Effectiveness of Eco-Engineering Structures to Promote Sediment Particles Retention in Estuarine Salt Marshes
Abstract
1. Introduction
2. Materials and Methods
2.1. Study Area
2.2. Experimental Setup
2.3. Monthly Monitoring: Sedimentation and Environmental Data
- (a)
- Ruler stakes: nine stakes were evenly distributed across each experimental cell (Figure 3). Three stakes were placed at the centre, and three were positioned along each side to capture spatial variability. Each stake was fitted with a measuring tape, with the zero-mark aligned at the point where the stake met the soil. A unique code was assigned to each stake to facilitate visualizing sediment accumulation in three-dimensional space, capturing the seasonal variations.
- (b)
- Buried tiles: one ceramic tile (30 cm × 30 cm) was buried 10 cm below the sediment surface in each cell. Monthly, sediment accumulation on the tile was measured by inserting a 5 mm metal rod (knitting needle) five times (five replicates) at random locations within the tile’s footprint, and the sediment height was recorded.
- (a)
- Temperature and salinity: monthly averages were calculated from daily data made freely available by the CoastNet infrastructure (CoastNet geoportal: http://geoportal.coastnet.pt (assessed on 4 November 2024)).
- (b)
- Precipitation and river flow: monthly precipitation and river flow data were obtained from monitoring stations at “Soure” and “Açude Ponte Coimbra”, respectively, and were provided by the SNIRH (“Sistema Nacional de Informação de Recursos Hídricos”; https://snirh.apambiente.pt (assessed on 4 November 2024)).
2.4. Seasonal Monitoring: Organic Matter Content and Granulometry
3. Results
3.1. Sedimentation Rates
3.2. Sedimentation Patterns
3.3. Sediment Characteristics
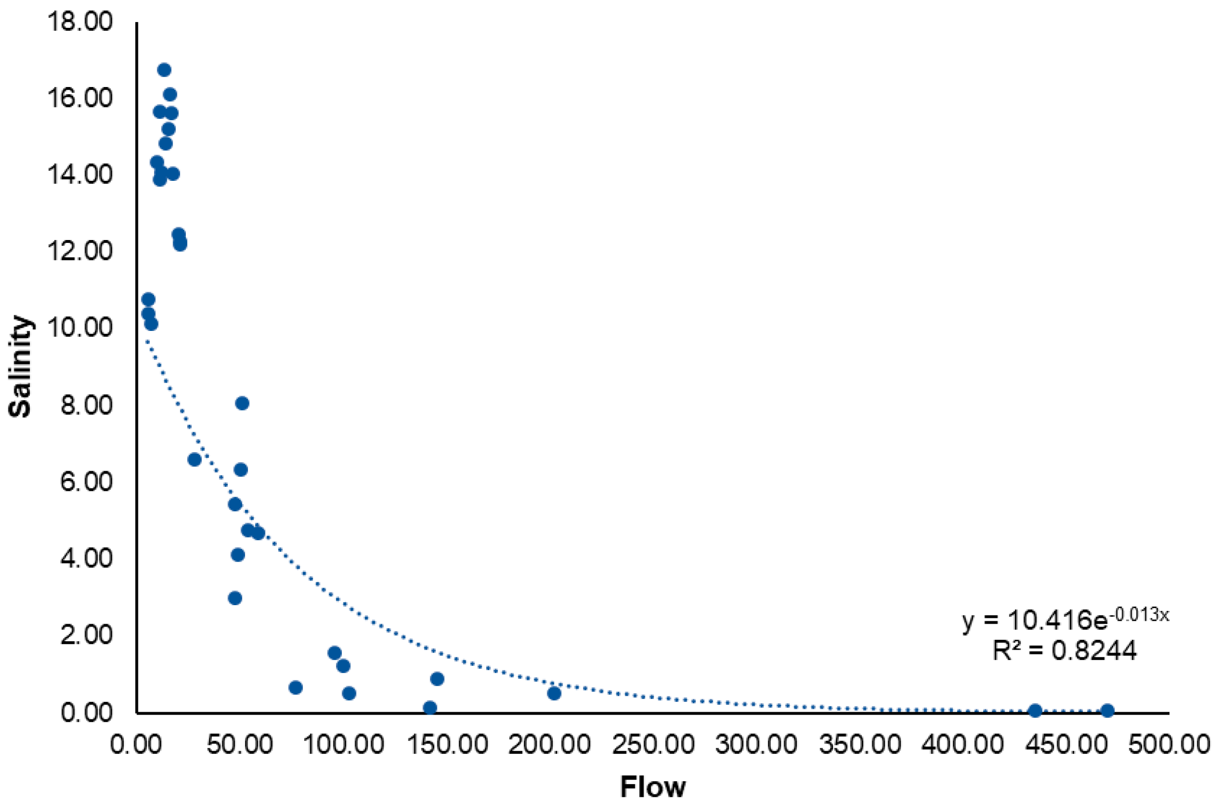
3.4. Environmental Conditions
4. Discussion
5. Conclusions
Author Contributions
Funding
Data Availability Statement
Conflicts of Interest
References
- McLeod, E.; Chmura, G.L.; Bouillon, S.; Salm, R.; Björk, M.; Duarte, C.M.; Lovelock, C.E.; Schlesinger, W.H.; Silliman, B.R. A blueprint for blue carbon: Toward an improved understanding of the role of vegetated coastal habitats in sequestering CO2. Front. Ecol. Environ. 2011, 9, 552–560. [Google Scholar] [CrossRef]
- Shepard, C.C.; Crain, C.M.; Beck, M.W. The Protective Role of Coastal Marshes: A Systematic Review and Meta-analysis. PLoS ONE 2011, 6, e27374. [Google Scholar] [CrossRef] [PubMed]
- Silliman, B.R. Salt marshes. Curr. Biol. 2014, 24, R348–R350. [Google Scholar] [CrossRef]
- Crosby, S.C.; Sax, D.F.; Palmer, M.E.; Booth, H.S.; Deegan, L.A.; Bertness, M.D.; Leslie, H.M. Salt marsh persistence is threatened by predicted sea-level rise. Estuar. Coast. Shelf Sci. 2016, 181, 93–99. [Google Scholar] [CrossRef]
- Gedan, K.B.; Silliman, B.R.; Bertness, M.D. Centuries of human-driven change in salt marsh ecosystems. Annu. Rev. Mar. Sci. 2009, 1, 117–141. [Google Scholar] [CrossRef]
- Ladd, C.J.; Duggan-Edwards, M.F.; Bouma, T.J.; Pagès, J.F.; Skov, M.W. Sediment Supply Explains Long-Term and Large-Scale Patterns in Salt Marsh Lateral Expansion and Erosion. Geophys. Res. Lett. 2019, 46, 11178–11187. [Google Scholar] [CrossRef]
- Mudd, S.M. The life and death of salt marshes in response to anthropogenic disturbance of sediment supply. Geology 2011, 39, 511–512. [Google Scholar] [CrossRef][Green Version]
- Teal, J.M.; Weishar, L. Ecological engineering, adaptive management, and restoration management in Delaware Bay salt marsh restoration. Ecol. Eng. 2005, 25, 304–314. [Google Scholar] [CrossRef]
- van der Meulen, F.; IJff, S.; van Zetten, R. Nature-based solutions for coastal adaptation management, concepts and scope, an overview. Nord. J. Bot. 2023, 2023, e03290. [Google Scholar] [CrossRef]
- Stagg, C.L.; Mendelssohn, I.A. Restoring Ecological Function to a Submerged Salt Marsh. Restor. Ecol. 2010, 18, 10–17. [Google Scholar] [CrossRef]
- Tong, C.; Baustian, J.J.; Graham, S.A.; Mendelssohn, I.A. Salt marsh restoration with sediment-slurry application: Effects on benthic macroinvertebrates and associated soil–plant variables. Ecol. Eng. 2013, 51, 151–160. [Google Scholar] [CrossRef]
- Ganju, N.K. Marshes Are the New Beaches: Integrating Sediment Transport into Restoration Planning. Estuaries Coasts 2019, 42, 917–926. [Google Scholar] [CrossRef]
- Temmerman, S.; Meire, P.; Bouma, T.J.; Herman, P.M.J.; Ysebaert, T.; De Vriend, H.J. Ecosystem-based coastal defence in the face of global change. Nature 2013, 504, 79–83. [Google Scholar] [CrossRef] [PubMed]
- Siegersma, T.R.; Willemsen, P.W.J.M.; Horstman, E.M.; Hu, Z.; Borsje, B.W. Protective structures as adaptive management strategy in Nature-based Solutions to mitigate sea level rise effects. Ecol. Eng. 2023, 196, 107079. [Google Scholar] [CrossRef]
- Osorio, R.J.; Linhoss, A.; Skarke, A.; Brasher, M.G.; McFarland, M. Assessment of marsh terrace designs for wave attenuation utilizing a wave model. Dyn. Atmos. Ocean. 2024, 105, 101429. [Google Scholar] [CrossRef]
- Slee, N.J.; Gardiner, T.; Underwood, G.J. Hybrid engineering incorporating salt marsh terraces into sea wall repair maintains their defence function and creates new habitats. Estuar. Coast. Shelf Sci. 2023, 294, 108544. [Google Scholar] [CrossRef]
- Zhou, K.; Liu, S.X.; Cheng, H.F.; Zhu, K.H.; Zhang, W.; Lyu, Q.; Chen, H.Y.; Xin, P.; Ge, Z.M. Nature-based solutions to mitigate early marsh-edge erosion in a coastal wetland. Ecol. Eng. 2024, 198, 107133. [Google Scholar] [CrossRef]
- Veríssimo, H.; Bremner, J.; Garcia, C.; Patrício, J.; Van Der Linden, P.; Marques, J.C. Assessment of the subtidal macrobenthic community functioning of a temperate estuary following environmental restoration. Ecol. Indic. 2012, 23, 312–322. [Google Scholar] [CrossRef]
- Veríssimo, H.; Lane, M.; Patrício, J.; Gamito, S.; Marques, J.C. Trends in water quality and subtidal benthic communities in a temperate estuary: Is the response to restoration efforts hidden by climate variability and the Estuarine Quality Paradox? Ecol. Indic. 2013, 24, 56–67. [Google Scholar] [CrossRef]
- Teixeira, A.; Duarte, B.; Caçador, I. Salt Marshes and Biodiversity. In Sabkha Ecosystems; Springer: Dordrecht, The Netherlands, 2014; pp. 283–298. [Google Scholar] [CrossRef]
- Flindt, M.R.; Kamp-Nielsen, L.; Marques, J.C.; Pardal, M.A.; Bocci, M.; Bendoricchio, G.; Salomonsen, J.; Nielsen, S.N.; Jørgensen, S.E. Description of the three shallow estuaries: Mondego River (Portugal), Roskilde Fjord (Denmark) and the Lagoon of Venice (Italy). Ecol. Model. 1997, 102, 17–31. [Google Scholar] [CrossRef]
- Gonçalves, C.; Verdelhos, T.; Caçador, I.; Veríssimo, H. Effectiveness of Eco-Engineering Structures in Salt Marsh Restoration: Using Benthic Macroinvertebrates as Indicators of Success. Coasts 2024, 4, 740–757. [Google Scholar] [CrossRef]
- Davidson-Arnott, R.G.; van Proosdij, D.; Ollerhead, J.; Schostak, L. Hydrodynamics and sedimentation in salt marshes: Examples from a macrotidal marsh, Bay of Fundy. Geomorphology 2002, 48, 209–231. [Google Scholar] [CrossRef]
- Fagherazzi, S.; Mariotti, G.; Leonardi, N.; Canestrelli, A.; Nardin, W.; Kearney, W.S. Salt Marsh Dynamics in a Period of Accelerated Sea Level Rise. J. Geophys. Res. Earth Surf. 2020, 125, e2019JF005200. [Google Scholar] [CrossRef]
- Chen, Y.; Li, Y.; Thompson, C.; Wang, X.; Cai, T.; Chang, Y. Differential sediment trapping abilities of mangrove and saltmarsh vegetation in a subtropical estuary. Geomorphology 2018, 318, 270–282. [Google Scholar] [CrossRef]
- Christiansen, T.; Wiberg, P.L.; Milligan, T.G. Flow and Sediment Transport on a Tidal Salt Marsh Surface. Estuar. Coast. Shelf Sci. 2000, 50, 315–331. [Google Scholar] [CrossRef]
- Möller, I.; Kudella, M.; Rupprecht, F.; Spencer, T.; Paul, M.; Van Wesenbeeck, B.K.; Wolters, G.; Jensen, K.; Bouma, T.J.; Miranda-Lange, M.; et al. Wave attenuation over coastal salt marshes under storm surge conditions. Nat. Geosci. 2014, 7, 727–731. [Google Scholar] [CrossRef]
- Morris, J.T.; Barber, D.C.; Callaway, J.C.; Chambers, R.; Hagen, S.C.; Hopkinson, C.S.; Johnson, B.J.; Megonigal, P.; Neubauer, S.C.; Troxler, T.; et al. Contributions of organic and inorganic matter to sediment volume and accretion in tidal wetlands at steady state. Earth Future 2016, 4, 110–121. [Google Scholar] [CrossRef] [PubMed]
- Möller, I. Quantifying saltmarsh vegetation and its effect on wave height dissipation: Results from a UK East coast saltmarsh. Estuar. Coast. Shelf Sci. 2006, 69, 337–351. [Google Scholar] [CrossRef]
- Portela, L.I.; Ramos, S.; Teixeira, A.T. Effect of salinity on the settling velocity of fine sediments of a harbour basin. J. Coast. Res. 2013, 165, 1188–1193. [Google Scholar] [CrossRef]
- Sun, Z.L.; Jiao, J.G.; Huang, S.J.; Gao, Y.Y.; Ho, H.C.; Xu, D. Effects of Suspended Sediment on Salinity Measurements. IEEE J. Ocean. Eng. 2018, 43, 56–65. [Google Scholar] [CrossRef]
- Gonçalves, C.; Fernandes, J.; Neto, J.M.; Veríssimo, H.; Caçador, I.; Verdelhos, T. Evolution and Effectiveness of Salt Marsh Restoration: A Bibliometric Analysis. Water 2024, 16, 1175. [Google Scholar] [CrossRef]
- Craft, C.; Clough, J.; Ehman, J.; Jove, S.; Park, R.; Pennings, S.; Guo, H.; Machmuller, M. Forecasting the effects of accelerated sea-level rise on tidal marsh ecosystem services. Front. Ecol. Environ. 2009, 7, 73–78. [Google Scholar] [CrossRef]
- Curado, G.; Figueroa, E.; Castillo, J.M. Vertical sediment dynamics in Spartina maritima restored, non-restored and preserved marshes. Ecol. Eng. 2012, 47, 30–35. [Google Scholar] [CrossRef]
- Baaij, B.M.; Kooijman, J.; Limpens, J.; Marijnissen RJ, C.; van Loon-Steensma, J.M. Monitoring Impact of Salt-Marsh Vegetation Characteristics on Sedimentation: An Outlook for Nature-Based Flood Protection. Wetlands 2021, 41, 76. [Google Scholar] [CrossRef]
- Evans, B.R.; Brooks, H.; Chirol, C.; Kirkham, M.K.; Möller, I.; Royse, K.; Spencer, K.; Spencer, T. Vegetation interactions with geotechnical properties and erodibility of salt marsh sediments. Estuar. Coast. Shelf Sci. 2022, 265, 107713. [Google Scholar] [CrossRef]
- Jiang, H.; Chai, C.; Zhang, M. Numerical study on the influence of salt marsh plants on coastal wetland hydrodynamics and suspended sediment transport. Front. Environ. Sci. 2023, 11, 1180457. [Google Scholar] [CrossRef]
- Neumeier, U.; Amos, C.L. The influence of vegetation on turbulence and flow velocities in European salt-marshes. Sedimentology 2006, 53, 259–277. [Google Scholar] [CrossRef]
- Wu, W.; Biber, P.D.; Peterson, M.S.; Turner, J.; Desai, A.R.; Blackstock, J.M.; Guimond, J.A.; Seyfferth, A.L.; Moffett, K.B.; Chen, M.Y.; et al. Study on the Influence of Salt Marsh Vegetation on Tidal Current and Sediment Transport in Intertidal Zone. J. Phys. Conf. Ser. 2023, 2486, 012049. [Google Scholar] [CrossRef]
- Wen, C.L.; Muller, P.; Grabowski, R.C.; Dodd, N. Green Nourishment: An Innovative Nature-Based Solution for Coastal Erosion. Front. Mar. Sci. 2022, 8, 814589. [Google Scholar] [CrossRef]
- Sánchez-Artús, X.; Subbiah, B.; Gracia, V.; Espino, M.; Grifoll, M.; Espanya, A.; Sánchez-Arcilla, A. Evaluating Barrier Beach Protection with Numerical Modelling: A Practical Case. Coast. Eng. 2024, 191, 104522. [Google Scholar] [CrossRef]
- Marino, M.; Nasca, S.; Alkharoubi, A.I.K.; Cavallaro, L.; Foti, E.; Musumeci, R.E. Efficacy of Nature-Based Solutions for Coastal Protection Under a Changing Climate: A Modelling Approach. Coast. Eng. 2025, 198, 104700. [Google Scholar] [CrossRef]











| Geotextile Sandbags | Geotextile Fabric | Wooden Palisade | Plants | Control | |
|---|---|---|---|---|---|
| Cost | EUR 12,000 | EUR 4000 | EUR 1000 | EUR 25 | EUR 25 |
| Workers/hours to install | 5/6 | 4/4 | 3/12 | 1/1 | 1/1 |
| Impact | High | Low | Low | Low | Low |
| Maintenance | No maintenance | 3 × 3 h | 1 × hour |
Disclaimer/Publisher’s Note: The statements, opinions and data contained in all publications are solely those of the individual author(s) and contributor(s) and not of MDPI and/or the editor(s). MDPI and/or the editor(s) disclaim responsibility for any injury to people or property resulting from any ideas, methods, instructions or products referred to in the content. |
© 2025 by the authors. Licensee MDPI, Basel, Switzerland. This article is an open access article distributed under the terms and conditions of the Creative Commons Attribution (CC BY) license (https://creativecommons.org/licenses/by/4.0/).
Share and Cite
Gonçalves, C.; Verdelhos, T.; Caçador, I.; Oliveira, P.J.V.; Marques, D.; Veríssimo, H. Effectiveness of Eco-Engineering Structures to Promote Sediment Particles Retention in Estuarine Salt Marshes. Water 2025, 17, 678. https://doi.org/10.3390/w17050678
Gonçalves C, Verdelhos T, Caçador I, Oliveira PJV, Marques D, Veríssimo H. Effectiveness of Eco-Engineering Structures to Promote Sediment Particles Retention in Estuarine Salt Marshes. Water. 2025; 17(5):678. https://doi.org/10.3390/w17050678
Chicago/Turabian StyleGonçalves, Carlos, Tiago Verdelhos, Isabel Caçador, Paulo J. Venda Oliveira, Diana Marques, and Helena Veríssimo. 2025. "Effectiveness of Eco-Engineering Structures to Promote Sediment Particles Retention in Estuarine Salt Marshes" Water 17, no. 5: 678. https://doi.org/10.3390/w17050678
APA StyleGonçalves, C., Verdelhos, T., Caçador, I., Oliveira, P. J. V., Marques, D., & Veríssimo, H. (2025). Effectiveness of Eco-Engineering Structures to Promote Sediment Particles Retention in Estuarine Salt Marshes. Water, 17(5), 678. https://doi.org/10.3390/w17050678

