Assessing Riparian Evapotranspiration Dynamics in a Water Conflict Region in Nebraska, USA
Abstract
1. Introduction
2. Material and Methods
2.1. Study Site
2.2. SETMI Model
2.3. Surface Energy Balance and ET Validation
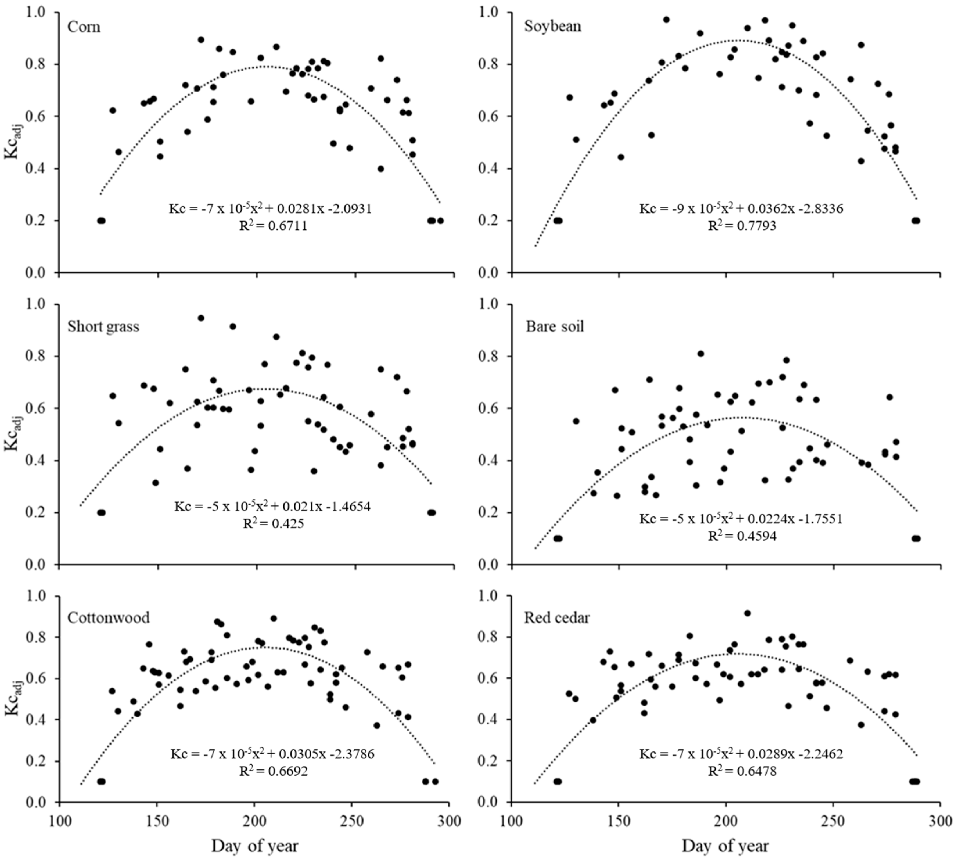
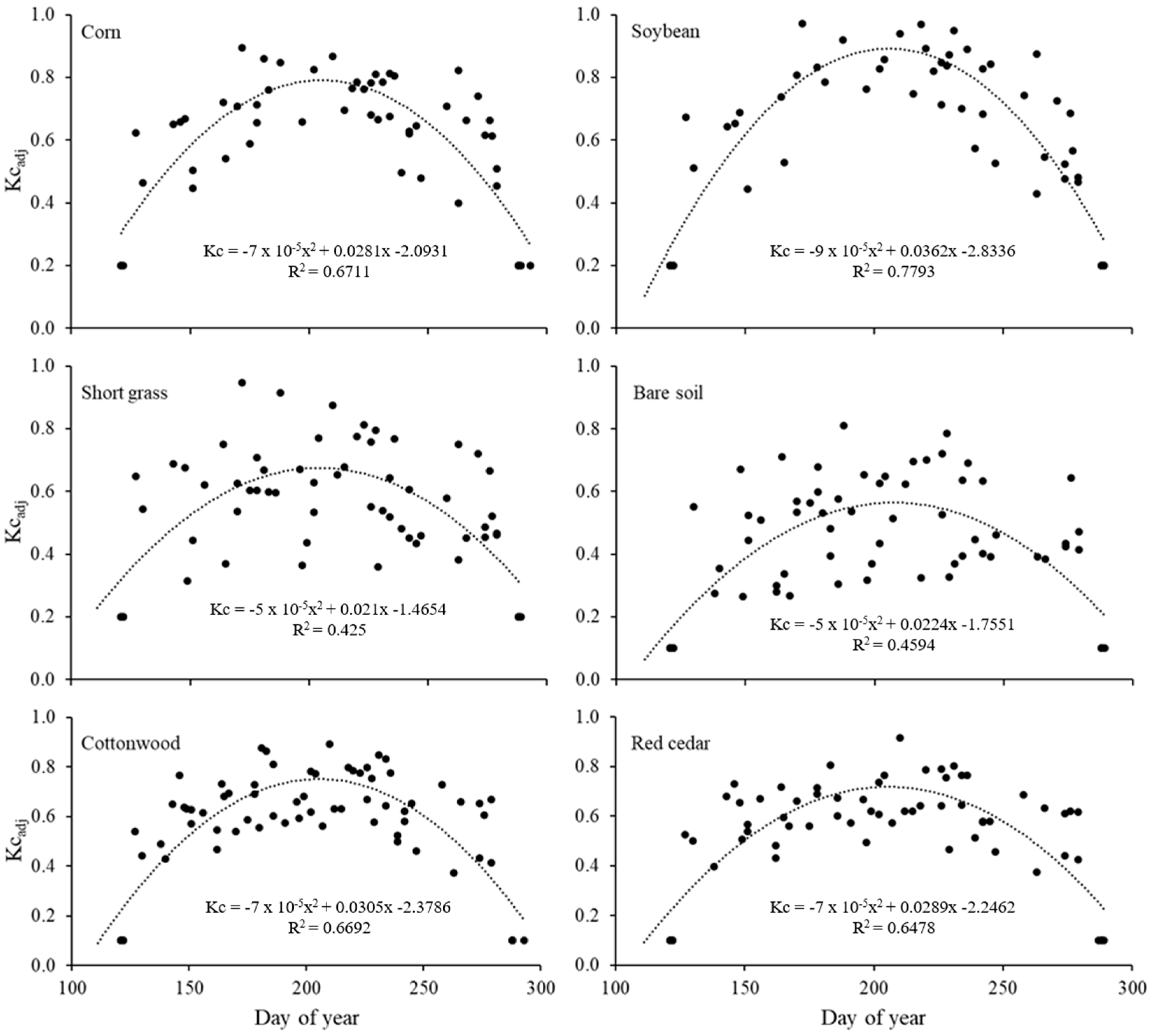
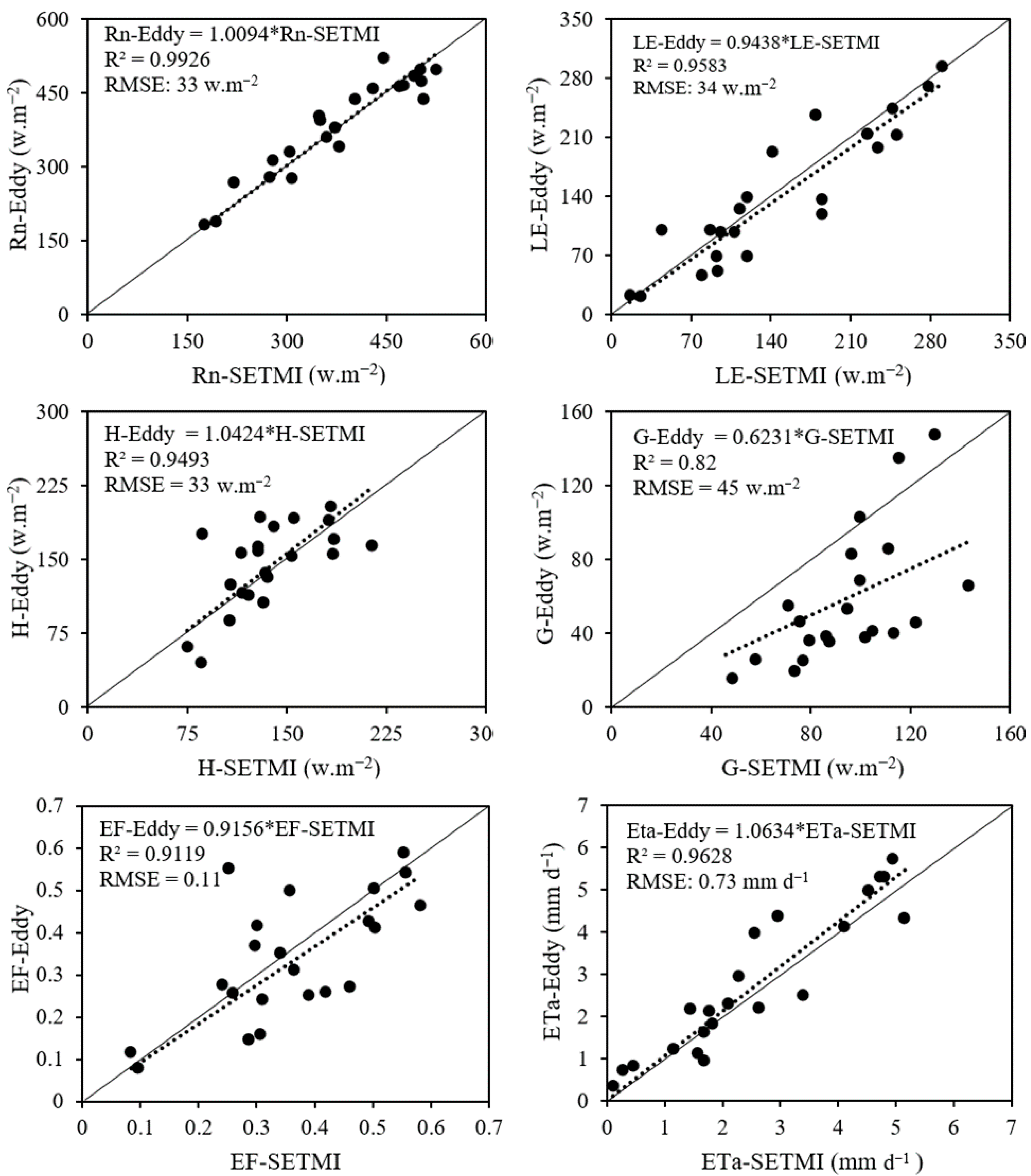
3. Results and Discussion
4. Conclusions
Author Contributions
Funding
Data Availability Statement
Acknowledgments
Conflicts of Interest
References
- Republican River Compact. 1943, p. 57 Stat. 86. Available online: https://compacts.csg.org/compact/republican-river-compact/ (accessed on 5 October 2025).
 - Gonçalves, I.Z.; Ruhoff, A.; Laipelt, L.; Bispo, R.C.; Hernandez, F.B.T.; Neale, C.M.U.; Teixeira, A.H.C.; Marin, F.R. Remote Sensing-Based Evapotranspiration Modeling Using geeSEBAL for Sugarcane Irrigation Management in Brazil. Agric. Water Manag. 2022, 274, 107965. [Google Scholar] [CrossRef]
 - Bispo, R.C.; Hernandez, F.B.T.; Gonçalves, I.Z.; Neale, C.M.U.; Teixeira, A.H.C. Remote Sensing Based Evapotranspiration Modeling for Sugarcane in Brazil Using a Hybrid Approach. Agric. Water Manag. 2022, 271, 107763. [Google Scholar] [CrossRef]
 - Gonçalves, I.Z.; Mekonnen, M.M.; Neale, C.M.U.; Campos, I.; Neale, M.R. Temporal and Spatial Variations of Irrigation Water Use for Commercial Corn Fields in Central Nebraska. Agric. Water Manag. 2020, 228, 105924. [Google Scholar] [CrossRef]
 - Burt, T.P.; Pinay, G.; Matheson, F.E.; Haycock, N.E.; Butturini, A.; Clement, J.C.; Danielescu, S.; Dowrick, D.J.; Hefting, M.M.; Hillbricht-Ilkowska, A.; et al. Water Table Fluctuations in the Riparian Zone: Comparative Results from a Pan-European Experiment. J. Hydrol. 2002, 265, 129–148. [Google Scholar] [CrossRef]
 - Naiman, R.J.; Décamps, H. The Ecology of Interfaces: Riparian Zones. Annu. Rev. Ecol. Syst. 1997, 28, 621–658. [Google Scholar] [CrossRef]
 - Tabacchi, E.; Lambs, L.; Guilloy, H.; Planty-Tabacchi, A.-M.; Muller, E.; Decamps, H. Impacts of Riparian Vegetation on Hydrological Processes. Hydrol. Process. 2000, 14, 2959–2976. [Google Scholar] [CrossRef]
 - Geli, H.M.E.; Neale, C.M.U. Spatial EvapoTranspiration Modelling Interface (SETMI). In Proceedings of the Remote Sensing and Hydrology Symposium, Jackson Hole, WY, USA, 27–30 September 2010; Volume 352, pp. 171–174. [Google Scholar]
 - Neale, C.M.U.; Geli, H.M.E.; Kustas, W.P.; Alfieri, J.G.; Gowda, P.H.; Evett, S.R.; Prueger, J.H.; Hipps, L.E.; Dulaney, W.P.; Chávez, J.L.; et al. Soil Water Content Estimation Using a Remote Sensing Based Hybrid Evapotranspiration Modeling Approach. Adv. Water Resour. 2012, 50, 152–161. [Google Scholar] [CrossRef]
 - Norman, J.M.; Kustas, W.P.; Humes, K.S. Source Approach for Estimating Soil and Vegetation Energy Fluxes in Observations of Directional Radiometric Surface Temperature. Agric. For. Meteorol. 1995, 77, 263–293. [Google Scholar] [CrossRef]
 - High Plains Regional Climate Center. Available online: https://hprcc.unl.edu/awdn/access/index.php (accessed on 17 September 2025).
 - Peel, M.C.; Finlayson, B.L.; McMahon, T.A. Updated World Map of the Köppen-Geiger Climate Classification. Hydrol. Earth Syst. Sci. 2007, 11, 1633–1644. [Google Scholar] [CrossRef]
 - USDA. Natural Resources Conservation Service Web Soil Survey. Available online: https://websoilsurvey.nrcs.usda.gov/app/WebSoilSurvey.aspx (accessed on 17 September 2025).
 - Barker, J.B.; Neale, C.M.U.; Heeren, D.M.; Suyker, A.E. Evaluation of a Hybrid Reflectance-Based Crop Coefficient and Energy Balance Evapotranspiration Model for Irrigation Management. Trans. ASABE 2018, 61, 533–548. [Google Scholar] [CrossRef]
 - Li, F.; Kustas, W.P.; Prueger, J.H.; Neale, C.M.U.; Jackson, T.J. Utility of Remote Sensing–Based Two-Source Energy Balance Model under Low- and High-Vegetation Cover Conditions. J. Hydrometeorol. 2005, 6, 878–891. [Google Scholar] [CrossRef]
 - Kustas, W.P.; Norman, J.M. Evaluation of Soil and Vegetation Heat Flux Predictions Using a Simple Two-Source Model with Radiometric Temperatures for Partial Canopy Cover. Agric. For. Meteorol. 1999, 94, 13–29. [Google Scholar] [CrossRef]
 - Kustas, W.P.; Zhan, X.; Schmugge, T.J. Combining Optical and Microwave Remote Sensing for Mapping Energy Fluxes in a Semiarid Watershed. Remote Sens. Environ. 1998, 64, 116–131. [Google Scholar] [CrossRef]
 - Allen, R.G. (Ed.) Crop Evapotranspiration: Guidelines for Computing Crop Water Requirements; FAO Irrigation and Drainage Paper; Food and Agriculture Organization of the United Nations: Rome, Italy, 1998; ISBN 978-92-5-104219-9. [Google Scholar]
 - Colaizzi, P.D.; Agam, N.; Tolk, J.A.; Evett, S.R.; Howell, T.A.; Gowda, P.H.; O’Shaughnessy, S.A.; Kustas, W.P.; Anderson, M.C. Two-Source Energy Balance Model to Calculate E, T, and ET: Comparison of Priestley-Taylor and Penman-Monteith Formulations and Two Time Scaling Methods. Trans. ASABE 2014, 57, 479–498. [Google Scholar] [CrossRef]
 - Colaizzi, P.D.; Evett, S.R.; Howell, T.A.; Li, F.; Kustas, W.P.; Anderson, M.C. Radiation Model for Row Crops: I. Geometric View Factors and Parameter Optimization. Agron. J. 2012, 104, 225–240. [Google Scholar] [CrossRef]
 - Chávez, J.L.; Neale, C.M.U.; Prueger, J.H.; Kustas, W.P. Daily Evapotranspiration Estimates from Extrapolating Instantaneous Airborne Remote Sensing ET Values. Irrig. Sci. 2008, 27, 67–81. [Google Scholar] [CrossRef]
 - Ham, J.M. Useful Equations and Tables in Micrometeorology. In Micrometeorology in Agricultural Systems; ASA, CSSA, and SSSA: Madison, WI, USA, 2005; pp. 533–560. [Google Scholar]
 - Boryan, C.; Yang, Z.; Mueller, R.; Craig, M. Monitoring US Agriculture: The US Department of Agriculture, National Agricultural Statistics Service, Cropland Data Layer Program. Geocarto Int. 2011, 26, 341–358. [Google Scholar] [CrossRef]
 - Geli, H.M.E.; Lewis, C.S. Contributors SETMI (ca. 5 November 2014); Unpublished Source Code; Utah State University: Logan, UT, USA, 2014. [Google Scholar]
 - Anderson, M.; Neale, C.; Li, F.; Norman, J.; Kustas, W.; Jayanthi, H.; Chavez, J. Upscaling Ground Observations of Vegetation Water Content, Canopy Height, and Leaf Area Index during SMEX02 Using Aircraft and Landsat Imagery. Remote Sens. Environ. 2004, 92, 447–464. [Google Scholar] [CrossRef]
 - Allen, R.G. ASCE Standardized Reference Evapotranspiration Equation; American Society of Civil Engineers: Reston, VA, USA, 2018; ISBN 978-0-7844-0805-6. [Google Scholar]
 - Twine, T.E.; Kustas, W.P.; Norman, J.M.; Cook, D.R.; Houser, P.R.; Meyers, T.P.; Prueger, J.H.; Starks, P.J.; Wesely, M.L. Correcting Eddy-Covariance Flux Underestimates over a Grassland. Agric. For. Meteorol. 2000, 103, 279–300. [Google Scholar] [CrossRef]
 - Weaver, H.L. Temperature and Humidity Flux-Variance Relations Determined by One-Dimensional Eddy Correlation. Bound.-Layer Meteorol. 1990, 53, 77–91. [Google Scholar] [CrossRef]
 - Field, R.T.; Fritschen, L.J.; Kanemasu, E.T.; Smith, E.A.; Stewart, J.B.; Verma, S.B.; Kustas, W.P. Calibration, Comparison, and Correction of Net Radiation Instruments Used during FIFE. J. Geophys. Res. Atmos. 1992, 97, 18681–18695. [Google Scholar] [CrossRef]
 - Campos, I.; Neale, C.M.U.; Suyker, A.E.; Arkebauer, T.J.; Gonçalves, I.Z. Reflectance-Based Crop Coefficients REDUX: For Operational Evapotranspiration Estimates in the Age of High Producing Hybrid Varieties. Agric. Water Manag. 2017, 187, 140–153. [Google Scholar] [CrossRef]
 - Sophocleous, M. Interactions between Groundwater and Surface Water: The State of the Science. Hydrogeol. J. 2002, 10, 52–67. [Google Scholar] [CrossRef]
 - Foster, T.; Gonçalves, I.Z.; Campos, I.; Neale, C.M.U.; Brozović, N. Assessing Landscape Scale Heterogeneity in Irrigation Water Use with Remote Sensing and in Situ Monitoring. Environ. Res. Lett. 2019, 14, 024004. [Google Scholar] [CrossRef]
 - Gonçalves, I.Z.; Neale, C.M.U.; Suyker, A.; Marin, F.R. Evapotranspiration Adjustment for Irrigated Maize–Soybean Rotation Systems in Nebraska, USA. Int. J. Biometeorol. 2023, 67, 1869–1879. [Google Scholar] [CrossRef]
 - Gonçalves, I.Z.; Mendonça, F.C.; Sanches, A.C.; Marin, F.R. Optimizing Evapotranspiration and Crop Irrigation Requirements of Tropical Forages Cropping Systems in Southern Brazil. Int. J. Biometeorol. 2024, 68, 57–67. [Google Scholar] [CrossRef]
 





| Vegetation Type | LGA | LSA | SR | TE | LS 1 | Hc | Hc:W 1 | ||||||
|---|---|---|---|---|---|---|---|---|---|---|---|---|---|
| VIS 1 | NIR 1 | VIS 1 | NIR 1 | VIS 2 | NIR 2 | Soil 1 | Veg 1 | Sen Veg 3 | Min | Max | |||
| Cottonwood | 0.86 | 0.37 | 0.84 | 0.61 | 0.15 | 0.25 | 0.96 | 0.98 | 0.95 | 0.1 | 24 | 24 | 1 | 
| Easter Red Cedar | 0.89 | 0.60 | 0.84 | 0.61 | 0.15 | 0.25 | 0.96 | 0.98 | 0.95 | 0.05 | 8 | 8 | 1 | 
| Grasses | 0.82 | 0.28 | 0.42 | 0.04 | 0.15 | 0.25 | 0.96 | 0.98 | 0.95 | 0.02 | 0.1 | 0.5 | 1 | 
| Maize | 0.83 | 0.35 | 0.49 | 0.13 | 0.15 | 0.25 | 0.96 | 0.98 | 0.95 | 0.2 | --- 4 | --- 4 | 1 | 
| Soybean | 0.85 | 0.20 | 0.49 | 0.13 | 0.15 | 0.25 | 0.96 | 0.98 | 0.95 | 0.2 | --- 4 | --- 4 | 1 | 
| Bare Soil | 0.1 | 0.28 | 0.42 | 0.04 | 0.15 | 0.25 | 0.96 | 0.98 | 0.95 | 0.02 | 0.1 | 0.1 | 1 | 
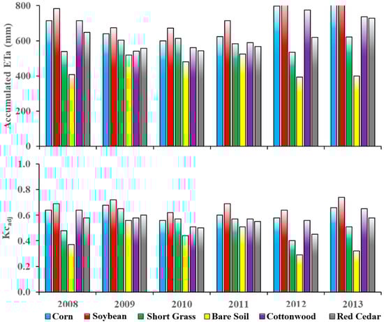
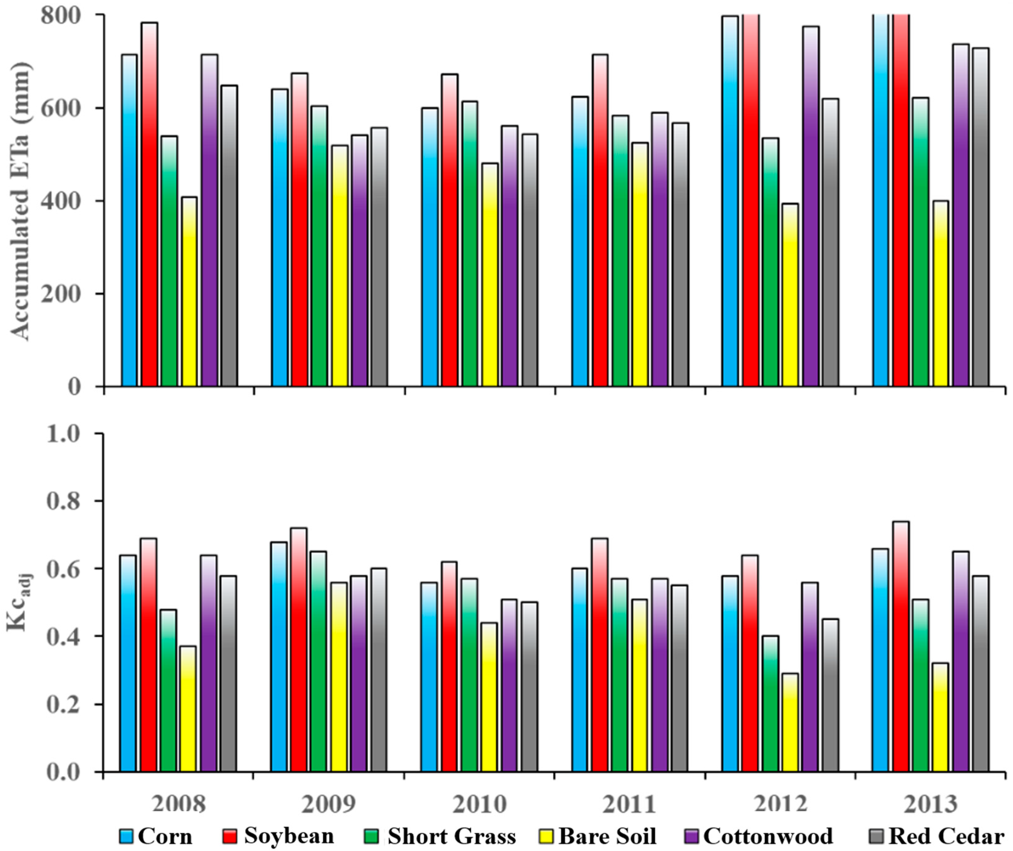
| Land Cover | 2008 | 2009 | 2010 | 2011 | 2012 | 2013 | ||||||||
|---|---|---|---|---|---|---|---|---|---|---|---|---|---|---|
| ETa | Kcadj | ETa | Kcadj | ETa | Kcadj | ETa | Kcadj | ETa | Kcadj | ETa | Kcadj | ETa | Kcadj | |
| Corn | 714 | 0.64 | 639 | 0.68 | 600 | 0.56 | 623 | 0.60 | 797 | 0.58 | 821 | 0.66 | 699 | 0.62 | 
| Soybean | 782 | 0.69 | 673 | 0.72 | 671 | 0.62 | 715 | 0.69 | 866 | 0.64 | 931 | 0.74 | 773 | 0.68 | 
| Short grass | 539 | 0.48 | 604 | 0.65 | 613 | 0.57 | 584 | 0.57 | 535 | 0.40 | 621 | 0.51 | 583 | 0.53 | 
| Bare soil | 407 | 0.37 | 519 | 0.56 | 480 | 0.44 | 525 | 0.51 | 394 | 0.29 | 399 | 0.32 | 454 | 0.42 | 
| Cottonwood | 714 | 0.64 | 541 | 0.58 | 561 | 0.51 | 589 | 0.57 | 775 | 0.56 | 737 | 0.65 | 653 | 0.59 | 
| Red Cedar | 648 | 0.58 | 558 | 0.60 | 542 | 0.50 | 568 | 0.55 | 620 | 0.45 | 729 | 0.58 | 611 | 0.54 | 
| 634 | 0.57 | 589 | 0.63 | 577 | 0.53 | 600 | 0.58 | 664 | 0.49 | 706 | 0.58 | 629 | 0.56 | |
Disclaimer/Publisher’s Note: The statements, opinions and data contained in all publications are solely those of the individual author(s) and contributor(s) and not of MDPI and/or the editor(s). MDPI and/or the editor(s) disclaim responsibility for any injury to people or property resulting from any ideas, methods, instructions or products referred to in the content.  | 
© 2025 by the authors. Licensee MDPI, Basel, Switzerland. This article is an open access article distributed under the terms and conditions of the Creative Commons Attribution (CC BY) license (https://creativecommons.org/licenses/by/4.0/).
Share and Cite
Gonçalves, I.Z.; Barker, B.; Neale, C.M.U.; Martin, D.L.; Akasheh, S.Z. Assessing Riparian Evapotranspiration Dynamics in a Water Conflict Region in Nebraska, USA. Water 2025, 17, 2949. https://doi.org/10.3390/w17202949
Gonçalves IZ, Barker B, Neale CMU, Martin DL, Akasheh SZ. Assessing Riparian Evapotranspiration Dynamics in a Water Conflict Region in Nebraska, USA. Water. 2025; 17(20):2949. https://doi.org/10.3390/w17202949
Chicago/Turabian StyleGonçalves, Ivo Z., Burdette Barker, Christopher M. U. Neale, Derrel L. Martin, and Sammy Z. Akasheh. 2025. "Assessing Riparian Evapotranspiration Dynamics in a Water Conflict Region in Nebraska, USA" Water 17, no. 20: 2949. https://doi.org/10.3390/w17202949
APA StyleGonçalves, I. Z., Barker, B., Neale, C. M. U., Martin, D. L., & Akasheh, S. Z. (2025). Assessing Riparian Evapotranspiration Dynamics in a Water Conflict Region in Nebraska, USA. Water, 17(20), 2949. https://doi.org/10.3390/w17202949
        
