Current State of Lake Kotokel (Eastern Cisbaikalia, Russia): Hydrochemical Characteristics, Water Quality, and Trophic Status
Abstract
1. Introduction
2. Materials and Methods
2.1. Study Area
2.2. Data Sources
2.3. Field Studies
2.4. Laboratory Analyses
2.5. Assessment of Water Quality and Trophic Status
2.5.1. Water Quality Indices
2.5.2. Trophic State Index
2.6. Visualization and Data Analysis
3. Results and Discussion
3.1. Analysis of Water Levels
3.2. Analysis of Physicochemical Conditions, Major Ions, Nutrients, and Heavy Metals
3.2.1. Mineralization and Major Ions
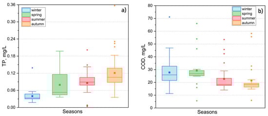
3.2.2. Nutrients and Organic Matter
3.2.3. Heavy Metals in Water
3.3. Water Quality and Trophic Status Assessment
3.3.1. Water Quality
3.3.2. Trophic Status Assessment
4. Conclusions
Supplementary Materials
Author Contributions
Funding
Data Availability Statement
Conflicts of Interest
References
- Ramos, H.M.; McNabola, A.; López-Jiménez, P.A.; Pérez-Sánchez, M. Smart Water Management towards Future Water Sustainable Networks. Water 2020, 12, 58. [Google Scholar] [CrossRef]
- Suman, D.O.; Morais, M.; Saito, C.H. Solutions Based on Nature to Face Water Stress: Lessons from the Past and Present. Water 2024, 16, 2301. [Google Scholar] [CrossRef]
- Aryal, J.P.; Rahut, D.B.; López-Lavalle, A.B.; Sonobe, T. Agriculture Water Management, Food Security, and Sustainable Agriculture in the People’s Republic of China and India Under Climate Change; ADBI Working Paper: Tokyo, Japan, 2024. [Google Scholar] [CrossRef]
- Cosgrove, W.J.; Loucks, D.P. Water management: Current and future challenges and research directions. Water Resour. Res. 2015, 51, 4823–4839. [Google Scholar] [CrossRef]
- Mishra, A.; Alnahit, A.; Campbell, B. Impact of land uses, drought, flood, wildfire, and cascading events on water quality and microbial communities: A review and analysis. J. Hydrol. 2021, 596, 125707. [Google Scholar] [CrossRef]
- Modabberi, A.; Noori, R.; Madani, K.; Ehsani, A.H.; Mehr, A.D.; Hooshyaripor, F.; Klove, B. Caspian Sea is eutrophying: The alarming message of satellite data. Environ. Res. Lett. 2020, 15, 124047. [Google Scholar] [CrossRef]
- Zaghloul, G.Y.; Zaghloul, A.Y.; Hamed, M.A.; El-Moselhy, K.M.; Ezz El-Din, H.M. Water quality assessment for Northern Egyptian lakes (Bardawil, Manzala, and Burullus) using NSF-WQI Index. Reg. Stud. Mar. Sci. 2023, 64, 103010. [Google Scholar] [CrossRef]
- Tanjung, R.H.R.; Indrayani, E.; Agamawan, L.P.I.; Hamuna, B. Water quality assessment to determine the trophic state and suitability of Lake Sentani (Indonesia) for various utilisation purposes. Water Cycle 2024, 5, 99–108. [Google Scholar] [CrossRef]
- Bhateria, R.; Jain, D. Water Quality Assessment of Lake Water: A Review. Sustain. Water Resour. Manag. 2016, 2, 161–173. [Google Scholar] [CrossRef]
- Prasad, S.; Wei, Y.; Chaminda, T.; Ritigala, T.; Yu, L.; Jinadasa, K.B.S.N.; Wasana, H.M.S.; Indika, S.; Yapabandara, I.; Hu, D.; et al. Spatiotemporal Assessment of Water Pollution for Beira Lake, Sri Lanka. Water 2024, 16, 1616. [Google Scholar] [CrossRef]
- Ozdemir, K.; Ciner, M.N.; Ozcan, H.K.; Aydın, S. Evaluation of Water and Sediment Quality in Lake Mogan, Türkiye. Water 2024, 16, 1546. [Google Scholar] [CrossRef]
- Xiao, Q.; Duan, H.; Qin, B.; Hu, Z.; Zhang, M.; Qi, T.; Lee, X. Eutrophication and temperature drive large variability in carbon dioxide from China’s Lake Taihu. Limnol. Oceanogr. 2022, 6, 379–391. [Google Scholar] [CrossRef]
- Brown, K.P.; Gerber, A.; Bedulina, D.; Timofeyev, M.A. Human impact and ecosystemic health at Lake Baikal. WIREs Water 2021, 8, e1528. [Google Scholar] [CrossRef]
- Radnaeva, L.D.; Bazarzhapov, T.Z.; Shiretorova, V.G.; Zhigzhitzhapova, S.V.; Nikitina, E.P.; Dylenova, E.P.; Shirapova, G.S.; Budaeva, O.D.; Beshentsev, A.N.; Garmaev, E.Z.; et al. Ecological State of Lake Gusinoe–A Cooling Pond of the Gusinoozersk GRES. Water 2022, 14, 4. [Google Scholar] [CrossRef]
- Pinardi, M.; Stroppiana, D.; Caroni, R.; Parigi, L.; Tellina, G.; Free, G.; Giardino, C.; Albergel, C.; Bresciani, M. Assessing the impact of wildfires on water quality using satellite remote sensing: The Lake Baikal case study. Front. Remote Sens. 2023, 4. [Google Scholar] [CrossRef]
- Peryazeva, E.G.; Plyusnin, A.M.; Garmaeva, S.Z.; Budaev, R.T.; Zhambalova, D.I. Peculiarities of the formation of the chemical composition of water in lakes on the eastern shore of Lake Baikal. Geogr. Nat. Resour. 2016, 5, 49–59. [Google Scholar] [CrossRef]
- Pronin, N.M.; Ubugunov, L.L. (Eds.) Lake Kotokel’skoe: Natural Conditions, Biota, Ecology; Buryat Scientific Center SB RAS: Ulan-Ude, Russia, 2013; p. 320. [Google Scholar]
- Yuriev, A.L.; Samusenok, V.P.; Matveev, A.N.; Pronin, N.M.; Gavrilov, I.A.; Rodchenko, O.P. Biological characteristics of fish of Lake Kotokelskoye at the present time. Bull. Irkutsk. State Univ. Ser. Biol. Ecol. 2011, 4, 70–82. [Google Scholar]
- Shagzhiev, K.S.; Babikov, V.A.; Zhigmitova, S.B.; Mostovich, E.A. The East Coast of Baikal as an Area of Attraction and Influx of Tourists from Siberia, Mongolia and China. Nat. Inn. Asia 2017, 1, 54–76. Available online: https://cyberleninka.ru/article/n/vostochnoe-poberezhie-oz-baykal-kak-zona-prityazheniya-turistov-iz-stran-vnutrenney-azii (accessed on 10 November 2024).
- Zengina, T.Y.; Bedrinova, D.S. Study of the quality of surface water in the recreational zone of Lake Kotokel (Republic of Buryatia). J. Belarusian State Univ. Ser. 2 Chem. Biol. Geogr. 2015, 2, 63–69. [Google Scholar]
- Aguiar, G.R.F.; Silva, R.C.M.; Petruccelli, K.C.S.; Oliveira, M.N.; Brito, G.A.U.; Albuquerque, P.L.M.M.; Daher, E.D.F.; Silva Junior, G.B. Haff Disease: Overview and Clinical Features. Rev. Inst. Med. Trop. São Paulo 2024, 66, e52. [Google Scholar] [CrossRef] [PubMed]
- Wu, C.J.; Zhou, H.J.; Gu, W. Clinical characteristics of patients with Haff disease after eating crayfish. World J. Emerg. Med. 2019, 10, 156–159. [Google Scholar] [CrossRef] [PubMed] [PubMed Central]
- Lebedeva, D.I.; Marchenko, A.N.; Sharuho, G.V.; Raspopova, Y.I.; Turovinina, E.F. Features of the course and outcomes of Haff disease in the territory of the Tyumen region. Health Care Russ. Fed. 2023, 67, 149–155. (In Russian) [Google Scholar] [CrossRef]
- Galtseva, A.A.; Yurchenko, A.A.; Glazunova, L.A.; Raspopova, Y.I. Retrospective Analysis of Cases of Outbreaks of «Haff» Disease (Literature Review). AIC Innov. Technol. J. 2024, 3, 6–22. [Google Scholar]
- Chan, T.Y.K. The Emergence and Epidemiology of Haff Disease in China. Toxins 2016, 8, 359. [Google Scholar] [CrossRef] [PubMed]
- Wu, Y.; Wang, X.; Wang, X.; He, Z.; Wang, R.; Chen, Z.; Wu, X. Surveillance for rhabdomyolysis after the consumption of crayfish in Wuhan, China, 2016–2022. Front Nutr. 2024, 11, 1333888. [Google Scholar] [CrossRef] [PubMed] [PubMed Central]
- Cardoso, C.W.; Oliveira E Silva, M.M.; Bandeira, A.C.; Silva, R.B.; Prates, A.P.P.B.; Soares, Ê.S.; Silva, J.J.M.; de Souza, L.J.R.; Souza, M.M.D.S.; Muhana, M.A.; et al. Haff Disease in Salvador, Brazil, 2016–2021: Attack rate and detection of toxin in fish samples collected during outbreaks and disease surveillance. Lancet Reg. Health Am. 2021, 5, 100092. [Google Scholar] [CrossRef] [PubMed] [PubMed Central]
- Buchholz, U.; Mouzin, E.; Dickey, R.; Moolenaar, R.; Sass, N.; Mascola, L. Haff disease: From the Baltic Sea to the U.S. shore. Emerg. Infect. Dis. 2000, 6, 192–195. [Google Scholar] [CrossRef] [PubMed] [PubMed Central]
- Huang, C.; Peng, L.; Gong, N.; Xue, C.; Wang, W.; Jiang, J. A Retrospective Analysis of Crayfish-Related Rhabdomyolysis (Haff Disease). Emerg. Med. Int. 2019, 4209745. [Google Scholar] [CrossRef] [PubMed] [PubMed Central]
- Belykh, O.I.; Tikhonova, I.V.; Sorokovikova, E.G.; Gladkikh, A.S.; Kalyuzhnaya, O.V. Detection of toxic Microcystis in Lake Kotokelskoye (Buryatia). Vestnic Tomsk. State Univ. 2010, 330, 172–175. [Google Scholar]
- Vorobyevskaya, E.L.; Sedova, N.B.; Chevel, K.A.; Ostroumov, S.A.; Gorshkova, O.M. Biogenic Elements and Water Quality of Lake Kotokel and Some Neighboring Reservoirs. In Ecological and Biological Systems (Ecological Studies, Hazards, Solutions); Ostroumov, S.A., Gorshkova, O.M., Kotelevtsev, S.V., Eds.; MAKS Press: Moscow, Russia, 2021; Volume 27, pp. 54–62. [Google Scholar]
- Plyusnin, A.M. Geological and Hydrological Practice on the Eastern Coast of Lake Baikal: Teaching Aid; Publishing House of VSGUTU: Ulan-Ude, Russia, 2020; p. 81. [Google Scholar]
- Vorobyova, I.B.; Belozertseva, I.A.; Vlasova, N.V.; Yanchuk, M.S. Current state of watercourses in the estuary areas of the eastern coast of Lake Baikal Advances in modern. Nat. Sci. 2018, 1, 86–92. [Google Scholar] [CrossRef][Green Version]
- Angakhaeva, N.A.; Plyusnin, A.M.; Ukraintsev, A.U.; Chernyavskii, M.K.; Peryazeva, E.G.; Zhambalova, D.I. Hydrogeochemical features of Lake Kotokel. Earth Sci. Subsoil Use 2021, 44, 106–115. [Google Scholar] [CrossRef]
- Bazarsadueva, S.V.; Taraskin, V.V.; Budaeva, O.D.; Nikitina, E.P.; Zhigzhitzhapova, S.V.; Shiretorova, V.G.; Bazarzhapov, T.Z.; Radnaeva, L.D. First Data on PAE levels in Surface Water in Lakes of the Eastern Coast of Baikal. Int. J. Environ. Res. Public Health 2023, 20, 1173. [Google Scholar] [CrossRef]
- Lunina, O.V. Faults and Seismically Induced Geological Hazards in Southern East Siberia and Adjacent Areas; Publishing House of the Siberian Branch of the Russian Academy of Sciences: Novosibirsk, Russia, 2016; p. 226. [Google Scholar]
- Imetkhenov, A.B. Late Cenozoic Deposits of the Coast of Lake Baikal; Nauka: Novosibirsk, Russia, 1987; p. 148. (In Russian) [Google Scholar]
- Takahara, H.; Krivonogov, S.K.; Bezrukova, E.V.; Miyoshi, N.; Morita, Y.; Nakamura, T.; Hase, Y.; Shinomiya, Y.; Kawamuro, K. Vegetation history of the southeastern and eastern coasts of Lake Baikal from bog sediments since the last interstage. In Lake Baikal: A Mirror in Time and Space for Understanding Global Change Processes; Minoura, K., Ed.; Elsevier: Amsterdam, The Netherlands, 2000; pp. 108–118. [Google Scholar]
- Galazy, G.I. (Ed.) Baikal Atlas; Roscartography: Moscow, Russia, 1993; p. 160. [Google Scholar]
- Khaptanov, V.B.; Bashkuev, Y.B.; Dembelov, M.G. Structure of the Kotokel lake water and bottom sediments according to GRP sounding. Sib. Aerosp. J. 2013, 14, 143–146. [Google Scholar]
- Pronin, N.M.; Burdukovskaya, T.G.; Batueva, M.D.; Sondueva, L.D.; Pronina, S.V.; Zhepkholova, O.B. Parasite fauna of the perch in Lake Kotokel (Republic of Buryatia: Baikal region) during the Haff disease outbreak. Bull. Buryat State Univ. Ser. Biol. Geogr. 2010, 4, 174–179. [Google Scholar]
- Ministry of Natural Resources and Ecology of the Russian Federation. The State of Lake Baikal and Measures for Its Protection; Report; Ministry of Natural Resources and Ecology of the Russian Federation: Moscow, Russia, 2002–2020. Available online: https://www.mnr.gov.ru/docs/gosudarstvennye_doklady/o_sostoyanii_ozera_baykal_i_merakh_po_ego_okhrane/ (accessed on 2 November 2024).
- Zhang, Y.; Wünnemann, B.; Bezrukova, E.V.; Ivanov, E.V.; Shchetnikov, A.A.; Nourgaliev, D.; Levina, O.V. Basin morphology and seismic stratigraphy of Lake Kotokel, Baikal region, Russia. Quat. Int. 2013, 290–291, 57–67. [Google Scholar] [CrossRef]
- Bathymetry of Natural Lakes in Russia. MapGraphica. Available online: http://lakemaps.org/ru/atlas_maps.asp?name=Buryatia&geotype=rp&local=Pecпyбликa%20Бypятия (accessed on 1 November 2024).
- GOST 31859-201; Water. Method for Determination of Chemical Oxygen Demand. Interstate Council for Standardization, Metrology and Certification: Moscow, Russia, 2014; p. 7.
- GOST 57162-2016; Water. Determination of Elements Content by Graphite Furnace Atomic Absorption Spectrometry. Standardinform: Moscow, Russia, 2019. Available online: https://docs.cntd.ru/document/1200140389 (accessed on 10 November 2024).
- GOST 31861-2012; Water. General Requirements for Sampling. Standardinform: Moscow, Russia, 2019. Available online: https://docs.cntd.ru/document/1200097520 (accessed on 1 January 2014).
- GOST 17.1.5.01-80; Nature Protection. Hydrosphere. General Requirements for Sampling of Bottom Sediments of Water Objects for Their Pollution Analysis. IPK Izdatelstvo Standartov: Moscow, Russia, 2002. Available online: https://docs.cntd.ru/document/120001278 (accessed on 10 November 2024).
- GOST 17.1.4.02-90; Water. Spectrophotometric Determination of Chlorophyll-a. IPK Izdatelstvo Standartov: Moscow, Russia, 1999. Available online: https://docs.cntd.ru/document/1200009756 (accessed on 10 November 2024).
- RD 52.24.643-2002; Methods Guidelines. The Methods of Integral Assessment and Pollution Level of Surface Waters by Hydrochemical Indices, SPb. Gidrometeoizdat: Leningrad, Russia, 2002. Available online: https://files.stroyinf.ru/Data2/1/4293831/4293831806.pdf (accessed on 10 November 2024).
- GOST R 58556-2019; Assessment of Water Quality of Water Bodies from Ecological View Points. Russian Gost: Moscow, Russia, 2019. Available online: https://docs.cntd.ru/document/1200168048 (accessed on 1 May 2020).
- United Nations Environment Programme Global Environment Monitoring System (UNEP GEMS). Global Drinking Water Quality Index Development and Sensitivity Analysis Report; Water Programme Office, National Water Research Institute: Lakeshore Road Burlington, ON, Canada, 2007; Available online: https://www.unep.org/resources/report/global-drinking-water-quality-index-development-and-sensitivity-analysis-report-0 (accessed on 10 November 2024).
- Canadian Council of Ministers of the Environment. Canadian Water Quality Guidelines for the Protection of Aquatic Life: CCME Water Quality Index 1.0; Technical Report; Canadian Council of Ministers of the Environment: Winnipeg, MB, Canada, 2001; pp. 1–13. Available online: https://ccme.ca/en/res/wqimanualen.pdf (accessed on 10 November 2024).
- Mohebbi, M.R.; Saeedi, R.; Montazeri, A.; Vaghefi, K.A.; Labbafi, S.; Oktaie, S.; Abtahi, M.; Mohagheghian, A. Assessment of water quality in groundwater resources of Iran using a modified drinking water quality index (DWQI). Ecol. Ind. 2013, 30, 28–34. [Google Scholar] [CrossRef]
- Terrado, M.; Barcelo, D.; Tauler, R.; Borrell, E.; Campos, S.; Barcelo, D. Surface-water-quality indices for the analysis of data generated by automated sampling networks. Trends Anal. Chem. 2010, 29, 40–52. [Google Scholar] [CrossRef]
- Carlson, R.E. A trophic state index for lakes. Limnol. Oceanogr. 1977, 22, 361–369. [Google Scholar] [CrossRef]
- Aizaki, M.; Otsuki, A.; Fukushima, T.; Hosomi, M.; Muraoka, K. Application of Carlson’s trophic state index to Japanese lakes and relationships between the index and other parameters. SIL Proc. 1981, 21, 675–681. [Google Scholar] [CrossRef]
- Acuña-Alonso, C.; Alvarez, X.; Lorenzo, O.; Cancela, A.; Valero, E.; Sanchez, A. Assessment of water quality in eutrophized water bodies through the application of indexes and toxicity. Sci. Total Environ. 2020, 728, 138775. [Google Scholar] [CrossRef] [PubMed]
- Opiyo, S.B.; Getabu, A.M.; Sitoki, L.M.; Shitandi, A.; Ogendi, G.M. Application of the Carlson’s Trophic State Index for the Assessment of Trophic Status of Lake Simbi Ecosystem, a Deep Alkaline-Saline Lake in Kenya. Int. J. Fish. Aquat. Stud. 2019, 7, 327–333. [Google Scholar] [CrossRef]
- Vollenweider, R.A.; Giovanardi, F.; Montanari, G.; Rrinaldi, A. Characterization of the trophic conditions of marine coastal waters with special reference to the NW Adriatic Sea: Proposal for a trophic scale, turbidity and generalized water quality index. Environmetrics 1998, 9, 329–357. [Google Scholar] [CrossRef]
- Bazarzhapov, T.Z.; Shiretorova, V.G.; Radnaeva, L.D.; Nikitina, E.P.; Sodnomov, B.V.; Tsydypov, B.Z.; Batomunkuev, V.S.; Taraskin, V.V.; Dong, S.; Li, Z.; et al. Trend Analysis of Precipitation, Runoff and Major Ions for the Russian Part of the Selenga River Basin. Water 2023, 15, 197. [Google Scholar] [CrossRef]
- Akhundzadah, N.A. Analyzing Temperature, Precipitation, and River Discharge Trends in Afghanistan’s Main River Basins Using Innovative Trend Analysis, Mann–Kendall, and Sen’s Slope Methods. Climate 2024, 12, 196. [Google Scholar] [CrossRef]
- Singh, S.; Singh, S.K.; Kanga, S.; Shrivastava, P.; Sajan, B.; Meraj, G.; Kumar, P.; Đurin, B.; Kranjčić, N.; Dogančić, D. Analysis of hydrological changes in the Banas River: Analysing Bisalpur Dam impact and trends of the water scarcity. Results Eng. 2024, 22, 101978. [Google Scholar] [CrossRef]
- Doganovsky, A.M. The lake water level fixes the supply and in many respects influences the environment of biocenoses. Soc. Environment. Dev. Terra Humana 2007, 1, 103–110. [Google Scholar]
- Sinyukovich, V.N.; Chernyshov, M.S. Water regime of lake Baikal under conditions of climate change and anthropogenic influence. Quat. Int. 2019, 524, 93–101. [Google Scholar] [CrossRef]
- Obyazov, V.A. Adaptation to Climate Changes: A Regional Approach. Geogr. Prir. Resur. 2010, 2, 34–39. [Google Scholar]
- World Health Organization (WHO). Guidelines for Drinking Water Quality Recommendations; WHO: Geneva, Switzerland, 2004; Volume 1, p. 515. [Google Scholar]
- Ministerial Decree No. 552 of 13 December 2016 Regarding Elaboration and Validation of Water Quality Standards for Fishery Waterbodies, Including Maximum Concentration Limits of Pollutants in the Water. Available online: https://www.fao.org/faolex/results/details/en/c/LEX-FAOC187272/ (accessed on 13 December 2016).
- Piper, A.M. A Graphic Procedure in the Geochemical Interpretation of Water-Analyses. Eos Trans. Am. Geophys. Union 1944, 25, 914–928. [Google Scholar] [CrossRef]
- Tomberg, I.V.; Sinyukovich, V.N.; Sorokovikova, L.M.; Radnaeva, L.D.; Pavlov, I.A.; Shiretorova, V.G.; Chernyshov, M.S.; Tulokhonov, A.K. Characteristics of The Water Chemical Composition in The Selenga River During the 2017-2018 Low-Water Period. Geogr. Nat. Resour. 2020, 3, 81–88. [Google Scholar] [CrossRef]
- Domysheva, V.M.; Sorokovikova, L.M.; Sinyukovich, V.N.; Onishchuk, N.A.; Sakirko, M.V.; Tomberg, I.V.; Zhuchenko, N.A.; Golobokova, L.P.; Khodzher, T.I. Ionic Composition of Water in Lake Baikal, Its Tributaries, and the Angara River Source during the Modern Period. Russ. Meteorol. Hydrol. 2019, 44, 687–694. [Google Scholar] [CrossRef]
- Nikanorov, A.M. Hydrochemistry, 3rd ed.; NOK: Rostov-on-Don, Russia, 2008. (In Russian) [Google Scholar]
- Sorokovikova, L.M.; Sinyukovich, V.N.; Tomberg, I.V.; Popovskaya, G.I.; Bashenkhaeva, N.V.; Sez’ko, N.P.; Zhuchenko, N.A. Chemical composition of waters and the phytoplankton of the lakes within the delta of the Selenga river. Geogr. Nat. Resour. 2016, 37, 220–227. [Google Scholar] [CrossRef]
- Bazarsadueva, S.V.; Shiretorova, V.G.; Nikitina, E.P.; Zhigzhitzhapova, S.V.; Taraskin, V.V.; Bazarzhapov, T.Z.; Dong, S.; Radnaeva, L.D. Heavy Metal Content in Fish of the Barguzin River (Eastern Cisbaikalia) and Assessment of Potential Risks to Human Health. Water 2023, 15, 3710. [Google Scholar] [CrossRef]
- Kashin, V.K.; Ivanov, G.M. Specific Features of Manganese Distribution in Natural Waters of Transbaikalia. Water Resour. 2005, 32, 545–548. [Google Scholar] [CrossRef]
- Kashin, V.K.; Ivanov, G.M. Copper in Natural Waters in Transbaikalia. Water Resour. 2008, 35, 228–233. [Google Scholar] [CrossRef]
- Zhang, H. Lake Management and Eutrophication Mitigation: Coming down to Earth—In Situ Monitoring, Scientific Management and Well-Organized Collaboration Are Still Crucial. Water 2022, 14, 2878. [Google Scholar] [CrossRef]
- Chidiac, S.; El Najjar, P.; Ouaini, N.; El Rayess, Y.; El Azzi, D. A comprehensive review of water quality indices (WQIs): History, models, attempts and perspectives. Rev. Environ. Sci. Biotechnol. 2023, 22, 349–395. [Google Scholar] [CrossRef]
- Tyagi, S.; Sharma, B.; Singh, P.; Dobhal, R. Water Quality Assessment in Terms of Water Quality Index. Am. J. Water Resour. 2013, 1, 34–38. [Google Scholar] [CrossRef]
- Fortes, A.C.C.; Barrocas, P.R.G.; Kligerman, D.C. Water quality indices: Construction, potential, and limitations. Ecol. Indic. 2023, 157, 111187. [Google Scholar] [CrossRef]
- Akinnawo, S.O. Eutrophication: Causes, consequences, physical, chemical and biological techniques for mitigation strategies. Environ. Chall. 2023, 12, 100733. [Google Scholar] [CrossRef]
- Sonarghare, P.C.; Masram, S.C.; Sonparote, U.R.; Khaparde, K.P.; Kharkate, S.K. Causes and Effects of Eutrophication on Aquatic Life (A Review). Int. J. Environ. Rehab. Conserv. 2020, XI (SP2), 213–218. [Google Scholar]
- Atique, U.; An, K.-G. Landscape heterogeneity impacts water chemistry, nutrient regime, organic matter and chlorophyll dynamics in agricultural reservoirs. Ecol. Indic. 2020, 110, 105813. [Google Scholar] [CrossRef]
- Penna, N.; Capellacci, S.; Ricci, F. The influence of the Po River discharge on phytoplankton bloom dynamics along the coastline of Pesaro (Italy) in the Adriatic Sea. Mar. Pollut. Bull. 2004, 48, 321–326. [Google Scholar] [CrossRef] [PubMed]
















| Lake Characteristics | Value |
|---|---|
| Surface | 68.9 km2 |
| Catchment area | 183 km2 |
| Length | 15 km |
| Average width | 4.6 km |
| Average (maximum) depth | 4 (14) m |
| Length of shoreline | 43 km |
| Water reserve | 281 million m3 |
| Water level fluctuations | 1.0 m |
| Absolute water surface elevation | 461 m |
| Parameters 1 | Min | Max | Mean | Median | Std. Deviation | WHO Standard, 2004 [67] | Russian National Standard (MAC) [68] 2 | % of Samples Exceeding MAC |
|---|---|---|---|---|---|---|---|---|
| t | 0.1 | 27.4 | 14.3 | 14.6 | 8.5 | |||
| pH | 6.1 | 10.8 | 7.8 | 7.3 | 1.2 | 6.5–8.5 | 6.5–8.5 | 25.3 |
| Turbidity | 0.72 | 120 | 27.60 | 26.10 | 20.51 | 5 | – 3 | |
| SM | 1.04 | 206.90 | 41.28 | 23.64 | 40.08 | – | 10 | 61.0 |
| DO | 0.76 | 16.36 | 10 | 10.35 | 2.79 | 5.0 | ≥4–6 | 6.5 |
| TDS | 36.15 | 98.02 | 53.35 | 50.00 | 11.62 | 600 | 1000 | 0 |
| 0.02 | 1.61 | 0.23 | 0.19 | 0.21 | 1.5 | 0.75 | 2.6 | |
| 0.40 | 2.12 | 0.88 | 0.73 | 0.35 | 200 | 300 | 0 | |
| 1.16 | 6.83 | 2.84 | 2.75 | 0.89 | 200 | 100 | 0 | |
| 3.66 | 68.32 | 33.82 | 32.94 | 11.63 | 350 | – | ||
| CO32− | 0.60 | 16.20 | 9.51 | 11.10 | 5.47 | – | – | – |
| 2.65 | 10.58 | 4.20 | 3.68 | 1.35 | 200 | 120 | 0 | |
| 0.33 | 2.85 | 0.62 | 0.58 | 0.25 | 20 | 10 | 0 | |
| 0.83 | 3.26 | 1.73 | 1.61 | 0.36 | 30 | 40 | 0 | |
| 4.37 | 12.18 | 7.34 | 7.31 | 1.65 | 75 | 180 | 0 | |
| Chl-a | 3.27 | 586 | 83.5 | 58.65 | 89.31 | |||
| -N | nd 4 | 0.021 | 0.003 | 0.002 | 0.003 | 0.02 | 0.7 | |
| -N | 0.003 | 0.526 | 0.112 | 0.094 | 0.095 | 50 | 9 | 0 |
| -N | nd | 1.093 | 0.079 | 0.038 | 0.121 | 1.5 | 0.4 | 1.4 |
| -P | nd | 0.183 | 0.012 | 0.004 | 0.027 | – | 0.2 | 0 |
| TP | 0.004 | 0.357 | 0.084 | 0.079 | 0.054 | 0.15 | 9.2 | |
| COD | 5.61 | 71.16 | 24.77 | 21.68 | 11.93 | 15.0 | 92.7 | |
| BOD 5 | 1.9 | 8.3 | 4.6 | 4.2 | 1.8 | 2.0 | 84.6 | |
| Fe | 0.004 | 3.755 | 0.144 | 0.060 | 0.378 | 0.3 | 0.1 | 24.3 |
| Mn | nd | 0.594 | 0.019 | 0.002 | 0.072 | 0.1 | 0.01 | 16.0 |
| Zn | nd | 0.032 | 0.004 | 0.002 | 0.004 | 4 | 0.01 | 7.6 |
| Cu | nd | 0.004 | 0.001 | nd | 0.001 | 2 | 0.001 | 9.7 |
| Pb | nd | 0.003 | nd | nd | 0.001 | 0.01 | 0.006 | 0 |
| Cd | nd | 0.001 | nd | nd | nd | 0.003 | 0.005 | 0 |
| Ni | nd | 0.024 | 0.001 | nd | 0.002 | 0.07 | 0.01 | 1.4 |
| Cr | nd | 0.014 | 0.001 | nd | 0.001 | 0.05 | 0.07 | 0 |
| Characteristics | Coastal Area Near Settlements | Central Part | ||||
|---|---|---|---|---|---|---|
| Min | Max | Min | Max | |||
| Temperature, °C | 23.4 | 27.4 | 25.6 | 24.0 | 26.3 | 24.7 |
| Turbidity, NTU | 26.1 | 67.8 | 47.4 | 35.9 | 52.9 | 43.1 |
| Nitrite nitrogen, mg/L | 0.001 | 0.004 | 0.002 | 0.001 | 0.004 | 0.002 |
| Nitrate nitrogen, mg/L | 0.044 | 0.132 | 0.084 | 0.042 | 0.098 | 0.063 |
| Ammonium nitrogen, mg/L | 0.010 | 0.053 | 0.028 | 0.015 | 0.038 | 0.022 |
| Phosphate phosphorus, mg/L | 0.002 | 0.005 | 0.003 | 0.000 | 0.005 | 0.002 |
| Total phosphorus, mg/L | 0.078 | 0.149 | 0.104 | 0.078 | 0.108 | 0.089 |
| COD, mg/L | 17.57 | 26.21 | 18.98 | 15.22 | 18.83 | 17.18 |
| Season | Pollution Type * | Pollution Level and Indicators | ||
|---|---|---|---|---|
| 2009 | 2023 | 2024 | ||
| winter | persistent | Mn, Cu | COD | COD, BOD |
| Fe | ||||
| characteristic | COD, Zn | – | – | |
| unstable | – | DO | – | |
| Fe, Zn, Cu | ||||
| Mn | ||||
| single | – | – | NH4+ | |
| winter (bottom water) | persistent | not analyzed | DO | DO, Fe, Mn |
| Mn | ||||
| COD, Zn, Cu | COD, BOD | |||
| spring | persistent | Fe, Mn, Cu | no MAC exceedances | COD, BOD |
| BOD | ||||
| characteristic | – | Fe | ||
| unstable | COD | – | ||
| single | – | Zn, Cu, Mn | ||
| summer | persistent | Fe, Mn, Zn, pH | COD | pH |
| COD, BOD | COD, BOD | |||
| characteristic | Cu | – | – | |
| unstable | – | pH | – | |
| single | NO2− | Cu | Ni | |
| Fe, Mn, Cu | ||||
| autumn | persistent | not analyzed | COD | pH, COD, BOD, Fe |
| single | TP | NH4+, TP, Mn, Ni | ||
Disclaimer/Publisher’s Note: The statements, opinions and data contained in all publications are solely those of the individual author(s) and contributor(s) and not of MDPI and/or the editor(s). MDPI and/or the editor(s) disclaim responsibility for any injury to people or property resulting from any ideas, methods, instructions or products referred to in the content. |
© 2025 by the authors. Licensee MDPI, Basel, Switzerland. This article is an open access article distributed under the terms and conditions of the Creative Commons Attribution (CC BY) license (https://creativecommons.org/licenses/by/4.0/).
Share and Cite
Shiretorova, V.G.; Nikitina, E.P.; Bazarsadueva, S.V.; Taraskin, V.V.; Budaeva, O.D.; Nimbueva, N.B.; Shirapova, G.S.; Pintaeva, E.T.; Zhigzhitzhapova, S.V.; Radnaeva, L.D.; et al. Current State of Lake Kotokel (Eastern Cisbaikalia, Russia): Hydrochemical Characteristics, Water Quality, and Trophic Status. Water 2025, 17, 545. https://doi.org/10.3390/w17040545
Shiretorova VG, Nikitina EP, Bazarsadueva SV, Taraskin VV, Budaeva OD, Nimbueva NB, Shirapova GS, Pintaeva ET, Zhigzhitzhapova SV, Radnaeva LD, et al. Current State of Lake Kotokel (Eastern Cisbaikalia, Russia): Hydrochemical Characteristics, Water Quality, and Trophic Status. Water. 2025; 17(4):545. https://doi.org/10.3390/w17040545
Chicago/Turabian StyleShiretorova, Valentina G., Elena P. Nikitina, Selmeg V. Bazarsadueva, Vasilii V. Taraskin, Olga D. Budaeva, Nadezhda B. Nimbueva, Galina S. Shirapova, Evgeniya Ts. Pintaeva, Svetlana V. Zhigzhitzhapova, Larisa D. Radnaeva, and et al. 2025. "Current State of Lake Kotokel (Eastern Cisbaikalia, Russia): Hydrochemical Characteristics, Water Quality, and Trophic Status" Water 17, no. 4: 545. https://doi.org/10.3390/w17040545
APA StyleShiretorova, V. G., Nikitina, E. P., Bazarsadueva, S. V., Taraskin, V. V., Budaeva, O. D., Nimbueva, N. B., Shirapova, G. S., Pintaeva, E. T., Zhigzhitzhapova, S. V., Radnaeva, L. D., & Garmaev, E. Z. (2025). Current State of Lake Kotokel (Eastern Cisbaikalia, Russia): Hydrochemical Characteristics, Water Quality, and Trophic Status. Water, 17(4), 545. https://doi.org/10.3390/w17040545

