Impact of the Reynolds Numbers on the Velocity of Floating Microplastics in Open Channels
Abstract
1. Introduction
2. Materials and Methods
2.1. Experimental Setup
2.2. Hydraulic Characteristics
2.3. Video Tracking
2.4. Data Processing
3. Results
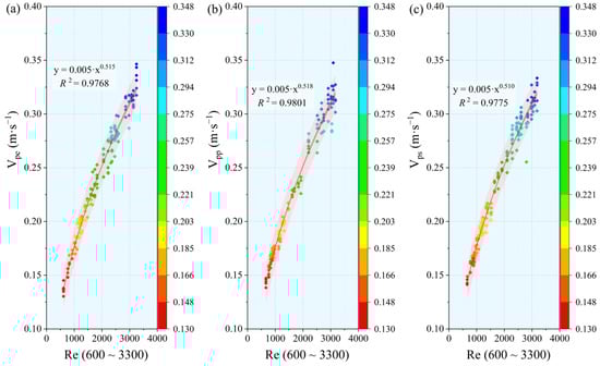
3.1. Effect of Different Reynolds Numbers on the Horizontal Floating Velocity of MPs
3.2. Functional Form, Error Analysis, and Formula Fitting
4. Discussion
5. Conclusions
Author Contributions
Funding
Data Availability Statement
Acknowledgments
Conflicts of Interest
References
- Geyer, R.; Jambeck, J.R.; Law, K.L. Production, use, and fate of all plastics ever made. Sci. Adv. 2017, 3, e1700782. [Google Scholar] [CrossRef]
- Plastics Europe. Plastics—The Fast Facts. 2023. Available online: https://plasticseurope.org/knowledge-hub/plastics-the-fast-facts-2023/ (accessed on 16 February 2024).
- Dai, L.; Zhou, N.; Lv, Y.; Cobb, K.; Chen, P.; Wang, Y.; Liu, Y.; Zou, R.; Lei, H.; Mohamed, B.A. Catalytic reforming of polyethylene pyrolysis vapors to naphtha range hydrocarbons with low aromatic content over a high silica ZSM-5 zeolite. Sci. Total Environ. 2022, 847, 157658. [Google Scholar] [CrossRef] [PubMed]
- Huang, H.; Mohamed, B.A.; Li, L.Y. Accumulation and fate of microplastics in soils after application of biosolids on land: A review. Environ. Chem. Lett. 2023, 21, 1745–1759. [Google Scholar] [CrossRef]
- Lin, L.; Pan, X.; Zhang, S.; Li, D.; Zhai, W.; Wang, Z.; Tao, J.; Mi, C.; Li, Q.; Crittenden, J.C. Distribution and source of microplastics in China’s second largest reservoir—Danjiangkou Reservoir. J. Environ. Sci. 2021, 102, 74–84. [Google Scholar] [CrossRef] [PubMed]
- Dias, B.C.G.; Amarathunga, A.A.D.; De Silva, D.S.M.; Bakir, A.; McGoran, A.R.; Athukorala, A.; Sivyer, D.B.; Reeve, C.; Maddumage, M.D.S.R. The Ecological Implication of Microplastic in Crabs from a Tropical Lagoon: Ingested Microplastic in Mud Crab Scylla serrata. Water 2024, 16, 3534. [Google Scholar] [CrossRef]
- Riaz, H.H.; Lodhi, A.H.; Munir, A.; Zhao, M.; Farooq, U.; Qadri, M.N.M.; Islam, M.S. Breathing in danger: Mapping microplastic migration in the human respiratory system. Phys. Fluids 2024, 36, 043338. [Google Scholar] [CrossRef]
- Arbabi, A.; Gholami, M.; Farzadkia, M.; Djalalinia, S. Microplastics removal technologies from aqueous environments: A systematic review. J. Environ. Health Sci. Eng. 2023, 21, 463–473. [Google Scholar] [CrossRef] [PubMed]
- Winiarska, E.; Jutel, M.; Zemelka-Wiacek, M. The potential impact of nano- and microplastics on human health: Understanding human health risks. Environ. Res. 2024, 251, 18535. [Google Scholar] [CrossRef]
- Isachenko, I.; Chubarenko, I. Transport and accumulation of plastic particles on the varying sediment bed cover: Open-channel flow experiment. Mar. Pollut. Bull. 2022, 183, 114079. [Google Scholar] [CrossRef] [PubMed]
- Liu, Y.; Hao, R.; Shi, X.; Zhang, S.; Sun, B.; Zhao, S.; Huotari, J. Application of a microplastic trap to the determination of the factors controlling the lakebed deposition of microplastics. Sci. Total Environ. 2022, 843, 156883. [Google Scholar] [CrossRef]
- Dittmar, S.; Ruhl, A.S.; Altmann, K.; Jekel, M. Settling velocities of small microplastic fragments and fibers. Environ. Sci. Tech. 2024, 58, 6359–6369. [Google Scholar] [CrossRef] [PubMed]
- Mendrik, F.; Houseago, R.C.; Hackney, C.R.; Parsons, D.R. Microplastic trapping efficiency and hydrodynamics in model coral reefs: A physical experimental investigation. Environ. Pollut. 2024, 342, 123094. [Google Scholar] [CrossRef] [PubMed]
- Stride, B.; Dykes, C.; Abolfathi, S.; Jimoh, M.; Bending, G.D.; Pearson, J. Microplastic transport dynamics in surcharging and overflowing manholes. Sci. Total Environ. 2023, 899, 165683. [Google Scholar] [CrossRef]
- Larsen, B.E.; Al-Obaidi, M.A.A.; Guler, H.G.; Carstensen, S.; Goral, K.D.; Christensen, E.D.; Kerpen, N.B.; Schlurmann, T.; Fuhrman, D.R. Experimental investigation on the nearshore transport of buoyant microplastic particles. Mar. Pollut. Bull. 2023, 187, 114610. [Google Scholar] [CrossRef] [PubMed]
- Singh, P.; Bagrania, J.; Haritash, A.K. Seasonal behaviour of thermal stratification and trophic status in a sub-tropical Palustrine water body. Appl. Water. Sci. 2019, 9, 139. [Google Scholar] [CrossRef]
- Ahmadi, P.; Elagami, H.; Dichgans, F.; Schmidt, C.; Gilfedder, B.S.; Frei, S.; Peiffer, S.; Fleckenstein, J.H. Systematic evaluation of physical parameters affecting the terminal settling velocity of microplastic particles in lakes using CFD. Front. Environ. Sci. 2022, 10, 875220. [Google Scholar] [CrossRef]
- Nakayama, T.; Osako, M. Development of a process-based eco-hydrology model for evaluating the spatio-temporal dynamics of macro- and micro-plastics for the whole of Japan. Ecol. Model. 2023, 476, 110243. [Google Scholar] [CrossRef]
- Liu, J.; Liu, H.; He, D.; Zhang, T.; Qu, J.; Lv, Y.; Zhang, Y. Comprehensive Effects of Temperature, Salinity, and Current Velocity on the Microplastic Abundance in Offshore Area. Pol. J. Environ. Stud. 2022, 31, 1727–1736. [Google Scholar] [CrossRef]
- Zhang, B.; Yang, X.; Liu, L.; Chen, L.; Teng, J.; Zhu, X.; Zhao, J.; Wang, Q. Spatial and seasonal variations in biofilm formation on microplastics in coastal waters. Sci. Total Environ. 2021, 770, 145303. [Google Scholar] [CrossRef]
- Akdogan, Z.; Guven, B. Microplastics in the environment: A critical review of current understanding and identification of future research needs. Environ. Pollut. 2019, 254, 113011. [Google Scholar] [CrossRef] [PubMed]
- Moodley, T.; Abunama, T.; Kumari, S.; Amoah, D.; Seyam, M. Applications of mathematical modelling for assessing microplastic transport and fate in water environments: A comparative review. Environ. Monit. Assess 2024, 196, 667. [Google Scholar] [CrossRef] [PubMed]
- Wu, P.; Huang, J.; Zheng, Y.; Yang, Y.; Zhang, Y.; He, F.; Chen, H.; Quan, G.; Yan, J.; Li, T.; et al. Environmental occurrences, fate, and impacts of microplastics. Ecotox. Environ. Safe. 2019, 184, 109612. [Google Scholar] [CrossRef] [PubMed]
- Nitzberg, E.J.; Parmar, S.; Arbuckle-Keil, G.; Saba, G.K.; Chant, R.J.; Fahrenfeld, N.L. Microplastic concentration, characterization, and size distribution in the Delaware Bay. Chemosphere 2024, 361, 142523. [Google Scholar] [CrossRef] [PubMed]
- Campillo, A.; Almeda, R.; Vianello, A.; Gómez, M.; Martínez, I.; Navarro, A.; Herrera, A. Searching for hotspots of neustonic microplastics in the Canary Islands. Mar. Pollut. Bull. 2023, 192, 115057. [Google Scholar] [CrossRef] [PubMed]
- Gedik, K.; Eryaşar, A.R.; Öztürk, R.Ç.; Mutlu, E.; Karaoğlu, K.; Şahin, A.; Özvarol, Y. The broad-scale microplastic distribution in surface water and sediments along Northeastern Mediterranean shoreline. Sci. Total Environ. 2022, 843, 157038. [Google Scholar] [CrossRef]
- dos Santos Silva, J.; Cidade, M.J.A.; Panero, F.S.; Ribeiro, L.B.; Campos da Rocha, F.O. Microplastic pollution in the Amazon Basin: Current scenario, advances and perspectives. Sci. Total Environ. 2024, 946, 174150. [Google Scholar] [CrossRef] [PubMed]
- Yu, S.; Qin, H. Modeling the effects of plant uptake dynamics on nitrogen removal of a bioretention system. Water Res. 2023, 247, 120763. [Google Scholar] [CrossRef]
- Zeng, S.; Lei, S.; Li, Y.; Lyu, H.; Dong, X.; Li, J.; Cai, X. Remote monitoring of total dissolved phosphorus in eutrophic Lake Taihu based on a novel algorithm: Implications for contributing factors and lake management. Environ. Pollut. 2022, 296, 118740. [Google Scholar] [CrossRef] [PubMed]
- Johannesen, N.J.; Kolhe, M.L.; Goodwin, M. Smart load prediction analysis for distributed power network of Holiday Cabins in Norwegian rural area. J. Clean. Prod. 2020, 266, 121423. [Google Scholar] [CrossRef]
- Kumar, P.; Sharma, A. Reynolds number effect on the parameters of turbulent flows over open channels. AQUA-UK 2024, 73, 1030–1047. [Google Scholar] [CrossRef]
- He, L.; Jiang, J.; Zheng, S.; Yu, N.; Zhu, Y.; Han, W. Numerical simulation and experimental study of microplastic transport under open channel shear flow: Roles of particle physical properties and flow velocities. Ecotox. Environ. Safe 2024, 287, 117308. [Google Scholar] [CrossRef]
- Stride, B.; Abolfathi, S.; Bending, G.D.; Pearson, J. Quantifying microplastic dispersion due to density effects. J. Hazard. Mater. 2024, 466, 133440. [Google Scholar] [CrossRef]
- Jiang, Y.; Zhou, S.; Fei, J.; Qin, Z.; Yin, X.; Sun, H.; Sun, Y. Transport of different microplastics in porous media: Effect of the adhesion of surfactants on microplastics. Water Res. 2022, 215, 118262. [Google Scholar] [CrossRef]
- Kaiser, D.; Estelmann, A.; Kowalski, N.; Glockzin, M.; Waniek, J.J. Sinking velocity of sub-millimeter microplastic. Mar. Pollut. Bull. 2019, 139, 214–220. [Google Scholar] [CrossRef]
- Duraisamy, K.; Iaccarino, G.; Xiao, H. Turbulence Modeling in the Age of Data. Annu. Rev. Fluid. Mech. 2019, 51, 357–377. [Google Scholar] [CrossRef]
- Huang, H.; Zeng, S.; Luo, C.; Long, T. Separate effect of turbulent pulsation on internal mass transfer in porous biofilms. Environ. Res. 2023, 217, 114972. [Google Scholar] [CrossRef] [PubMed]
- Boos, J.P.; Gilfedder, B.S.; Frei, S. Tracking microplastics across the streambed interface: Using laser-induced-fluorescence to quantitatively analyze microplastic transport in an experimental flume. Water. Resour. Res. 2021, 57, e2021WR031064. [Google Scholar] [CrossRef]
- Lee, J.; Choi, J.M. Measurement of near-surface current shear using a Lagrangian platform and its implication on microplastic dispersion. J. Mar. Sci. Eng. 2023, 11, 1716. [Google Scholar] [CrossRef]
- Sherwood, C.R.; Dongeren, A.; Doyle, J.; Hegermiller, C.A.; Hsu, T.J.; Kalra, T.S.; Olabarrieta, M.; Penko, A.M.; Rafati, Y.; Roelvink, D.; et al. Modeling the Morphodynamics of Coastal Responses to Extreme Events: What Shape Are We In? Annu. Rev. Mar. Sci. 2022, 14, 457–492. [Google Scholar] [CrossRef] [PubMed]
- Rahman, A.M.N.A.A.; Rusli, A.; Abdullah, M.K.; Shuib, R.K.; Hamid, Z.A.A.; Ishak, K.M.K.; Makhtar, M.M.Z.; Jaafar, M.; Shafiq, M.D. A review of microplastic surface interactions in water and potential capturing methods. Water. Sci. Eng. 2023. [Google Scholar] [CrossRef]
- Alsina, J.M.; Jongedijk, C.E.; van Sebille, E. Laboratory measurements of the wave-induced motion of plastic particles: Influence of wave period, plastic size and plastic density. J. Geophys. Res. Oceans 2020, 125, e2020JC016294. [Google Scholar] [CrossRef] [PubMed]
- Mendrik, F.; Fernández, R.; Hackney, C.R.; Waller, C.; Parsons, D.R. Non-buoyant microplastic settling velocity varies with biofilm growth and ambient water salinity. Commun. Earth Environ. 2023, 4, 30. [Google Scholar] [CrossRef]






| MPs | Shapes | Density (g·cm–3) |
|---|---|---|
| Polyethylene (PE) | Approximate spherical shape | 0.941 |
| Polypropylene (PP) | 0.908 | |
| Polystyrene (PS) | 1.010 |
| No. | Q (L·s−1) | H (m) | Vw (m·s−1) | Re |
|---|---|---|---|---|
| 1 | 0.0498 | 0.0070 | 0.0593 | 360 |
| 2 | 0.0717 | 0.0088 | 0.0683 | 509 |
| 3 | 0.0850 | 0.0095 | 0.0746 | 597 |
| 4 | 0.1291 | 0.0110 | 0.0978 | 888 |
| 5 | 0.1604 | 0.0126 | 0.1065 | 1079 |
| 6 | 0.2134 | 0.0150 | 0.1186 | 1389 |
| 7 | 0.2556 | 0.0165 | 0.1291 | 1631 |
| 8 | 0.3063 | 0.0180 | 0.1418 | 1917 |
| 9 | 0.3420 | 0.0190 | 0.1500 | 2114 |
| 10 | 0.3788 | 0.0200 | 0.1578 | 2312 |
| 11 | 0.4404 | 0.0217 | 0.1691 | 2632 |
| 12 | 0.4744 | 0.0226 | 0.1749 | 2804 |
| 13 | 0.5245 | 0.0240 | 0.1821 | 3049 |
| 14 | 0.6141 | 0.0255 | 0.2007 | 3507 |
| 15 | 0.6812 | 0.0265 | 0.2142 | 3845 |
| 16 | 0.7740 | 0.0289 | 0.2232 | 4251 |
| 17 | 0.8604 | 0.0297 | 0.2414 | 4684 |
| Functional Form: z (x, y) | Fitting Equation: Vp (Re, ρ) | R2 | MPs | NSE | MAPE | sMAPE |
|---|---|---|---|---|---|---|
| z =Ax + By + C | 0.9630 | PE | 0.9715 | 3.21% | 3.21% | |
| PP | 0.9784 | 3.05% | 3.01% | |||
| PS | 0.9713 | 3.20% | 3.18% | |||
| z = Ax2 + By2 + Cxy + Dx + Ey + F | 0.9714 | PE | 0.9765 | 2.59% | 2.58% | |
| PP | 0.9841 | 2.37% | 2.35% | |||
| PS | 0.9792 | 2.80% | 2.80% | |||
| z = A·xB·y+C + D | 0.9714 | PE | 0.9771 | 2.53% | 2.52% | |
| PP | 0.9832 | 2.42% | 2.40% | |||
| PS | 0.9793 | 2.79% | 2.82% | |||
| z = A·lg(Bx + Cy + D) + E | 0.9712 | PE | 0.9769 | 2.54% | 2.53% | |
| PP | 0.9835 | 2.36% | 2.34% | |||
| PS | 0.9802 | 2.75% | 2.77% |
Disclaimer/Publisher’s Note: The statements, opinions and data contained in all publications are solely those of the individual author(s) and contributor(s) and not of MDPI and/or the editor(s). MDPI and/or the editor(s) disclaim responsibility for any injury to people or property resulting from any ideas, methods, instructions or products referred to in the content. |
© 2025 by the authors. Licensee MDPI, Basel, Switzerland. This article is an open access article distributed under the terms and conditions of the Creative Commons Attribution (CC BY) license (https://creativecommons.org/licenses/by/4.0/).
Share and Cite
Li, J.; Wang, Z.; Li, W.; Jing, S.; Graco-Roza, C.; Arvola, L. Impact of the Reynolds Numbers on the Velocity of Floating Microplastics in Open Channels. Water 2025, 17, 588. https://doi.org/10.3390/w17040588
Li J, Wang Z, Li W, Jing S, Graco-Roza C, Arvola L. Impact of the Reynolds Numbers on the Velocity of Floating Microplastics in Open Channels. Water. 2025; 17(4):588. https://doi.org/10.3390/w17040588
Chicago/Turabian StyleLi, Jiachen, Zhichao Wang, Weiping Li, Shuangyi Jing, Caio Graco-Roza, and Lauri Arvola. 2025. "Impact of the Reynolds Numbers on the Velocity of Floating Microplastics in Open Channels" Water 17, no. 4: 588. https://doi.org/10.3390/w17040588
APA StyleLi, J., Wang, Z., Li, W., Jing, S., Graco-Roza, C., & Arvola, L. (2025). Impact of the Reynolds Numbers on the Velocity of Floating Microplastics in Open Channels. Water, 17(4), 588. https://doi.org/10.3390/w17040588

