Migration and Heating Mechanisms of Deep-Cyclogenic Thermal Water in Geothermal-Anomaly Mines
Abstract
1. Introduction
2. Materials and Methods
2.1. Geological Background and Thermal Hazard Phenomenon
2.2. Temperature Logging Date
2.3. Geothermal Gradient Calculation
2.4. Rock Thermal Conductivity
2.5. Heat Flow Calculation
2.6. Numerical Simulation Control Equations
3. Results and Discussion
3.1. Current Geothermal Field Distribution Characteristics
3.1.1. Geothermal Gradient
3.1.2. Heat Flow
3.2. Research on Thermogenic Mechanism
3.2.1. Temperature Control Mode and Temperature Profile Curve
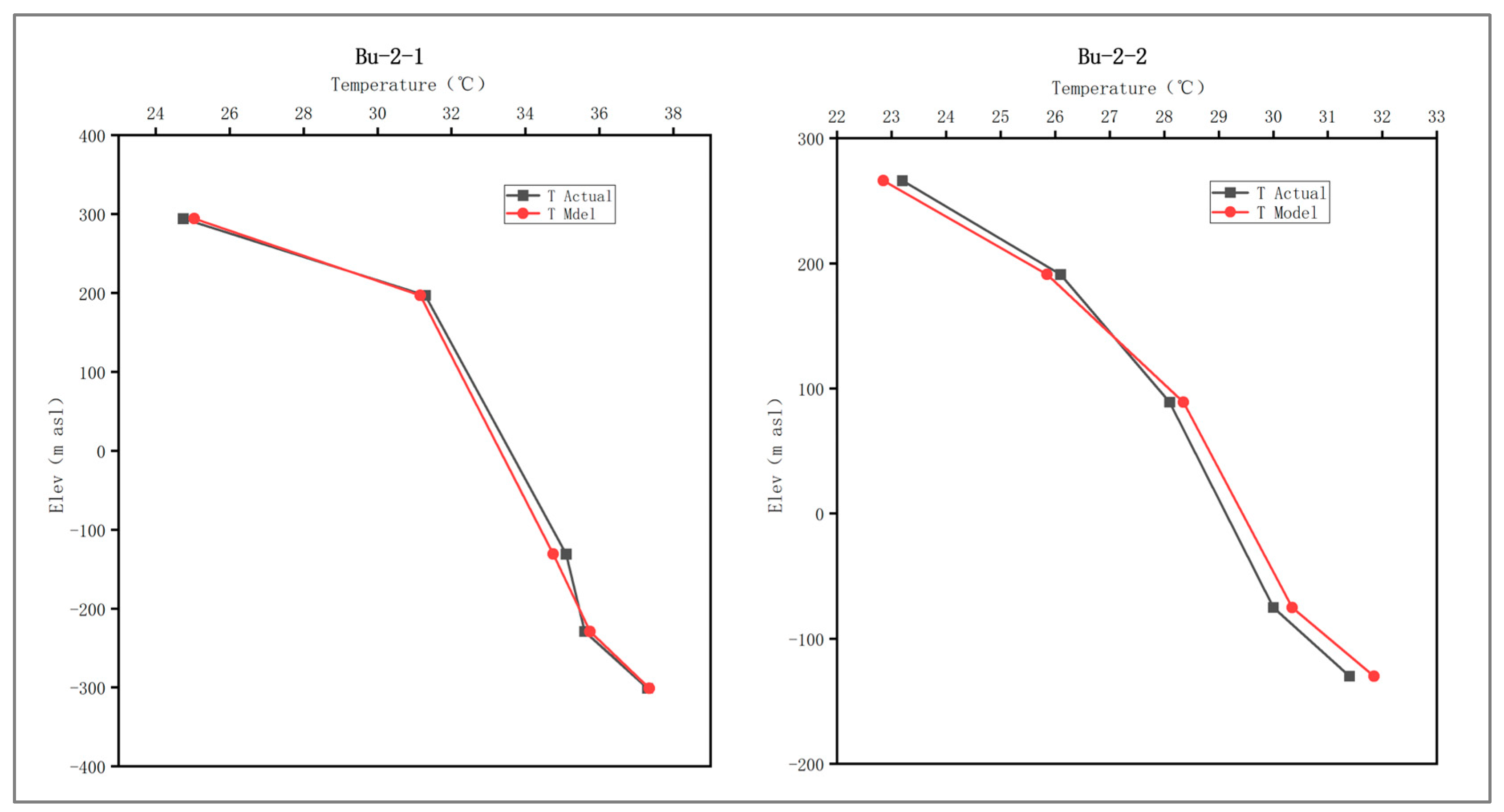
3.2.2. Numerical Simulation
4. Conclusions
Author Contributions
Funding
Data Availability Statement
Conflicts of Interest
References
- Jiyang, W.; Zhonghe, P.; Yuanzhi, C.; Yonghui, H.; Guangzheng, J.; Zhenneng, L.; Yanlong, K. Global geothermal energy development and utilization: Current status and prospects. Sci. Technol. Rev. 2023, 41, 5–11. [Google Scholar]
- Wang, J.Y.; Kong, Y.L.; Duan, Z.F.; Jixiong, Z.; Xilian, L.; Yonghui, H.; Naning, L.; Yuanzhi, C.; Nan, Z.; Weizun, Z.; et al. Geothermal energy exploitation and storage in coal field under the dual carbon goal. Coal Geol. Explor. 2023, 51, 1–11. [Google Scholar]
- Cai, M.F.; Xue, D.L.; Ren, F.H. Current status and development strategy of metal mines. Chin. J. Eng. 2019, 41, 417–426. [Google Scholar]
- Wang, C.; Lu, S.; Li, M.; Zhang, Y.; Sa, Z.; Liu, J.; Wang, H. Study on the dust removal and temperature reduction coupling performances of magnetized water spray. Environ. Sci. Pollut. Res. 2022, 29, 6151–6165. [Google Scholar] [CrossRef]
- Chen, W.; Liang, S.Q.; Liu, J. Proposed split-type vapor compression refrigerator for heat hazard control in deep mines. Appl. Therm. Eng. 2016, 105, 425–435. [Google Scholar] [CrossRef]
- Xu, Y.; Chen, L.; Zhang, J.; Haiwei, J. Research Progress of Heat Damage Prevention and Control Technology in Deep Mine. Sustainability 2025, 17, 6200. [Google Scholar] [CrossRef]
- Guo, Q.H. Hydrogeochemistry of high-temperature geothermal systems in China: A review. Appl. Geochem. 2012, 27, 1887–1898. [Google Scholar] [CrossRef]
- Yang, P.; Cheng, Q.; Xie, S.; Wang, J.; Chang, L.; Yu, Q.; Zhan, Z.; Chen, F. Hydrogeochemistry and geothermometry of deep thermal water in the carbonate formation in the main urban area of Chongqing, China. J. Hydrol. 2017, 549, 50–61. [Google Scholar] [CrossRef]
- Zhang, L.; Chen, S.; Zhang, C. Geothermal power generation in China: Status and prospects. Energy Sci. Eng. 2019, 7, 1428–1450. [Google Scholar] [CrossRef]
- Wang, Y.C.; Li, L.; Wen, H.G.; Hao, Y. Geochemical evidence for the nonexistence of supercritical geothermal fluids at the Yangbajing geothermal field, southern Tibet. J. Hydrol. 2022, 604, 127243. [Google Scholar] [CrossRef]
- Giambiagi, L.; Álvarez, P.; Spagnotto, S.; Godoy, E.; Lossada, A.; Mescua, J.; Barrionuevo, M.; Suriano, J. Geomechanical model for a seismically active geothermal field: Insights from the Tinguiririca volcanic-hydrothermal system. Geosci. Front. 2019, 10, 2117–2133. [Google Scholar] [CrossRef]
- Goswami, S.; Abhishek, K.; Subhasish Tripathy, R. Re-visiting Geothermal Fluid Circulation, Reservoir Depth and Temperature of Geothermal Springs of India. J. Hydrol. 2022, 610, 128131. [Google Scholar] [CrossRef]
- Wang, G.L.; Lin, W.J. Formation mechanisms and genetic models of major hydrothermal geothermal systems in China. Acta Geol. Sin. 2020, 94, 1923–1937. [Google Scholar]
- Pruess, K.; Oldenburg, C.M.; Moridis, G. TOUGH2 User’s Guide, Version 2; Lawrence Berkeley National Laboratory: Berkeley, CA, USA, 1999. [Google Scholar]
- Yin, X.X.; Lin, J.W.; Li, H.; Li, H.; Dong, L.; Yan, J.; Zhang, S.; Li, Z. Hydrothermal Control by Deep Hidden Faults on Geothermal Systems in Sedimentary Basins: A Case Study of the Cangdong Fault in the North China Basin. Acta Geol. Sin. 2025, 99, 243–257. [Google Scholar] [CrossRef]
- Yang, Z.; Luo, Z.; Han, J. Genesis Mechanism of Geothermal Water in Binhai County, Jiangsu Province, China. Water 2025, 17, 1542. [Google Scholar] [CrossRef]
- Zhen, Z.; Chuanlong, H.; Guangxiong, Q.; Baizhong, Y. Hydrogeochemical Characteristics and Genesis Analysis of High-Salinity Geothermal Water in the Haihu New District, Xining City. Geofluids 2025, 99, 243–257. [Google Scholar]
- Fan, Z.; Parashar, R. Analytical Solutions for a Wellbore Subjected to a Non-isothermal Fluid Flux: Implications for Optimizing Injection Rates, Fracture Reactivation, and EGS Hydraulic Stimulation. Rock Mech. Rock Eng. 2019, 52, 4715–4729. [Google Scholar] [CrossRef]
- Fan, Z.; Eichhubl, P.; Newell, P. Basement fault reactivation by fluid injection into sedimentary reservoirs: Poroelastic effects. J. Geophys. Res. Solid. Earth 2019, 124, 7354–7369. [Google Scholar] [CrossRef]
- Peng, T.; Liu, K.X.; Chen, Y.; Wang, F.; Li, B. Main Controlling Factors and Formation Mode of Geothermal Anomaly in Eastern Chenghe Mining Area of Weibei Coalfield. Geofluids 2022, 2022, 3209790. [Google Scholar] [CrossRef]
- Wang, Z.T.; Zhang, C.; Jiang, G.Z.; Hu, J.; Tang, X.C.; Hu, S.B. Characteristics and genetic mechanism of the present-day geothermal field in the Xiong’an New Area. Chin. J. Geophys. 2019, 62, 4313–4322. [Google Scholar]
- Hong, Y.M. Logging Principles and Comprehensive Interpretation; China University of Petroleum Press: Dongying, China, 1993; p. 38. [Google Scholar]
- Wang, H.Y.; Liu, S.W.; Lei, X. Characteristics of the present-day geothermal field in the Lower Yangtze region of South China. J. China Coal Soc. 2013, 38, 896–900. [Google Scholar]
- Rao, S.; Hu, S.B.; Zhu, C.Q.; Xiao-Yin, T.; Wei-Wei, L.; Ji-Yang, W. The characteristics of heat flow and lithospheric thermal structure in Junggar Basin, northwest China. Chin. J. Geophys. 2013, 56, 2760–2770. [Google Scholar]
- Tan, J.Q.; Ju, Y.W.; Hou, Q.L.; Zhang, W. Distribution characteristics of the present-day geothermal field and its influencing factors in Sulin Mining Area, Huaibei Coalfield. Chin. J. Geophys. 2009, 52, 732–739. [Google Scholar]
- Zhong, S.X. Discussion on the correction of simple temperature logging curves. Coal Geol. Explor. 1985, 4, 48–51. [Google Scholar]
- Luo, Y.; Ju, Y.W.; Tan, J.Q. Characteristics of the present-day geothermal field and prediction of high-temperature thermal hazards in the Suntan-Zhaoji Exploration Area. J. Grad. Univ. Chin. Acad. Sci. 2011, 28, 734–739. [Google Scholar]
- Tan, J.Q.; Ju, Y.W.; Zhang, W.Y.; Hou, Q.; Tan, Y. Terrestrial heat flow in the central-southern Huaibei Coalfield and its implications for coalbed methane resources. Sci. China Ser. D Earth Sci. 2010, 40, 855–865. [Google Scholar]
- Mraidi, I.; El Asmi, A.M.; Skanji, A.; El Asmi, K.; Saidi, M. New insights on source rock maturation in the southern Gulf of Gabes (Tunisia) via 1-D modeling: Effect of combined corrected borehole temperature and thermal conductivity on heat flow distribution. Arab. J. Geosci. 2021, 14, 773. [Google Scholar] [CrossRef]
- Boumehdi, M.; Hahou, Y.; Amrouch, K.; Berkat, N.E. New assessment of geothermal resources in Morocco: Evaluation of the curie point depth method using magnetic data for geothermal gradient and heat flow estimation. Sci. Afr. 2025, 28, e02726. [Google Scholar] [CrossRef]
- He, Z.G.; Liu, C.Y.; Zhao, J.F. A Study on Geothermal Field and Its Geological Significance in Southern Area of the North China Craton. Geol. Review. 2009, 55, 428–433. [Google Scholar]
- Qi, K. A Preliminary Study on the Meso-Cenozoic Thermal Regime and Lithospheric Dynamic Evolution of the Ordos Basin. Ph.D. Thesis, Northwest University, Xi’an, China, 2018. [Google Scholar]
- Wang, Z.T.; Gu, C.C.; Lu, H.F.; Wang, Y.B.; Hu, S.B.; Jiang, G.Z.; Zhang, C. Impact of thrust nappe structures on regional geothermal field distribution in the Lianghuai area. Earth Sci. Front. 2025, 1–18. [Google Scholar] [CrossRef]
- Sun, Z.X.; Zhang, W.; Hu, B.Q.; Pan, T.-Y. Terrestrial heat flow and geothermal field characteristics in the Qinshui Basin. Chin. J. Geophys. 2006, 49, 130–134. [Google Scholar]
- Wang, J.Y.; Huang, S.P. Compilation of terrestrial heat flow data in the Chinese mainland (2nd edition). Seismol. Geol. 1990, 4, 351–366. [Google Scholar]
- Pang, Z.H.; Duan, Z.F. Accumulation patterns and exploitation and utilization targets of geothermal resources in the coal-bearing area in North China. Coal Geol. Explor. 2024, 52, 14–22. [Google Scholar]
- Liu, F.; Wang, G.L.; Jiang, G.Z.; Hu, S.B.; Zhang, W.; Lin, W.J.; Liu, J.H.; Zhang, X.Y.; Qu, Z.W.; Liao, C.Z. New progress and insights into terrestrial heat flow measurements in continental China. Earth Sci. Front. 2024, 31, 19–30. [Google Scholar]
- Wang, Y.; Lin, W.; Lu, R.; Zhu, J. Terrestrial heat flow and heat controlling factors in the northeastern Tibetan Plateau: A case study of Gonghe Basin. Renewable 2025, 256, 124038. [Google Scholar] [CrossRef]
- Li, Z.J.; Xu, Y.; Jia, M.T.; Liu, H.; Pan, W.; Deng, Y. Numerical simulation of collaborative mining of deep mine stratum geothermal energy and heat hazard control. J. Cent. South Univ. Sci. Technol. 2021, 52, 671–680. [Google Scholar]
- Schweizer, D.; Prommer, H.; Blum, P.; Siade, A.J.; Butscher, C. Reactive transport modeling of swelling processes in clay-sulfate rocks. Water Resour. Res. 2018, 54, 6543–6565. [Google Scholar] [CrossRef]
- Yu, H.; Xu, T.; Yuan, Y.; Gherardi, F.; Tian, H. Numerical analysis of coupled thermal-hydraulic processes based on the embedded discrete fracture modeling method. Appl. Therm. Eng. 2024, 253, 123765. [Google Scholar] [CrossRef]
- Wang, K.; Zhou, J.; Ma, Y.; Ding, A.; Chen, X. Constitutive and numerical modeling for the coupled thermal-hydro-mechanical processes in dual-porosity geothermal reservoir. Appl. Therm. Eng. 2023, 223, 120027. [Google Scholar] [CrossRef]
- Chen, Q.Y.; Wang, F. Mathematical modeling and numerical simulation of water-rock interaction in shale under fracturing-fluid flowback conditions. Water Resour. Res. 2021, 57, e2020WR029537. [Google Scholar] [CrossRef]
- Zeng, Z.; Shen, W.; Wang, M.; Li, Z.; Wang, X.; Ding, J. Numerical simulation of multi-field coupling in geothermal reservoir heat extraction of enhanced geothermal systems. J. Pet. Explor. Prod. Technol. 2024, 14, 1631–1642. [Google Scholar] [CrossRef]
- Keintjem, R.J.; Pratama, H.B.; Tawakal, A.; Wardana, A.P.; Hamdani, M.R.; Abdillah, Y.Z. Assessment of Bedugul Geothermal Prospect Using A Numerical Reservoir Modeling. Indones. J. Geosci. 2023, 10, 181–200. [Google Scholar] [CrossRef]
- Huang, X.; Zeng, Y.; Lu, S.; Lu, G.; Ou, H.; Wang, B. Formation and Evolution Mechanisms of Geothermal Waters Influenced by Fault Zones and Ancient Lithology in the Yunkai Uplift, Southern China. Water 2025, 17, 1885. [Google Scholar] [CrossRef]
- Yuan, W.; Xing, Y.; Wei, M.; Guo, X.; Liu, J.; Gao, J.; Zhang, C.; Zhai, Y. Hydrochemical Characteristics and Indication to Geothermal Genesis of Low–Medium-Temperature Convection Geothermal Field in Yanshan Orogenic Basin, China. Water 2024, 16, 433. [Google Scholar] [CrossRef]
- Liu, X.; Luo, X.; Liu, S.; Zhang, P.; Li, M.; Pan, Y. A Numerical Investigation of the Nonlinear Flow and Heat Transfer Mechanism in Rough Fractured Rock Accounting for Fluid Phase Transition Effects. Water 2024, 16, 342. [Google Scholar] [CrossRef]









| Boreholes | Sample Number | Depth (m) | Lithology | Thermal Conductivity (W/(m·°C)) |
|---|---|---|---|---|
| XC-1 | XC1-1 | 136–138 | Fine Sandstone | 2.41 |
| XC1-2 | 178–181 | Medium Sandstone | 2.72 | |
| XC1-3 | 338–340 | Sandy Mudstone | 2.89 | |
| XC1-4 | 345–347 | Coarse sandstone | 3.60 | |
| XC1-5 | 493–496 | Sandy Mudstone | 4.14 | |
| XC1-6 | 509–511 | Siltstone | 4.59 | |
| XC1-7 | 524–525 | Fine Sandstone | 3.43 | |
| XC1-8 | 558–570 | Carbonaceous mudstone | 2.63 | |
| XC1-9 | 571–579 | Fine Sandstone | 4.12 | |
| XC1-10 | 587 | Carbonaceous mudstone | 3.06 | |
| XC1-11 | 604 | Sandy Mudstone | 5.07 | |
| XC-2 | XC2-1 | 127–130 | Siltstone | 4.12 |
| XC2-2 | 145–148 | Sandy Mudstone | 2.24 | |
| XC2-3 | 154–157 | Sandy Mudstone | 3.98 | |
| XC2-4 | 162–163 | Siltstone | 2.79 | |
| XC2-5 | 280–290 | Sandy Mudstone | 3.75 | |
| XC2-6 | 334–340 | Fine Sandstone | 3.99 | |
| XC2-7 | 406–409 | Fine Sandstone | 2.24 | |
| XC2-8 | 415–418 | Medium Sandstone | 3.98 | |
| XC2-9 | 421–424 | Fine Sandstone | 2.79 | |
| XC2-10 | 436–439 | Fine Sandstone | 3.29 | |
| XC2-11 | 442–444 | Sandy Mudstone | 2.56 | |
| XC2-12 | 465–470 | Sandy Mudstone | 1.95 |
| Boreholes | Block Range (m) | Geothermal Gradient (°C/hm) | Lithological Proportion/% | Heat Flow (mW/m2) | |
|---|---|---|---|---|---|
| Shale + Sandy Shale Shale + Coal | Fine Sandstone | ||||
| 40-1 | 136.7–510.16 | 2.9 | 0.65 | 0.35 | 77.087 |
| 40-2 | 118–532.44 | 3.3 | 0.61 | 0.39 | 88.086 |
| 41-2 | 108–492.7 | 3.5 | 0.39 | 0.61 | 95.724 |
| 41-3 | 130.42–423.22 | 4.58 | 0.71 | 0.29 | 120.976 |
| 42-1 | 134.43–531.90 | 3 | 0.71 | 0.29 | 79.230 |
| 42-2 | 98.13–439.1 | 3 | 0.90 | 0.10 | 77.575 |
| 42-3 | 104.28–385.79 | 4.85 | 0.68 | 0.32 | 128.489 |
| 43-1 | 107.16–490.10 | 3 | 0.71 | 0.29 | 79.173 |
| 43-2 | 70.65–424.38 | 2.8 | 0.62 | 0.38 | 74.659 |
| 43-3 | 109.75–385.70 | 3.7 | 0.81 | 0.19 | 96.688 |
| CH209 | 77.0–429.50 | 3.34 | 0.00 | 1.00 | 95.524 |
| CH210 | 84–508.8 | 3 | 0.07 | 0.93 | 85.128 |
| CH211 | 119.5–464.8 | 2.71 | 0.52 | 0.48 | 73.050 |
| J1-1 * | 123.1–541.12 | 2.7 | 0.56 | 0.44 | 72.441 |
| J1-2 | 128.65–510.03 | 2.9 | 0.41 | 0.59 | 79.102 |
| J2-1 | 143.41–556.80 | 3 | 0.59 | 0.41 | 80.214 |
| J2-2 | 118–538.22 | 3.2 | 0.53 | 0.47 | 86.203 |
| J2-3 | 129.5–513.38 | 3.5 | 0.56 | 0.44 | 93.900 |
| J3-1 | 130.5–552.22 | 2.9 | 0.72 | 0.28 | 76.468 |
| J3-2 | 113.45–535.46 | 3 | 0.66 | 0.34 | 79.608 |
| J3-3 | 132.74–519.28 | 2.7 | 0.66 | 0.34 | 71.692 |
| J3-4 | 116.49–491.17 | 2.95 | 0.71 | 0.29 | 77.868 |
| J3-5 | 136.5–444.89 | 3.6 | 0.82 | 0.18 | 93.890 |
| J4-1 | 104.8–529.87 | 2.7 | 0.70 | 0.30 | 71.347 |
| J4-2 | 113.64–491.92 | 1.4 | 0.71 | 0.29 | 69.952 |
| J4-3 | 119.2–478.15 | 3.3 | 0.51 | 0.49 | 89.060 |
| J4-4 | 124–446 | 3.8 | 0.89 | 0.11 | 98.366 |
| J4-5 | 122.12–409.67 | 3.9 | 0.79 | 0.21 | 102.129 |
| J5-1 | 109–501.01 | 3.5 | 0.52 | 0.48 | 94.307 |
| J5-2 | 116.4–492.79 | 2.5 | 0.60 | 0.40 | 66.806 |
| J5-3 | 107.55–443.95 | 3.3 | 0.52 | 0.48 | 88.941 |
| J5-4 | 113–403.55 | 4.2 | 0.95 | 0.05 | 108.089 |
| J5-5 | 106–371.04 | 3.8 | 0.80 | 0.20 | 99.368 |
| J6-1 | 99.5–482.75 | 3.7 | 0.71 | 0.29 | 97.718 |
| J6-2 | 115.9–460.72 | 3.4 | 0.61 | 0.39 | 90.771 |
| J6-3 | 108.4–410.85 | 4.1 | 0.69 | 0.31 | 108.472 |
| J6-4 | 124–388.77 | 3.5 | 0.62 | 0.38 | 93.326 |
| J7-1 | 110.95–455.35 | 4 | 0.59 | 0.41 | 106.960 |
| J7-2 | 101.22–435.2 | 4.4 | 0.69 | 0.31 | 116.444 |
| J7-3 | 113.5–390.52 | 3.4 | 0.80 | 0.20 | 88.915 |
| J8-1 | 91–529.94 | 3.7 | 0.58 | 0.42 | 99.115 |
| J8-2 | 99–326.26 | 4.7 | 0.60 | 0.40 | 125.550 |
| J9-1 * | 84–502.64 | 3.5 | 0.61 | 0.39 | 93.462 |
| XC1 | 120.3-541.7 | 3.29 | 0.58 | 0.42 | 88.090 |
| XC2 | 120.08–417.58 | 4.28 | 0.70 | 0.30 | 113.175 |
| Rock Formation | Thermal Conductivity (W/(m·K)) | Density (kg/m3) | Specific Heat Capacity (J/(kg·K)) | Specific Heat Rate (1) | Permeability (m2) | Porosity (1) | Dynamic Viscosity (Pa·s) |
|---|---|---|---|---|---|---|---|
| Unconsolidated Layer | 2.0 | 2000 | 1000 | ||||
| Shihezi Formation, Shanxi Formation | 2.5 | 2500 | 1000 | ||||
| Taiyuan Formation, Ordovician Limestone Aquifer | 2.5 | 2500 | 1500 | 1 | 1 × 10−11 | 0.2 | |
| Fault | 2.5 | 2000 | 2000 | 1 | 1 × 10−10 | 0.3 | 1 × 10−6 |
Disclaimer/Publisher’s Note: The statements, opinions and data contained in all publications are solely those of the individual author(s) and contributor(s) and not of MDPI and/or the editor(s). MDPI and/or the editor(s) disclaim responsibility for any injury to people or property resulting from any ideas, methods, instructions or products referred to in the content. |
© 2025 by the authors. Licensee MDPI, Basel, Switzerland. This article is an open access article distributed under the terms and conditions of the Creative Commons Attribution (CC BY) license (https://creativecommons.org/licenses/by/4.0/).
Share and Cite
Peng, T.; Wang, M.; Gao, X.; Cai, S.; Deng, Y.; Wang, S.; Ren, Z.; Chen, Y. Migration and Heating Mechanisms of Deep-Cyclogenic Thermal Water in Geothermal-Anomaly Mines. Water 2025, 17, 3298. https://doi.org/10.3390/w17223298
Peng T, Wang M, Gao X, Cai S, Deng Y, Wang S, Ren Z, Chen Y. Migration and Heating Mechanisms of Deep-Cyclogenic Thermal Water in Geothermal-Anomaly Mines. Water. 2025; 17(22):3298. https://doi.org/10.3390/w17223298
Chicago/Turabian StylePeng, Tao, Mengmeng Wang, Xin Gao, Shaofei Cai, Yuehua Deng, Shengquan Wang, Ziqiang Ren, and Yue Chen. 2025. "Migration and Heating Mechanisms of Deep-Cyclogenic Thermal Water in Geothermal-Anomaly Mines" Water 17, no. 22: 3298. https://doi.org/10.3390/w17223298
APA StylePeng, T., Wang, M., Gao, X., Cai, S., Deng, Y., Wang, S., Ren, Z., & Chen, Y. (2025). Migration and Heating Mechanisms of Deep-Cyclogenic Thermal Water in Geothermal-Anomaly Mines. Water, 17(22), 3298. https://doi.org/10.3390/w17223298

