Assessment of Groundwater (Main Usable Aquifer) Vulnerability to Seawater Intrusion in the Polish Baltic Coastal Region
Abstract
1. Introduction
2. Materials and Methods
2.1. Groundwater in the Baltic Coastal Region
2.2. Monitoring Studies of the Polish Baltic Coast
2.3. Scope of the Study
3. Results and Discussion
3.1. Risk Assessment Based on the GALDIT Method
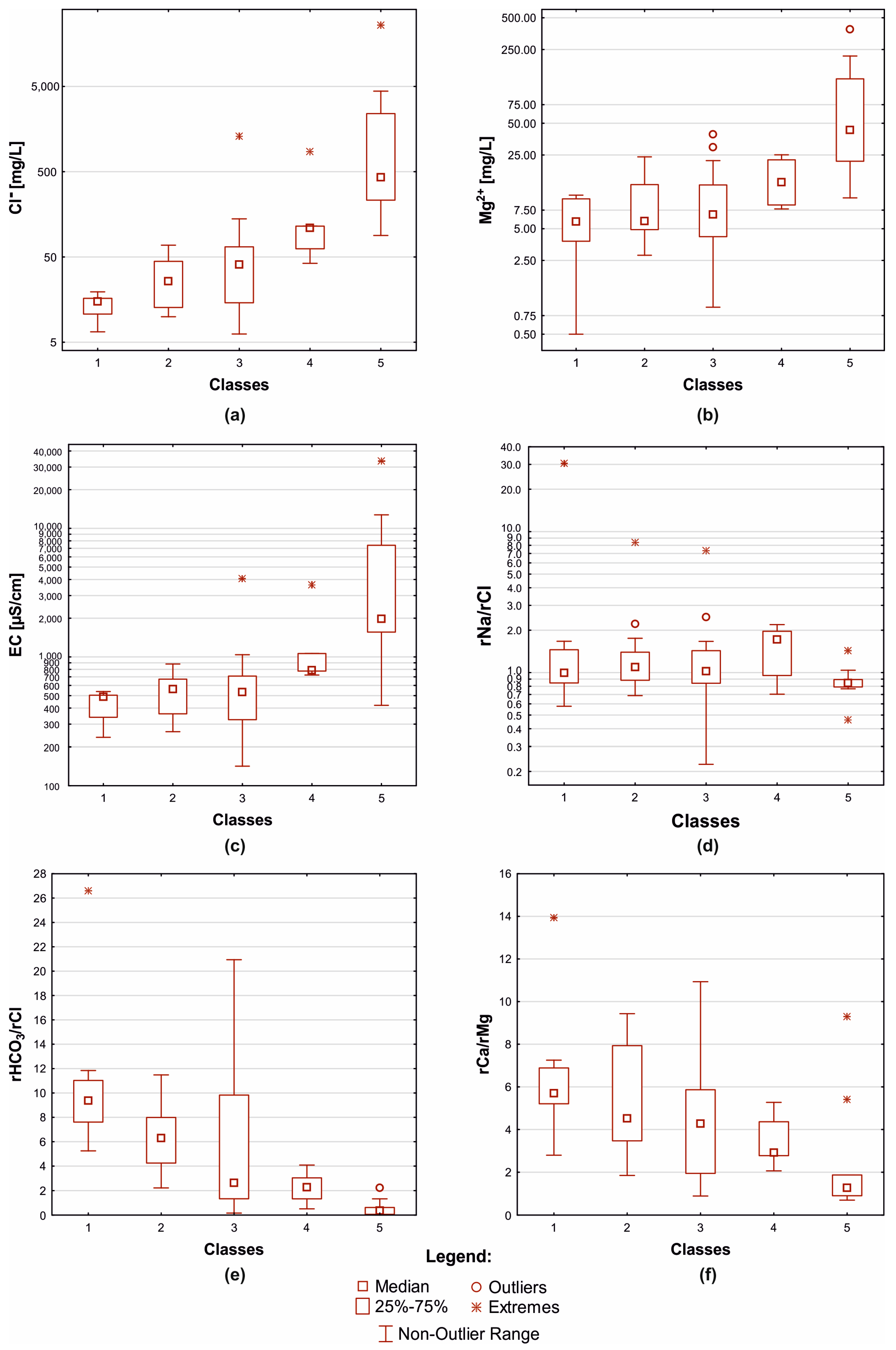
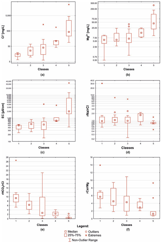
3.2. Risk Assessment Based on Groundwater Chemistry
3.2.1. Major Components of Groundwater
- Bicarbonate-dominated waters (HCO3−): In 13 cases, the HCO3− ion constituted more than 72% of the milliequivalents, classifying these waters as HCO3-Ca (Na) type;
- Mixed bicarbonate–chloride waters: A group of 13 samples was identified as HCO3-Cl (Na-Ca) type, with 1 case also including magnesium (HCO3-Cl-Na-Mg);
- Chloride-dominated waters (Cl−): At five points, Cl⁻ exceeded HCO3⁻, classifying the waters as Cl-HCO3-Na (Ca) type;
- Bicarbonate–sulfate waters: Five samples were classified as HCO3-SO4-Ca (Mg) type;
- Five-ion waters: Two samples represented complex five-ion waters classified as HCO3-Cl-SO4-Ca-Na type.
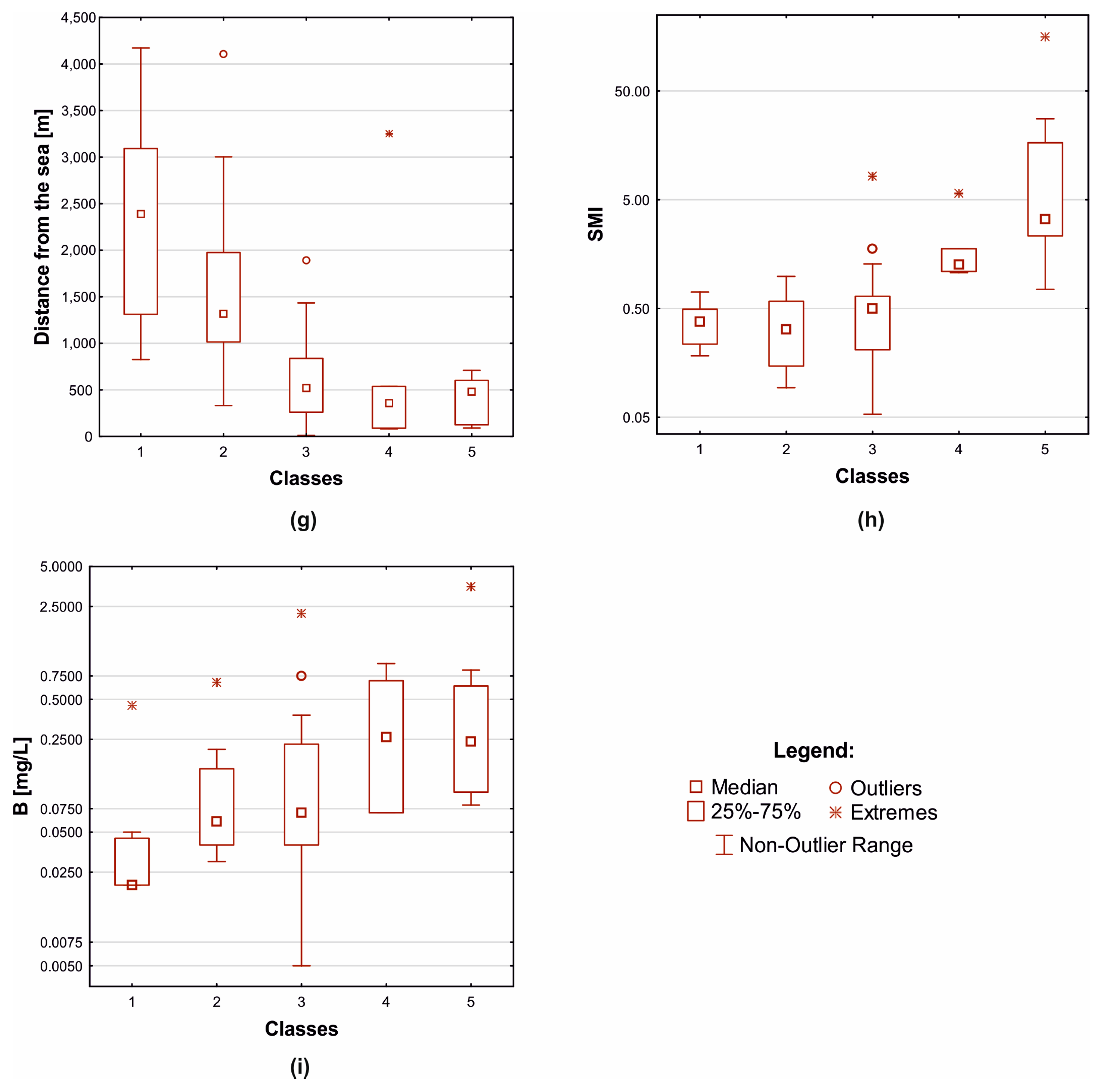
3.2.2. Seawater Mixing Index
3.2.3. Hydrochemical Ratios
- rHCO3/rCl ratio
- rCa/rMg ratio
- rNa/rCl ratio
- Cl/Br-ratio
3.2.4. Risk Assessment Based on Chemical Parameters
- EC < 1000 μS/cm;
- Chloride concentration < 115 mg/L;
- rHCO3/rCl > 1;
- rNa/rCl > 1;
- SMI < 1;
- Absence of bromide ions.
- Low Risk: A maximum of one parameter exceeded the established threshold (1 point). Waters in this category showed minimal risk of seawater intrusion;
- Moderate Risk: Two or three parameters did not meet the specified criteria. These waters were classified as having a moderate influence from seawater;
- High Risk: Four or more parameters failed to meet the specified conditions. These waters were classified as being at high risk of seawater intrusion.
3.3. Seawater Intrusion Risk Based on Both Classifications: Comparison of Groundwater Risk Assessments
3.4. Risk Classification of Saline Water Intrusion and Water Quality Assessment
4. Conclusions
Supplementary Materials
Author Contributions
Funding
Data Availability Statement
Acknowledgments
Conflicts of Interest
References
- Werner, A.D.; Bakker, M.; Post, V.E.A.; Vandenboede, A.; Lu, C.H.; Ataie-Ashtiani, B.; Simmons, C.T.; Barry, D.A. Seawater intrusion processes, investigation and management. Recent advances and futures challenges. Adv. Water Resour. 2013, 51, 3–26. [Google Scholar] [CrossRef]
- Ketabchi, H.; Mahmoodzadeh, D.; Ataie-Ashtiani, B.; Simmons, C.T. Sea-level rise impacts on seawater intrusion in coastal aquifers: Review and integration. J. Hydrol. 2016, 535, 235–255. [Google Scholar] [CrossRef]
- Mastrocicco, M.; Colombani, N. The issue of groundwater salinization in coastal areas of the mediterranean region: A review. Water 2021, 13, 90. [Google Scholar] [CrossRef]
- Werner, A.D.; Simmons, C.T. Impact of Sea-Level Rise on Sea Water Intrusion in Coastal Aquifers. Ground Water 2009, 47, 197–204. [Google Scholar] [CrossRef]
- Chang, S.W.; Clement, T.P.; Simpson, M.J.; Lee, K. Does sea-level rise have an impact on saltwater intrusion? Adv. Water Resour. 2011, 34, 1283–1291. [Google Scholar] [CrossRef]
- Gaaloul, N.; Pliakas, F.; Kallioras, A.; Schuth, C.; Marinos, P. Simulation of Seawater Intrusion in Coastal Aquifers: Forty Five-Years Exploitation in an Eastern Coast Aquifer in NE Tunisia. Open Hydrol. J. 2012, 6, 31–44. [Google Scholar] [CrossRef]
- Burzyński, K.; Sadurski, A. Problem zasobów wód podziemnych na przykładzie Półwyspu Helskiego. Przegląd Geol. 1995, 43, 198–202. [Google Scholar]
- Burzyński, K.; Sadurski, A. Badania hydrogeologiczne wybrzeża Bałtyku Południowego. Przegląd Geol. 2015, 63, 622–627. [Google Scholar]
- Van Pham, H.V.; Lee, S.I. Assessment of seawater intrusion potential from sea-level rise and groundwater extraction in a coastal aquifer. Desalin. Water Treat. 2015, 53, 2324–2338. [Google Scholar] [CrossRef]
- Lidzbarski, M.; Sadurski, A. Możliwości ograniczenia rozbudowy nadmorskich ujęć wód na przykładzie Łeby. Przegląd Geol. 2020, 68, 271–280. [Google Scholar] [CrossRef]
- Basack, S.; Loganathan, M.; Goswami, G.; Khabbaz, H. Saltwater intrusion into coastal aquifers and associated risk management: Critical review and research directives. J. Coast. Res. 2022, 38, 654–672. [Google Scholar] [CrossRef]
- Chachadi, A.G.; Lobo-Ferreira, J.P. Assessing aquifer vulnerability to seawater intrusion using GALDIT method: Part 2, GALDIT indicators description. Water Celt Countries Quantity, Quality and Climatic Variability. In Proceedings of the 4th Interceltic Colloquium on Hydrology and Management of Water Resources, Juimaraes, Portugal, 11–13 July 2005; Volume 310, pp. 172–180. Available online: https://www.aprh.pt/celtico/PAPERS/26.PDF (accessed on 20 December 2024).
- Eriksson, M.; Eber, K.; Jarsjo, J. Well salinization risk and effects of Baltic sea level rise on the groundwater- dependent island of Oland, Sweden. Water 2018, 10, 141. [Google Scholar] [CrossRef]
- Gurwin, J.; Krawiec, A. Hazards of freshwater resources on the Uznam Island after modelling and geophysical investigations. Biul. Państwowego Inst. Geol. 2010, 442, 61–68. [Google Scholar]
- Gurwin, J.; Krawiec, A. Identification of groundwater flow system of the Wolin Island. Biul. Panstw. Inst. Geol. 2012, 451, 53–62. [Google Scholar]
- Lidzbarski, M.; Tarnawska, E. The role of the hydrogeological research on cliff coast in diagnosis and foracasting of the geological hazards. Przegląd Geologiczny 2015, 63, 901–907. [Google Scholar]
- Park, S.C.; Yun, S.T.; Chae, G.T.; Yoo, I.S.; Shin, K.S.; Heo, C.H.; Lee, S.K. Regional hydrochemical study on salinization of coastal aquifers, western coastal area of South Korea. J. Hydrol. 2005, 313, 182–194. [Google Scholar] [CrossRef]
- Alfarrah, N.; Walraevens, K. Groundwater overexploitation and seawater intrusion in coastal areas of arid and semi-arid regions. Water 2018, 10, 143. [Google Scholar] [CrossRef]
- Sivaranjani, S.; Ellappan, V.; Karthick, L.A. Appraisal of Seawater Mixing Index in Coastal Aquifer of Karaikal, Southern India Using Geospatial Technology. J. Geol. Soc. India 2019, 94, 641–644. [Google Scholar] [CrossRef]
- Sivakarun, N.; Udayaganesan, P.; Chidambaram, S.; Venkatramanan, S.; Prasanna, M.V.; Pradeep, K.; Panda, B. Factors determining the hydrogeochemical processes occurring in shallow groundwater of coastal alluvial aquifer, India. Geochemistry 2020, 80, 125623. [Google Scholar] [CrossRef]
- Sherene Jenita Rajammal, T.; Suguna, S.; Balasubramaniam, P.; Baskar, M.; Kaledhonkar, M.J.; Ravikumar, V. Assessment of Sea Water Intrusion in Coastal District of Southern India. Curr. Sci. 2023, 3, 357–363. [Google Scholar] [CrossRef]
- Lobo-Ferreira, J.P.; Chachadi, A.G.; Diamantino, C.; Henriques, M.J. Assessing aquifer vulnerability to seawater intrusion using Galdit method. Part 1: Application to the Portuguese aquifer of Monte Gordo. In Proceedings of the 4th InterCeltic Colloquium on Hydrology and Management of Water, Water in Celtic Countries: Quantity, Quality, and Climate Variablity, Guimaraes, Portugal, 11–13 July 2005. [Google Scholar]
- Chang, S.W.; Chung, I.-M.; Kim, M.-G.; Tolera, M.; Koh, G.-W. Application of GALDIT in assessing the seawater intrusion vulnerability of Jeju Island, South Korea. Water 2019, 11, 1824. [Google Scholar] [CrossRef]
- Kim, I.H.; Chung, I.M.; Chang, S.W. Development of Seawater Intrusion Vulnerability Assessment for Averaged Seasonality of Using Modified GALDIT method. Water 2021, 13, 1820. [Google Scholar] [CrossRef]
- Idowu, T.E.; Jepkosgei, C.; Nyadawa, M.; Korowe, M.O.; Waswa, R.M.; Lasisi, K.H.; Kiplangat, N.; Munyi, J.; Ajibade, F.O. Integrated seawater intrusion and groundwater quality assessment of a coastal aquifer: GALDIT, geospatial and analytical approaches. Environ. Sci. Pollut. Control Ser. 2022, 29, 36699–36720. [Google Scholar] [CrossRef]
- Bordbar, M.; Neshat, A.; Javadi, S.; Pradhan, B.; Aghamohammadi, H. Meta-heuristic algorithms in optimizing GALDIT framework: A comparative study for coastal aquifer vulnerability assessment. J. Hydrol. 2020, 585, 124768. [Google Scholar] [CrossRef]
- Kazakis, N.; Busico, G.; Colombani, N.; Mastrocicco, M.; Pavlou, A.; Voudouris, K. GALDIT-SUSI a Modified Method to Account for Surface Water Bodies in the Assessment of Aquifer Vulnerability to Seawater Intrusion. J. Environ. Manag. 2019, 235, 257–265. [Google Scholar] [CrossRef]
- Chronidou, D.; Tziritis, E.; Panagopoulos, A.E.; Oikonomou, K.; Loukas, A.A. Modified GALDIT Method to Assess Groundwater Vulnerability to Salinization—Application to Rhodope Coastal Aquifer (North Greece). Water 2022, 14, 3689. [Google Scholar] [CrossRef]
- Bouderbala, A.; Rémini, B.; Hamoudi, A.S.; Pulido-Bosch, A. Assessment of groundwater vulnerability and quality in coastal aquifers: A case study (Tipaza, North Algeria). Arab. J. Geosci. 2016, 9, 181. [Google Scholar] [CrossRef]
- Argamasilla, M.; Barberá, J.A.; Andreo, B. Factors controlling groundwater salinization and hydrogeochemical processes in coastal aquifers from southern Spain. Sci. Total Environ. 2017, 580, 50–68. [Google Scholar] [CrossRef]
- Isawi, H.; El-Sayed, M.H.; Eissa, M.; Shouakar-Stash, O.; Shawky, H.; Abdel Mottaleb, M.S. Integrated Geochemistry, Isotopes, and Geostatistical Techniques to Investigate Groundwater Sources and Salinization Origin in the Sharm EL-Shiekh Area, South Sinia, Egypt. Water Air Soil Pollut. 2016, 227, 151. [Google Scholar] [CrossRef]
- Askri, B.; Ahmed, A.T.; Al-Shanfari, R.A.; Bouhlila, R.; Al-Farisi, K.B.K. Isotopic and geochemical identifications of groundwater salinisation processes in Salalah coastal plain, Sultanate of Oman. Geochemistry 2016, 76, 243–255. [Google Scholar] [CrossRef]
- Sarker, M.; Rahman, M.; Van Camp, M.; Hossain, D.; Islam, M.; Ahmed, N.; Masud Karim, M.; Quaiyum Bhuiyan, M.A.; Walraevens, K. Groundwater Salinization and Freshening Processes in Coastal Aquifers from Southwest Bangladesh. Sci. Total Environ. 2021, 779, 146339. [Google Scholar] [CrossRef]
- Lee, J.Y.; Song, S.H. Evaluation of groundwater quality in coastal areas: Implications for sustainable agriculture. Environ. Geol. 2007, 52, 1231–1242. [Google Scholar] [CrossRef]
- Lee, J.Y.; Song, S.H. Groundwater chemistry and ionic ratios in a western coastal aquifer of Buan, Korea: Implication for seawater intrusion. Geosci. J. 2007, 11, 259–270. [Google Scholar] [CrossRef]
- Kanagaraj, G.; Elango, L.; Sridhar, S.G.D.; Gowrisankar, G. Hydrogeochemical processes and influence of seawater intrusion in coastal aquifers south of Chennai, Tamil Nadu, India. Environ. Sci. Pollut. Res. 2018, 25, 8989–9011. [Google Scholar] [CrossRef] [PubMed]
- Ezzeldin, H.A. Delineation of Salinization and Recharge Sources Affecting Groundwater Quality Using Chemical and Isotopic Indices in the Northwest Coast, Egypt. Sustainability 2022, 14, 16923. [Google Scholar] [CrossRef]
- Rasmussen, P.; Sonnenborg, T.O.; Goncear, G.; Hinsby, K. Assessing impacts of climate change, sea level rise, and drainage canals on saltwater intrusion to coastal aquifer. Hydrol. Earth Syst. Sci. 2013, 17, 421–443. [Google Scholar] [CrossRef]
- Retike, I.; Bikše, J. New data on seawater intrusion in Liepāja (Latvia) and methodology for establishing background levels and threshold values in groundwater body at risk F5. E3S Web Conf. 2018, 54, 00027. [Google Scholar] [CrossRef]
- Burzyński, K.; Kozerski, B.; Sadurski, A. Ingression and ascension processes of salt waters along the Polish Baltic coast. Biul. Państwowego Inst. Geol. 1999, 388, 35–48. [Google Scholar]
- Krawiec, A.; Rübel, A.; Sadurski, A.; Weise, S.M.; Zuber, A. Preliminary hydrochemical, isotope, and noble gas investigations on the origin of salinity. In Coastal Aquifers of Western Pomerania, Poland, Proceedings of the 16th Salt Water Intrusion Meeting “Hydrogeology of the Coastal Aquifers”, Międzyzdroje, Poland, 12–15 June 2000; UMK: Toruń, Poland, 2000; pp. 87–94. [Google Scholar]
- Pruszkowska-Caceres, M. Effect of storm surges of the sea on the chemical composition shallow groundwater in yhe coastal regions on the example of Ustka. Biul. Państwowego Inst. Geol. 2011, 445, 505–512. [Google Scholar]
- Krawiec, A. The Origin of Chloride Anomalies in the Groundwaters of the Polish Baltic Coast; Wydawnictwo Naukowe UMK: Columbia, MO, USA, 2013; p. 143. [Google Scholar]
- Pruszkowska-Caceres, M. Analysis of the Physico-Chemical Variability of the Fresh Groundwater Chemical Composition in a Contact Zone with Salt Water on the Example of Coastal Regions and Closed Basins; Wydawnictwo Politechniki Gdańskiej: Gdańsk, Poland, 2012; p. 154. [Google Scholar]
- Groundwater Monitoring. Available online: https://mjwp.gios.gov.pl/ (accessed on 19 November 2024).
- Łabuz, T. Sposoby Ochrony Brzegów, Morskich i ich Wpływ na Środowisko Przyrodnicze Polskiego Wybrzeża Bałtyku, Raport; Fundacja WWF Polska: Warsaw, Poland, 2013; p. 181. [Google Scholar]
- Paczyński, B.; Sadurski, A. (Eds.) Hydrogeologia Regionalna Polski t.1 Wody Słodkie; PIG: Warszawa, Poland, 2007; p. 542.
- Malinowski, J. (Ed.) Budowa geologiczna Polski tom 7 Hydrogeologia; Wydawnictwo Geologiczne: Warszawa, Poland, 1991; p. 275.
- Kozerski, B.; Pruszkowska, M. O pochodzeniu zasolenia wód podziemnych polskiego wybrzeża Bałtyku. Inżynieria Morska i Geotechnika 1996, 1, 46–48. [Google Scholar]
- Pruszkowska-Caceres, M. Hydrogeological conditions and analisis of coastal recharge of groundwater from Quaternary formation in Pomerania Region. Inżynieria Morska I Geotech. 2015, 6, 853–857. [Google Scholar]
- Potrykus, D. Hydrogeochemical characteristics of groundwater in the Przyladek Rozewie region based on their natural outflows researches. Przegląd Geol. 2015, 63, 1015–1020. [Google Scholar]
- Krawiec, A. Hydrogeology of therapeutic waters of Kamień Pomorski Spa. Przegląd Geol. 1999, 47, 499–502. [Google Scholar]
- Burzyński, K.; Krawiec, A.; Sadurski, A. The origin and mobilization of deep brines to the aquifer system by considering the circulation systems existing on the Polish western coast of the Baltic Sea. In Proceedings of the 18th Salt Water Intrusion Meeting, Cartagena, Spain, 31 May–3 June 2004; pp. 521–531. [Google Scholar]
- Krawiec, A. Ascension and ingression of saline waters of the Pobrzeże Słowińskie Region. Przegląd Geol. 2015, 63, 867–872. [Google Scholar]
- JCWPD. Available online: https://mjwp.gios.gov.pl/g2/oryginal/2012_11/e5cb50c28da8b7bea7fa7f8e06c9f9b1.pdf (accessed on 30 November 2024).
- Suribabu, C.R.; Ravindar, S.; Ananadapadmanaban, S.; Seshadri, S.; Bhaskar, J. Tracing the evidence of sea water intrusion in the coastal aquifer of Adhirampattinam, India, using hydro-chemical analysis. J Hydraul. Eng. 2012, 18, 90–100. [Google Scholar] [CrossRef]
- Ravindiran, G.; Janardhan, S.; Rajamanickam, S.; Sivarethinamohan, V.; Murali, G.; Hayder, G. Study on hydrogeochemical assessment, groundwater quality index for drinking, seawater mixing index and human health risk assessment of nitrate and fluoride. Groundw. Sustain. Dev. 2024, 25, 101161. [Google Scholar] [CrossRef]
- Chandrajith, R.; Bandara, U.G.C.; Diyabalanage, S.; Senaratne, S.; Barth, J.A.C. Application of Water Quality Index as a Vulnerability Indicator to Determine Seawater Intrusion in Unconsolidated Sedimentary Aquifers in a Tropical Coastal Region of Sri Lanka. Groundw. Sustain. Dev. 2022, 19, 100831. [Google Scholar] [CrossRef]
- Khan, A.F.; Srinivasamoorthy, K.; Prakash, R.; Rabina, C. Hydrochemical and statistical techniques to decode groundwater geochemical interactions and saline water intrusion along the coastal regions of Tamil Nadu and Puducherry, India. Environ. Geochem. Health 2021, 43, 1051–1067. [Google Scholar] [CrossRef]
- Appelo, C.A.J.; Postma, D. Geochemistry, Groundwater and Pollution; A.A. Balkema Publishers: Amsterdam, The Netherlands, 2005. [Google Scholar]
- Rosenthal, E. Chemical Composition of Rainfall and Groundwater in Recharge Areas of the Bet Shean-Harod Multiple Aquifer System, Israel. J. Hydrol. 1987, 89, 329–352. [Google Scholar] [CrossRef]
- Nwankwoala, H.O.; Udom, G.J. Hydrochemical facies and ionic ratios of groundwater in Port Harcourt, Southern Nigeria. Res. J. Chem. Sci. 2011, 1, 87–101. [Google Scholar]
- Todd, K.; Mays, L.W. Groundwater Hydrology, 3rd ed.; John Wiley & Sons: New York, NY, USA, 2005. [Google Scholar]
- Revelle, R. Criteria for recognition of the sea water in ground-waters. Trans. Am. Geophys. Union 1941, 22, 593–597. [Google Scholar] [CrossRef]
- Zaharin, A.Z.; Abdullah, M.H.; Praveena, S.M. Evolution of groundwater chemistry in the shallow aquifer of a small tropical Island in Sabah. Sains Malays 2009, 38, 805–812. [Google Scholar]
- Custodio, E.; Bruggeman, G. Groundwater Problems in Coastal Areas; UNESCO: Paris, France, 1987. [Google Scholar]
- El Moujabber, M.; Bou Samra, B.; Darwish, T.; Atallah, T. Comparison of different indicators for groundwater contamination by seawater intrusion on the Lebanese coast. Water Resour. Manag. 2006, 20, 161–180. [Google Scholar] [CrossRef]
- Matray, J.M.; Fontes, J.C. Origin of the oil-field brines in the Paris basin. Geology 1990, 18, 501–504. [Google Scholar] [CrossRef]
- Alcala, F.J.; Custodio, E. Using the Cl/Br Ratio as a tracer to identify the origin of salinity in aquifers in Spain and Portugal. J. Hydrol. 2008, 359, 189–207. [Google Scholar] [CrossRef]
- Alessandrino, L.; Gaiolini, M.; Cellone, F.A.; Colombani, N.; Mastrocicco, M.; Cosma, M.; Da Lio, C.; Donnici, S.; Tosi, L. Salinity Origin in the Coastal Aquifer of the Southern Venice Lowland. Sci. Total Environ. 2023, 905, 167058. [Google Scholar] [CrossRef]
- Colombani, N.; Alessandrino, L.; Gaiolini, M.; Gervasio, M.P.; Ruberti, D.; Mastrocicco, M. Unravelling the salinity origins in the coastal aquifer/aquitard system of the Volturno River (Italy). Water Res. 2024, 263, 122145. [Google Scholar] [CrossRef]
- Edmunds, W.M. Bromine geochemistry of British groundwaters. Mineral. Mag. 1996, 60, 275–284. [Google Scholar] [CrossRef]
- Hudak, P.F. Chloride/bromide ratios in leachate derived from farm-animal waste. Environ. Pollut. 2003, 121, 23–25. [Google Scholar] [CrossRef]
- Naily, W. Cl/Br Ratio to Determine Groundwater Quality. IOP Conf. Ser. Earth Environ. Sci. 2018, 118, 012020. [Google Scholar] [CrossRef]
- Tyravola, K.; Diamadopoulos, E. Bromate formation during ozonation of groundwater in coastal areas in Greese. Desalination 2005, 176, 201–209. [Google Scholar] [CrossRef]
- Chief Inspectorate of Environmental Protection. Data Obtained under the State Environmental Monitoring (PMŚ); Data provided upon request under the tasks of the Polish Geological Survey (PSH) in accordance with the Water Law Act; Polish Geological Institute—National Research Institute (PGI-NRI): Warsaw, Poland, 2024.
- Bouderbala, A.; Remini, B.; Hamoudi, A.S.; Pulido-Bosch, A. Application of Multivariate Statistical Techniques for Characterization of Groundwater Quality in the Coastal Aquifer of Nador; Tipaza (Algeria). Acta Geophys. 2016, 64, 670–693. [Google Scholar] [CrossRef]
- Drwal, J.; Cieśliński, R. Coastal lakes and marine intrusions on the southern Baltic coast. Oceanol. Hydrobiol. Stud. 2007, 36, 61–75. [Google Scholar] [CrossRef]
- Boufekane, A.; Maizi, D.; Madene, E.; Busico, G.; Zghibi, A. Hybridization of GALDIT method to assess actual and future coastal vulnerability to seawater intrusion. J. Environ. Manag. 2022, 318, 115580. [Google Scholar] [CrossRef]
- Zghibi, A.; Merzougui, A.; Mansaray, A.S.; Mirchi, A.; Zouhri, L.; Chekirbane, A.; Msaddek, M.H.; Souissi, D.; Mabrouk-El-Asmi, A.; Boufekane, A. Vulnerability of a Tunisian coastal aquifer to seawater intrusion: Insights from the GALDIT Model. Water 2022, 14, 1177. [Google Scholar] [CrossRef]
- Kachnic, M. Salt water intrusion on Uznam Island “Wydrzany” water intake. Współczesne Probl. Hydrogeol. 1999, T IX, 127–133. Available online: https://inis.iaea.org/records/agmta-gdb13 (accessed on 20 December 2024).
- Vengosh, A.; Spivack, A.J. Boron in ground water. In Environmental Tracers in Groundwater Hydrology; Cook, P., Herczeg, A., Eds.; Kluwer Publisher: Boston, MA, USA; Dorderecht, The Netherlands; London, UK, 2000; pp. 479–485. [Google Scholar]
- Mahlknecht, J.; Merchán, D.; Rosner, M.; Meixner, A.; Ledesma-Ruiz, R. Assessing seawater intrusion in an arid coastal aquifer under high anthropogenic influence using major constituents, Sr and B isotopes in groundwater. Sci. Total Environ. 2017, 587, 282–295. [Google Scholar] [CrossRef]
- Mora, A.; Mahlknecht, J.; Ledesma-Ruiz, R.; Sanford, W.E.; Lesser, L.E. Dynamics of major and trace elements during seawater intrusion in a coastal sedimentary aquifer impacted by anthropogenic activities. J. Contam. Hydrol. 2020, 232, 103653. [Google Scholar] [CrossRef]
- Ministry of Maritime Economy and Inland Navigation. Regulation on Criteria and Methods for Assessing the Status of Groundwater Bodies. J. Laws Repub. Pol. 2019, 2148. Available online: https://isap.sejm.gov.pl/isap.nsf/DocDetails.xsp?id=WDU20190002148 (accessed on 13 January 2025).
- Ministry of Health. Regulation on the Quality of Water Intended for Human Consumption. J. Laws Repub. Pol. 2017, 2294. Available online: https://isap.sejm.gov.pl/isap.nsf/DocDetails.xsp?id=WDU20170002294 (accessed on 13 January 2025).













| Range of Values [63] (Number of Points) | Influence of Seawater | Range of Values [12] (Number of Points) | Influence of Seawater | Range of Values [64,65] (Number of Points) | Influence of Seawater |
|---|---|---|---|---|---|
| ≥2 (42) | Not affected | >2 (42) | Not affected | ||
| 2–≥0.77 (9) | Slightly contaminated | >1 (50) | Very low | 2–0.15 (16) | Slightly affected |
| 1–0.7 (1) | Low | ||||
| 0.77–≥0.36 (4) | Moderately contaminated | ||||
| 0.5–−0.7 (3) | Medium | ||||
| <0.5 (7) | High | ||||
| 0.36–≥0.15 (3) | Injuriously contaminated | ||||
| 0.15–≥0.06 (1) | Highly contaminated | <0.15 (3) | Strongly affected | ||
| <0.06 (2) | Severely contaminated |
| GALDIT | |||||
|---|---|---|---|---|---|
| Chemical | classes | 1 | 2 | 3 | total |
| 1 | 8 1 | 14 | 17 | 39 | |
| 2 | 0 | 4 1 | 5 | 9 | |
| 3 | 1 | 2 | 10 1 | 13 | |
| total | 9 | 20 | 32 | 61 | |
| GALDIT (classes) → | 1 | 2 | 3 |
| points (class) | |||
| 1 | 2 (1 class) | 3 (2 class) | 4 (3 class) |
| 2 | 3 (2 class) | 4 (3 class) | 5 (4 class) |
| 3 | 4 (3 class) | 5 (4 class) | 6 (5 class) |
Disclaimer/Publisher’s Note: The statements, opinions and data contained in all publications are solely those of the individual author(s) and contributor(s) and not of MDPI and/or the editor(s). MDPI and/or the editor(s) disclaim responsibility for any injury to people or property resulting from any ideas, methods, instructions or products referred to in the content. |
© 2025 by the authors. Licensee MDPI, Basel, Switzerland. This article is an open access article distributed under the terms and conditions of the Creative Commons Attribution (CC BY) license (https://creativecommons.org/licenses/by/4.0/).
Share and Cite
Winid, B.; Maruta, M. Assessment of Groundwater (Main Usable Aquifer) Vulnerability to Seawater Intrusion in the Polish Baltic Coastal Region. Water 2025, 17, 336. https://doi.org/10.3390/w17030336
Winid B, Maruta M. Assessment of Groundwater (Main Usable Aquifer) Vulnerability to Seawater Intrusion in the Polish Baltic Coastal Region. Water. 2025; 17(3):336. https://doi.org/10.3390/w17030336
Chicago/Turabian StyleWinid, Bogumiła, and Michał Maruta. 2025. "Assessment of Groundwater (Main Usable Aquifer) Vulnerability to Seawater Intrusion in the Polish Baltic Coastal Region" Water 17, no. 3: 336. https://doi.org/10.3390/w17030336
APA StyleWinid, B., & Maruta, M. (2025). Assessment of Groundwater (Main Usable Aquifer) Vulnerability to Seawater Intrusion in the Polish Baltic Coastal Region. Water, 17(3), 336. https://doi.org/10.3390/w17030336

