When Technology Meets Sustainability: Microplastic Removal from Industrial Wastewater, Including Impact Analysis and Life Cycle Assessment
Abstract
1. Introduction
2. Materials and Methods
2.1. Evaluation of Outlined Scenarios
2.2. Pilot Plant Operation
2.2.1. Test Phases and Sampling
2.2.2. Analyses
pH Value
Chemical Oxygen Demand (COD)
Particle Count of MPs
Total Suspended Solids—MPs by Weight
Turbidity
Agglomerate Treatment
2.3. LCA Methodology
3. Environmental Impact Assessment Framework
3.1. Goals and Scope
3.2. Life Cycle Inventory (LCI)
3.3. Life Cycle Impact Assessment (LCIA)
3.4. LCA-Based Evaluation of MPs Released into the Environment
4. Results and Discussion
4.1. Pilot Trials
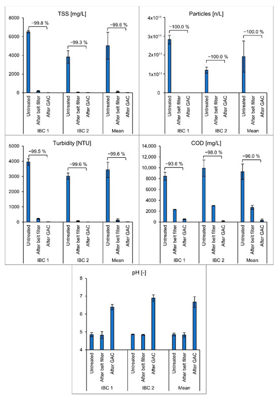
4.1.1. Measured Removal Performance
4.1.2. Extrapolation of the Removal Performance
4.2. Environmental Impact Assessment Results
4.3. Comparative Evaluation of Scenarios
5. Conclusions
Supplementary Materials
Author Contributions
Funding
Data Availability Statement
Acknowledgments
Conflicts of Interest
Abbreviations
| COD | Chemical oxygen demand |
| GAC | Granular activated carbon |
| GWP | Global warming potential |
| IBC | Intermediate bulk container |
| LCA | Life cycle assessment |
| LCI | Life cyle inventory |
| LCIA | Life cyle impact assessment |
| MP | Microplastic |
| PAFs | Potentially affected fraction of species |
| TEOS | Tetraethylorthosilicate |
| TSSs | Total suspended solids |
| WWTP | Wastewater treatment plant |
References
- Thompson, R.C.; Olsen, Y.; Mitchell, R.P.; Davis, A.; Rowland, S.J.; John, A.W.; McGonigle, D.; Russell, A.E. Lost at sea: Where is all the plastic? Science 2004, 304, 838. [Google Scholar] [CrossRef] [PubMed]
- Pothiraj, C.; Gokul, T.A.; Kumar, K.R.; Ramasubramanian, A.; Palanichamy, A.; Venkatachalam, K.; Pastorino, P.; Barcelò, D.; Balaji, P.; Faggio, C. Vulnerability of microplastics on marine environment: A review. Ecol. Indic. 2023, 155, 111058. [Google Scholar] [CrossRef]
- Li, X.; Chen, Y.; Zhang, S.; Dong, Y.; Pang, Q.; Lynch, I.; Xie, C.; Guo, Z.; Zhang, P. From marine to freshwater environment: A review of the ecotoxicological effects of microplastics. Ecotoxicol. Environ. Saf. 2023, 251, 114564. [Google Scholar] [CrossRef]
- Prata, J.C. Microplastics and human health: Integrating pharmacokinetics. Crit. Rev. Environ. Sci. Technol. 2023, 53, 1489–1511. [Google Scholar] [CrossRef]
- Ghosh, S.; Sinha, J.K.; Ghosh, S.; Vashisth, K.; Han, S.; Bhaskar, R. Microplastics as an emerging threat to the global environment and human health. Sustainability 2023, 15, 10821. [Google Scholar] [CrossRef]
- Sheriff, I.; Yusoff, M.S.; Halim, H.B. Microplastics in wastewater treatment plants: A review of the occurrence, removal, impact on ecosystem, and abatement measures. J. Water Process Eng. 2023, 54, 104039. [Google Scholar] [CrossRef]
- Sturm, M.T.; Myers, E.; Schober, D.; Korzin, A.; Schuhen, K. Development of an Inexpensive and Comparable Microplastic Detection Method Using Fluorescent Staining with Novel Nile Red Derivatives. Analytica 2023, 4, 27–44. [Google Scholar] [CrossRef]
- Sturm, M.T.; Myers, E.; Schober, D.; Korzin, A.; Schuhen, K. Beyond Microplastics: Implementation of a Two-Stage Removal Process for Microplastics and Chemical Oxygen Demand in Industrial Wastewater Streams. Water 2024, 16, 268. [Google Scholar] [CrossRef]
- Garcia, X.; Pargament, D. Reusing wastewater to cope with water scarcity: Economic, social and environmental considerations for decision-making. Resour. Conserv. Recycl. 2015, 101, 154–166. [Google Scholar] [CrossRef]
- Mukheibir, P. Water access, water scarcity, and climate change. Environ. Manag. 2010, 45, 1027–1039. [Google Scholar] [CrossRef]
- Bergmann, M.; Arp, H.P.H.; Almroth, B.C.; Cowger, W.; Eriksen, M.; Dey, T.; Gündoğdu, S.; Helm, R.R.; Krieger, A.; Syberg, K. Moving from symptom management to upstream plastics prevention: The fallacy of plastic cleanup technology. One Earth 2023, 6, 1439–1442. [Google Scholar] [CrossRef]
- Gkika, D.A.; Tolkou, A.K.; Evgenidou, E.; Bikiaris, D.N.; Lambropoulou, D.A.; Mitropoulos, A.C.; Kalavrouziotis, I.K.; Kyzas, G.Z. Fate and removal of microplastics from industrial wastewaters. Sustainability 2023, 15, 6969. [Google Scholar] [CrossRef]
- Golgoli, M.; Khiadani, M.; Shafieian, A.; Sen, T.K.; Hartanto, Y.; Johns, M.; Zargar, M. Microplastics fouling and interaction with polymeric membranes: A review. Chemosphere 2021, 283, 131185. [Google Scholar] [CrossRef] [PubMed]
- Wang, Y.; Li, Y.; Tian, L.; Ju, L.; Liu, Y. The removal efficiency and mechanism of microplastic enhancement by positive modification dissolved air flotation. Water Environ. Res. 2021, 93, 693–702. [Google Scholar] [CrossRef] [PubMed]
- Tang, W.; Li, H.; Fei, L.; Wei, B.; Zhou, T.; Zhang, H. The removal of microplastics from water by coagulation: A comprehensive review. Sci. Total Environ. 2022, 851, 158224. [Google Scholar] [CrossRef] [PubMed]
- Reza, T.; Mohamad Riza, Z.H.; Sheikh Abdullah, S.R.; Abu Hasan, H.; Ismail, N.I.; Othman, A.R. Microplastic Removal in Wastewater Treatment Plants (WWTPs) by Natural Coagulation: A Literature Review. Toxics 2023, 12, 12. [Google Scholar] [CrossRef] [PubMed]
- Ziembowicz, S.; Kida, M.; Koszelnik, P. Elimination of a Mixture of Microplastics Using Conventional and Detergent-Assisted Coagulation. Materials 2023, 16, 4070. [Google Scholar] [CrossRef] [PubMed]
- Herbort, A.F.; Sturm, M.T.; Schuhen, K. A new approach for the agglomeration and subsequent removal of polyethylene, polypropylene, and mixtures of both from freshwater systems–a case study. Environ. Sci. Pollut. Res. 2018, 25, 15226–15234. [Google Scholar] [CrossRef]
- Herbort, A.F.; Sturm, M.T.; Fiedler, S.; Abkai, G.; Schuhen, K. Alkoxy-silyl induced agglomeration: A new approach for the sustainable removal of microplastic from aquatic systems. J. Polym. Environ. 2018, 26, 4258–4270. [Google Scholar] [CrossRef]
- Sturm, M.T.; Schuhen, K.; Horn, H. Method for rapid biofilm cultivation on microplastics and investigation of its effect on the agglomeration and removal of microplastics using organosilanes. Sci. Total Environ. 2022, 806, 151388. [Google Scholar] [CrossRef]
- Sturm, M.T.; Myers, E.; Schober, D.; Korzin, A.; Thege, C.; Schuhen, K. Comparison of AOP, GAC, and Novel Organosilane-Based Process for the Removal of Microplastics at a Municipal Wastewater Treatment Plant. Water 2023, 15, 1164. [Google Scholar] [CrossRef]
- Porkka, M.; Virkki, V.; Wang-Erlandsson, L.; Gerten, D.; Gleeson, T.; Mohan, C.; Fetzer, I.; Jaramillo, F.; Staal, A.; te Wierik, S. Notable shifts beyond pre-industrial streamflow and soil moisture conditions transgress the planetary boundary for freshwater change. Nat. Water 2024, 2, 262–273. [Google Scholar] [CrossRef]
- Vázquez, D.; Guillén-Gosálbez, G. Process design within planetary boundaries: Application to CO2 based methanol production. Chem. Eng. Sci. 2021, 246, 116891. [Google Scholar] [CrossRef]
- Gerten, D.; Hoff, H.; Rockström, J.; Jägermeyr, J.; Kummu, M.; Pastor, A.V. Towards a revised planetary boundary for consumptive freshwater use: Role of environmental flow requirements. Curr. Opin. Environ. Sustain. 2013, 5, 551–558. [Google Scholar] [CrossRef]
- Wang-Erlandsson, L.; Tobian, A.; van der Ent, R.J.; Fetzer, I.; te Wierik, S.; Porkka, M.; Staal, A.; Jaramillo, F.; Dahlmann, H.; Singh, C. A planetary boundary for green water. Nat. Rev. Earth Environ. 2022, 3, 380–392. [Google Scholar] [CrossRef]
- Corominas, L.; Byrne, D.M.; Guest, J.S.; Hospido, A.; Roux, P.; Shaw, A.; Short, M.D. The application of life cycle assessment (LCA) to wastewater treatment: A best practice guide and critical review. Water Res. 2020, 184, 116058. [Google Scholar] [CrossRef] [PubMed]
- Raptis, C.E.; Boucher, J.M.; Pfister, S. Assessing the environmental impacts of freshwater thermal pollution from global power generation in LCA. Sci. Total Environ. 2017, 580, 1014–1026. [Google Scholar] [CrossRef]
- Salieri, B.; Stoudmann, N.; Hischier, R.; Som, C.; Nowack, B. How relevant are direct emissions of microplastics into freshwater from an LCA perspective? Sustainability 2021, 13, 9922. [Google Scholar] [CrossRef]
- Corella-Puertas, E.; Hajjar, C.; Lavoie, J.; Boulay, A.-M. MarILCA characterization factors for microplastic impacts in life cycle assessment: Physical effects on biota from emissions to aquatic environments. J. Clean. Prod. 2023, 418, 138197. [Google Scholar] [CrossRef]
- Azizi, N.; Nasseri, S.; Nodehi, R.N.; Jaafarzadeh, N.; Pirsaheb, M. Evaluation of conventional wastewater treatment plants efficiency to remove microplastics in terms of abundance, size, shape, and type: A systematic review and Meta-analysis. Mar. Pollut. Bull. 2022, 177, 113462. [Google Scholar] [CrossRef] [PubMed]
- Yang, Z.; Lü, F.; Zhang, H.; Wang, W.; Shao, L.; Ye, J.; He, P. Is incineration the terminator of plastics and microplastics? J. Hazard. Mater. 2021, 401, 123429. [Google Scholar] [CrossRef]
- Polo-filter. Suction Belt Filter SAFI-E (Endless Belt). 2024. Available online: www.polo-filter.com/en/suction-belt-filter-safi-e-endless-belt (accessed on 25 April 2024).
- Sturm, M.T.; Herbort, A.F.; Horn, H.; Schuhen, K. Comparative study of the influence of linear and branched alkyltrichlorosilanes on the removal efficiency of polyethylene and polypropylene-based microplastic particles from water. Environ. Sci. Pollut. Res. 2020, 27, 10888–10898. [Google Scholar] [CrossRef] [PubMed]
- Sturm, M.T.; Horn, H.; Schuhen, K. Removal of microplastics from waters through agglomeration-fixation using organosilanes—Effects of polymer types, water composition and temperature. Water 2021, 13, 675. [Google Scholar] [CrossRef]
- European Comission. Directive of the European Parliament and of the Council Concerning Urban Wastewater Treatment (Recast): COM(2022) 541 Final 2022/0345 (COD). 2022. Available online: www.eur-lex.europa.eu/resource.html?uri=cellar:fc078ec8-55f7-11ed-92ed-01aa75ed71a1.0001.02/DOC_2 (accessed on 8 January 2024).
- Deutscher Bundestag. Gesetz zur Ordnung des Wasserhaushalts (Wasserhaushaltsgesetz—WHG). 2020. Available online: www.gesetze-im-internet.de/whg_2009/WHG.pdf (accessed on 8 January 2024).
- Ministerium für Umwelt, L. Natur- und Verbraucherschutz des Landes Nordrhein-Westfalen. Entwicklung und Stand der Abwasserbeseitigung in NRW—Kaptiel 8 Industrielle Abwassereinleitungen. 2020. Available online: www.lanuv.nrw.de/fileadmin/lanuv/wasser/abwasser/lagebericht/pdf/2020/12_EStAb2020_Kap08_Industrielle_Abwassereinleitungen.pdf (accessed on 23 November 2023).
- ISO 15705:2002; Water Quality—Determination of the Chemical Oxygen Demand Index (ST-COD)—Small-Scale Sealed-Tube Method. International Organization for Standardization. 2002. Available online: www.iso.org/standard/28778.html (accessed on 23 February 2025).
- DIN 38409-2:1987-03; German Standard Methods for the Examination of Water, Waste Water and Sludge; Parameters Characterizing Effects and Substances (group H); Determination of Filterable Matter and the Residue on Ignition (H 2). Deutsches Institut für Normung. 1987. Available online: www.dinmedia.de/de/norm/din-38409-2/1340135 (accessed on 23 February 2025).
- ISO 7027-1:2016; Water Quality—Determination of Turbidity. International Organization for Standardization. 2016. Available online: www.iso.org/standard/62801.html (accessed on 23 February 2025).
- GreenDelta. openLCA V2.0. 2024. Available online: www.openlca.org (accessed on 20 May 2024).
- Ecoinvent V3.9. 2023. Available online: www.ecoinvent.org (accessed on 1 July 2024).
- Chang, Y.-J.; Sproesser, G.; Neugebauer, S.; Wolf, K.; Scheumann, R.; Pittner, A.; Rethmeier, M.; Finkbeiner, M. Environmental and social life cycle assessment of welding technologies. Procedia Cirp 2015, 26, 293–298. [Google Scholar] [CrossRef]
- UNIPAS. UNIPAS UN Standard—IBC Container 1000L. 2023. Available online: www.unipas.com/unipas-un-standard-ibc-container-1000l (accessed on 11 January 2024).
- Fluid Kothoff GmbH. IBC—Container Stirrer SMEC. 2023. Available online: www.fluid-kotthoff.de/uploads/tx_flukoprod/IBC-Container_stirrer__SMEC_2023.pdf (accessed on 10 January 2024).
- Design Decisions Laboratory at Carnegie Mellon University. Water Pump. 2012. Available online: https://www.cmu.edu/me/ddl/ (accessed on 1 December 2023).
- Grundfos Holding A/S. Product Selection: CM 5-5 O-R-I-E-AQQE C1-A-A-N. 2024. Available online: www.product-selection.grundfos.com/products/cm-cme/cm-self-priming/cm-5-5-92889675?pumpsystemid=2363301984&tab=variant-specifications (accessed on 10 January 2024).
- Avantor. Tetraethyl Orthosilicate (TEOS) 98%. 2024. Available online: www.si.vwr.com/store/product/2378953/tetraethyl-orthosilicate-teos-98 (accessed on 1 June 2024).
- Filtertechnik Jaeger. CoraSpun Polyester-Spunbound Filter Fleece. 2023. Available online: www.filtertechnik-jaeger.de/en/products/filter-fleeces/coraspun (accessed on 12 January 2024).
- Meys, R.; Frick, F.; Westhues, S.; Sternberg, A.; Klankermayer, J.; Bardow, A. Towards a circular economy for plastic packaging wastes–the environmental potential of chemical recycling. Resour. Conserv. Recycl. 2020, 162, 105010. [Google Scholar] [CrossRef]
- International Energy Agency. Energy Statistics Data Browser—Electricity generation by source, Germany, 1990–2022. 2022. Available online: www.iea.org/data-and-statistics/data-tools/energy-statistics-data-browser?country=GERMANY (accessed on 1 June 2024).
- Moosberg-Bustnes, H.; Lagerblad, B.; Forssberg, E. The function of fillers in concrete. Mater. Struct. 2004, 37, 74–81. [Google Scholar] [CrossRef]
- Najigivi, A.; Khaloo, A.; Rashid, S.A. Investigating the effects of using different types of SiO2 nanoparticles on the mechanical properties of binary blended concrete. Compos. Part B Eng. 2013, 54, 52–58. [Google Scholar] [CrossRef]
- Bai, S.; Wang, X.; Zhang, X.; Zhao, X.; Ren, N. Life cycle assessment in wastewater treatment: Influence of site-oriented normalization factors, life cycle impact assessment methods, and weighting methods. RSC Adv. 2017, 7, 26335–26341. [Google Scholar] [CrossRef]
- Awad, H.; Alalm, M.G.; El-Etriby, H.K. Environmental and cost life cycle assessment of different alternatives for improvement of wastewater treatment plants in developing countries. Sci. Total Environ. 2019, 660, 57–68. [Google Scholar] [CrossRef] [PubMed]
- Alibekov, A.; Meirambayeva, M.; Yengsebek, S.; Aldyngurova, F.; Lee, W. Environmental impact of microplastic emissions from wastewater treatment plant through life cycle assessment. Sci. Total Environ. 2025, 962, 178378. [Google Scholar] [CrossRef] [PubMed]






| Technology | Evaluation | Reference |
|---|---|---|
| Membrane filtration |
| [12,13] |
| Dissolved air flotation |
| [14] |
| Coagulation and flocculation |
| [15,16,17] |
| System Element | Parameter | Amount (Pilot Plant) | Amount (Optimized Circular Model) | Unit |
|---|---|---|---|---|
| Device construction elements | ||||
| Pilot plant material | Stainless steel | 9.33 × 10−3 | 9.33 × 10−3 | kg |
| Unalloyed steel | 3.70 × 10−2 | 3.70 × 10−2 | kg | |
| Pilot plant construction | Laser cutting | 2.67 × 10−3 | 2.67 × 10−3 | h |
| Arc welding | 6.40 × 10−3 | 6.40 × 10−3 | m | |
| IBC reservoir | Low-alloyed steel | 7.00 × 10−4 | 7.00 × 10−4 | kg |
| Polypropylene tank | 2.42 × 10−4 | 2.42 × 10−4 | kg | |
| Stirrer | Stainless steel | 3.33 × 10−4 | 3.33 × 10−4 | kg |
| Compressor | Compressor unit | 3.65 × 10−6 | 3.65 × 10−6 | Items |
| Feed pump | Reference pump [46] | 5.00 × 10−5 | 5.00 × 10−5 | Items |
| Outlet pump | Reference pump [46] | 5.00 × 10−5 | 5.00 × 10−5 | Items |
| Operation and consumable materials | ||||
| Electricity use—compressor | Electricity | 0.14 | 0.14 | kWh |
| Electricity use—feed pump | Electricity | 0.15 | 0.15 | kWh |
| Electricity use—reactor tank | Electricity | 0.74 | 0.74 | kWh |
| Electricity use—filtration separator | Electricity | 0.06 | 0.18 | kWh |
| Organosilanes | Tetraethylorthosilicate | 9.40 × 10−4 | 9.40 × 10−4 | kg |
| Belt filter fleece | Polyester cloth | 4.81 | 1.22 × 10−3 | kg |
| Absorber material | GAC | 4.38 × 10−2 | 4.38 × 10−2 | kg |
| End-of-life treatment and reuse of waste | ||||
| COD load | COD | 0.33 | 0.33 | kg |
| Incineration of agglomerates and energy recovery | Incinerated plastic waste | 4.30 | / | kg |
| Electricity production (unburdening) | −10.09 | / | kWh | |
| Water reuse | Water production (unburdening) | −0.90 | −0.90 | m3 |
| Agglomerate reuse | Silica sand (unburdening) | / | −4.30 | kg |
| Treated wastewater | Reference flow | 1.00 | 1.00 | m3 |
| Size Class | Average Characterization Factor (PAFs m3 Day/kgemitted) | Share of MPs |
|---|---|---|
| 10 μm | 1.33 × 106 | 54% |
| 100 μm | 4.91 × 106 | 37% |
| 1000 μm | 1.69 × 107 | 9% |
| Weighted average: | 4.05 × 106 | 100% |
| Parameter | New Pilot Trials | Previous Pilot Trials |
|---|---|---|
| TSSs removal (%) | 98.0 ± 1.1 | 94.6 ± 3.9 |
| Particle removal (%) | 100.0 | 97.92 ± 2.31 |
| COD removal (%) | 96 ± 2.7 | 94.3 ± 8.9 |
| Turbidity removal (%) | 99.6 ± 0.1 | 98.3 ± 1.3 |
| Per m3 | Per day | Per year | |
|---|---|---|---|
| Outputs | |||
| Rinsed wastewater | 1 m3 | 8 m3 | 2000 m3 |
| Removed MPs (TSSs) | 5.1 kg | 40.8 kg | 10.2 t |
| Removed MPs (particles) | 201 trillion (1012) | 1.6 quadrillion (1015) | 2.6 quintillion (1018) |
| Removed COD load | 8.8 kg | 70.7 kg | 17.7 t |
| Rinsed wastewater | 1 m3 | 8 m3 | 2000 m3 |
| Inputs | |||
| Energy consumption | 0.8 kWh | 6.4 kWh | 1600 kWh |
| Organosilane mix consumption (diluted) | 1.25 L | 10 L | 2500 L |
| Organosilane mix consumption (pure) | 1 mL | 8 mL | 2 L |
| Filter fleece consumption | 18.35 m | 146.8 m | 36.7 km |
| Agglomerate generation | |||
| Wet agglomerates | 20.0 kg | 160 kg | 40 t |
| Water content | 77.3% | ||
| Impact Category | Result (Pilot Plant) | Result (Optimized Circular Model) | Unit |
|---|---|---|---|
| Abiotic depletion | 8.80 × 10−5 | 2.98 × 10−6 | kg Sb eq. |
| Abiotic depletion of fossil fuels | 358.24 | 11.43 | MJ |
| Acidification | 4.43 × 10−2 | 3.07 × 10−3 | kg SO2 eq. |
| Eutrophication | 2.39 × 10−3 | 1.15 × 10−2 | kg PO43− eq. |
| Freshwater aquatic ecotoxicity | 23.49 | 1.02 | kg 1,4-DB eq. |
| Global warming | 25.37 | 1.03 | kg CO2 eq. |
| Human toxicity | 16.12 | 1.58 | kg 1,4-DB eq. |
| Marine aquatic ecotoxicity | 2.42 × 104 | 2.12 × 103 | kg 1,4-DB eq. |
| Ozone layer depletion | 8.31 × 10−8 | 8.11 × 10−9 | kg CFC-11 eq. |
| Photochemical oxidation | 3.78 × 10−3 | 1.85 × 10−4 | kg C2H4 eq. |
| Terrestrial ecotoxicity | 9.28 × 10−3 | 2.00 × 10−3 | kg 1,4-DB eq. |
| Process | GWP (kg CO2-eq/m3)—Pilot Plant | GWP (kg CO2-eq/m3)—Optimized Circular Model |
|---|---|---|
| Electricity use | 0.56 | 0.62 |
| GAC | 0.34 | 0.34 |
| Organosilanes | 2.70 × 10−3 | 2.70 × 10−3 |
| Filter fleece | 14.79 | 2.42 × 10−3 |
| Device construction | 0.20 | 0.20 |
| Incineration emissions | 15.26 | / |
| Incineration benefits | −5.80 | / |
| Filler reuse benefits | / | −0.14 |
| Water reuse benefits | −2.92 × 10−4 | −2.92 × 10−4 |
| Parameter | Scenario #1 (no MP Treatment) | Scenario #2 (Pilot Plant) | Scenario #3 (Optimized Circular Model) |
|---|---|---|---|
| MP release (kg/m3) | 5.20 | 0.08 | 0.08 |
| COD load (kg/m3) | 9.20 | 0.33 | 0.33 |
| Water reuse potential (m3/year) | 0.00 | 1800.00 | 1800.00 |
| Physical effects of MPs on biota (PAFs m3 day/m3 wastewater) | 2.11 × 106 | 3.04 × 104 | 3.04 × 104 |
| Eutrophication (kg PO43− eq./m3) | 0.20 | 2.39 × 10−3 | 1.15 × 10−2 |
| Abiotic depletion (kg Sb eq./m3) | / | 8.80 × 10−5 | 2.98 × 10−6 |
| Abiotic depletion of fossil fuels (MJ/m3) | / | 358.24 | 11.43 |
| Acidification (kg SO2 eq./m3) | / | 4.43 × 10−2 | 3.07 × 10−3 |
| Freshwater aquatic ecotoxicity (kg 1,4-DB eq./m3) | / | 23.49 | 1.02 |
| Global warming (kg CO2 eq./m3) | / | 25.37 | 1.03 |
| Human toxicity (kg 1,4-DB eq./m3) | / | 16.12 | 1.58 |
| Marine aquatic ecotoxicity (kg 1,4-DB eq./m3) | / | 2.42 × 104 | 2.12 × 103 |
| Ozone layer depletion (kg CFC-11 eq./m3) | / | 8.31 × 10−8 | 8.11 × 10−9 |
| Photochemical oxidation (kg C2H4 eq/m3) | / | 3.78 × 10−3 | 1.85 × 10−4 |
| Terrestrial ecotoxicity (kg 1,4-DB eq./m3) | / | 9.28 × 10−3 | 2.00 × 10−3 |
Disclaimer/Publisher’s Note: The statements, opinions and data contained in all publications are solely those of the individual author(s) and contributor(s) and not of MDPI and/or the editor(s). MDPI and/or the editor(s) disclaim responsibility for any injury to people or property resulting from any ideas, methods, instructions or products referred to in the content. |
© 2025 by the authors. Licensee MDPI, Basel, Switzerland. This article is an open access article distributed under the terms and conditions of the Creative Commons Attribution (CC BY) license (https://creativecommons.org/licenses/by/4.0/).
Share and Cite
Puhar, J.; Sturm, M.T.; Myers, E.; Schober, D.; Korzin, A.; Vujanović, A.; Schuhen, K. When Technology Meets Sustainability: Microplastic Removal from Industrial Wastewater, Including Impact Analysis and Life Cycle Assessment. Water 2025, 17, 671. https://doi.org/10.3390/w17050671
Puhar J, Sturm MT, Myers E, Schober D, Korzin A, Vujanović A, Schuhen K. When Technology Meets Sustainability: Microplastic Removal from Industrial Wastewater, Including Impact Analysis and Life Cycle Assessment. Water. 2025; 17(5):671. https://doi.org/10.3390/w17050671
Chicago/Turabian StylePuhar, Jan, Michael Toni Sturm, Erika Myers, Dennis Schober, Anika Korzin, Annamaria Vujanović, and Katrin Schuhen. 2025. "When Technology Meets Sustainability: Microplastic Removal from Industrial Wastewater, Including Impact Analysis and Life Cycle Assessment" Water 17, no. 5: 671. https://doi.org/10.3390/w17050671
APA StylePuhar, J., Sturm, M. T., Myers, E., Schober, D., Korzin, A., Vujanović, A., & Schuhen, K. (2025). When Technology Meets Sustainability: Microplastic Removal from Industrial Wastewater, Including Impact Analysis and Life Cycle Assessment. Water, 17(5), 671. https://doi.org/10.3390/w17050671

