Next Article in Journal
Seawater Desalination in California: A Proposed Framework for Streamlining Permitting and Facilitating Implementation
Previous Article in Journal
Spatial and Temporal Trend Analysis of Flood Events Across Africa During the Historical Period
 
 
Font Type:
Arial Georgia Verdana
Font Size:
Aa Aa Aa
Line Spacing:
Column Width:
Background:
Article

Climograph-Supported Assessment of Temperature–Precipitation Trends Using Classical and Innovative Statistical Methods in the Yeşilırmak Basin, Türkiye

Department of Civil Engineering, Faculty of Technology, Gazi University, 06500 Ankara, Türkiye
Water 2025, 17(24), 3532; https://doi.org/10.3390/w17243532
Submission received: 24 November 2025 / Revised: 11 December 2025 / Accepted: 11 December 2025 / Published: 13 December 2025

Abstract

Understanding long-term variations in temperature and precipitation is essential for interpreting regional hydroclimatic behavior and detecting potential shifts in water availability. This study analyzes annual and seasonal temperature–precipitation trends in the Yeşilırmak Basin, Türkiye, using data from seven meteorological stations over a 38-year period (1975–2012). The Randomness Test, Mann–Kendall (MK), and Innovative Trend Analysis (ITA) were applied to detect trends. In addition, a climograph was constructed to characterize seasonal climatic patterns. The climograph for Tokat and Dökmetepe stations shows May precipitation to be 40–50% higher than in winter, while August precipitation is nearly 89% lower than in May. Temperatures rise by approximately 20 °C from January to July, reflecting continental climatic characteristics influenced by the semi-arid transition between northern and central Türkiye. Results indicate statistically significant warming trends at confidence levels above 90%, particularly during summer and autumn, with autumn temperatures increasing by approximately 0.03–0.05 °C per year (Z = 2.3–2.5) at most stations. Precipitation exhibited moderate increases at certain stations, while overall patterns remained steady. While MK and ITA yielded largely consistent results, ITA proved advantageous in weak or borderline cases by detecting structural patterns across value zones. Across all seasonal and annual analyses, ITA identified additional trends in approximately 83% of the cases where MK detected no significant change, corresponding to 25 out of 30 seasonal comparisons. Moreover, in over 92% of statistically significant MK results, ITA outcomes were fully consistent, reinforcing its robustness.

1. Introduction

Among the key climate indicators, temperature and precipitation play a vital role in shaping hydrological responses and driving environmental variability. In recent decades, significant attention has been directed toward rising air temperatures and shifting precipitation regimes, as they are essential for understanding regional climate shifts and informing adaptation planning [1,2,3].
The increasing frequency and severity of extreme weather events, particularly droughts and floods, are strongly associated with variability in these parameters. Such events pose serious risks to water availability, agricultural productivity, and infrastructure, often resulting in substantial economic losses and social disruptions [4]. Türkiye is considered one of the most climate-sensitive countries due to its complex topography and transitional climatic characteristics. Consequently, the country is increasingly affected by diverse climate-related challenges: some regions experience abrupt, intense rainfall events leading to floods, while others are subject to prolonged droughts and extreme heat episodes [5].
To evaluate long-term climate trends, a wide range of statistical methods has been applied across disciplines such as hydrology, agriculture, environmental science, and water resources management [6]. Among these, the MK test has been widely used due to its non-parametric nature and robustness against non-normality and abrupt changes in time series [7,8]. Due to these strengths, it has been extensively applied by researchers for detecting trends in hydro-meteorological studies [9,10,11]. Other common approaches include Spearman’s Rho test and Sen’s slope estimator [12,13]. Despite their strengths, these classical methods have limitations in detecting trend structures within different value ranges. Specifically, they are based on rank correlation and assume monotonicity, making them less sensitive to non-linear or hidden trends, especially when data exhibit high variability or opposite behaviors in different sub-ranges.
To address these limitations, Şen (2012) proposed the ITA method, which provides a graphical, assumption-free approach capable of identifying both monotonic and non-monotonic trends across different segments of a dataset [14]. The ITA method has gained popularity in recent years for its effectiveness in analyzing hydro-meteorological variables such as rainfall, air temperature, streamflow, evaporation, and water quality. Multi-station precipitation trend analyses conducted in different countries reveal that ITA methods provide more sensitive and detailed results at both regional and zonal scales compared to classical approaches [15,16,17,18,19]. Studies focusing on extreme precipitation and related events demonstrate that such changes exert pronounced temporal and spatial impacts on critical sectors such as agriculture [20,21,22]. Furthermore, research on drought trends indicates that the integration of classical and innovative methods enables a more comprehensive assessment of drought dynamics, thereby providing significant contributions to water resources management [23,24].
This study extends previous research by conducting a comparative evaluation of temperature and precipitation trends on both annual and seasonal scales using two complementary statistical methods, MK and ITA, along with a climograph-based visualization. The novelty lies in jointly applying statistical and graphical approaches to examine how trend directions vary across different data ranges (low, medium, and high values) and how seasonal temperature–precipitation interactions evolve throughout the year. This integrative framework enables a more detailed interpretation of intra-annual variability and helps identify subtle trend structures that conventional monotonic tests may overlook.
The main objective of this study is to evaluate seasonal and annual temperature and precipitation trends based on long-term observations from seven meteorological stations located in the Upper Yeşilırmak and Çekerek sub-basins of the Yeşilırmak Basin, Türkiye. By employing both the Mann–Kendall and Innovative Trend Analysis methods, the study aims to statistically and structurally characterize climate-driven changes in hydro-meteorological variables and to offer a scientific basis for regional climate risk assessment and the formulation of adaptation strategies.

2. Materials and Methods

2.1. Study Area

The Yeşilırmak Basin (see Figure 1) was selected for the study due to its wide range of climatic and topographical conditions extending from coastal to inland regions. Furthermore, given its strategic importance for agricultural production, water resource management, and regional development, identifying climatic trends within the basin will offer valuable insights for local administrations and policymakers in the context of climate adaptation and sustainable planning.
Situated within the transitional zone between the humid, rainy Black Sea climate and the arid, harsh continental climate of Central Anatolia, the basin is located in the Black Sea Region of Türkiye, approximately between 40°20′–41°50′ north latitudes and 35°00′–37°20′ east longitudes. Although the basin is generally influenced by the Black Sea climate due to its geographical location, its wide topographical range—from humid coastal areas to drier inland zones—leads to substantial spatial variations in temperature and precipitation. The coastal areas along the Black Sea are characterized by a humid, mild, and rainy climate; in contrast, the regions closer to Central Anatolia exhibit lower humidity, arid conditions, and more severe continental characteristics. In mountainous zones, cold and humid conditions prevail [25].
Average annual temperatures range between 10 °C and 14 °C, with values decreasing as both elevation and distance from the sea increase. During summer, regional temperatures may rise to between 24 °C and 30 °C, while winter months often bring frost events, with temperatures dropping below 0 °C. In terms of precipitation, annual totals in the sub-basins typically range from 400 mm to 600 mm. Precipitation levels are generally higher along the coast, while the interior regions experience lower and more irregular rainfall [26,27]. The spatial distribution of the temperature and precipitation stations used in this study across the basin is presented in Figure 1.

2.2. Data

Meteorological data obtained from the Turkish State Meteorological Service (TSMS) covering 38 years (1975–2012) were analyzed. The dataset includes records from seven distinct meteorological stations across the basin—five with temperature data and four with precipitation data, with Tokat and Dökmetepe stations providing both parameters. As shown in Table 1 and Table 2, average annual values appear relatively uniform across all the stations.

2.3. Randomness Test

The test is a non-parametric test originally defined by McGhee (1985) [28]. It is later adapted and applied by Adeloye and Monteseri (2002) [29]. The steps of the test are as follows:
  • The median of the dataset is calculated after ordering the values in ascending order. For a sample size n, where n = 2k (even) or n = 2k + 1 (odd), with k being an integer, the sample median is denoted by y ^ 0.5   and is computed as follows:
    y ^ 0.5 = y k + 1 f o r     n = 2 k + 1 0.5 y k + y k + 1 for   n = 2 k  
  • Each data point is then evaluated to determine whether it exceeds the median value. If a data point exceeds the median, it is considered a success and denoted by S. If it does not exceed the median, it is considered a failure and denoted by F.
  • Let the number of successes be denoted by n1 and the number of failures by n2. In general, the total number of observations is given by n = n 1   + n 2 excluding the values that are exactly equal to the median.
  • The total number of runs in the dataset is then determined. A run is defined as a sequence of consecutive S values interrupted by an F, denoted as Ss or a sequence of consecutive F values interrupted by an S, denoted as Ff. The total number of such runs observed in the sequence is represented by R.
    z = R ( 2 n 1   n 2 n 1   + n 2 + 1 ) 2 n 1 n 2 ( 2 n 1 n 2     n 1     n 2 ) n 1   +   n 2 2 ( n 1   +   n 2     1 )
  • Under the null hypothesis H0, which assumes that the sequences of Ss and Ff are random, the test statistic z follows a standard normal distribution. Therefore, for a chosen significance level (α), the critical values of the standard normal distribution are determined and denoted by ±zα/2.
  • If the calculated Z value falls outside the interval ±zα/2, it indicates a lack of statistical evidence supporting the randomness of the data. This result suggests that the series exhibits persistence or continuity, implying that it may be suitable for modeling using various time series approaches. The confidence interval values used for this method are presented in Table 3.
The Randomness Test was applied as a preliminary diagnostic step to assess the statistical independence and persistence characteristics of the time series. The identification of all station series as non-random (persistent) indicates that the temperature and precipitation records exhibit systematic temporal continuity rather than purely random fluctuations. This outcome is particularly important for both the Mann–Kendall and Innovative Trend Analysis methods, as persistent series are known to yield more reliable and interpretable trend signals. Therefore, the Randomness Test was employed to confirm the suitability of the datasets for subsequent trend detection and to ensure the statistical validity of the applied trend analyses.

2.4. Mann–Kendall Test

It is a non-parametric test used to identify the presence of a trend in a time series. The MK test statistic, denoted as S, represents the difference between the number of positive and negative differences and is calculated as follows:
S = i = 1 n 1 j = i + 1 n s i g n ( x i x j )
Here, xi and xj represent sequential data values, n denotes the total number of observations, and sign refers to the sign function, which is computed as follows:
s i g n ( x i   x j ) = + 1   i f   x i x j > 0 0   i f   x i x j = 0 1   i f   x i x j < 0  
After calculating the Mann–Kendall test statistic S the variance of S is computed to assess the significance of the trend. The variance Var (S) is given by the following formula:
V a r   S = n n 1 2 n + 1 t t t 1 2 t + 5 18
t: is the number of data points in the tth tied group.
n: is the total number of data
Finally, the standardized test statistic Z, which follows the standard normal distribution, is calculated as follows [31,32,33]:
Z = S 1 V a r ( S )           i f   S > 0 0                                 i f   S = 0 S + 1 V a r ( S )           i f   S < 0
The calculated Z values were interpreted based on the classification of Mann–Kendall Z values presented in Table 4, which provides a framework for assessing the direction and significance of trends.

2.5. Innovative Trend Analysis

The method developed by Şen (2012) was specifically designed to identify trends in climatic data [14]. It is free from restrictive statistical assumptions and recommends using a minimum of 30 years of data. The dataset is divided into two equal parts to form two series, each of which is ordered in ascending order. The first series is plotted on the horizontal axis of a Cartesian coordinate system, while the second series is plotted on the vertical axis. A 1:1 slope reference line is then drawn to visually assess the distribution of data points. This method also allows for evaluating trends separately within low, medium, and high data subsets. When the 1:1 line is drawn, the Cartesian plane is effectively divided into two regions: data points above the line indicate an increasing trend, whereas those below the line suggest a decreasing trend [35]. An illustrative example used to determine data trends is presented in Figure 2.
Despite its advantages, the ITA method also has certain limitations. Since the method is based on graphical interpretation, it is sensitive to outliers; extreme high or low values in the dataset may influence the visual perception of zonal trend behavior. Therefore, prior to the analysis, all datasets were carefully screened, and extreme values were evaluated in relation to physical consistency and climatological plausibility.
Moreover, the classification of low, medium, and high value ranges is an inherent consequence of the methodological structure of ITA, which relies on dividing the dataset into two equal sub-series. These zones represent the lower, central, and upper portions of the data distribution and allow for the assessment of how trends behave across different magnitude intervals. This feature enables ITA to provide a more flexible and value-range-sensitive trend evaluation compared to classical monotonic trend tests.

2.6. Climograph

To complement the statistical trend analyses, a climograph approach was applied to visually examine the seasonal relationship between precipitation and temperature in the Yeşilırmak Basin. This analysis was conducted for the Tokat and Dökmetepe meteorological stations, where both precipitation and temperature data were simultaneously available. These two stations were selected as they adequately represent the climatic conditions of the basin.
For each selected station, monthly mean precipitation and temperature values for the period 1975–2012 were plotted on scatter diagrams. Each point was labeled with its corresponding month, and the points were connected sequentially in calendar order, forming polygonal paths. The slope, direction, and geometry of these polygons provide insights into seasonal climatic behavior:
  • Slope Interpretation: A slope of approximately 45° reflects proportional variability between precipitation and temperature; steeper or flatter slopes indicate dominance of one variable over the other.
  • Directional Arrows: Upward-directed connections between months represent direct correlations, while downward-directed paths indicate inverse correlations.
  • Polygon Geometry: Narrow and elongated polygons imply a strong and consistent relationship between the variables; wide polygons indicate non-linear associations.
  • Point Spacing: Short distances between consecutive months suggest stable climatic conditions, while longer distances indicate higher variability.
  • Seasonal Diagnostics: The polygonal trajectories highlight seasonal transition patterns, enabling the identification of periods with consistent proportionality and potential anomalies.
This climograph-based assessment enhances the methodological framework by visually illustrating the seasonal dynamics of precipitation–temperature interactions at representative stations, thereby supporting and contextualizing the Mann–Kendall and Innovative Trend Analyses presented in subsequent sections.
In this study, climograph analysis could only be carried out for the Tokat and Dökmetepe stations because these are the only locations within the basin that provide long-term simultaneous temperature and precipitation records. This restriction arises from data availability constraints rather than methodological preference. However, both stations are situated within the climatic transition zone between the humid Black Sea region and the semi-arid Central Anatolia region. Therefore, they adequately represent the dominant seasonal hydro-climatic characteristics of the Yeşilırmak Basin. Although the climograph does not capture the full spatial variability of the basin, it provides a reliable diagnostic visualization of seasonal temperature–precipitation interactions under semi-arid continental conditions.

3. Results

This section presents a comprehensive evaluation of seasonal and annual trends in temperature and precipitation using the Mann–Kendall (MK) and Innovative Trend Analysis (ITA) methods across the seven meteorological stations in the Yeşilırmak Basin. Trends were analyzed for four seasonal periods (winter, spring, summer, and autumn) as well as for the annual average values.

3.1. Randomness Test Results

The Randomness Test was applied to the monthly average precipitation and monthly average temperature data obtained from measurement stations for the period between 1975 and 2012. If the calculated Z value lies outside the critical threshold of ±1.96, the series is considered non-random and potentially indicative of an underlying trend. It was observed that all Z values were negative, ranging between −2.30 and −4.28. The results of the applied randomness tests are presented in Table 5 and Table 6, respectively.
Based on the results obtained, all five temperature stations Tokat, Turhal, Dökmetepe, Zile, and Reşadiye exhibited persistence, with no evidence of randomness detected in their time series. Similarly, for precipitation, the series from all four stations Almus, Tokat, Dökmetepe, and Amasya also demonstrated persistence, indicating non-random behavior. Therefore, it can be concluded that the time series from these stations are statistically suitable for conducting a meaningful trend analysis. Accordingly, the identification of all series as persistent confirms the statistical suitability of the datasets for subsequent MK and ITA trend analyses.

3.2. Mann–Kendall Trend Analysis Results

Seasonal and Annual Average Temperature and Precipitation Trend Analysis Results

The Mann–Kendall test was applied to determine the statistical significance of trends in average temperature and precipitation data across all stations. During the analysis, the data were evaluated on both seasonal and annual scales. The results of the test are presented in Table 7 for temperature and in Table 8 for precipitation.
During the spring season, statistically significant increasing temperature trends were identified at the Zile and Reşadiye stations. Although the Tokat station also exhibited an upward trend, it did not reach statistical significance. Conversely, the Turhal and Dökmetepe stations demonstrated decreasing tendencies; however, these trends were not statistically supported. In the summer season, all stations recorded Z-values greater than 1.65, indicating strongly significant warming trends. Autumn trends were similarly positive, with statistically significant increases observed at Zile, Reşadiye, and Tokat, while Turhal and Dökmetepe exhibited weak but positive tendencies. In contrast, temperature trends in the winter season were generally statistically insignificant across the study area. At the annual scale, three stations exhibited statistically significant increasing trends at a confidence level exceeding 90%, and two additional stations showed moderately increasing trends within the 80–90% confidence interval.
Overall, the Mann–Kendall test results demonstrated that the summer season exhibited the most robust and spatially consistent warming trends across all stations. While notable increases were evident during spring and autumn at specific locations, winter temperature trends were comparatively weak and inconsistent. On an annual basis, the strongest warming signals were recorded at Tokat, Zile, and Reşadiye stations.
During the spring season, precipitation trends at the four analyzed stations were generally weak and statistically insignificant, with a slight tendency toward increase. In the summer months, only the Amasya station exhibited a modest upward trend, while the remaining stations showed mixed but statistically insignificant increases or decreases. Autumn emerged as the season with the most prominent increasing precipitation trends across all stations, with Amasya standing out due to its statistically significant upward pattern. In contrast, the winter season revealed decreasing trends at the Almus and Dökmetepe stations, though these trends were of limited statistical significance. At the annual scale, Amasya and Tokat stations exhibited statistically significant increases in total precipitation, highlighting their importance for long-term climate planning and sustainable water resource management.
Overall, autumn appears to be the season most strongly associated with increasing precipitation trends across the basin. Conversely, the winter and summer seasons were characterized by weaker and more spatially inconsistent changes. Among all stations, Amasya consistently demonstrated the most pronounced increasing trends, both seasonally, especially in autumn, and annually. In contrast, the Dökmetepe station exhibited generally low-magnitude and statistically insignificant trends in both temperature and precipitation, suggesting limited hydro-meteorological variability at this location.

3.3. ITA Results for Seasonal and Annual Temperature–Precipitation Trends

To complement the MK test, which provides statistically based trend detection, the ITA was applied using average temperature and precipitation data aggregated across all stations. The integration of ITA was intended to improve trend interpretation by offering visual diagnostics and the ability to distinguish between monotonic and non-monotonic trend structures. The resulting ITA plots and their corresponding trend evaluations are presented and discussed in the subsequent sections.
To improve clarity and reduce visual redundancy, the seasonal ITA figures are not presented in the main text and have been transferred to the Supplementary Materials. In contrast, the annual ITA results are retained in the main manuscript as representative examples to more clearly illustrate the dominant long-term trend characteristics of the basin. This approach preserves the seasonal analytical framework of the study while allowing the general annual trend patterns to be more effectively highlighted.

3.3.1. ITA Trend Analysis Results for Autumn Season Temperature

The ITA results for autumn temperature trends at the Dökmetepe station, as illustrated in Figure S1, reveal a monotonic upward trend within the mid-temperature range, while no significant trends are observed in the low- and high-value zones. The overall trend slope is positive, indicating a potential increase in autumn temperatures at this location. At the Reşadiye station, the ITA indicates a monotonic increasing trend in both the mid- and high-temperature ranges. Although the general slope is upward, the trend is non-homogeneous, reflecting varying rates of increase across different segments of the time series.
In Tokat and Zile, autumn temperature trends display a consistently monotonic upward trajectory. The warming signal is strong and stable, particularly within the mid- and high-temperature intervals. Similarly, at the Turhal station, a monotonic increasing trend is observed during the autumn season, predominantly within the mid- and high-value zones. While the overall trend direction is positive, the rate of change is not uniform throughout the analyzed period.

3.3.2. ITA Trend Analysis Results for Spring Season Temperature

At the Dökmetepe station, no discernible trend was detected in spring temperature data (Figure S2). The majority of data points align closely with the 1:1 reference line, resulting in a mathematically neutral slope and indicating the absence of any significant directional change. In contrast, Reşadiye exhibited a monotonic increasing trend, particularly within the low- and mid-temperature ranges, suggesting early-season warming signals during the spring period.
At the Tokat station, spring temperatures in the mid-value cluster showed a monotonic upward trend, supported by a positively sloped overall trend line. This indicates a consistent warming trend emerging from the middle part of the season onward. For Turhal, no significant trends were observed in any of the temperature zones (low, mid, or high) during the spring season.
At Zile, a monotonic increase was identified in the low- and mid-temperature ranges, while no clear trend was evident in the high-value cluster. The overall slope remained positive, implying that warming effects are more pronounced at the beginning of the season, accompanied by a gradual reduction in cooler temperature events.

3.3.3. ITA Trend Analysis Results for Summer Season Temperature

At the Dökmetepe and Turhal stations, no distinct trends were observed in the low- and high-temperature zones during the summer season (Figure S3). While a general upward tendency is present in the mid-temperature range, fluctuations among data pairs reduce the overall consistency of the trend. In contrast, Reşadiye, Tokat, and Zile demonstrated clear monotonic increasing trends in both the mid- and high-temperature clusters. The consistent placement of data points above the 1:1 reference line indicates a persistent and long-term warming pattern. The concentration of upward trends in these value ranges suggests that the effects of regional climate change become more evident during the summer season.
Overall, summer stands out as the season exhibiting the most stable and pronounced warming trends throughout the year. This pattern is particularly strong at Reşadiye, Tokat, and Zile, where elevated temperatures have become increasingly dominant.

3.3.4. ITA Trend Analysis Results for Winter Season Temperature

Winter temperatures at Dökmetepe, Reşadiye, and Turhal generally display a monotonic increasing trend. At Tokat and Zile, no significant trend is detected within the low-temperature range; however, clear monotonic upward trends are observed in the mid- and high-value intervals. In all cases, the overall trend slope remains positive.
A notable commonality across all stations is that warming tends to originate in the lower temperature ranges, indicating a gradual softening of winter conditions. This pattern suggests a decreasing frequency of extremely cold days over time. Collectively, the emergence of warming trends in the lowest temperature intervals points to a seasonal shift toward milder winters across the study area (Figure S4).

3.3.5. ITA Trend Analysis Results for Annual Temperature

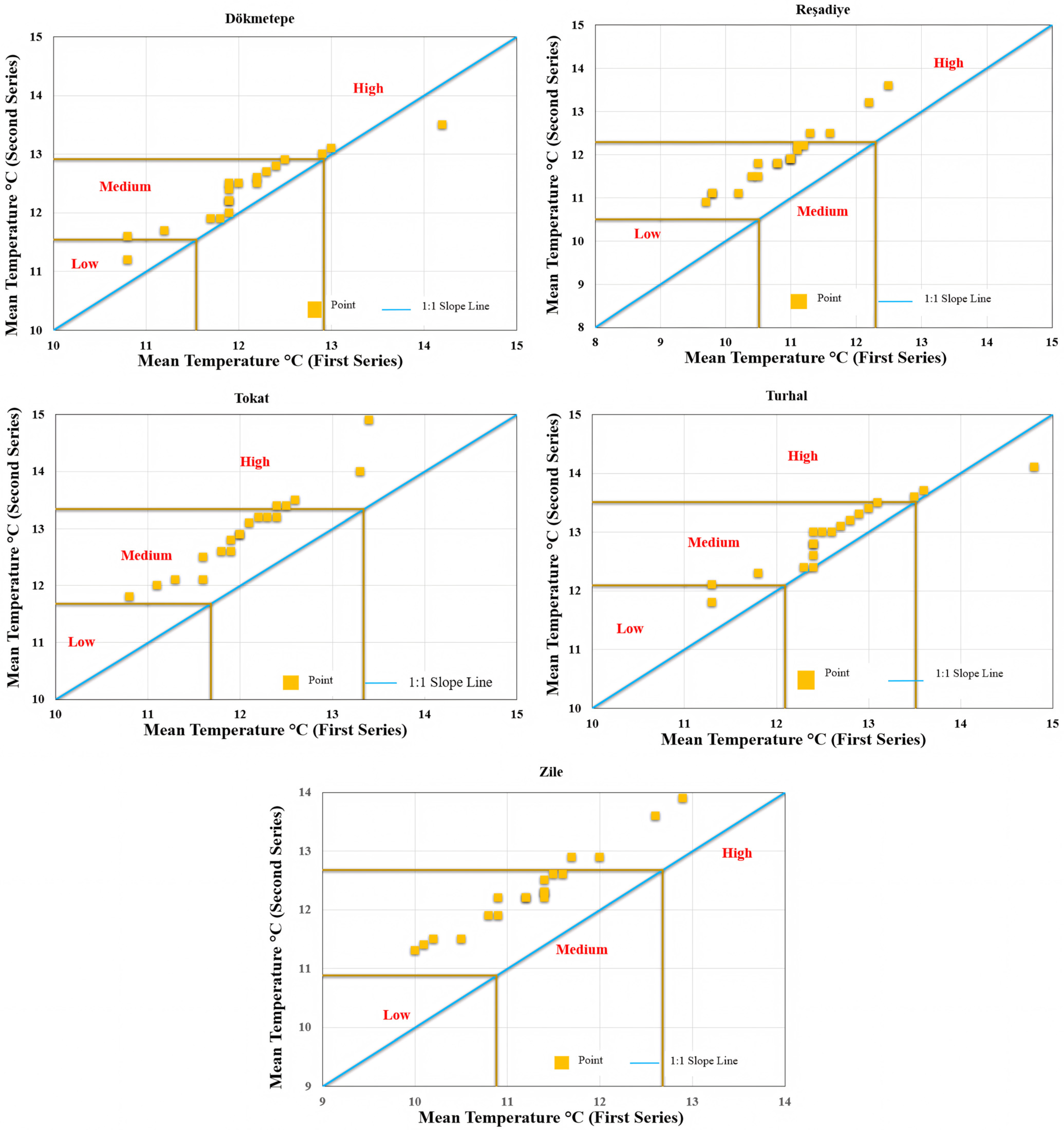
An analysis of annual temperature data reveals no significant trends within the low-value clusters at the Tokat, Reşadiye, and Zile stations. However, the mid- and high-temperature ranges at these stations display dominant monotonic increasing trends. The overall trend slope is positive, indicating a consistent long-term rise in annual temperature.
At Turhal and Dökmetepe, no significant trends are observed in either the low or high-value intervals, while the mid-temperature range shows a clear monotonic upward trend. The overall trend direction at both stations is likewise positive.
When considering all stations collectively, the prevailing regional signal is one of increasing temperature. This finding suggests that annual warming has already taken hold under the influence of climate change and is likely to persist under future climate projections (Figure 3).

3.3.6. ITA Trend Analysis Results for Autumn Season Precipitation

At the Almus station, a non-monotonic decreasing trend is observed in the mid-value precipitation cluster, while a monotonic decline is evident in the high-value range. The overall trend slope is negative, indicating a general decrease in autumn precipitation at this station. At Amasya, a non-monotonic increasing trend appears in the low-value cluster, accompanied by a monotonic increase in the mid-range. No significant trend is detected in the high-value cluster.
For the Dökmetepe station, monotonic increasing trends are present in both the low- and mid-value intervals, whereas the high-value cluster shows a monotonic decreasing pattern. Despite this divergence, the overall trend slope remains positive, pointing to a net increase in autumn precipitation. At the Tokat station, a monotonic increasing trend is observed in the low-value cluster, with a partially monotonic upward trend in the mid-range. Conversely, the high-value cluster demonstrates a monotonic decreasing trend. Nonetheless, the overall slope suggests a general increase in autumn precipitation.
Taken together, these findings highlight the variability of autumn precipitation trends across different value ranges and stations. Despite some localized declines, several locations exhibit a net upward trend over time (Figure S5).

3.3.7. ITA Trend Analysis Results for Spring Season Precipitation

At the Almus and Tokat stations, spring precipitation in the low-value clusters exhibits monotonic increasing trends, while no significant trends are observed in the mid- and high-value intervals. Although the overall trend slope is positive at both stations, the temporal distribution of data points is not entirely uniform, indicating that general increases are interspersed with periodic fluctuations throughout the season. In Amasya, monotonic increasing trends are evident across all three value clusters—low, mid, and high. The notable concentration of data points in the high-precipitation range suggests the emergence of a robust springtime moisture regime, which could have favorable implications for regional agricultural productivity.
In contrast, the Dökmetepe station shows no discernible trend in the low- and mid-value ranges; however, a monotonic increasing trend is observed in the high-value cluster. These findings underscore the spatial variability and value-dependent nature of spring precipitation trends across the study area (Figure S6).

3.3.8. ITA Trend Analysis Results for Summer Season Precipitation

At the Almus station, a monotonic decreasing trend is identified in the low-precipitation cluster, while no significant trends are detected in the mid- and high-value ranges. The overall trend slope is negative, indicating a general decline in summer precipitation at this location. In Amasya, an increasing trend is observed from low to moderate precipitation intensities, followed by a decreasing trend in the high-value cluster. Due to this opposing behavior across value ranges, a consistent overall trend cannot be clearly established.
At the Dökmetepe station, no trend is evident in the low cluster. A monotonic decreasing trend dominates the mid-range, while a non-monotonic increasing trend appears in the high cluster. Nonetheless, the overall trend indicates a decreasing tendency in summer precipitation. At Tokat, the low cluster shows no clear trend, whereas a non-monotonic increase is observed in the mid cluster and a monotonic increase is evident in the high-value range. The general trend slope is positive at this station.
These findings suggest that while short-term increases in summer precipitation may occur sporadically at certain stations, a consistent and stable moisture regime does not appear to be developing. This highlights the interannual variability and spatial inconsistency of summer precipitation behavior across the region (Figure S7).

3.3.9. ITA Trend Analysis Results for Winter Season Precipitation

At the Almus, Dökmetepe, and Tokat stations, winter precipitation trends show no significant changes in the low- and mid-value clusters, whereas a monotonic decreasing trend is evident in the high-value range. The overall trend slope at these stations is negative, indicating a general decline in high-intensity winter precipitation events. At Amasya, no trend is observed in the low and mid clusters; however, a monotonic increasing trend is present in the high-value cluster, resulting in a positive overall trend slope.
In Almus, precipitation values predominantly cluster around moderate intensities, accompanied by a weak decreasing trend as values shift toward higher intensities. A similar pattern is noted at Dökmetepe, where no apparent trend exists in the mid-value range, but a decline becomes more pronounced in higher precipitation intervals. At Tokat, most precipitation values fall below the 1:1 reference line, and while the trend is generally downward, it remains weak and inconsistent—suggesting a fluctuating and statistically ambiguous winter precipitation regime.
In contrast, the concentration of values within the mid-to-high range at Amasya points to a notable increase in seasonal moisture availability, underlining the critical contribution of winter precipitation to the regional water balance (Figure S8).

3.3.10. ITA Trend Analysis Results for Annual Precipitation

At the Almus station, no trend is observed in the low precipitation cluster, while a non-monotonic decreasing trend is detected in the mid cluster and a dominant decreasing trend is evident in the high-value cluster. The overall trend slope is negative, indicating a decline in total annual precipitation at this station. At Tokat, a monotonic increasing trend is identified in the low-value cluster, whereas no significant trends are observed in the mid and high clusters. The overall trend slope is positive, suggesting a general increase in annual precipitation. At Dökmetepe, a monotonic increasing trend is evident in the low cluster; however, no discernible trends are found in the mid and high clusters. Despite the increase at lower values, the overall slope is negative, indicating a decreasing tendency in total annual precipitation.
In contrast, Amasya displays a consistent monotonic increasing trend across all three clusters low, mid, and high with a clearly positive overall slope, highlighting a strong upward trend in annual precipitation. When evaluating annual precipitation trends across all stations, significant spatial variability is observed. These differences are likely influenced by local topography and vegetation cover at each station site. As a result, no uniform regional trend in annual precipitation can be established (Figure 4).

3.4. Result of Climograph Analysis

3.4.1. Tokat Station

The climograph for the Tokat station was constructed using monthly mean temperature and precipitation data for the period 1975–2012. In the diagram, monthly averages were sequentially connected, and the position of each month was evaluated in terms of the temperature–precipitation relationship (Figure 5).
In January, low temperatures (2.0 °C) and moderate precipitation (42.2 mm) were observed, while in February, the temperature increased slightly (3.2 °C) but precipitation decreased notably (35.2 mm). In March, a rise in temperature (7.3 °C) was accompanied by a slight increase in precipitation (41.6 mm), indicating a generally direct proportionality between temperature and precipitation during the transition to spring.
In April and May, temperatures rose to 12.6 °C and 16.4 °C, respectively, while precipitation reached its annual maximum in May (62.9 mm). This period represents the peak of spring precipitation in Tokat, where rising temperatures coincide with high precipitation.
From June onward, temperature continued to rise (19.9 °C) while precipitation sharply decreased (38.1 mm). In July and August, temperatures reached their annual maximum (22.4 °C and 22.5 °C, respectively), while precipitation dropped to minimum levels (July: 13.4 mm; August: 7.1 mm), indicating a pronounced dry summer period.
In September, temperature decreased to 18.9 °C, accompanied by a partial increase in precipitation (17.3 mm). In October, as temperature declined further (13.7 °C), precipitation increased again (45.3 mm). In November and December, temperatures continued to drop (November: 7.6 °C; December: 3.7 °C) while precipitation remained relatively high (November: 48.9 mm; December: 42.3 mm).
Overall, the Tokat climograph shows that spring exhibits a direct proportionality between temperature and precipitation, summer is characterized by rising temperatures with sharply decreasing precipitation, and autumn shows decreasing temperatures with a recovery in precipitation. This seasonal pattern aligns with the characteristics of a semi-arid continental climate.

3.4.2. Dökmetepe Station

The climograph for the Dökmetepe station was also developed using monthly mean temperature and precipitation data for the period 1975–2012. Monthly averages were sequentially connected, and each month’s position was evaluated with respect to the temperature–precipitation relationship (Figure 6).
In January, temperatures were low (1.3 °C) with moderate precipitation (40.2 mm). In February, temperature increased slightly (2.8 °C) while precipitation decreased (35.2 mm). In March, rising temperatures (7.0 °C) were accompanied by a moderate increase in precipitation (41.7 mm), indicating a direct correlation during the transition to spring.
In April and May, temperatures rose to 12.4 °C and 16.4 °C, respectively, with precipitation peaking in May (59.9 mm). This indicates that spring is the wettest season, coinciding with the period of rising temperatures.
In June, temperature continued to increase (20.1 °C) while precipitation decreased notably (39.5 mm). In July and August, temperatures reached maximum annual values (22.8 °C and 22.5 °C, respectively), while precipitation fell to minimum levels (July: 13.5 mm; August: 6.6 mm), highlighting a distinctly dry summer period.
In September, temperature decreased to 18.5 °C, accompanied by a slight increase in precipitation (18.5 mm). In October, as temperature further declined (13.2 °C), precipitation increased again (41.2 mm). In November and December, temperature dropped further (November: 6.8 °C; December: 2.8 °C) while precipitation remained relatively high (November: 45.2 mm; December: 39.6 mm).
Overall, the Dökmetepe climograph reveals a seasonal cycle similar to Tokat, with a direct proportionality between temperature and precipitation in spring, a sharp decline in precipitation during the summer warming, and a recovery of precipitation during the cooling in autumn. This pattern is consistent with the semi-arid continental climate of the basin.
Climograph analyses for the Tokat and Dökmetepe stations reveal pronounced seasonal fluctuations throughout the year. In both stations, precipitation in May is approximately 40–50% higher than in the winter months (Tokat: January 42.2 mm → May 62.9 mm; Dökmetepe: January 40.2 mm → May 59.9 mm). During the summer, precipitation decreases dramatically, reaching its annual minimum in August, corresponding to a reduction of approximately 89% relative to May values in both Tokat and Dökmetepe.
In terms of temperature, both stations exhibit an increase of nearly 20 °C between January and July (Tokat: 2.0 °C → 22.4 °C; Dökmetepe: 1.3 °C → 22.8 °C), followed by a similar decrease during the transition from summer to winter. This seasonal pattern is characterized by a parallel increase in temperature and precipitation during spring, a sharp decline in precipitation accompanying rising temperatures during summer, and a recovery of precipitation as temperatures decrease in autumn.
Such a regime is a typical indicator of the semi-arid continental climate, providing critical implications for water resource management and drought risk assessment within the basin. This similarity indicates that both stations effectively represent the climatic conditions of the basin, justifying their selection as representative points for visual climate analysis.
Accordingly, the climograph results are interpreted as illustrative rather than spatially exhaustive and are used to support the seasonal trend findings derived from the MK and ITA analyses rather than to replace them.

4. Discussion

The MK and ITA results based on temperature data reveal a strong consistency, particularly during the summer and autumn seasons across all stations. The MK test identified statistically significant increasing trends above the 90% confidence level in these periods (e.g., Tokat in summer: Z = 3.79; Reşadiye: Z = 3.37). These findings were further supported by ITA results, which confirmed the presence of “monotonic” or “non-monotonic” increasing trends, with data clusters concentrated in the medium- to high-temperature zones. Together, these results indicate that seasonal warming is both statistically and distribution-based.
In spring, the MK test detected significant upward trends at Zile (Z = 1.80) and Reşadiye (Z = 1.86), while Turhal and Dökmetepe exhibited negative but statistically insignificant Z-values. However, the ITA method complemented the MK results by identifying increasing trend structures in low- to medium-temperature ranges, even in stations where MK fell below the significance thresholds. In this way, ITA was able to capture emerging patterns that were not fully detected by the classical analysis.
During the winter season, the MK test suggested marginally significant positive trends only at Zile and Reşadiye (Z ≈ 1.0), while other stations showed weak and statistically insignificant tendencies. In contrast, ITA detected consistent upward trends concentrated in the low-temperature zones across all stations, indicating a decline in extreme cold events.
Regarding annual temperature trends, the MK test revealed statistically significant positive trends at all stations (e.g., Tokat: Z = 2.56; Zile: Z = 3.09). ITA corroborated these trends at the distribution-based level, showing a consistent upward pattern especially concentrated in the mid to high-temperature ranges. This indicates that annual warming in the region is progressing with a long-term and stable trajectory.
In the case of precipitation analyses, a strong agreement was observed between the MK and ITA methods during the autumn season. The MK test identified increasing trends at the 80–90% confidence level in Amasya (Z = 1.78), Tokat (Z = 1.60), Dökmetepe (Z = 1.45), and Almus (Z = 1.10). These trends were structurally confirmed by the ITA method, which revealed both monotonic and non-monotonic increasing patterns, with data points concentrated primarily in the low- to medium-precipitation zones.
In the spring season, the MK test indicated only weak positive trends at Amasya (Z = 0.96) and Tokat (Z = 0.81), while no significant trends were detected at the remaining stations. However, ITA graphically identified increasing trends across all four stations, particularly in the lower precipitation ranges, thereby capturing subtleties that the MK test was unable to detect, highlighting ITA’s greater sensitivity to trend formation at the distribution-based level.
During the summer and winter seasons, the MK test largely failed to identify statistically significant trends, reporting values such as Tokat summer (Z = 0.44) and Amasya winter (Z = 0.13). Despite this, the ITA method was able to reveal weak but persistent increasing trends, especially within the low precipitation zones, providing valuable visual evidence of ongoing shifts in seasonal precipitation behavior.
In the annual precipitation analyses, the MK test showed positive trends at Amasya (Z = 1.33), Tokat (Z = 1.06), and Dökmetepe (Z = 1.03). These trends were structurally reinforced by the ITA method, which illustrated a long-term upward tendency through the clustering of data points in the low- to medium-precipitation ranges. This consistency across methods emphasizes the presence of a subtle yet gradually intensifying change in annual precipitation patterns.
Overall, the MK and ITA methods demonstrated strong consistency in detecting pronounced trends, particularly at the seasonal peaks and annual scale. However, in cases where trends were of low intensity or near the threshold of statistical significance, the ITA method provided more nuanced insights due to its graphical sensitivity and ability to assess zonal distributions. Consequently, ITA emerged as a complementary and interpretive enhancement to the MK test, offering a more detailed understanding of subtle or evolving climatic trends.
Although the additional trend detections obtained by ITA in cases where the Mann–Kendall test was statistically inconclusive are not based on formal hypothesis testing, they provide important structural insight into the internal distribution of the time series. By separately evaluating low, medium, and high value ranges, ITA is able to reveal weak or emerging zonal patterns that may remain hidden when a single monotonic test is applied to the entire dataset. Therefore, the higher detection rate achieved by ITA should be interpreted as an indicator of its diagnostic sensitivity to subtle trend behavior rather than as a replacement for statistical significance testing. In this context, ITA functions as a complementary interpretive tool that enhances the physical and pattern-based hydro-climatic variability derived from MK-based results.
The findings of this study are largely consistent with those reported in both national and international literature on climate trend analysis. In particular, the strong agreement observed between the MK test and the ITA method during the summer and autumn seasons has been frequently documented in previous studies. For instance, Serencam (2019) applied both the MK and ITA methods to long-term temperature and precipitation data in the Yeşilırmak Basin and identified statistically significant warming trends, especially in summer and autumn months [36]. The study also emphasized the effectiveness of ITA in capturing weak trend signals that might otherwise remain undetected.
Similarly, Şan (2025) highlighted that when applied to temperature and precipitation datasets, ITA methods provided more sensitive and visually interpretable insights into the direction and magnitude of trends, particularly in capturing seasonal and temporal variations compared to the classical MK test [37]. These findings underscore ITA’s value as a complementary tool that enhances and refines the interpretation of climatic trend analyses.
In the Jinsha River Basin in China, Dong et al. (2020) employed the ITA method in conjunction with the MK test to examine temperature and precipitation trends over the period 1961–2016 [38]. Their findings revealed significant increasing trends in both annual and seasonal temperatures, with ITA providing more detailed insights compared to classical methods, particularly by capturing trend behavior across low, medium, and high data zones.
Similarly, in Central Asia, Alifujiang et al. (2021) analyzed annual and seasonal streamflow data from the Issyk-Kul Lake Basin using both ITA and MK tests [39]. The combined use of these two methods enabled a more reliable detection of weak or complex trend structures, demonstrating the effectiveness of ITA as a complementary tool in cases where traditional methods may fall short.
The detected warming trends, particularly at the annual scale and during the summer season, have important implications for water resources and agriculture in the Yeşilırmak Basin. Higher temperatures are expected to increase evapotranspiration rates and crop water demand, thereby intensifying pressure on existing irrigation schemes and reservoir operations. In combination with the observed shifts in seasonal precipitation, such as changes in spring and autumn rainfall, the timing and magnitude of surface runoff may be altered, affecting the reliability of water supply for both agricultural and domestic uses. These changes could also exacerbate drought risk, increase the frequency of low-flow conditions, and reduce the effectiveness of current water allocation and planning strategies. From a management perspective, the results highlight the need for more flexible reservoir operating rules, improved irrigation scheduling, and the integration of climate-informed indicators into drought early-warning systems.
When compared with previous studies conducted in the Yeşilırmak Basin and neighboring regions of Türkiye, the trends identified in this study are largely consistent with the documented warming signal and the spatially heterogeneous behavior of precipitation in semi-arid and transitional climatic zones. Earlier research has reported similar tendencies towards increasing temperatures, more frequent warm extremes, and regionally variable precipitation responses, especially in basins influenced by the Eastern Mediterranean and Black Sea circulation patterns. Furthermore, regional climate model projections for Türkiye and the Eastern Mediterranean generally indicate continued warming and an elevated likelihood of more frequent and intense drought episodes, particularly under higher emission scenarios. In this context, the trend structures revealed by MK and ITA not only corroborate these model-based expectations but also provide observational evidence that recent hydro-climatic changes in the Yeşilırmak Basin are already evolving in a direction consistent with future climate projections. This reinforces the urgency of incorporating climate-aware risk assessments into basin-scale water and agricultural planning.
The detected temperature and precipitation trends are physically consistent with the dominant regional climate dynamics of the Yeşilırmak Basin. The pronounced summer–autumn warming aligns with the IPCC-reported positive temperature anomalies over the Eastern Mediterranean and reduced snow-cover duration across northern Anatolia, which weaken thermodynamic cooling and amplify continental heat accumulation. The autumn precipitation increases correspond to enhanced sea–land thermal contrasts over the Black Sea, strengthening moisture advection toward the basin during transitional months. Mild winter warming observed in low-value clusters is consistent with the documented decline in extreme cold-air outbreaks and reduced persistence of continental high-pressure systems. Overall, the spatial and seasonal patterns detected by MK and ITA reflect mechanisms that are coherent with large-scale atmospheric circulation changes affecting northern Türkiye.

5. Conclusions

This study evaluated annual and seasonal temperature and precipitation trends in the Yeşilırmak Basin using the Mann–Kendall (MK) test and the Innovative Trend Analysis (ITA) method based on a 38-year dataset (1975–2012). The main outcomes of the analyses are summarized below, followed by a brief supporting discussion. Key findings can be summarized as follows:
  • Statistically significant warming was detected in summer and autumn at all stations, while spring and winter exhibited weaker warming concentrated in low-value zones.
  • Annual temperature trends were positive and consistent across all stations, with strong agreement between MK and ITA.
  • No consistent decreasing trend in precipitation was observed; however, autumn showed increasing precipitation at several stations, and ITA identified weak trends missed by MK.
  • ITA confirmed most MK results (92% consistency) and revealed additional trend structures in 83% of cases where MK was statistically inconclusive.
  • Climograph analyses revealed strong seasonal contrasts with direct implications for water management and drought risk.
Statistically significant warming was detected in summer and autumn at all stations (confidence > 90%). Spring and winter exhibited weaker warming, primarily in low-value zones, suggesting a decline in cold extremes. Annual temperature trends were positive and consistent across all stations, with MK and ITA in strong agreement.
Precipitation results were more variable across seasons and locations. No consistent decreasing trend was observed; however, autumn showed increasing precipitation trends at several stations. ITA outperformed MK in identifying weak trends, particularly in low- and mid-precipitation zones during spring and winter. Annual precipitation trends were weak but displayed clearer upward patterns through ITA.
When comparing the two methods, ITA confirmed the majority of statistically significant MK results (92% consistency) and further revealed additional structural trend patterns in 83% of cases where MK was statistically inconclusive, highlighting its complementary diagnostic sensitivity rather than implying independent statistical significance. ITA was effective in revealing structural and zonal characteristics, making it a valuable complement to MK.
The climograph evaluation provided additional insight into the basin’s climatic regime. Climograph analyses showed that May precipitation was 40–50% higher than winter levels and that August precipitation was approximately 89% lower than in May, while temperatures increased by about 20 °C from January to July. The strong seasonal similarity at both stations confirms their representativeness for the Yeşilırmak Basin and highlights important implications for water management and drought risk.

Supplementary Materials

The following supporting information can be downloaded at: https://www.mdpi.com/article/10.3390/w17243532/s1, Figure S1: Temperature Trends for the Autumn Season; Figure S2: Temperature Trends for the Spring Season; Figure S3: Temperature Trends for the Summer Season; Figure S4: Temperature Trends for the Winter Season; Figure S5: Precipitation Trends for the Autumn Season; Figure S6: Precipitation Trends for the Spring Season; Figure S7: Precipitation Trends for the Summer Season; Figure S8: Precipitation Trends for the Winter Season.

Funding

This research received no external funding.

Data Availability Statement

Data used in this study were obtained from the Turkish State Meteorological Service (TSMS). Due to national data access regulations, these datasets cannot be publicly shared.

Conflicts of Interest

The authors declare no conflicts of interest.

Abbreviations

The following abbreviations are used in this manuscript:
MKMann–Kendall test
ITAInnovative Trend Analysis

References

  1. Cheung, W.H.; Senay, G.B.; Sing, A. Trends and spatial distribution of annual and seasonal rainfall in Ethiopia. Int. J. Clim. 2008, 28, 1723–1734. [Google Scholar] [CrossRef]
  2. Gujree, I.; Ahmad, I.; Zhang, F.; Arshad, A. Innovative Trend Analysis of High-Altitude Climatology of Kashmir Valley, North-West Himalayas. Atmosphere 2022, 13, 764. [Google Scholar] [CrossRef]
  3. IPCC. Climate Change 2021: The Physical Science Basis. 2021. Available online: https://www.ipcc.ch/report/ar6/wg1/ (accessed on 8 August 2025).
  4. Zerouali, B.; Elbeltagi, A.; Al-Ansari, N.; Abda, Z.; Chettih, M.; Santos, C.A.G.; Boukhari, S.; Araibia, A.S. Improving the visualization of rainfall trends using various innovative trend methodologies with time–frequency-based methods. Appl. Water Sci. 2022, 12, 207. [Google Scholar] [CrossRef]
  5. Çeribaşı, G. Analyzing rainfall datas’ of Eastern Black Sea Basin by using Sen method and trend methods. J. Inst. Sci. Technol. 2019, 9, 254–264. [Google Scholar]
  6. Ceribasi, G.; Ceyhunlu, A.I.; Ahmed, N. Innovative trend pivot analysis method (ITPAM): A case study for precipitation data of Susurluk Basin in Turkey. Acta Geophys. 2021, 69, 1465–1480. [Google Scholar] [CrossRef]
  7. Mann, H.B. Nonparametric tests against trend. Econometrica 1945, 13, 245–259. [Google Scholar] [CrossRef]
  8. Kendall, M.G. Rank Correlation Methods; Griffin: London, UK, 1975. [Google Scholar]
  9. Kishor Pandey, B.; Khare, D. Identification of trend in long term precipitation and reference evapotranspiration over Narmada River basin (India). Glob. Planet. Change 2018, 161, 172–182. [Google Scholar] [CrossRef]
  10. Ullah, S.; You, Q.; Ali, A.; Ullah, W.; Ahmad Jan, M.; Zhang, Y.; Xie, W.; Xie, X. Observed changes in maximum and minimum temperatures over China-Pakistan economic corridor during 1980–2016. Atmos. Res. 2019, 216, 37–51. [Google Scholar] [CrossRef]
  11. Tuğrul, T.; Oruç, S.; Hınıs, M.A. Analyzing temperature trends using innovative trend analyses in certain regions of Norway. Acta Geophys. 2025, 73, 4883–4902. [Google Scholar] [CrossRef]
  12. Spearman, C. The proof and measurement of association between two things. Am. J. Psychol. 1987, 100, 441–471. [Google Scholar] [CrossRef]
  13. Sen, P.K. Estimates of the regression coefficient based on Kendall’s tau. J. Am. Stat. Assoc. 1968, 63, 1379–1389. [Google Scholar] [CrossRef]
  14. Şen, Z. Innovative trend significance test and applications. Theor. Appl. Climatol. 2017, 127, 939–947. [Google Scholar] [CrossRef]
  15. Gopakkali, P.; Sridhara, S.; Kashyap, G.R.; Manoj, K.N.; Das, B. Trend detection of annual precipitation of Karnataka, India during 1951–2020 based on the innovative trend analysis method. Environ. Earth Sci. 2023, 82, 551. [Google Scholar] [CrossRef]
  16. Zhou, Z.; Wang, L.; Lin, A.; Zhang, M.; Niu, Z. Innovative trend analysis of solar radiation in China during 1962–2015. Renew Energy 2018, 119, 675–689. [Google Scholar] [CrossRef]
  17. Caloiero, T. Evaluation of rainfall trends in the South Island of New Zealand through the innovative trend analysis (ITA). Theor. Appl. Clim. 2020, 139, 493–504. [Google Scholar] [CrossRef]
  18. Malik, A.; Kumar, A.; Guhathakurta, P.; Kisi, O. Spatial-temporal trend analysis of seasonal and annual rainfall (1966–2015) using innovative trend analysis method with significance test. Arab. J. Geosci. 2019, 12, 328. [Google Scholar] [CrossRef]
  19. Amiri, M.A.; Gocić, M. Innovative trend analysis of annual precipitation in Serbia during 1946–2019. Environ. Earth Sci. 2021, 80, 777. [Google Scholar] [CrossRef]
  20. Oliveira, P.T.; Santos e Silva, C.M.; Lima, K.C. Climatology and trend analysis of extreme precipitation in subregions of Northeast Brazil. Theor. Appl. Clim. 2017, 130, 77–90. [Google Scholar] [CrossRef]
  21. Jayadas, A.; Ambujam, N.K. Observed trends in indices for daily rainfall extremes specific to the agriculture sector in Lower Vellar River sub-basin, India. J. Earth Syst. Sci. 2019, 128, 61. [Google Scholar] [CrossRef]
  22. Ahmad, I.; Zhang, F.; Tayyab, M.; Anjum, M.; Zamam, M.; Liu, J.; Farid, U.; Saddique, Q. Spatiotemporal analysis of precipitation variability in annual, seasonal and extreme values over upper Indus River basin. Atmos. Res. 2018, 213, 346–360. [Google Scholar] [CrossRef]
  23. Tuğrul, T.; Hinis, M.A. Trend analysis of hydrological and meteorological drought in Apa Dam, Türkiye. Environ. Earth Sci. 2024, 83, 502. [Google Scholar] [CrossRef]
  24. Yilmaz, B. Analysis of hydrological drought trends in the gap region (Southeastern Turkey) by Mann Kendall test and Innovative Şen method. Appl. Ecol. Environ. Res. 2019, 17, 3325–3342. [Google Scholar] [CrossRef]
  25. Katipoğlu, O.M.; Yeşilyurt, S.N.; Dalkılıç, H.Y. Trend analysis of hydrological droughts in Yeşilırmak basin by Mann Kendall and Sen Innovative Trend Analysis. GUFBD 2022, 12, 422–442. [Google Scholar]
  26. Duman, E.; Karataş, A. Yukari Yeşilırmak Havzası’nın Hidroklimatolojisi; Gece Kitaplığı: İstanbul, Türkiye, 2022. [Google Scholar]
  27. Temur, T. Türkiye’de İklim Değişikliğinin Zaman Serileri ile Analizi; Republic of Turkey Ministry of Forestry and Water Affairs: Ankara, Türkiye, 2017. [Google Scholar]
  28. McGhee, J.W. Introductory Statistics; West Publishing Co.: New York, NY, USA, 1985. [Google Scholar]
  29. Adeloye, A.J.; Montaseri, M. Preliminary streamflow data analyses prior to water resources planning study. Hydrol. Sci. J. 2002, 47, 679–692. [Google Scholar] [CrossRef]
  30. Dougherty, C. STATISTICAL TABLES Cumulative Normal Distribution; Oxford University Press: Oxford, UK, 2022. [Google Scholar]
  31. Hirsch, R.; Slack, J.; Smith, R. Techniques of trend analysis for monthly water quality data. Water Resour. Res. 1982, 18, 107–121. [Google Scholar] [CrossRef]
  32. Yu, Y.S.; Zou, S.; Whittemore, D. Non-parametric trend analysis of water quality data of rivers in Kansas. J. Hydrol. 1993, 150, 61–80. [Google Scholar] [CrossRef]
  33. Berhail, S.; Tourki, M.; Merrouche, I.; Bendekiche, H. Geo-statistical assessment of meteorological drought in the context of climate change: Case of the Macta basin (Northwest of Algeria). Model. Earth Syst. Environ. 2022, 8, 81–101. [Google Scholar] [CrossRef]
  34. Dutta Roy, A. Trend detection in temperature and rainfall over Rajasthan during the last century. Asian J. Res. Social. Sci. Humanit. 2015, 5, 12–26. [Google Scholar]
  35. Şen, Z. Trend identification simulation and application. J. Hydrol. Eng. 2013, 19, 635–642. [Google Scholar] [CrossRef]
  36. Serencam, U. Innovative trend analysis of total annual rainfall and temperature variability case study: Yesilirmak region, Turkey. Arab. J. Geosci. 2019, 12, 704. [Google Scholar] [CrossRef]
  37. Şan, M. Combined innovative trend analysis methods for seasonal trend testing. J. Hydrol. 2025, 649, 132418. [Google Scholar] [CrossRef]
  38. Dong, Z.; Jia, W.; Sarukkalige, R.; Fu, G.; Meng, Q.; Wang, Q. Innovative trend analysis of air temperature and precipitation in the Jinsha River Basin, China. Water 2020, 12, 3293. [Google Scholar] [CrossRef]
  39. Alifujiang, Y.; Abuduwaili, J.; Ge, Y. Trend analysis of annual and seasonal river runoff by using Innovative Trend Analysis with Significant Test. Water 2021, 13, 95. [Google Scholar] [CrossRef]
Figure 1. Location of the Yeşilırmak Basin and Meteorological Stations.
Figure 1. Location of the Yeşilırmak Basin and Meteorological Stations.
Water 17 03532 g001
Figure 2. Sample Trend Visualization Using the ITA Method.
Figure 2. Sample Trend Visualization Using the ITA Method.
Water 17 03532 g002
Figure 3. Annual Temperature Trends.
Figure 3. Annual Temperature Trends.
Water 17 03532 g003
Figure 4. Annual Precipitation Trends.
Figure 4. Annual Precipitation Trends.
Water 17 03532 g004
Figure 5. Visual climate analysis for Tokat Station.
Figure 5. Visual climate analysis for Tokat Station.
Water 17 03532 g005
Figure 6. Visual climate analysis for Dökmetepe Station.
Figure 6. Visual climate analysis for Dökmetepe Station.
Water 17 03532 g006
Table 1. Meteorological Stations and Annual Average Temperature Values (°C).
Table 1. Meteorological Stations and Annual Average Temperature Values (°C).
Station NameStation NoLatitudeLongitudeAnnual Average Temperature (°C)Data Range
Tokat1708636°33′27.6″40°19′52.2″12.51975–2012
Turhal1768336°05′49.8″40°22′30.9″12.8
Dökmetepe1855236°17′2.32″40°16′1.7″12.2
Zile1768135°53′25.8″40°17′45.6″11.8
Reşadiye1814637°19′33.0″40°23′54.0″11.4
Table 2. Meteorological Stations and Annual Total Precipitation Values (mm).
Table 2. Meteorological Stations and Annual Total Precipitation Values (mm).
Station NameStation NoLatitude LongitudeAnnual Total Precipitation (mm)Data Range
Almus1814536°54′28.0″40°21′59.0″541.71975–2012
Turhal1768336°05′49.8″40°22′30.9″453.1
Dökmetepe1855236°17′2.32″40°16′1.7″439.2
Amasya1708535°50′07.2″40°40′00.6″467.3
Table 3. Confidence Interval Values [30].
Table 3. Confidence Interval Values [30].
Special Critical Values: P (Z ≥ za) = (α)
A(z)0.100.050.0250.010.0050.0010.00050.0001
za1.28161.64491.96002.32632.5763.0903.2913.7190
Table 4. Classification of Mann–Kendall Z Values [34].
Table 4. Classification of Mann–Kendall Z Values [34].
Z ValuesSignificance of the Trend
>1.65Increasing trend with a confidence level greater than 90%
1.64 to 0.84Increasing trend with a confidence level between 80% and 90%
0.83 to 0.52Increasing trend with a confidence level between 70% and 80%
0.52 to 0.00Increasing trend (statistically insignificant)
0.00 to −0.52Decreasing trend (statistically insignificant)
−0.52 to −0.83Decreasing trend with a confidence level between 70% and 80%
−0.84 to −1.64Decreasing trend with a confidence level between 80% and 90%
<−1.65Decreasing trend with a confidence level greater than 90%
Table 5. Randomness Test Results for Average Temperature.
Table 5. Randomness Test Results for Average Temperature.
Station NameZ ValueResult
Tokat −3.95Non-Random (Persistent)
Turhal−2.91Non-Random (Persistent)
Dökmetepe−2.91Non-Random (Persistent)
Zile−4.28Non-Random (Persistent)
Reşadiye−4.28Non-Random (Persistent)
Table 6. Randomness Test Results for Average Precipitation.
Table 6. Randomness Test Results for Average Precipitation.
Station NameZ ValueResult
Almus−2.96Non-Random (Persistent)
Tokat−3.29Non-Random (Persistent)
Dökmetepe−2.30Non-Random (Persistent)
Amasya−3.95Non-Random (Persistent)
Table 7. Mann–Kendall Trend Analysis Results for Seasonal and Annual Average Temperature.
Table 7. Mann–Kendall Trend Analysis Results for Seasonal and Annual Average Temperature.
Spring Summer
Station NameZ Value
Tokat1.124.46
Turhal−0.152.21
Dökmetepe−0.062.15
Zile1.803.07
Reşadiye1.863.17
AutumnWinter
Tokat2.340.41
Turhal1.20−0.22
Dökmetepe1.14−0.17
Zile2.451.05
Reşadiye2.530.99
Annual
Tokat3.11
Turhal1.20
Dökmetepe1.24
Zile2.48
Reşadiye2.48
Table 8. MK Trend Analysis Results of Seasonal and Annual Mean Precipitation.
Table 8. MK Trend Analysis Results of Seasonal and Annual Mean Precipitation.
Spring Summer
Station NameZ Value
Almus0.15−0.16
Tokat0.810.44
Dökmetepe0.22−0.51
Amasya0.960.79
AutumnWinter
Almus1.10−0.64
Tokat1.600.10
Dökmetepe1.45−0.57
Amasya1.780.13
Annual
Almus0.49
Tokat1.81
Dökmetepe0.35
Amasya2.59
Disclaimer/Publisher’s Note: The statements, opinions and data contained in all publications are solely those of the individual author(s) and contributor(s) and not of MDPI and/or the editor(s). MDPI and/or the editor(s) disclaim responsibility for any injury to people or property resulting from any ideas, methods, instructions or products referred to in the content.

Share and Cite

MDPI and ACS Style

Pinarlik, M. Climograph-Supported Assessment of Temperature–Precipitation Trends Using Classical and Innovative Statistical Methods in the Yeşilırmak Basin, Türkiye. Water 2025, 17, 3532. https://doi.org/10.3390/w17243532

AMA Style

Pinarlik M. Climograph-Supported Assessment of Temperature–Precipitation Trends Using Classical and Innovative Statistical Methods in the Yeşilırmak Basin, Türkiye. Water. 2025; 17(24):3532. https://doi.org/10.3390/w17243532

Chicago/Turabian Style

Pinarlik, Murat. 2025. "Climograph-Supported Assessment of Temperature–Precipitation Trends Using Classical and Innovative Statistical Methods in the Yeşilırmak Basin, Türkiye" Water 17, no. 24: 3532. https://doi.org/10.3390/w17243532

APA Style

Pinarlik, M. (2025). Climograph-Supported Assessment of Temperature–Precipitation Trends Using Classical and Innovative Statistical Methods in the Yeşilırmak Basin, Türkiye. Water, 17(24), 3532. https://doi.org/10.3390/w17243532

Note that from the first issue of 2016, this journal uses article numbers instead of page numbers. See further details here.

Article Metrics

Back to TopTop