodynamic cavitation (HC) degradation of tetracycline solution at specific concentrations was carried out in this study. The tetracycline (C22H24N2O8, 96.0%) and ferrous sulfate (FeSO4·7H2O, ≥99.0%) were purchased from the Aladdin Reagent Company (Shanghai, China) as analytical grade. The sulphuric acid (H2SO4, 98.3%), potassium hydroxide (KOH, ≥99.0%), tert-butanol (t-BuOH, CP), p-benzoquinone (BQ, CP), sodium carbonate (Na2CO3, AR), sodium nitrate (NaNO3, AR), sodium sulphate (Na2SO4, AR), and hydrogen peroxide (H2O2, 30%), all of analytical grade, were purchased from Sinopharm Group Chemical Reagent Company (Shanghai, China). Methanol (MeOH, ≥99.9%) was provided by Fisher Scientific. All the solutions used in the experiment were ultrapure water with a resistivity of 18.25 MΩ·cm except for the experiment to investigate the influence of water quality.

2.3. Methods

The degradation of tetracycline (TC) via hydrodynamic cavitation (HC) was conducted under various conditions. In the experiments, with a room temperature of 26 °C, a constant solvent volume of 5 L was maintained, with a fixed degradation time of 120 min. Samples were analyzed at regular intervals of 20 min. The experiment was repeated three times to ensure the accuracy of the results. By adjusting the system pressure and altering the nozzle structure, the influence of different system pressures (0.3–0.8 MPa), outlet diameters (1.6–4.0 mm), and chamber lengths (18.0–25.0 mm) on TC degradation was investigated. Solutions with varying concentrations of TC were prepared to assess the effect of the initial concentration (5.0–20.0 mg/L) on the degradation rate. After determining the optimal operational parameters, experiments were performed to examine the combined degradation of TC using HC and Fenton’s reagent, with the solution pH adjusted to 3. Furthermore, the impact of different environmental media on TC degradation was analyzed by varying the solvent (ultrapure water, tap water, Qinhu Lake water, and Huangjia Lake water), and key radicals involved in the degradation process were identified through quenching experiments.

2.4. Analysis

In this study, the absorbance of the tetracycline (TC) solution at 356 nm was measured using a UV spectrophotometer (AOYI INSTRUMENTS SHANGHAI CO, Ltd., Shanghai, China) throughout the experiment. A linear relationship between the TC solution concentration and its absorbance was established. The concentration of the solution was subsequently calculated based on the absorbance measurements obtained during the experiment.
Self-excited oscillation cavitation was employed as the hydrodynamic cavitation device to generate the concentration–time curve for tetracycline. The degradation rate of TC was determined using the following formula:
Tetracycline   degradation   rate   ( % ) = C 0 C t C t × 100 %
The relationship between the concentration of tetracycline and reaction time was modeled to derive the following correlation:
ln C 0 C t = K t
where C0 and Ct represent the initial concentration of tetracycline and the concentration at time t, respectively; K is the degradation rate constant (min−1); t is the reaction time (min). This relationship indicates that the degradation process of tetracycline conforms to the characteristics of first-order kinetics.
The Synergistic Index (SI) is calculated using Formula (3). The synergistic effect refers to the phenomenon where two or more systems interact during degradation, leading to a higher efficiency in pollutant reduction compared to when each system acts independently. The Synergistic Index is used to describe the effectiveness of such interactions, typically expressed as a numerical value; a value greater than 1 indicates a significant synergistic effect.
S I = k k i
where k represents the kinetic constant of two or more system processes; ki represents the kinetic constant of a single system process.

3. Results and Discussion

3.1. The Influence of Reactor Structure on TC Degradation

Different structural dimensions will affect the flow state and pulse effect of the internal fluid [31,32]. These alterations exert a considerable impact on the degradation process of tetracycline. In the present investigation, the degradation efficacy of tetracycline (TC) was assessed under identical conditions by examining the effects of different cavity lengths and inlet-to-outlet diameter ratios on the degradation process. This study revealed that the degradation efficiency of TC is contingent upon the specific structural dimensions, with the degradation rate of TC achieving its maximum when the dimensions are optimized to a moderate scale.

3.1.1. Chamber Length

This experimental study examined the correlation between chamber length and the degradation rate of tetracycline across four distinct chamber lengths: 18.0 mm, 20.0 mm, 23.0 mm, and 25.0 mm. As shown in Figure 2, the figure illustrates the specific trend in the impact of chamber length on the degradation rate. Throughout the entire 120 min experimental duration, the degradation rate for the 23.0 mm chamber length consistently surpassed that of the other three lengths. The degradation rates for the 20.0 mm and 25.0 mm chamber lengths were comparatively similar, whereas the degradation rate for the 18 mm chamber length was the most inferior. After 120 min, the maximum degradation rate observed was 51.32 ± 0.56%, with a corresponding degradation rate constant of 5.8 × 10−3 min−1. In contrast, the degradation rates for the 18.0 mm, 20.0 mm, and 25.0 mm chamber lengths were 33.16 ± 0.28%, 42.31 ± 1.68%, and 40.15 ± 0.14%, respectively, at the same time.
Throughout the experiment, it was noted that an increase in the length of the oscillation chamber led to a gradual intensification of the oscillatory effect. A significant pulse jet effect was noted when the chamber length was extended to 23.0 mm. Subsequent increases in chamber length, however, led to a gradual diminishment of the pulse effect. Across the entire experimental duration, the degradation rate achieved with a 23.0 mm chamber length remained superior. This observation may be explained by the influence of the geometric dimensions of the oscillation chamber on the formation and characteristics of cavitation vortices and jets [33,34]. An excessively short chamber length impedes the complete evolution of cavitation vortices, thereby constraining their development. Conversely, an overly extended chamber length exacerbates the damping effect of the chamber on the jet, augmenting the reverse pressure gradient at the wave exit. This behavior results in the progressive accumulation of high-intensity energy within the chamber, leading to a decay in pulse energy output and a subsequent weakening of the pulse jet phenomenon.
Therefore, it is imperative that the cavity length be optimized within a certain range to maximize the cavitation effect, thereby generating an efficient pulse cavitation jet. This optimization is critical to enhancing the degradation efficiency of tetracycline.

3.1.2. Ratio of Import and Export Diameters

The ratio of inlet-to-outlet dimensions significantly influences the fluid flow rate within the system [35]. The flow characteristics, whether laminar or turbulent, are dictated by the flow velocity in conjunction with the inlet and outlet dimensions. Turbulence, in particular, facilitates increased bubble mixing and collision [33], which may enhance the degradation efficiency of tetracycline.
In scenarios where the outlet diameter is equal to or nearly matches the inlet diameter, the jet is confined to the outlet section, precluding backflow. Consequently, the pressure within the oscillation chamber stabilizes, precluding the formation of a pulse jet. Consequently, this investigation utilized an auto-oscillating generator with a fixed inlet diameter of 3.0 mm and varying outlet diameters of 1.6 mm, 1.8 mm, and 4.0 mm to examine the impact of diverse inlet-to-outlet size ratios on the degradation of tetracycline. Figure 3 shows that the optimal degradation effect is achieved when the inlet-to-outlet size ratio is 0.75 (with an outlet diameter of 4.0 mm), yielding a degradation rate constant of 5.8 × 10−3 min−1.
A larger inlet-to-outlet size ratio results in a more stable fluid flow, diminishing the production of vortices and turbulence. Conversely, a smaller inlet paired with a larger outlet increases the flow rate, intensifies the pulsation effect, and enhances the cavitation effect. An ill-suited inlet-to-outlet size ratio can generate unstable bubbles, affecting their oscillation frequency and collapse strength, and ultimately influence the degradation efficiency of tetracycline. A reduced inlet-to-outlet size ratio may augment the frequency of bubble collapse, thereby potentiating the reaction effect.

3.2. The Influence of Inlet Pressure on TC Degradation

Appropriate inlet pressure is crucial for enhancing the degradation efficiency of tetracycline [31]. Both excessively high and low pressures can diminish the degradation efficacy: excessive pressure may result in the instability of bubbles, whereas insufficient pressure may fail to generate a robust cavitation effect necessary for effective degradation [23,36].
The impact of varying inlet pressures (0.3 MPa, 0.4 MPa, 0.5 MPa, 0.6 MPa, and 0.8 MPa) on the degradation of tetracycline was investigated. Figure 4 shows that the degradation rate initially increased with the rise in pressure, followed by a subsequent decline, with the optimal degradation effect observed at an inlet pressure of 0.5 MPa. The degradation reaction rate constant increased from 2.4 × 10−3 min−1 to a peak of 5.8 × 10−3 min−1, before decreasing to 3.3 × 10−3 min−1.
The inlet pressure directly affects the formation and collapse of bubbles in the liquid. As the inlet pressure increases, the longitudinal impact of the liquid intensifies, thereby enhancing the generation of bubbles [37,38]. The variation in inlet pressure alters the energy released during bubble collapse. Within a specific range, an increase in inlet pressure generally results in a more vigorous bubble collapse, producing higher local temperatures and pressures, which can augment the reaction efficiency. However, upon reaching the optimal pressure, further pressure increments lead to an increase in the number of cavities, causing larger bubbles to form without collapsing—a phenomenon known as super-cavitation [23]. Super-cavitation hinders cavity collapse, limits the generation of hydroxyl radicals, and thereby reduces the degradation efficiency of tetracycline.

3.3. The Influence of Initial Concentration on TC Degradation

In the practical application of wastewater treatment processes, the variability in pollutant concentrations significantly influences treatment duration, cost, and degradation efficiency. To optimize the efficacy and expedite the wastewater treatment process, it is imperative to establish an appropriate concentration range for the hydrodynamic cavitation (HC) degradation reactions. This research experimentally examines the impact of initial pollutant concentrations ranging from 5.0 mg/L to 20.0 mg/L on degradation rates.
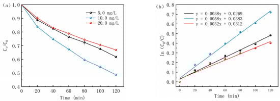
As shown in Figure 5, as the initial concentration of the pollutant increases from 5.0 mg/L to 20.0 mg/L, the degradation rate exhibits a trend of initial increase followed by a decrease. The degradation rates at concentrations of 5.0 mg/L, 10.0 mg/L, and 20.0 mg/L were 38.22 ± 0.15%, 51.32 ± 0.56%, and 33.10 ± 0.30%, respectively. The corresponding degradation reaction rate constants were 3.8 × 10−3 min−1, 5.8 × 10−3 min−1, and 3.2 × 10−3 min−1. It is evident that both lower and higher initial concentrations reduce the degradation rate. Lower concentrations of tetracycline molecules are better dispersed in solution, making them less likely to aggregate under hydrodynamic cavitation, thus reducing the contact opportunities between cavitation bubbles and tetracycline molecules; as the initial concentration of tetracycline increases, the number of tetracycline molecules per unit volume increases, leading to an increased frequency of collisions between free radicals and tetracycline molecules during the degradation reaction, but the number of free radicals is limited [37,38]. Therefore, each tetracycline molecule has a relatively reduced opportunity to obtain free radicals, resulting in a lower degradation rate.

3.4. Identification of Free Radicals and Prediction of Degradation Pathways

In the hydrodynamic cavitation process, the implosion of bubbles creates an environment characterized by elevated temperatures and pressures, which in turn facilitates the generation of free radicals [26]. These free radicals play a crucial role in the degradation of tetracycline. Radical scavengers can rapidly react with these free radicals to inhibit their activity. The strategic introduction of specific scavengers allows for the capture or suppression of free radicals within the reaction matrix, thereby enabling the analysis and identification of the pivotal free radicals involved in the degradation mechanism.
The experimental protocol involved the separate addition of methanol (MeOH), tert-butanol (t-BuOH), and p-benzoquinone (BQ) as radical scavengers to elucidate the mechanism underlying the hydrodynamic cavitation-induced degradation of tetracycline. The incorporation of these scavengers typically results in a diminution of tetracycline degradation efficiency. This decline is attributable to the scavenging reaction, which diminishes the concentration of free radicals and directly impacts the reaction rate between tetracycline and free radicals. As shown in Figure 6, after 120 min of experiments with the three quenching agents MeOH, t-BuOH, and BQ, the degradation rates of TC were 25.88 ± 1.62%, 34.60 ± 0.45%, and 19.15 ± 1.03%, respectively, all significantly reducing the degradation rate of tetracycline. Methanol and tert-butanol primarily scavenge hydroxyl radicals (·OH), whereas p-benzoquinone is more effective at scavenging superoxide radicals (·O2) [39,40,41]. This shows that ·OH and ·O2 are the predominant active species influencing the reaction system. Numerous studies have indicated that ·O2 does not directly react with organic compounds to induce oxidation but rather participates in the reaction as a precursor to ·OH formation. Consequently, scavenging ·O2 reduces the generation of ·OH, thereby diminishing the degradation of tetracycline. This explains the marked reduction in tetracycline degradation rate observed with the addition of BQ.
The fundamental role of hydrodynamic cavitation in the degradation process is the generation of extreme temperatures (5000 K or greater), elevated pressures (500 atm), and potent oxidative free radicals via the formation and subsequent collapse of vapor cavities [19]. These combined effects facilitate the fragmentation of tetracycline molecules and the rupture of chemical bonds. The degradation pathways for tetracycline encompass a series of reactions including hydroxylation, demethylation, dehydroxylation, decarbonylation, and the scission and ring-opening of C-N bonds [7]. Based on the oxidation products and degradation pathways in existing literature [4,7,23,42,43], the possible degradation pathways of TC are illustrated in Figure 7.
One pathway involves hydroxylation, resulting in the formation of the polyhydroxy compound A. Simultaneously, dehydroxylation, C-N bond cleavage, and demethylation occur, yielding compound D. Subject to the influence of reactive species and the harsh conditions of high temperature and pressure, compounds A and D undergo further transformations including dehydroxylation, decarbonylation, and ring-opening reactions to produce intermediates B, C, and E. Ultimately, intermediates C and E are converted into smaller molecular weight compounds F, G, and H. These intermediates may undergo additional oxidation processes, and as the degradation progresses, they are ultimately metabolized to H2O and CO2.

3.5. The Influence of Inorganic Anions on TC Degradation

The degradation of organic pollutants in surface water and actual industrial wastewater, which typically contain inorganic anions such as nitrates, sulfates, and carbonates, necessitates an evaluation of their influence on the degradation process [4,7]. During hydrodynamic cavitation, the implosion of bubbles yields potent oxidants, including hydroxyl radicals (·OH), and the presence of inorganic anions may modulate the production and scavenging of these radicals [44]. In aqueous environments, inorganic anions can compete with tetracycline or its degradation by-products for reactive sites, thereby impacting the overall degradation efficiency. Additionally, certain inorganic anions may be complex with tetracycline, altering its stability and biodegradability in water.
As shown in Figure 8, the degradation kinetics of tetracycline (TC) in the presence of various inorganic anions. After a 120 min incubation period, the degradation rates of TC in solutions containing CO32−, NO3, and SO42− were determined to be 28.76 ± 0.26%, 44.08 ± 1.26%, and 31.62 ± 1.11%, respectively. By comparison, the degradation rate of TC in a solution devoid of inorganic anions was significantly higher, reaching 51.32 ± 0.56% after the same duration. These data collectively suggest that the presence of CO32−, NO3, and SO42− anions serves to inhibit the degradation process of tetracycline under the experimental conditions employed. This inhibition may be attributed to the reactions involving CO32−, NO3, and SO42−, as described in Equations (4)–(6) [44,45,46]. These reactions not only deplete the population of hydroxyl radicals (·OH), but also produce ·CO3, ·NO3, and ·SO4, respectively. The redox potentials of ·CO3 (1.59 V) and ·NO3 (2.3~2.5 V) are lower than that of ·OH (2.8 V), with ·CO3 exhibiting a lower redox potential and correspondingly weaker oxidation ability, thereby more significantly inhibiting the degradation of tetracycline. Although ·SO4 (2.5~3.1 V) possesses a redox potential similar to or even higher than hydroxyl radicals, ·SO4 tends to react with certain specific types of organic molecules that may not align with the degradation pathway of tetracycline, resulting in an inhibitory effect that is intermediate between the other two anions.
CO32− +·OH→·CO3 + OH
NO3 +·OH→·NO3 + OH
SO42− +·OH→·SO4 + OH

3.6. The Influence of Different Water Quality on TC Degradation

The impact of water quality on the hydrodynamic cavitation degradation of tetracycline is pronounced, primarily manifesting in the influence of dissolved substances, pH, temperature, turbidity, and ion concentration. These factors can directly or indirectly influence the formation of cavitation bubbles, the production of free radicals, and ultimately, the degradation efficiency of tetracycline.
The experiment utilized ultrapure water, tap water, Qinhu Lake water, and Huangjia Lake water as solvents for the degradation of tetracycline, as shown in Figure 9. The degradation rates of tetracycline (TC) under the four different water quality conditions were 51.32 ± 0.56%, 31.82 ± 1.01%, 22.05 ± 1.23%, and 25.63 ± 1.97%, respectively. Tap water typically contains metal ions such as calcium and magnesium, which may engage in coordination reactions with tetracycline molecules, thereby altering their chemical properties and decreasing the degradation rate. The water quality parameters of different solvents are shown in Table 1.
Qinhu Lake is a small natural lake, whereas Huangjia Lake is a large one. In small lakes, water movement is slow, and circulation is poor, making them more prone to environmental pollution from sources like garbage, agricultural runoff, and domestic wastewater. These lakes are also more susceptible to the impacts of human activities, leading to higher concentrations of pollutants. Due to their limited water volume, pollutants may not decompose naturally or be diluted as effectively. In contrast, large natural lakes have expansive water bodies with robust flow rates, which enhance their self-purification capabilities. The larger water volume helps in diluting pollutants more efficiently, and the flowing water aids in the removal of pollutants. The extensive size of these lakes allows for a broader distribution of pollutants, generally resulting in lower pollution concentrations [47]. Therefore, under the water quality conditions of Qinhu Lake, the degradation efficacy of TC is compromised.

3.7. HC Simulation Analysis Under the Optimal Parameters

The effect of chamber length (A), outlet diameter (B), and inlet pressure (C) on tetracycline degradation was analyzed by applying the regression equation in the Design-Expert 13 software. The regression equation yields the tetracycline degradation rate (D), as shown in Equation (7), where R2 = 0.995. After the optimization, the ideal parameter conditions are chamber length 23.1773 mm, outlet diameter 3.90272 mm, inlet pressure 0.515036 MPa, and a degradation rate of 52.8738%. The experimental results (51.32 ± 0.56%) were basically consistent with the theoretical expectation.
D = 53.27 − 1.15A + 0.8713B + 2.34C + 0.872AB − 0.4611AC − 0.0698BC − 10.84A2 − 14.27B2 − 9.40C2
The optimal parameters (chamber length: 23.0 mm, outlet diameter: 4.0 mm, inlet pressure: 0.5 MPa) were applied in Fluent 2024R1 software for numerical simulation to obtain the pressure, vapor volume fraction, and turbulent kinetic energy contours, as shown in Figure 10. As depicted in Figure 10a, after the water flow enters the inlet section and moves into the spontaneous oscillation chamber, the pressure gradually decreases and eventually reaches its lowest value in the inlet section. According to the Bernoulli equation, the pressure decreases when the fluid flow area decreases, and cavitation occurs when the pressure inside the system drops below the saturated vapor pressure of the liquid (26 °C, 3363 Pa). As shown in Figure 10b, the gas phase is primarily distributed in the cavity collision area, with the maximum volume fraction of the steam reaching about 92.10%. Compared with the conventional hydraulic cavitation chamber, the cavitation band has a larger distribution area, and this cavitation band area generates hydroxyl radicals, increasing the likelihood of hydroxyl radicals coming into contact with pollutants. As shown in Figure 10c, from the shear section of the nozzle to the outlet section, the turbulence changes significantly, and the maximum turbulent kinetic energy value is 62.02 m2/s2. In this process, both the turbulent kinetic energy and the Reynolds number continuously change, indicating that the fluid in the self-excited oscillating cavity is in a turbulent state.

3.8. Study on the Degradation of TC by HC Combined with Fenton

Hydrodynamic cavitation technology is advantageous due to its low treatment costs, simple operation, and the absence of secondary pollution. Conversely, the Fenton process is characterized by its straightforward operational procedure, low operating costs, and environmental compatibility. The integration of these two methods can harness their individual benefits to significantly enhance the degradation efficiency of tetracycline. This combined approach primarily involves chemical reactions such as those denoted by Equations (7)–(10) [37].
F e 2 + + H 2 O 2 F e 3 + + O H + O H
F e 3 + + H 2 O 2 [ F e O O H ] 2 + + H +
[ F e O O H ] 2 + F e 2 + + H O O
F e 3 + + H O O F e 2 + + O 2 + H +
The degradation of tetracycline with an initial concentration of 10.0 mg/L was investigated using three different methods: self-oscillating jet, Fenton process, and a combination of self-oscillating jet and Fenton process. Experimental conditions were maintained constant across all tests, with the Fenton reagent added in a molar ratio of TC:Fe2+:H2O2 = 1:1:10. The degradation rate of tetracycline over time is shown in Figure 11a.
Under these conditions, the degradation efficacy of hydrodynamic cavitation alone was significantly lower than that of the combined method. The reaction kinetic constants for the self-excited oscillating jet, Fenton method, and their combination are shown in Figure 11b, with values of K1 = 4.5 × 10−3 min−1 for the self-excited oscillating jet, K2 = 23.5 × 10−3 min−1 for the Fenton method, and K1+2 = 48.4 × 10−3 min−1 for the combined method. The synergistic index (SI) is calculated as 1.73, indicating a synergistic effect of the combined treatment on the degradation of tetracycline.

3.8.1. The Influence of Fe2+/H2O2 Molar Ratio on TC Degradation

In the Fenton process, hydrogen peroxide (H2O2) reacts with ferrous ions (Fe2+) to produce hydroxyl radicals (·OH), as indicated by Formula (10). These hydroxyl radicals are crucial for achieving the degradation of organic matter. The choice of molar ratio between H2O2 and Fe2+ has a direct impact on the production of hydroxyl radicals [48], which in turn affects the degradation rate of organic compounds such as tetracycline.
The study in question examined the degradation efficacy of the Fenton-hydrodynamic cavitation system at different molar ratios of hydrogen peroxide to ferrous ion, specifically at 1:5, 1:10, and 1:15. The findings, as shown in Figure 12, indicate that the degradation effects at molar ratios of 1:10 and 1:15 were comparable, with degradation rates of 85.91 ± 0.29% and 83.65 ± 0.30%, respectively. The corresponding degradation rate constants were 48.4 × 10−3 min−1 and 43.4 × 10−3 min−1. These results were superior to those achieved at a molar ratio of 1:5, where the degradation rate was 78.81 ± 0.20% and the degradation rate constant was 39.7 × 10−3 min−1. The results show that increasing the molar ratio within a certain range can improve the degradation efficiency, but when the molar ratio is too high, the enhancement of the degradation effect is not obvious.
Within a certain range, increasing the molar ratio leads to an increase in the number of hydroxyl radicals generated, which can enhance the degradation of tetracycline. However, if the molar ratio becomes too high, it can result in an overabundance of hydroxyl radicals. This excess not only leads to a waste of reagents but may also induce unnecessary side reactions that could negatively affect the overall degradation efficiency. Therefore, optimizing the molar ratio is essential for achieving an effective and efficient Fenton-based degradation process.

3.8.2. The Influence of H2O2, Fe2+ Dosage on TC Degradation

The mole ratio of ferrous ions (Fe2+) to hydrogen peroxide (H2O2) was maintained at 1:10, and an investigation was conducted to elucidate the influence of the total reactant dosage on the degradation of tetracycline. Specifically, the degradation kinetics of tetracycline were examined under four distinct reaction conditions, corresponding to the molar ratios of TC:Fe2+:H2O2 as 1:0.5:5, 1:1:10, 1:1.5:15, and 1:2:20. With the escalation of the Fenton reagent dosage, there is an observed enhancement in the efficacy of hydrodynamic cavitation for tetracycline degradation. This enhancement can be attributed to the increased generation of reactive free radicals, such as hydroxyl radicals (·OH), which in turn accelerates the degradation reaction of tetracycline. Nonetheless, an excessive dosage of Fenton reagents may result in the re-oxidation of tetracycline degradation byproducts, potentially yielding harmful intermediates and thereby impacting the overall removal efficiency.
The data shown in Figure 13 indicate that the degradation efficiency of tetracycline exhibits an initial increase followed by a plateau as the dosage of the Fenton reagent is augmented. The degradation percentage escalates from 74.62 ± 0.48% to a peak of 85.91 ± 0.29%, subsequently experiencing a slight decline to 82.23 ± 0.55%. In parallel, the corresponding degradation reaction rate constant rises from an initial value of 25.9 × 10−3 min−1 to a maximum of 4.84 × 10−3 min−1, before reducing to 3.22 × 10−3 min−1. These findings suggest that a judicious increase in the Fenton reagent dosage can augment the efficacy of hydrodynamic cavitation for the degradation of tetracycline; however, an excessive amount does not yield proportionally significant improvements. Consequently, for practical applications, it is imperative to fine-tune the Fenton reagent dosage in accordance with specific operational conditions to optimize the degradation outcomes.

4. Conclusions

This study investigates the influence of varying hydrodynamic cavitation (HC) reactor configurations (including cavity length, inlet, and outlet diameters) and operational parameters (such as inlet pressure, initial concentration, and water quality) on the degradation of tetracycline (TC). Concurrently, the synergistic effects, kinetic parameters, and reaction mechanisms between HC and the Fenton process are examined. The principal findings of the research are summarized as follows:
  • Self-excited oscillation jet cavitation demonstrates a certain degradation capacity for tetracycline, adhering to first-order reaction kinetics. And hydroxyl radicals play a dominant role in the degrading system.
  • When using self-excited oscillation jet cavitation degradation alone, the optimal conditions of cavity diameter (23.0 mm), nozzle outlet diameter ratio (0.75), inlet pressure (0.5 MPa) and initial concentration of tetracycline (10.0 mg/L) were analyzed. Under the specified conditions, the energy expenditure associated with the treatment of each metric ton of wastewater containing tetracycline is approximately 36.19 kWh.
  • The presence of anions such as CO32−, NO3, and SO42− in the solution is observed to impede the degradation of tetracycline when employing self-excited oscillation jet cavitation. Moreover, the complexity of the water environment and the prevalence of pollutants are found to adversely affect the degradation efficiency, with more intricate and polluted water matrices exhibiting greater challenges in tetracycline degradation.
  • A synergistic interaction is identified between self-oscillating jet cavitation and the Fenton process. The combination of self-oscillating jet cavitation with Fenton reagents results in a degradation rate of tetracycline reaching 85.91 ± 0.29%, with a calculated synergistic index (SI) of 1.73.
In conclusion, this study demonstrates the viability of employing a novel self-excited oscillatory hydraulic cavitation apparatus for the purposes of wastewater remediation. Moreover, the study substantiates the practicality of integrating hydraulic cavitation (HC) with advanced oxidation processes (AOPs), as well as its prospective developmental capacity, through preliminary experimentation that incorporates the Fenton reaction. Nonetheless, this study still has certain limitations. The detection of intermediate products was not comprehensively analyzed, and due to the complex composition of actual industrial wastewater, a precise assessment and calculation of energy consumption is still required. Future research will continue to focus on the cost-effectiveness of this treatment method and aim to facilitate its implementation in industrial applications.

Author Contributions

Conceptualization, J.W.; methodology, J.W.; software, C.Y.; validation, M.Z.; formal analysis, J.S.; investigation, C.Y. and Y.W.; resources, B.J.; data curation, C.Y.; writing—original draft preparation, C.Y. and Y.W.; writing—review and editing, J.W.; visualization, C.Y.; supervision, S.X.; project administration, J.W.; funding acquisition, J.W. All authors have read and agreed to the published version of the manuscript.

Funding

This research was funded by the Hubei Provincial Construction Science and Technology Research Plan, grant number 2023-1656-177.

Data Availability Statement

Data are contained within the article.

Conflicts of Interest

The authors declare no conflicts of interest.

References

  1. Ukaogo, P.O.; Ewuzie, U.; Onwuka, C.V. 21–Environmental pollution: Causes, effects, and the remedies. In Microorganisms for Sustainable Environment and Health; Chowdhary, P., Raj, A., Verma, D., Akhter, Y., Eds.; Elsevier: Amsterdam, The Netherlands, 2020; pp. 419–429. [Google Scholar]
  2. Zhang, C.; Quan, B.; Tang, J.; Cheng, K.; Tang, Y.; Shen, W.; Su, P.; Zhang, C. China’s wastewater treatment: Status quo and sustainability perspectives. J. Water Process Eng. 2023, 53, 103708. [Google Scholar] [CrossRef]
  3. Luo, Y.; Guo, W.; Ngo, H.H.; Nghiem, L.D.; Hai, F.I.; Zhang, J.; Liang, S.; Wang, X.C. A review on the occurrence of micropollutants in the aquatic environment and their fate and removal during wastewater treatment. Sci. Total Environ. 2014, 473–474, 619–641. [Google Scholar] [CrossRef] [PubMed]
  4. Xu, M.; Deng, J.; Cai, A.; Ma, X.; Li, J.; Li, Q.; Li, X. Comparison of UVC and UVC/persulfate processes for tetracycline removal in water. Chem. Eng. J. 2020, 384, 123320. [Google Scholar] [CrossRef]
  5. Rodriguez-Mozaz, S.; Chamorro, S.; Marti, E.; Huerta, B.; Gros, M.; Sànchez-Melsió, A.; Borrego, C.M.; Barceló, D.; Balcázar, J.L. Occurrence of antibiotics and antibiotic resistance genes in hospital and urban wastewaters and their impact on the receiving river. Water Res. 2015, 69, 234–242. [Google Scholar] [CrossRef]
  6. Martinez, J.L. Environmental pollution by antibiotics and by antibiotic resistance determinants. Environ. Pollut. 2009, 157, 2893–2902. [Google Scholar] [CrossRef] [PubMed]
  7. Niu, L.; Zhang, G.; Xian, G.; Ren, Z.; Wei, T.; Li, Q.; Zhang, Y.; Zou, Z. Tetracycline degradation by persulfate activated with magnetic γ-Fe2O3/CeO2 catalyst: Performance, activation mechanism and degradation pathway. Sep. Purif. Technol. 2021, 259, 118156. [Google Scholar] [CrossRef]
  8. Michael, I.; Rizzo, L.; McArdell, C.S.; Manaia, C.M.; Merlin, C.; Schwartz, T.; Dagot, C.; Fatta-Kassinos, D. Urban wastewater treatment plants as hotspots for the release of antibiotics in the environment: A review. Water Res. 2013, 47, 957–995. [Google Scholar] [CrossRef]
  9. Li, S.; Hu, J. Photolytic and photocatalytic degradation of tetracycline: Effect of humic acid on degradation kinetics and mechanisms. J. Hazard. Mater. 2016, 318, 134–144. [Google Scholar] [CrossRef]
  10. Bibi, A.; Bibi, S.; Abu-Dieyeh, M.; Al-Ghouti, M.A. Towards sustainable physiochemical and biological techniques for the remediation of phenol from wastewater: A review on current applications and removal mechanisms. J. Clean. Prod. 2023, 417, 137810. [Google Scholar] [CrossRef]
  11. Nasrollahi, N.; Vatanpour, V.; Khataee, A. Removal of antibiotics from wastewaters by membrane technology: Limitations, successes, and future improvements. Sci. Total Environ. 2022, 838, 156010. [Google Scholar] [CrossRef]
  12. Babu, S.G.; Ashokkumar, M.; Neppolian, B. The Role of Ultrasound on Advanced Oxidation Processes. Top. Curr. Chem. 2016, 374, 75. [Google Scholar] [CrossRef] [PubMed]
  13. Rathod, P.B.; Singh, M.P.; Taware, A.S.; Deshmukh, S.U.; Tagad, C.K.; Kulkarni, A.; Kanagare, A.B. Comprehensive insights into water remediation: Chemical, biotechnological, and nanotechnological perspectives. Environ. Pollut. Bioavailab. 2024, 36, 75. [Google Scholar] [CrossRef]
  14. Kalidhasan, S.; Lee, H.-Y. Preparation of floating PDMS sponge catalysts embedded with copper oxide(s): A prelude to the study of its application toward the effective rhodamine B degradation by sonochemical method. J. Environ. Chem. Eng. 2022, 10, 107254. [Google Scholar] [CrossRef]
  15. Fedorov, K.; Dinesh, K.; Sun, X.; Darvishi Cheshmeh Soltani, R.; Wang, Z.; Sonawane, S.; Boczkaj, G. Synergistic effects of hybrid advanced oxidation processes (AOPs) based on hydrodynamic cavitation phenomenon—A review. Chem. Eng. J. 2022, 432, 134191. [Google Scholar] [CrossRef]
  16. Gągol, M.; Przyjazny, A.; Boczkaj, G. Wastewater treatment by means of advanced oxidation processes based on cavitation—A review. Chem. Eng. J. 2018, 338, 599–627. [Google Scholar] [CrossRef]
  17. Boczkaj, G.; Gągol, M.; Klein, M.; Przyjazny, A. Effective method of treatment of effluents from production of bitumens under basic pH conditions using hydrodynamic cavitation aided by external oxidants. Ultrason. Sonochem. 2018, 40, 969–979. [Google Scholar] [CrossRef]
  18. Csiszar, E.; Szabo, Z.; Balogh, O.; Fekete, E.; Koczka, K. The role of the particle size reduction and morphological changes of solid substrate in the ultrasound-aided enzymatic hydrolysis of cellulose. Ultrason. Sonochem. 2021, 78, 105711. [Google Scholar] [CrossRef] [PubMed]
  19. Wang, B.; Zeng, T.; Shang, J.; Tao, J.; Liu, Y.; Yang, T.; Ren, H.; Hu, G. Bubble dynamics model and its revelation of ultrasonic cavitation behavior in advanced oxidation processes: A review. J. Water Process Eng. 2024, 63, 105470. [Google Scholar] [CrossRef]
  20. Heinzelmann, T.R.d.O.; Carvalho, M.C.d.O.; Azevedo, L.d.L.; Kawata, B.A.; Procopio Alves, L.; Carvalho, H.C.; de Lima, C.J.; Fernandes, A.B. Disinfection of Surgical Instruments Using a Hydrodynamic System with Ozonated Water and Ultrasound: Preliminary Study. Ozone-Sci. Eng. 2024, 46, 455–463. [Google Scholar] [CrossRef]
  21. Dong, L.; Zhao, T.; Cui, Y.; Li, Z.; Chen, L.; Pang, C.; Wang, Y. Investigation of sludge disintegration using vortex cavitation circulating fluidised grinding technology. J. Environ. Manag. 2023, 331, 117290. [Google Scholar] [CrossRef]
  22. Dular, M.; Griessler-Bulc, T.; Gutierrez-Aguirre, I.; Heath, E.; Kosjek, T.; Krivograd Klemenčič, A.; Oder, M.; Petkovšek, M.; Rački, N.; Ravnikar, M.; et al. Use of hydrodynamic cavitation in (waste)water treatment. Ultrason. Sonochem. 2016, 29, 577–588. [Google Scholar] [CrossRef] [PubMed]
  23. Wang, B.; Wang, T.; Su, H. Hydrodynamic cavitation (HC) degradation of tetracycline hydrochloride (TC). Sep. Purif. Technol. 2022, 282, 120095. [Google Scholar] [CrossRef]
  24. Long, X.; Zhang, J.; Wang, J.; Xu, M.; Lyu, Q.; Ji, B. Experimental investigation of the global cavitation dynamic behavior in a venturi tube with special emphasis on the cavity length variation. Int. J. Multiph. Flow 2017, 89, 290–298. [Google Scholar] [CrossRef]
  25. Liu, S.; Yuan, X.; Shao, Z.; Xiang, K.; Huang, W.; Tian, H.; Hong, F.; Huang, Y. Investigation of singlet oxygen and superoxide radical produced from vortex-based hydrodynamic cavitation: Mechanism and its relation to cavitation intensity. Sci. Total Environ. 2024, 929, 172761. [Google Scholar] [CrossRef]
  26. Zheng, H.; Zheng, Y.; Zhu, J. Recent Developments in Hydrodynamic Cavitation Reactors: Cavitation Mechanism, Reactor Design, and Applications. Engineering 2022, 19, 180–198. [Google Scholar] [CrossRef]
  27. Darandale, G.R.; Jadhav, M.V.; Warade, A.R.; Hakke, V.S. Hydrodynamic cavitation a novel approach in wastewater treatment: A review. Mater. Today Proc. 2023, 77, 960–968. [Google Scholar] [CrossRef]
  28. Wang, B.; Wang, T.; Su, H. A dye-methylene blue (MB)-degraded by hydrodynamic cavitation (HC) and combined with other oxidants. J. Environ. Chem. Eng. 2022, 10, 107877. [Google Scholar] [CrossRef]
  29. Zhao, Y.; Li, G.; Zhao, F.; Wang, X.; Xu, W. Analysis of Macroscopic Cavitation Characteristics of a Self-Excited Oscillating Cavitation Jet Nozzle. J. Appl. Fluid Mech. 2023, 16, 2130–2141. [Google Scholar] [CrossRef]
  30. Kanthale, P.; Pandey, R.; Thakur, D.; Gujar, S.K.; Gogate, P.R.; Thakre, S.; Dutta, C.K. Application of combined hydrodynamic cavitation and Fenton reagent for COD reduction of cellulosic fiber industry effluents. J. Water Process Eng. 2023, 56, 104500. [Google Scholar] [CrossRef]
  31. Wang, T.W.; Li, G.H.; Song, M.B.; Zhao, Y.Y.; Xu, W.; Zhao, F.J.; Wang, X.L. Multi-Objective Parameter Optimized Design of Self-Oscillating Cavitation Jet Nozzles. Energies 2023, 16, 6737. [Google Scholar] [CrossRef]
  32. Šarc, A.; Stepišnik-Perdih, T.; Petkovšek, M.; Dular, M. The issue of cavitation number value in studies of water treatment by hydrodynamic cavitation. Ultrason. Sonochem. 2017, 34, 51–59. [Google Scholar] [CrossRef] [PubMed]
  33. Wu, Y.; Yu, S.; Zuo, L. Large eddy simulation analysis of the heat transfer enhancement using self-oscillating fluidic oscillators. Int. J. Heat. Mass. Transf. 2019, 131, 463–471. [Google Scholar] [CrossRef]
  34. Liu, X.; Xu, H.; Zhao, L.; Yu, X.; Chen, H.; Zhang, S.; Ji, J. Investigation of the impact characteristics and pulse mechanism of a self-excited aspiration pulsed jet device. Exp. Therm. Fluid Sci. 2021, 124, 110371. [Google Scholar] [CrossRef]
  35. Zhang, S.; Fu, B.; Sun, L. Investigation of the Jet Characteristics and Pulse Mechanism of Self-Excited Oscillating Pulsed Jet Nozzle. Processes 2021, 9, 1423. [Google Scholar] [CrossRef]
  36. Innocenzi, V.; Prisciandaro, M.; Centofanti, M.; Vegliò, F. Comparison of performances of hydrodynamic cavitation in combined treatments based on hybrid induced advanced Fenton process for degradation of azo-dyes. J. Environ. Chem. Eng. 2019, 7, 103171. [Google Scholar] [CrossRef]
  37. Mukherjee, A.; Mullick, A.; Vadthya, P.; Moulik, S.; Roy, A. Surfactant degradation using hydrodynamic cavitation based hybrid advanced oxidation technology: A techno economic feasibility study. Chem. Eng. J. 2020, 398, 125599. [Google Scholar] [CrossRef]
  38. Raut-Jadhav, S.; Badve, M.P.; Pinjari, D.V.; Saini, D.R.; Sonawane, S.H.; Pandit, A.B. Treatment of the pesticide industry effluent using hydrodynamic cavitation and its combination with process intensifying additives (H2O2 and ozone). Chem. Eng. J. 2016, 295, 326–335. [Google Scholar] [CrossRef]
  39. Gong, C.; Chen, F.; Yang, Q.; Luo, K.; Yao, F.; Wang, S.; Wang, X.; Wu, J.; Li, X.; Wang, D.; et al. Heterogeneous activation of peroxymonosulfate by Fe-Co layered doubled hydroxide for efficient catalytic degradation of Rhoadmine B. Chem. Eng. J. 2017, 321, 222–232. [Google Scholar] [CrossRef]
  40. Wang, W.; Zhu, Q.; Qin, F.; Dai, Q.; Wang, X. Fe doped CeO2 nanosheets as Fenton-like heterogeneous catalysts for degradation of salicylic acid. Chem. Eng. J. 2018, 333, 226–239. [Google Scholar] [CrossRef]
  41. Hu, L.; Wang, P.; Liu, G.; Zheng, Q.; Zhang, G. Catalytic degradation of p-nitrophenol by magnetically recoverable Fe3O4 as a persulfate activator under microwave irradiation. Chemosphere 2020, 240, 124977. [Google Scholar] [CrossRef]
  42. Liang, S.; Lin, H.; Yan, X.; Huang, Q. Electro-oxidation of tetracycline by a Magnéli phase Ti4O7 porous anode: Kinetics, products, and toxicity. Chem. Eng. J. 2018, 332, 628–636. [Google Scholar] [CrossRef]
  43. Qiao, J.; Zhang, H.; Li, G.; Li, S.; Qu, Z.; Zhang, M.; Wang, J.; Song, Y. Fabrication of a novel Z-scheme SrTiO3/Ag2S/CoWO4 composite and its application in sonocatalytic degradation of tetracyclines. Sep. Purif. Technol. 2019, 211, 843–856. [Google Scholar] [CrossRef]
  44. Wang, J.; Wang, S. Effect of inorganic anions on the performance of advanced oxidation processes for degradation of organic contaminants. Chem. Eng. J. 2021, 411, 128392. [Google Scholar] [CrossRef]
  45. Zhao, T.; Zheng, M.; Fu, C.; Li, G.; Xiong, Y.; Qiu, W.; Zhang, T.; Zhang, J.; Zheng, C. Effect of low-level H2O2 and Fe(II) on the UV treatment of tetracycline antibiotics and the toxicity of reaction solutions to zebrafish embryos. Chem. Eng. J. 2020, 394, 125021. [Google Scholar] [CrossRef]
  46. Liu, Y.; Xu, W.; Pan, J.; Wang, Q. Oxidative removal of NO from flue gas using ultrasound, Mn2+/Fe2+ and heat coactivation of Oxone in an ultrasonic bubble reactor. Chem. Eng. J. 2017, 326, 1166–1176. [Google Scholar] [CrossRef]
  47. Taguchi, K.; Nakata, K. Evaluation of biological water purification functions of inland lakes using an aquatic ecosystem model. Ecol. Model. 2009, 220, 2255–2271. [Google Scholar] [CrossRef]
  48. Neyens, E.; Baeyens, J. A review of classic Fenton’s peroxidation as an advanced oxidation technique. J. Hazard. Mater. 2003, 98, 33–50. [Google Scholar] [CrossRef]
Figure 1. (a) Schematic diagram of the experimental device; (b) Schematic diagram of the self-excited oscillator.
Figure 1. (a) Schematic diagram of the experimental device; (b) Schematic diagram of the self-excited oscillator.
Water 17 00742 g001
Figure 2. (a) Degradation rate of TC under different cavity lengths; (b) First-order kinetic curve under different cavity lengths (V = 5.0 L, C0 = 10.0 mg/L, Pinlet = 0.5 MPa).
Figure 2. (a) Degradation rate of TC under different cavity lengths; (b) First-order kinetic curve under different cavity lengths (V = 5.0 L, C0 = 10.0 mg/L, Pinlet = 0.5 MPa).
Water 17 00742 g002
Figure 3. (a) Degradation rate of TC under different inlet and outlet diameters; (b) First-order kinetics of different inlet and outlet diameters (V = 5.0 L, C0 = 10.0 mg/L, Pinlet = 0.5 MPa).
Figure 3. (a) Degradation rate of TC under different inlet and outlet diameters; (b) First-order kinetics of different inlet and outlet diameters (V = 5.0 L, C0 = 10.0 mg/L, Pinlet = 0.5 MPa).
Water 17 00742 g003
Figure 4. (a) Degradation rate of TC at different inlet pressures; (b) First-order kinetics at different inlet pressures (V = 5.0 L, C0 = 10.0 mg/L).
Figure 4. (a) Degradation rate of TC at different inlet pressures; (b) First-order kinetics at different inlet pressures (V = 5.0 L, C0 = 10.0 mg/L).
Water 17 00742 g004
Figure 5. (a) Degradation rate of TC at different initial concentrations; (b) First-order kinetics at different initial concentrations (V = 5.0 L, Pinlet = 0.5 MPa).
Figure 5. (a) Degradation rate of TC at different initial concentrations; (b) First-order kinetics at different initial concentrations (V = 5.0 L, Pinlet = 0.5 MPa).
Water 17 00742 g005
Figure 6. Degradation rate of TC under different quencher agents (V = 5.0 L, C0 = 10.0 mg/L, Pinlet = 0.5 MPa).
Figure 6. Degradation rate of TC under different quencher agents (V = 5.0 L, C0 = 10.0 mg/L, Pinlet = 0.5 MPa).
Water 17 00742 g006
Figure 7. TC-degradation pathway prediction.
Figure 7. TC-degradation pathway prediction.
Water 17 00742 g007
Figure 8. Influence of inorganic anions on TC degradation rate (V = 5.0 L, C0 = 10.0 mg/L, Pinlet = 0.5 MPa).
Figure 8. Influence of inorganic anions on TC degradation rate (V = 5.0 L, C0 = 10.0 mg/L, Pinlet = 0.5 MPa).
Water 17 00742 g008
Figure 9. Degradation rate of TC in different water quality (V = 5.0 L, C0 = 10.0 mg/L, Pinlet = 0.5 MPa).
Figure 9. Degradation rate of TC in different water quality (V = 5.0 L, C0 = 10.0 mg/L, Pinlet = 0.5 MPa).
Water 17 00742 g009
Figure 10. (a) The pressure contours; (b) The vapor volume fraction contours; (c) The turbulent kinetic energy contours.
Figure 10. (a) The pressure contours; (b) The vapor volume fraction contours; (c) The turbulent kinetic energy contours.
Water 17 00742 g010
Figure 11. (a) Degradation rate of TC in the three systems; (b) First-order kinetics of the three systems (V = 5.0 L, C0 = 10.0 mg/L, Pinlet = 0.5 MPa).
Figure 11. (a) Degradation rate of TC in the three systems; (b) First-order kinetics of the three systems (V = 5.0 L, C0 = 10.0 mg/L, Pinlet = 0.5 MPa).
Water 17 00742 g011
Figure 12. (a) Degradation rate of TC in different Fe2+/H2O2 molar ratio; (b) First-order kinetics of different Fe2+/H2O2 molar ratio (V = 5.0 L, C0 = 10.0 mg/L, Pinlet = 0.5 MPa).
Figure 12. (a) Degradation rate of TC in different Fe2+/H2O2 molar ratio; (b) First-order kinetics of different Fe2+/H2O2 molar ratio (V = 5.0 L, C0 = 10.0 mg/L, Pinlet = 0.5 MPa).
Water 17 00742 g012
Figure 13. (a) Degradation rate of TC at the different added amounts of H2O2, Fe2+; (b) First-order kinetics of different added amounts of H2O2, Fe2+ (V = 5.0 L, C0 = 10.0 mg/L, Pinlet = 0.5 MPa).
Figure 13. (a) Degradation rate of TC at the different added amounts of H2O2, Fe2+; (b) First-order kinetics of different added amounts of H2O2, Fe2+ (V = 5.0 L, C0 = 10.0 mg/L, Pinlet = 0.5 MPa).
Water 17 00742 g013
Table 1. The water quality parameters of different solvents.
Table 1. The water quality parameters of different solvents.
Tap WaterHardnessCu2+TDSCODTOC
Concentration (mg·L−1)142.01 ± 2.130.0039 ± 0.001186 ± 30.32 ± 0.100.21 ± 0.17
Qinhu Lake waterCl−SO42−Ca2+Mg2+CODTP
Concentration (mg·L−1)35.2 ± 0.5168.1 ± 1.0742.4 ± 0.438.1 ± 0.3443.0 ± 3.410.988 ± 0.13
Huangjia Lake waterCl−SO42−Ca2+Mg2+CODTOC
Concentration (mg·L−1)38.9 ± 0.9963.4 ± 1.1240.8 ± 0.827.6 ± 0.1537.0 ± 5.217.35 ± 1.36
Disclaimer/Publisher’s Note: The statements, opinions and data contained in all publications are solely those of the individual author(s) and contributor(s) and not of MDPI and/or the editor(s). MDPI and/or the editor(s) disclaim responsibility for any injury to people or property resulting from any ideas, methods, instructions or products referred to in the content.

Share and Cite

MDPI and ACS Style

Wang, J.; Yang, C.; Wang, Y.; Zhu, M.; Sun, J.; Ji, B.; Xie, S. Self-Excited Oscillating Cavitation Jet Combined with Fenton’s Reagent for Tetracycline Degradation in Water: Optimization of Geometric Structure and Operating Parameters. Water 2025, 17, 742. https://doi.org/10.3390/w17050742

AMA Style

Wang J, Yang C, Wang Y, Zhu M, Sun J, Ji B, Xie S. Self-Excited Oscillating Cavitation Jet Combined with Fenton’s Reagent for Tetracycline Degradation in Water: Optimization of Geometric Structure and Operating Parameters. Water. 2025; 17(5):742. https://doi.org/10.3390/w17050742

Chicago/Turabian Style

Wang, Jian, Chang Yang, Yanqing Wang, Mingzhan Zhu, Jingfeng Sun, Bin Ji, and Shiwei Xie. 2025. "Self-Excited Oscillating Cavitation Jet Combined with Fenton’s Reagent for Tetracycline Degradation in Water: Optimization of Geometric Structure and Operating Parameters" Water 17, no. 5: 742. https://doi.org/10.3390/w17050742

APA Style

Wang, J., Yang, C., Wang, Y., Zhu, M., Sun, J., Ji, B., & Xie, S. (2025). Self-Excited Oscillating Cavitation Jet Combined with Fenton’s Reagent for Tetracycline Degradation in Water: Optimization of Geometric Structure and Operating Parameters. Water, 17(5), 742. https://doi.org/10.3390/w17050742

Note that from the first issue of 2016, this journal uses article numbers instead of page numbers. See further details here.

Article Metrics

Back to TopTop