Pollution Characteristics of Typical Pesticides and Multi-Level Ecological Risk Assessment in the Jiujiang Port Basin
Abstract
1. Introduction
2. Materials and Methods
2.1. Materials
2.2. Study Area and Sampling
2.3. Sample Pretreatment
- (1)
- Extraction of NEOs, TPs, and Cas: A 500 mL filtered water sample was spiked with 0.2 g of Na2EDTA and 5 ng of deuterated internal standards (including thiamethoxam-d3, imidacloprid-d3, thiacloprid-d3, clothianidin-d3, acetamiprid-d3, triadimefon-d4, atrazine-d3, and carbofuran-d3). The mixture was then loaded onto an Oasis HLB solid-phase extraction cartridge (6 cc, 500 mg) for enrichment and cleanup. Prior to extraction, the cartridge was conditioned with 5 mL of methanol followed by 5 mL of ultrapure water. The sample loading flow rate was maintained at approximately 3 mL/min. After loading, the cartridge was rinsed with 12 mL ultrapure water and dried under vacuum. Elution was performed using 6 mL of ammonia–methanol solution (5:95, v/v). The eluate was concentrated to near dryness under a gentle nitrogen stream at 40 °C, reconstituted in 1 mL of acetonitrile–water solution (10:90, v/v), and filtered through a 0.22 μm membrane into a brown glass vial for analysis.
- (2)
- Extraction of OPPs: A 500 mL filtered water sample was fortified with 5 ng of deuterated internal standard (fenthion-d6) and processed using an LC-18 solid-phase extraction cartridge (500 mg, 6 cc). The cartridge was preconditioned with 10 mL of methanol and 10 mL of ultrapure water. The sample was passed through the cartridge at a flow rate of approximately 3 mL/min. After sample loading, the cartridge was washed with 12 mL of ultrapure water, dried under vacuum, and eluted with 6 mL of methanol. The eluate was concentrated to near dryness under nitrogen at 40 °C, reconstituted in 1 mL of methanol–water solution (10:90, v/v), filtered through a 0.22 μm membrane, and transferred to a brown vial for subsequent analysis.
2.4. Sample Analysis
2.5. Quality Control
2.6. Ecological Risk Assessment
2.6.1. Toxicity Data Screening
2.6.2. Risk Quotient Method
2.6.3. Semi-Probabilistic Risk Assessment
2.6.4. Joint Probability Curves
3. Results and Discussion
3.1. Pollution Characteristics of Typical Pesticides in Jiujiang Port Area
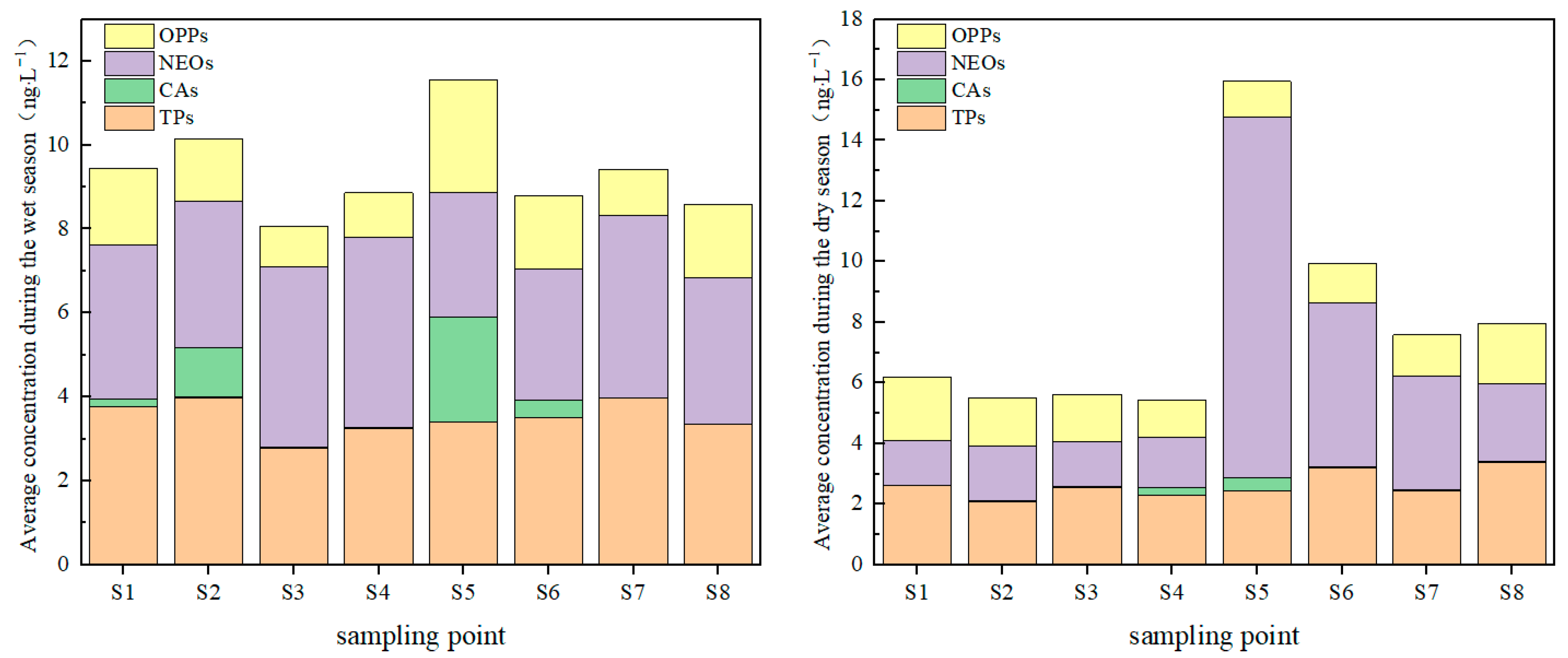
3.2. Spatiotemporal Distribution
3.3. Ecological Risk Assessment of Typical Pesticides
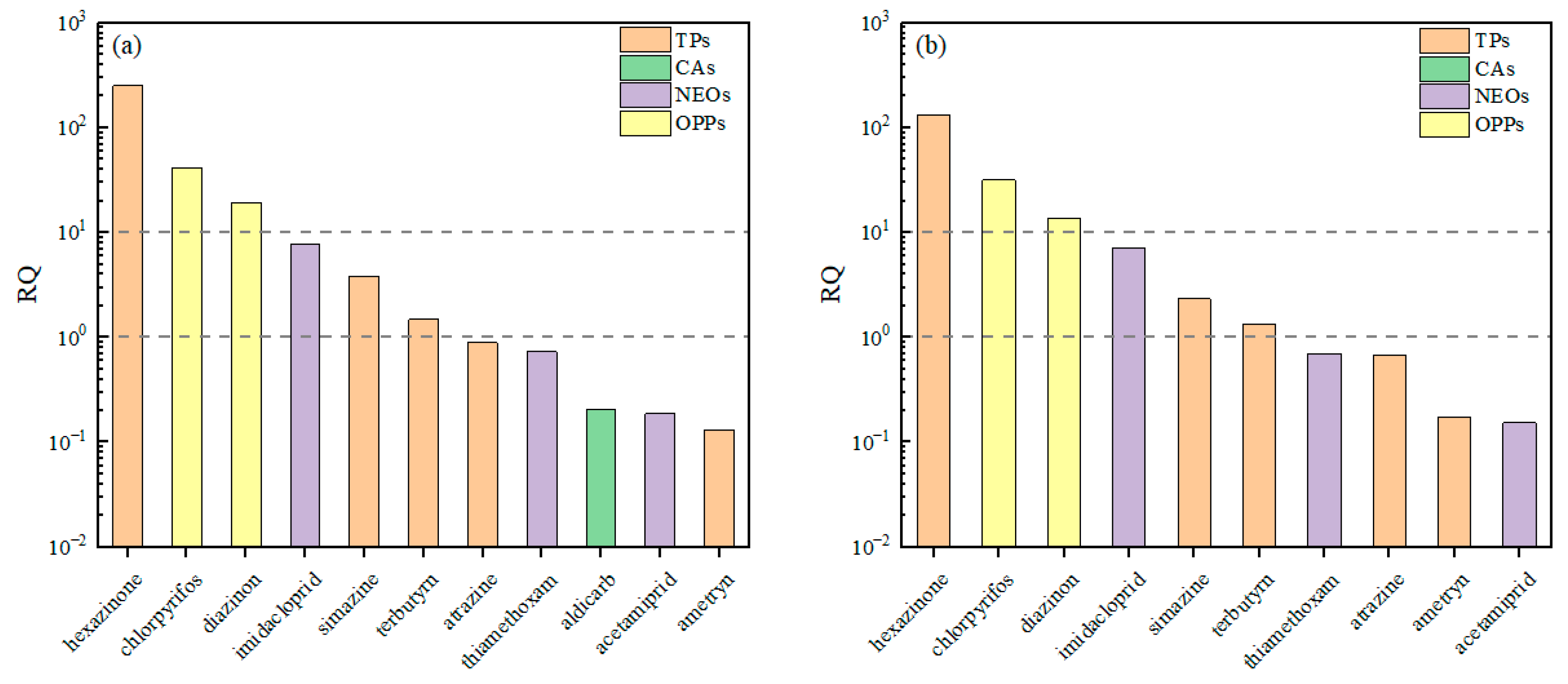
3.3.1. Results of Risk Quotient
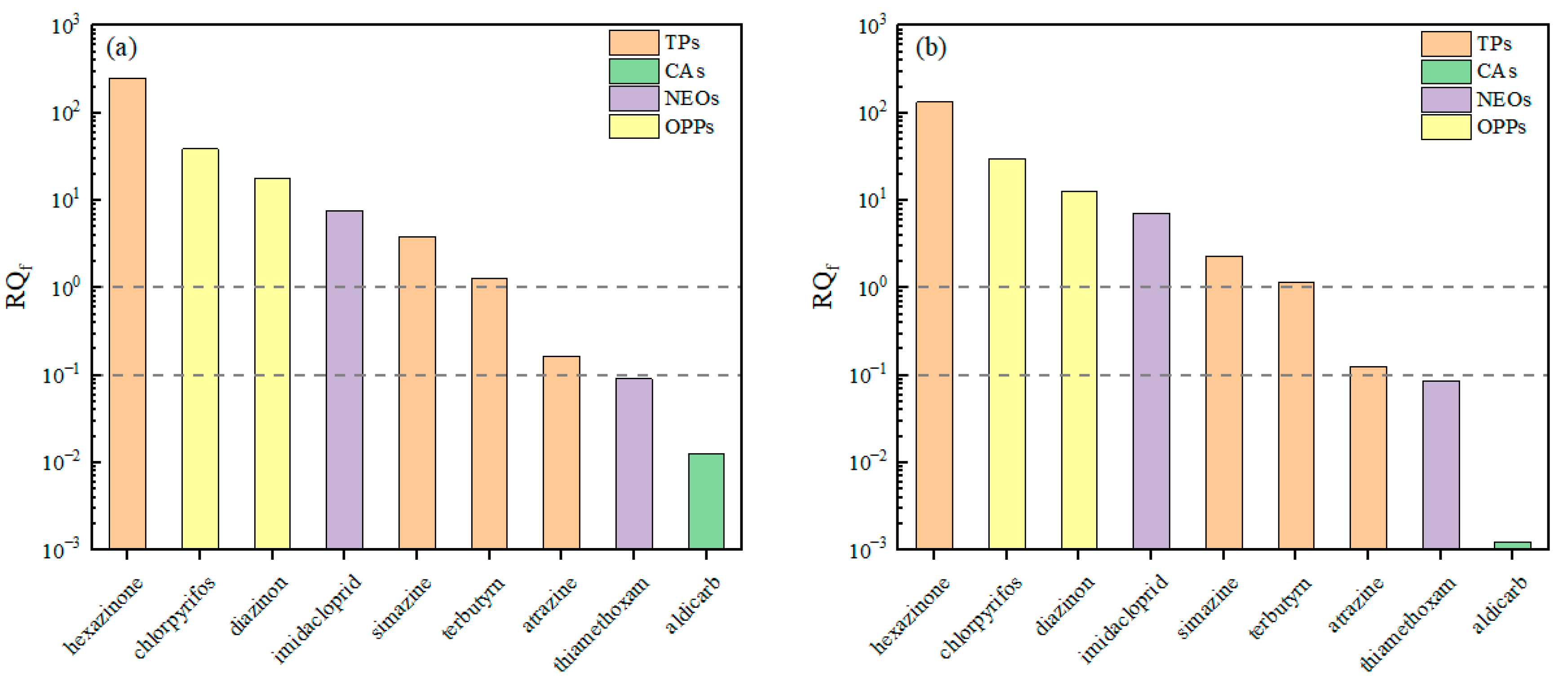
3.3.2. Results of Semi-Probabilistic Risk Assessment
3.3.3. Results of Joint Probability Curves
3.4. Comparison with Regulatory Standards and Implications
4. Conclusions
Author Contributions
Funding
Data Availability Statement
Conflicts of Interest
References
- Gouin, N.; Bertin, A.; Snow, D.D.; Lozada, A.; Grandjean, F.; Kolok, A.S. Occurrence and environmental risk assessment of pesticides reveal important threats to aquatic organisms in precordilleran rivers of north-central Chile. Sci. Total Environ. 2025, 984, 179701. [Google Scholar] [CrossRef]
- Asefa, E.M.; Mergia, M.T.; Ayele, S.; Damtew, Y.T.; Teklu, B.M.; Weldemariam, E.D. Pesticides in Ethiopian surface waters: A meta-analytic based ecological risk assessment. Sci. Total Environ. 2024, 911, 168727. [Google Scholar] [CrossRef]
- AbuQamar, S.F.; El-Saadony, M.T.; Alkafaas, S.S.; Elsalahaty, M.I.; Elkafas, S.S.; Mathew, B.T.; Aljasmi, A.N.; Alhammadi, H.S.; Salem, H.M.; El-Mageed, T.A.A.; et al. Ecological impacts and management strategies of pesticide pollution on aquatic life and human beings. Mar. Pollut. Bull. 2024, 206, 116613. [Google Scholar] [CrossRef]
- Bu, C.; Chen, C.; Fu, X.; Zhang, W.; Zhang, R.; Hua, Y.; Jia, R.; Ruan, Y.; Leung, K.M.Y.; Ma, L. Spatial distribution, phase partitioning, and ecological risk assessment of typical pesticides in Yangtze River Basin. J. Hazard. Mater. 2025, 494, 138674. [Google Scholar] [CrossRef]
- Lv, L.; Cui, S.; Zhang, H.; Qi, W.; Liu, X.; Jiang, J.; Jiang, J.; Zhu, Z.; Gao, H. Spatial pattern and compositional distribution of organochlorine pesticides in the black soil region of Shenyang. Environ. Res. 2024, 263, 120228. [Google Scholar] [CrossRef] [PubMed]
- Zhu, W.; Wang, R.M. Impact of farm size on intensity of pesticide use: Evidence from China. Sci. Total Environ. 2021, 753, 141696. [Google Scholar] [CrossRef] [PubMed]
- GB 2763-2021; National Food Safety Standard—Maximum Residue Limits for Pesticides in Food. Standards Press of China: Beijing, China, 2021.
- Zhou, Y.; Zhang, Z.; Jing, J.; Bao, F.; Wu, L.; Du, Y.; Zhang, H. Integrating environmental carry capacity based on pesticide risk assessment in soil management: A case study for China. J. Hazard. Mater. 2023, 460, 132341. [Google Scholar] [CrossRef]
- Asefa, E.M.; Damtew, Y.T.; Ober, J. Pesticide water pollution, human health risks, and regulatory evaluation: A nationwide analysis in Ethiopia. J. Hazard. Mater. 2024, 478, 135326. [Google Scholar] [CrossRef] [PubMed]
- Chen, J.; Zhao, L.; Wang, B.; He, X.; Duan, L.; Yu, G. Uncovering global risk to human and ecosystem health from pesticides in agricultural surface water using a machine learning approach. Environ. Int. 2024, 194, 109154. [Google Scholar] [CrossRef]
- Li, W.; Mao, X.; Deng, W.; Wang, S. Prediction of pesticide runoff at the global scale and its key influencing factors. J. Hazard. Mater. 2025, 494, 138783. [Google Scholar] [CrossRef]
- Cai, F.; Shen, J.; Wang, X.; Feng, J.; Wang, T.; Wang, R. Pesticide dynamics and risk assessment in a plateau lake: Multiphase partitioning, drivers, and distribution in Southwestern China. J. Hazard. Mater. 2025, 487, 137171. [Google Scholar] [CrossRef]
- Cajas-Salazar, A.; Pérez-Rojas, G.; Vega-Guzmán, I.; Alfaro-Arrieta, E.; Beita-Sandí, W.; González-Pujol, M.; Rodríguez-Rodríguez, C.E.; Méndez-Rivera, M.; Castro-Gutiérrez, V. Occurrence and environmental risk assessment of pesticides in urban wastewater in Costa Rica. Environ. Pollut. 2025, 385, 127172. [Google Scholar] [CrossRef]
- Barbieri, M.V.; Peris, A.; Postigo, C.; Moya-Garcés, A.; Monllor-Alcaraz, L.S.; Rambla-Alegre, M.; Eljarrat, E.; de Alda, M.L. Evaluation of the occurrence and fate of pesticides in a typical Mediterranean delta ecosystem (Ebro River Delta) and risk assessment for aquatic organisms. Environ. Pollut. 2021, 274, 115813. [Google Scholar] [CrossRef]
- Brovini, E.M.; de Deus, B.C.T.; Vilas-Boas, J.A.; Quadra, G.R.; Carvalho, L.; Mendonça, R.F.; Pereira, R.d.O.; Cardoso, S.J. Three-bestseller pesticides in Brazil: Freshwater concentrations and potential environmental risks. Sci. Total Environ. 2021, 771, 144754. [Google Scholar] [CrossRef] [PubMed]
- Cao, R.; Sun, Y.; Sun, S.; Sun, X.; Meng, F.; Xia, Y.; Gao, Y.; Geng, N.; Zhang, H.; Chen, J. Organic micropollutants in surface water across China: Occurrence and ecological risk. Water Res. 2025, 281, 123616. [Google Scholar] [CrossRef]
- Yuan, L.; Wu, Y.; Shi, L.; Song, J.; Jiang, Y. Organochlorine pesticides and polychlorinated biphenyls in sediments of the Lanzhou reach of Yellow River (China): Spatial distribution, sources and risk assessment. Mar. Pollut. Bull. 2024, 208, 116962. [Google Scholar] [CrossRef] [PubMed]
- Li, W.; Xin, S.; Deng, W.; Wang, B.; Liu, X.; Yuan, Y.; Wang, S. Occurrence, spatiotemporal distribution patterns, partitioning and risk assessments of multiple pesticide residues in typical estuarine water environments in eastern China. Water Res. 2023, 245, 120570. [Google Scholar] [CrossRef]
- Lv, J.; Guo, C.; Luo, Y.; Liu, Y.; Deng, Y.; Sun, S.; Xu, J. Spatial distribution, receptor modelling and risk assessment of organophosphate esters in surface water from the largest freshwater lake in China. Ecotoxicol. Environ. Saf. 2022, 238, 113618. [Google Scholar] [CrossRef]
- Wu, C.; He, K.; Li, H.; Zhang, L.; Mao, L.; Zhu, L.; Jiang, J.; Liu, X. Transgenerational combined toxicity effects of neonicotinoids and triazole pesticides at environmentally relevant concentrations on D. magna: From individual to population level. J. Hazard. Mater. 2025, 486, 137023. [Google Scholar] [CrossRef]
- De Araújo, E.P.; Caldas, E.D.; Oliveira-Filho, E.C. Relationship between pesticide standards for classification of water bodies and ecotoxicity: A case study of the Brazilian Directive. Toxics 2022, 10, 767. [Google Scholar] [CrossRef] [PubMed]
- Iturburu, F.G.; Bertrand, L.; Soursou, V.; Scheibler, E.E.; Calderon, G.; Altamirano, J.C.; Amé, M.V.; Menone, M.L.; Picó, Y. Pesticides and PPCPs in aquatic ecosystems of the andean central region: Occurrence and ecological risk assessment in the Uco valley. J. Hazard. Mater. 2024, 465, 133274. [Google Scholar] [CrossRef]
- Fang, J.; Hou, L.; Guo, X.Y.; Jia, S.Q.; Ma, W.P.; Yang, Z.; Jin, X.W. Pollution characteristics and ecological risk assessment of typical pesticides in Weihe River Basin. Asian J. Ecotoxicol. 2025, 20, 1–16. [Google Scholar]
- Zhao, J.; Dai, Y.; Wang, L.; Lu, D.; Cui, X.; Lu, L.; Zhang, J.; Li, K.; Wang, X. Spatiotemporal distribution and fate of typical pesticides in the Bohai Sea and surrounding rivers, China. Environ. Pollut. 2025, 371, 125934. [Google Scholar] [CrossRef]
- Zhang, X.; Jiang, Y.; Zeng, Y.; Guo, J.; Long, L.; Pan, Z.; Tian, Y.; Zhang, Y.; Luo, X.; Peng, P.; et al. Seasonal bioaccumulation and biomagnification of typical organochlorine pesticides in the Pearl River Estuary, South China. Environ. Pollut. 2025, 383, 126855. [Google Scholar] [CrossRef] [PubMed]
- Ouyang, W.; Cai, G.; Tysklind, M.; Yang, W.; Hao, F.; Liu, H. Temporal-spatial patterns of three types of pesticide loadings in a middle-high latitude agricultural watershed. Water Res. 2017, 122, 377–386. [Google Scholar] [CrossRef] [PubMed]
- Li, X.; Song, S.; Wei, F.; Huang, X.; Guo, Y.; Zhang, T. Occurrence, distribution, and translocation of legacy and current-use pesticides in pomelo orchards in South China. Sci. Total Environ. 2024, 913, 169674. [Google Scholar] [CrossRef]
- Wang, T.; Zhong, M.; Lu, M.; Xu, D.; Xue, Y.; Huang, J.; Blaney, L.; Yu, G. Occurrence, spatiotemporal distribution, and risk assessment of current-use pesticides in surface water: A case study near Taihu Lake, China. Sci. Total Environ. 2021, 782, 146826. [Google Scholar] [CrossRef] [PubMed]
- Hou, L.; Xiong, W.; Chen, M.; Xu, J.; Johnson, A.C.; Zhan, A.; Jin, X. Pesticide Pollution Reduces the Functional Diversity of Macroinvertebrates in Urban Aquatic Ecosystems. Environ. Sci. Technol. 2025, 59, 8568–8577. [Google Scholar] [CrossRef]
- Guo, S.; Zhang, S.; Zhang, J.; Lei, J.; Chen, H. Occurrence, residue level, distribution and risk assessment of pesticides in the typical polder areas of Lake Dongting. J. Hazard. Mater. 2025, 496, 139530. [Google Scholar] [CrossRef]
- GB 3838-2002; Environmental Quality Standards for Surface Water. China Environmental Science Press: Beijing, China, 2002.
- GB 5749-2022; Standards for Drinking Water Quality. China Standards Press: Beijing, China, 2022.
- Xie, Y.; Liu, Q.; Xu, X.; Lin, L.; Wang, W.; Wang, D. Comprehensive Analysis of Pesticide Pollution across the Yangtze River Basin: Spatiotemporal Distribution, Socio-Economic Correlations, and Ecological Risk Assessment. ACS EST Water 2025, 5, 1971–1981. [Google Scholar] [CrossRef]









| Category | Pesticide | CAS | Min (ng·L−1) | Mean (ng·L−1) | Max (ng·L−1) |
|---|---|---|---|---|---|
| NEOs | Dinotefuran | 165252-70-0 | 3.482 | 6.309 | 16.365 |
| Acetamiprid | 135410-20-7 | 0.631 | 1.159 | 2.150 | |
| Flonicamid | 158062-67-0 | 0.000 | 1.073 | 2.159 | |
| Clothianidin | 210880-92-5 | 0.000 | 0.636 | 7.182 | |
| Thiacloprid | 111988-49-9 | 0.000 | 0.000 | 0.000 | |
| Imidacloprid | 138261-41-3 | 4.179 | 7.403 | 11.343 | |
| Imidaclothiz | 105843-36-5 | 0.000 | 0.064 | 0.368 | |
| Nitenpyram | 150824-47-8 | 0.000 | 0.000 | 0.000 | |
| Thiamethoxam | 153719-23-4 | 2.399 | 17.123 | 69.952 | |
| OPPs | Methamidophos | 10265-92-6 | 10.635 | 17.850 | 33.573 |
| Dichlorvos | 62-73-7 | 0.000 | 0.000 | 0.000 | |
| Dimethoate | 60-51-5 | 0.000 | 0.027 | 0.092 | |
| Ethoprophos | 13194-48-4 | 0.000 | 0.000 | 0.000 | |
| Fenthion | 55-38-9 | 0.000 | 0.000 | 0.000 | |
| Methidathion | 950-37-8 | 0.000 | 0.012 | 0.053 | |
| Phenamiphos | 22224-92-6 | 0.000 | 0.000 | 0.000 | |
| Diazinon | 333-41-5 | 0.004 | 0.083 | 0.309 | |
| Pirimiphos-Methyl | 29232-93-7 | 0.000 | 0.000 | 0.000 | |
| Azinphos-Methyl | 86-50-0 | 0.000 | 0.132 | 2.089 | |
| Malathion | 121-75-5 | 0.000 | 0.000 | 0.000 | |
| Chlorpyrifos | 2921-88-2 | 0.000 | 3.656 | 11.802 | |
| Chlorfenvinphos | 470-90-6 | 0.000 | 0.000 | 0.000 | |
| Phosalone | 2310-17-0 | 0.000 | 0.000 | 0.000 | |
| TPs | Cyromazine | 66215-27-8 | 4.547 | 9.825 | 15.042 |
| Desisopropyl Atrazine | 1007-28-9 | 0.000 | 0.059 | 0.524 | |
| Simazine | 122-34-9 | 0.122 | 0.308 | 1.306 | |
| Metamitron | 41394052 | 0.000 | 0.062 | 0.329 | |
| Simetryn | 1014-70-6 | 0.134 | 0.281 | 0.912 | |
| Metribuzin | 21087649 | 0.000 | 0.030 | 0.133 | |
| Atrazine | 1912249 | 4.125 | 9.375 | 15.270 | |
| Prometon | 1610-18-0 | 0.000 | 0.003 | 0.012 | |
| Ametryn | 834128 | 0.134 | 0.459 | 2.201 | |
| Terbutylazine | 5915413 | 0.690 | 1.500 | 2.244 | |
| Propazine | 139402 | 0.053 | 0.128 | 0.265 | |
| Cyanazine | 21725462 | 0.165 | 0.542 | 1.058 | |
| Prometryn | 7287196 | 0.686 | 2.041 | 3.099 | |
| Terbutyrn | 886-50-0 | 1.155 | 2.118 | 3.001 | |
| Chlorpropham | 51235042 | 9.371 | 19.209 | 31.897 | |
| CAs | Methomyl | 16752-77-5 | 0.000 | 0.259 | 2.640 |
| Propamocarb | 24579-73-5 | 0.052 | 0.073 | 0.112 | |
| Isoprocarb | 2631-40-5 | 0.000 | 0.087 | 1.033 | |
| Carbaryl | 63-25-2 | 0.000 | 0.000 | 0.000 | |
| Fenobucarb | 3766-81-2 | 0.000 | 0.582 | 0.582 | |
| Aldicarb | 116-06-3 | 0.000 | 2.993 | 27.284 | |
| Propoxur | 114-26-1 | 0.000 | 0.000 | 0.000 | |
| Carbofuran | 1563-66-2 | 0.000 | 0.000 | 0.000 | |
| Oxamyl | 23135-22-0 | 0.000 | 0.062 | 0.187 | |
| Pirimicarb | 23103-98-2 | 0.000 | 0.004 | 0.041 | |
| Diethofencarb | 87130-20-9 | 0.000 | 0.002 | 0.025 |
| NEOs | OPPs | TPs | CAs | ||||
|---|---|---|---|---|---|---|---|
| 0~0.5 min | 7% B | 0~0.5 min | 10% B | 0~0.5 min | 7% B | 0~0.5 min | 15% B |
| 0.5~3.0 min | 7~45% B | 0.5~0.8 min | 10~16% B | 0.5~0.7 min | 7~12% B | 0.5~3.5 min | 15~75% B |
| 3.0~3.2 min | 45~95% B | 0.8~1.0 min | 16~53% B | 0.7~0.8 min | 12~40% B | 3.5~3.7 min | 75~95% B |
| 3.2~4.4 min | 95% B | 1.0~5.4 min | 53~90% B | 0.8~4.8 min | 40~70% B | 4.7~4.9 min | 95~15% B |
| 4.2~4.4 min | 95~7% B | 5.4~5.6 min | 90~100% B | 4.8~5.0 min | 70~98% B | 4.9~6.5 min | 15% B |
| 4.2~6.0 min | 7% B | 5.6~6.6 min | 100% B | 5.0~6.0 min | 98% B | / | / |
| / | / | 6.6~6.8 min | 100~10% B | 6.0~6.2 min | 98~7% B | / | / |
| / | / | 6.8~8.5 min | 10% B | 6.2~7.5 min | 7%B | / | / |
| Category | LOD (μg·L−1) | LOQ (μg·L−1) | Calibration Curve (μg·L−1) | R2 | Recovery Rates |
|---|---|---|---|---|---|
| NEOs | 0.0025~0.0962 | 0.0031~0.1541 | 0.01~100 | ≥0.99 | 82.1~114.7% |
| OPPs | 0.000718~0.2821 | 0.00076~0.2835 | 0.01~100 | ≥0.99 | 59.3~104.4% |
| TPs | 0.001~0.0379 | 0.006~0.3618 | 0.01~100 | ≥0.99 | 76.3~114.2% |
| CAs | 0.0034~1.4629 | 0.011~4.2313 | 0.01~100 | ≥0.99 | 58.9~108.6% |
Disclaimer/Publisher’s Note: The statements, opinions and data contained in all publications are solely those of the individual author(s) and contributor(s) and not of MDPI and/or the editor(s). MDPI and/or the editor(s) disclaim responsibility for any injury to people or property resulting from any ideas, methods, instructions or products referred to in the content. |
© 2025 by the authors. Licensee MDPI, Basel, Switzerland. This article is an open access article distributed under the terms and conditions of the Creative Commons Attribution (CC BY) license (https://creativecommons.org/licenses/by/4.0/).
Share and Cite
Gu, D.; Mao, Y.; Zhang, X.; Chen, M.; Rong, H.; Yue, M. Pollution Characteristics of Typical Pesticides and Multi-Level Ecological Risk Assessment in the Jiujiang Port Basin. Water 2025, 17, 2964. https://doi.org/10.3390/w17202964
Gu D, Mao Y, Zhang X, Chen M, Rong H, Yue M. Pollution Characteristics of Typical Pesticides and Multi-Level Ecological Risk Assessment in the Jiujiang Port Basin. Water. 2025; 17(20):2964. https://doi.org/10.3390/w17202964
Chicago/Turabian StyleGu, Deming, Yanli Mao, Xunhai Zhang, Miao Chen, Haoxiang Rong, and Mingfei Yue. 2025. "Pollution Characteristics of Typical Pesticides and Multi-Level Ecological Risk Assessment in the Jiujiang Port Basin" Water 17, no. 20: 2964. https://doi.org/10.3390/w17202964
APA StyleGu, D., Mao, Y., Zhang, X., Chen, M., Rong, H., & Yue, M. (2025). Pollution Characteristics of Typical Pesticides and Multi-Level Ecological Risk Assessment in the Jiujiang Port Basin. Water, 17(20), 2964. https://doi.org/10.3390/w17202964

