Evaluate Water Yield and Soil Conservation and Their Environmental Gradient Effects in Fujian Province in South China Based on InVEST and Geodetector Models
Abstract
1. Introduction
2. Materials and Methods
2.1. Study Area
2.2. Research Framework and Data
2.3. Water Yield Evaluation Based on the InVEST Model
2.3.1. Evaluation Principles of Water Yield
2.3.2. Input Data for Water Yield Evaluation
2.4. Soil Conservation Evaluation Based on the InVEST Model
2.4.1. Evaluation Principles of Soil Conservation
2.4.2. Input Data for Soil Conservation Evaluation
2.5. Environmental Gradients
2.5.1. Terrain Position Index
2.5.2. Gradient Distribution Index
2.5.3. Environmental Factor Classification
2.6. Geographical Detector
3. Results
3.1. Water Yield Service
3.1.1. Spatial–Temporal Distribution of Water Yield
3.1.2. Spatial–Temporal Changes in Water Yield
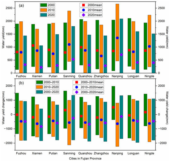
3.1.3. Water Yield Differences in Different Cities
3.2. Soil Conservation Service
3.2.1. Spatial–Temporal Distribution of Soil Conservation
3.2.2. Spatial–Temporal Changes in Soil Conservation
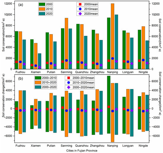
3.2.3. Soil Conservation Differences in Different Cities
3.3. Gradient Distribution of Water Yield and Soil Conservation
3.3.1. Elevation Gradient Distribution
3.3.2. Slope Gradient Distribution
3.3.3. Terrain Position Gradient Distribution
3.3.4. Geomorphic Gradient Distribution
3.3.5. LULC Gradient Distribution
3.3.6. NDVI Gradient Distribution
3.4. Spatial Differentiation of Distribution and Changes in Water Yield and Soil Conservation
3.4.1. Factor Detection
3.4.2. Interaction Detection
3.4.3. Ecological Detection
3.4.4. Risk Detection
4. Discussion
4.1. Spatial–Temporal Characteristics of Water Yield and Soil Conservation
4.2. Gradient Effects of Water Yield and Soil Conservation
4.3. Research Inspiration and Prospects
5. Conclusions
- (1)
- There was a significant spatiotemporal distribution and variation difference in water yield from 2000 to 2010, and it revealed obvious clustering characteristics of cold and hot spots (low and high values). In 2010 and 2020, the water yield was higher in the north and lower in the south. From 2000 to 2020, the water yield increased in the north and decreased in the southeast. There were significant differences in the distribution and changes in water yield among different cities, with higher water yields and more significant changes in water yield in northern mountainous cities.
- (2)
- From 2000 to 2010, the soil conservation was high in the north and low in the south, without significant spatiotemporal changes, and also exhibited distinct clustering characteristics of cold and hot spots (low and high values). From 2000 to 2020, soil conservation changes slightly decreased in the north and slightly increased in the south. The distribution and change in soil conservation vary slightly among different cities, while soil conservation and change were relatively high in northern mountainous cities.
- (3)
- The distribution index of environmental gradients showed that the distribution and change in water yield were very complex. The high values of water yield distribution were mainly observed at higher levels (or categories) for elevation, slope, TPI, geomorphy, and LULC, except for the 2010 water geomorphy, which was at a low level at NDVI; the high values of water yield changes were distributed at both low and high altitudes. The high values of soil conservation distribution and change were all found at higher levels (or categories) for elevation, slope, TPI, topography, and NDVI. In LULC, soil conservation distribution was mainly higher in forest and grassland, while soil conservation changes were higher in unused land.
- (4)
- The factor detection of geographic detectors shows that at a single environmental gradient, the degrees of water yield distribution and change were generally lower than that of soil conservation, and the degrees of distribution and change in water yield and soil conservation were usually more sensitive to terrain factors (slope, TPI, and DEM). The interactive detection of environmental gradients indicates that there were two types of distribution and changes in water and soil conservation in different environments: dual factor enhancement and non-linear enhancement. Ecological detection showed that there were significant differences in the degrees of distribution and change in water yield and soil conservation in any two environmental gradients compared to each other; however, there were differences in results between different environmental gradients and between the same environmental gradients at different times. The risk detection results showed that there were fluctuations in the high-value important regions of water yield and soil conservation for different environmental gradients; the high-value important regions of water yield and soil conservation were 1000 to 2160 m (grade 5) for DEM, 25° to 70.2° (grade 5) for slope, 0.81 to 1.42 (grade 5) for TPI, medium mountain (category 5) for geomorphy, forest land (category 2) for LULC, and 0.9 to 0.92 (grade 5) for NDVI.
Supplementary Materials
Author Contributions
Funding
Data Availability Statement
Conflicts of Interest
References
- Gómez-Baggethun, E.; Barton, D.N. Classifying and valuing ecosystem services for urban planning. Ecol. Econ. 2013, 86, 235–245. [Google Scholar] [CrossRef]
- Lee, H.; Lautenbach, S. A quantitative review of relationships between ecosystem services. Ecol. Indic. 2016, 66, 340–351. [Google Scholar] [CrossRef]
- Tan, P.Y.; Zhang, J.; Masoudi, M.; Alemu, J.B.; Edwards, P.J.; Grêt-Regamey, A.; Richards, D.R.; Saunders, J.; Song, X.; Wong, L.W. A conceptual framework to untangle the concept of urban ecosystem services. Landsc. Urban Plan. 2020, 200, 103837. [Google Scholar] [CrossRef] [PubMed]
- Liu, C.; Li, W.; Zhu, G.; Zhou, H.; Yan, H.; Xue, P. Land use/land cover changes and their driving factors in the Northeastern Tibetan Plateau based on Geographical Detectors and Google Earth Engine: A case study in Gannan Prefecture. Remote Sens. 2020, 12, 3139. [Google Scholar] [CrossRef]
- Hasan, S.S.; Zhen, L.; Miah, M.G.; Ahamed, T.; Samie, A. Impact of land use change on ecosystem services: A review. Environ. Dev. 2020, 34, 100527. [Google Scholar] [CrossRef]
- Wang, X.; Liu, G.; Xiang, A.; Qureshi, S.; Li, T.; Song, D.; Zhang, C. Quantifying the human disturbance intensity of ecosystems and its natural and socioeconomic driving factors in urban agglomeration in South China. Environ. Sci. Pollut. Res. 2022, 29, 11493–11509. [Google Scholar] [CrossRef]
- Wang, X.; Liu, G.; Zhang, C.; Liao, Y. Spatial-temporal pattern and urban-rural gradient of comprehensive ecological security in urban agglomeration in South China from 2000 to 2020. Environ. Sci. Pollut. Res. 2023, 30, 102474–102489. [Google Scholar] [CrossRef]
- Wang, X.; Zhong, W.; Wang, B.; Quan, M.; Li, T.; Lin, D.; Shang, S.; Zhu, C.; Zhang, C.; Liao, Y. Spatial–temporal variations and pollution risks of mercury in water and sediments of urban lakes in Guangzhou City, South China. Environ. Sci. Pollut. Res. 2022, 29, 80817–80830. [Google Scholar] [CrossRef]
- Yu, Y.; Chen, X.; Malik, I.; Wistuba, M.; Cao, Y.; Hou, D.; Ta, Z.; He, J.; Zhang, L.; Yu, R.; et al. Spatiotemporal changes in water, land use, and ecosystem services in Central Asia considering climate changes and human activities. J. Arid Land 2021, 13, 881–890. [Google Scholar] [CrossRef]
- Millennium Ecosystem Assessment (MEA). Ecosystems and Human Well-Being: Synthesis; Island Press: Washington, DC, USA, 2005. [Google Scholar]
- Hu, Y.; Gao, M. Evaluations of water yield and soil erosion in the Shaanxi-Gansu Loess Plateau under different land use and climate change scenarios. Environ. Dev. 2020, 34, 100488. [Google Scholar] [CrossRef]
- Wang, X.; Liu, G.; Lin, D.; Lin, Y.; Lu, Y.; Xiang, A.; Xiao, S. Water yield service influence by climate and land use change based on InVEST model in the monsoon hilly watershed in South China. Geomat. Nat. Hazards Risk 2022, 13, 2024–2048. [Google Scholar] [CrossRef]
- Wang, Z.; Li, Q.; Liu, L.; Zhao, H.; Ru, H.; Wu, J.; Deng, Y. Spatiotemporal evolution and attribution analysis of water yield in the Xiangjiang River Basin (XRB) based on the InVEST model. Water 2023, 15, 514. [Google Scholar] [CrossRef]
- Fang, Z.; Ding, T.; Chen, J.; Xue, S.; Zhou, Q.; Wang, Y.; Wang, Y.; Huang, Z.; Yang, S. Impacts of land use/land cover changes on eco-system services in ecologically fragile regions. Sci. Total Environ. 2022, 831, 154967. [Google Scholar] [CrossRef] [PubMed]
- Ren, Q.; Liu, D.; Liu, Y. Spatio-temporal variation of ecosystem services and the response to urbanization: Evidence based on Shandong province of China. Ecol. Indic. 2023, 151, 110333. [Google Scholar] [CrossRef]
- Sherrouse, B.C.; Semmens, D.J.; Clement, J.M. An application of Social Values for Ecosystem Services (SolVES) to three national forests in Colorado and Wyoming. Ecol. Indic. 2014, 36, 68–79. [Google Scholar] [CrossRef]
- Sherrouse, B.C.; Semmens, D.J.; Ancona, Z.H. Social Values for Ecosystem Services (SolVES): Open-source spatial modeling of cultural services. Environ. Model. Softw. 2022, 148, 105259. [Google Scholar] [CrossRef]
- Bagstad, K.J.; Villa, F.; Batker, D.; Harrison-Cox, J.; Voigt, B.; Johnson, G.W. From theoretical to actual ecosystem services: Mapping beneficiaries and spatial flows in ecosystem service assessments. Ecol. Soc. 2014, 19, 64. [Google Scholar] [CrossRef]
- Capriolo, A.; Boschetto, R.G.; Mascolo, R.A.; Balbi, S.; Villa, F.J.E.S. Biophysical and economic assessment of four ecosystem services for natural capital accounting in Italy. Ecosyst. Serv. 2020, 46, 101207. [Google Scholar] [CrossRef]
- Hu, Y.; Gong, J.; Li, X.; Song, L.; Zhang, Z.; Zhang, S.; Zhang, W.; Dong, J.; Dong, X. Ecological security assessment and ecological management zoning based on ecosystem services in the West Liao River Basin. Ecol. Eng. 2023, 192, 106973. [Google Scholar] [CrossRef]
- He, Y.; Ma, J.; Zhang, C.; Yang, H. Spatio-temporal evolution and prediction of carbon storage in Guilin based on FLUS and InVEST models. Remote Sens. 2023, 15, 1445. [Google Scholar] [CrossRef]
- Anley, M.A.; Minale, A.S. Modeling the impact of land use land cover change on the estimation of soil loss and sediment export using InVEST model at the Rib watershed of Upper Blue Nile Basin, Ethiopia. Remote Sens. Appl. Soc. Environ. 2024, 34, 101177. [Google Scholar] [CrossRef]
- Jia, H.; Yang, S.; Liu, L.; Wang, R.; Li, Z.; Li, H.; Liu, J. Distinguishing the Multifactorial Impacts on Ecosystem Services under the Long-Term Ecological Restoration in the Gonghe Basin of China. Remote Sens. 2024, 16, 2460. [Google Scholar] [CrossRef]
- Jia, H.; Yang, S.; Liu, L.; Li, H.; Li, Z.; Chen, Y.; Liu, J. Assessment and Prediction of Carbon Storage Based on Land Use/Land Cover Dynamics in the Gonghe Basin. Land 2024, 13, 2180. [Google Scholar] [CrossRef]
- Li, T.; Zhong, W.; Quan, M.; Wang, X.; Yu, J. A 47.0-kyr record of mercury deposition in lake sediments from Dahu swamp in the East Nanling Mountains, southern China: Implications for paleoclimatic and environmental changes. J. Quat. Sci. 2025, 40, 9–21. [Google Scholar] [CrossRef]
- Lin, D.; Zhong, W.; Wang, X.; Quan, M.; Li, T.; Zhang, E. Spatiotemporal characteristics and forcing mechanism of precipitation changes in the Nanling Mountains and surrounding regions in South China over the past 60 years. Theor. Appl. Climatol. 2025, 156, 57. [Google Scholar] [CrossRef]
- Liu, G.; Xiang, A.; Wan, Z.; Zhang, L.; Wu, J.; Xie, Z. Quantitative characterization, spatiotemporal evolution, and analysis of driving factors of daily dry-wet abrupt alternation: A case study of the Ganjiang River Basin. J. Hydrol. Reg. Stud. 2024, 56, 102030. [Google Scholar] [CrossRef]
- Lang, Y.; Song, W.; Zhang, Y. Responses of the water-yield ecosystem service to climate and land use change in Sancha River Basin, China. Phys. Chem. Earth 2017, 101, 102–111. [Google Scholar] [CrossRef]
- Lang, Y.; Song, W.; Deng, X. Projected land use changes impacts on water yields in the karst mountain areas of China. Phys. Chem. Earth 2018, 104, 66–75. [Google Scholar] [CrossRef]
- Yang, D.; Liu, W.; Tang, L.; Chen, L.; Li, X.; Xu, X. Estimation of water provision service for monsoon catchments of South China: Applicability of the InVEST model. Landsc. Urban Plan. 2019, 182, 133–143. [Google Scholar] [CrossRef]
- Mo, W.; Zhao, Y.; Yang, N.; Xu, Z.; Zhao, W.; Li, F. Effects of climate and land use/land cover changes on water yield services in the Dongjiang Lake Basin. ISPRS Int. J. Geo-Inf. 2021, 10, 466. [Google Scholar] [CrossRef]
- Yang, D.; Liu, W.; Xu, C.; Tao, L.; Xu, X. Integrating the InVEST and SDSM model for estimating water provision services in response to future climate change in monsoon basins of South China. Water 2020, 12, 3199. [Google Scholar] [CrossRef]
- Wang, J.F.; Zhang, T.L.; Fu, B.J. A measure of spatial stratified heterogeneity. Ecol. Indic. 2016, 67, 250–256. [Google Scholar] [CrossRef]
- Hu, W.; Li, G.; Gao, Z.; Jia, G.; Wang, Z.; Li, Y. Assessment of the impact of the Poplar Ecological Retreat Project on water conservation in the Dongting Lake wetland region using the InVEST model. Sci. Total Environ. 2020, 733, 139423. [Google Scholar] [CrossRef] [PubMed]
- Gu, K.; Ma, L.; Xu, J.; Yu, H.; Zhang, X. Spatiotemporal Evolution Characteristics and Driving Factors of Water Conservation Service in Jiangxi Province from 2001 to 2020. Sustainability 2023, 15, 11941. [Google Scholar] [CrossRef]
- He, X.; Miao, Z.; Wang, Y.; Yang, L.; Zhang, Z. Response of soil erosion to climate change and vegetation restoration in the Ganjiang River Basin, China. Ecol. Indic. 2024, 158, 111429. [Google Scholar] [CrossRef]
- Li, H.; Chen, X.; Lim, K.J.; Cai, X.; Sagong, M. Assessment of soil erosion and sediment yield in Liao watershed, Jiangxi Province, China, Using USLE, GIS, and RS. J. Earth Sci. 2010, 21, 941–953. [Google Scholar] [CrossRef]
- Yu, S.; Wang, L.; Zhao, J.; Shi, Z. Using structural equation modelling to identify regional socio-economic driving forces of soil erosion: A case study of Jiangxi Province, southern China. J. Environ. Manag. 2021, 279, 111616. [Google Scholar] [CrossRef]
- Wang, X.; Liu, X.; Long, Y.; Liang, W.; Zhou, J.; Zhang, Y. Analysis of Soil retention service function in the North Area of Guangdong based on the InVEST model. IOP Conf. Ser. Earth Environ. Sci. 2020, 510, 032011. [Google Scholar] [CrossRef]
- Li, H.; Shi, D. Spatio-temporal variation in soil erosion on sloping farmland based on the integrated valuation of ecosystem services and trade-offs model: A case study of Chongqing, southwest China. Catena 2024, 236, 107693. [Google Scholar] [CrossRef]
- Guo, Z.; Yan, Z.; PaErHaTi, M.; He, R.; Yang, H.; Wang, R.; Ci, H. Assessment of soil erosion and its driving factors in the Huaihe region using the InVEST-SDR model. Geocarto Int. 2023, 38, 2213208. [Google Scholar] [CrossRef]
- Dang, X.; Sui, B.; Gao, S.; Liu, G.; Wang, T.; Wang, B.; Ning, D.; Bi, W. Regions and their typical paradigms for soil and water conservation in China. Chin. Geogr. Sci. 2020, 30, 643–664. [Google Scholar] [CrossRef]
- Hu, X.; Li, Z.; Nie, X.; Wang, D.; Huang, J.; Deng, C.; Shi, L.; Wang, L.; Ning, K. Regionalization of soil and water conservation aimed at ecosystem services improvement. Sci. Rep. 2020, 10, 3469. [Google Scholar] [CrossRef]
- Chen, S.; Zha, X. Evaluation of soil erosion vulnerability in the Zhuxi watershed, Fujian Province, China. Nat. Hazards 2016, 82, 1589–1607. [Google Scholar] [CrossRef]
- Wang, G.; Innes, J.; Yang, Y.; Chen, S.; Krzyzanowski, J.; Xie, J.; Lin, W. Extent of soil erosion and surface runoff associated with large-scale infrastructure development in Fujian Province, China. Catena 2012, 89, 22–30. [Google Scholar] [CrossRef]
- Li, Z.; Ning, K.; Chen, J.; Liu, C.; Wang, D.; Nie, X.; Hu, X.; Wang, L.; Wang, T. Soil and water conservation effects driven by the implementation of ecological restoration projects: Evidence from the red soil hilly region of China in the last three decades. J. Clean. Prod. 2020, 260, 121109. [Google Scholar] [CrossRef]
- Wang, H.; Chen, W.; Zhou, M.; Zhuo, Z.; Zhang, Y.; Jiang, F.; Huang, Y.; Lin, J. Runoff and sediment characteristics of a typical watershed after continuous soil erosion control in the red soil region of Southern China. Catena 2023, 233, 107484. [Google Scholar] [CrossRef]
- Lin, C.; Zhou, S.L.; Wu, S.H.; Liao, F.Q. Relationships between intensity grada-tion and evolution of soil erosion: A case study of Changting in Fujian Province, China. Pedosphere 2012, 22, 243–253. [Google Scholar] [CrossRef]
- Zhong, L.; Wang, J.; Zhang, X.; Ying, L.; Zhu, C. Effects of agricultural land consolidation on soil conservation service in the Hilly Region of Southeast China–Implications for land management. Land Use Policy 2020, 95, 104637. [Google Scholar] [CrossRef]
- Chen, S.; Bai, Y.; Li, H.; Liu, W. Impact of farmers’ livelihood behavior on soil erosion in hilly areas—A comparison between erosion controlled and uncontrolled areas of southern China. Arab. J. Geosci. 2021, 14, 674. [Google Scholar] [CrossRef]
- Wang, X.; Zhong, W.; Li, T.; Quan, M.; Wang, B.; Wei, Z. A 16.2-kyr lacustrine sediment record of mercury deposition in Dahu Swamp, eastern Nanling Mountains, southern China: Analysis of implications for climatic changes. Quat. Int. 2021, 592, 12–21. [Google Scholar] [CrossRef]
- Wang, X.; Zhong, W.; Quan, M.; Li, T.; Lin, D.; Zhang, C. Asynchronous variations of mercury accumulation since the last deglaciation in the eastern and western Nanling mountains in South China. Quat. Sci. Rev. 2024, 325, 108490. [Google Scholar] [CrossRef]
- Chen, S.; Zha, X.; Bai, Y.; Wang, L. Evaluation of soil erosion vulnerability on the basis of exposure, sensitivity, and adaptive capacity: A case study in the Zhuxi watershed, Changting, Fujian Province, Southern China. Catena 2019, 177, 57–69. [Google Scholar] [CrossRef]
- Xu, X.; Liu, J.; Zhang, S.; Li, R.; Yan, C.; Wu, S. China Multi Period Land Use/Land Cover Remote Sensing Monitoring Dataset (CNLUCC); Data Registration and Publishing System of the Resource and Environmental Science Data Center of the Chinese Academy of Sciences: Beijing, China, 2018; (In Chinese). [Google Scholar] [CrossRef]
- Li, S.; Su, S.; Liu, Y.; Zhou, X.; Luo, Q.; Paudel, B. Effectiveness of the Qilian Mountain nature reserve of China in reducing human impacts. Land 2022, 11, 1071. [Google Scholar] [CrossRef]
- Trabucco, A.; Zomer, R. Global Aridity Index and Potential Evapotranspiration (ET0) Climate Database v3. Figshare. Dataset 2022. [Google Scholar] [CrossRef]
- Hengl, T.; Mendes de Jesus, J.; Heuvelink, G.B.; Ruiperez Gonzalez, M.; Kilibarda, M.; Blagotić, A.; Shangguan, W.; Wright, M.N.; Geng, X.; Bauer-Marschallinger, B.; et al. SoilGrids250m: Global gridded soil information based on machine learning. PLoS ONE 2017, 12, e0169748. [Google Scholar] [CrossRef]
- Xu, X. China Annual Normalized Difference Vegetation Index (NDVI) Spatial Distribution Dataset; Data Registration and Publishing System of the Resource and Environmental Science Data Center of the Chinese Academy of Sciences: Beijing, China, 2018; Available online: https://www.resdc.cn/DOI/doi.aspx?DOIid=49 (accessed on 20 March 2024). (In Chinese)
- Sharp, R.; Douglass, J.; Wolny, S.; Arkema, K.; Bernhardt, J.; Bierbower, W.; InVEST 3.10.2 User’s Guide. The Natural Capital Project, Stanford University, University of Minnesota, The Nature Conservancy, and World Wildlife Fund. 2020. Available online: https://naturalcapitalproject.stanford.edu/software/invest (accessed on 10 January 2022).
- Liu, M.; Dong, X.; Zhang, Y.; Wang, X.C.; Wei, H.; Zhang, P.; Zhang, Y. Spatiotemporal changes in future water yield and the driving factors under the carbon neutrality target in Qinghai. Ecol. Indic. 2024, 158, 111310. [Google Scholar] [CrossRef]
- Zhang, L.; Hickel, K.; Dawes, W.R.; Chiew, F.H.; Western, A.W.; Briggs, P.R. A rational function approach for estimating mean annual evapotranspiration. Water Resour. Res. 2004, 40, W02502. [Google Scholar] [CrossRef]
- Donohue, R.J.; Roderick, M.L.; McVicar, T.R. Roots, storms and soil pores: Incorporating key ecohydrological processes into Budyko’s hydrological model. J. Hydrol. 2012, 436, 35–50. [Google Scholar] [CrossRef]
- Allen, R.G.; Pereira, L.S.; Raes, D.; Smith, M. Crop evapotranspiration-Guidelines for computing crop water requirements-FAO Irrigation and drainage paper 56. Fao Rome 1998, 300, D05109. [Google Scholar]
- Qiao, X.; Li, Z.; Lin, J.; Wang, H.; Zheng, S.; Yang, S. Assessing current and future soil erosion under changing land use based on InVEST and FLUS models in the Yihe River Basin, North China. Int. Soil Water Conserv. Res. 2024, 12, 298–312. [Google Scholar] [CrossRef]
- Chen, J.; Chen, Y.; Wang, K.; Zhang, H.; Tian, H.; Cao, J. Impacts of land use, rainfall, and temperature on soil con-servation in the Loess Plateau of China. Catena 2024, 239, 107883. [Google Scholar] [CrossRef]
- Zhou, F.; Huang, Y. The R value of rainfall erosivity index in Fujian Province in China. J. Soil Water Conserv. 1995, 9, 13–18. Available online: http://stbcxb.alljournal.com.cn/stbcxb/article/abstract/19950103 (accessed on 20 March 2024). (In Chinese).
- Wang, X.; Liu, G.; Xiang, A.; Xiao, S.; Lin, D.; Lin, Y.; Lu, Y. Terrain gradient response of landscape ecological envi-ronment to land use and land cover change in the hilly watershed in South China. Ecol. Indic. 2023, 146, 109797. [Google Scholar] [CrossRef]
- Wang, J.F.; Li, X.H.; Christakos, G.; Liao, Y.L.; Zhang, T.; Gu, X.; Zheng, X.Y. Geographical detectors-based health risk assessment and its application in the neural tube defects study of the Heshun Region, China. Int. J. Geogr. Inf. Sci. 2010, 24, 107–127. [Google Scholar] [CrossRef]
- Wang, X.; Dai, E.; Zhu, J. Spatial patterns of forest ecosystem services and influencing factors in the Ganjiang River Basin. J. Resour. Ecol. 2016, 7, 439–452. [Google Scholar] [CrossRef]
- Wang, J.; Haining, R.; Zhang, T.; Xu, C.; Hu, M.; Yin, Q.; Li, L.; Zhou, C.; Li, G.; Chen, H. Statistical modeling of spatially stratified heterogeneous data. Ann. Am. Assoc. Geogr. 2024, 114, 499–519. [Google Scholar] [CrossRef]
- Wang, J.F.; Xu, C.D. Geodetector: Principle and prospective. Acta Geogr. Sin. 2017, 72, 116–134. (In Chinese) [Google Scholar] [CrossRef]
- Chen, X.; Lin, S.; Tian, J.; Wang, Y.; Ye, Y.; Dong, S.; Gong, X.; Lin, Q.; Zhu, L. Simulation study on water yield service flow based on the InVEST-Geoda-Gephi network: A case study on Wuyi Mountains, China. Ecol. Indic. 2024, 159, 111694. [Google Scholar] [CrossRef]
- Liao, Q.; Li, T.; Liu, D. Evolutionary patterns and influencing factors of relationships among ecosystem services in the hilly red soil region of Southern China. Environ. Monit. Assess. 2024, 196, 360. [Google Scholar] [CrossRef]
- Wu, X.; Zhu, C.; Yu, J.; Zhai, L.; Zhang, H.; Yang, K.; Hou, X. Ecological vulnerability in the red soil erosion area of Changting under continuous ecological restoration: Spatiotemporal dynamic evolution and prediction. Forests 2022, 13, 2136. [Google Scholar] [CrossRef]
- Gao, J.; Shi, C.; Yang, J.; Yue, H.; Liu, Y.; Chen, B. Analysis of spatiotemporal heterogeneity and influencing factors of soil erosion in a typical erosion zone of the southern red soil region, China. Ecol. Indic. 2023, 154, 110590. [Google Scholar] [CrossRef]













| ID | Name | Root Restriction Depth (mm) | ID | Name | Root Restriction Depth (mm) |
|---|---|---|---|---|---|
| 1 | Cultivated land | 2000 | 11 | Paddy field | 2200 |
| 12 | Dry land | 1800 | |||
| 2 | Forest land | 3000 | 21 | Closed forest land | 3500 |
| 22 | Shrubs forest land | 3000 | |||
| 23 | Sparse forest land | 2500 | |||
| 24 | Other forest land | 2000 | |||
| 3 | Grassland | 2500 | 31 | High-coverage grassland | 2700 |
| 32 | Medium-coverage grassland | 2500 | |||
| 33 | Low-coverage grassland | 2200 | |||
| 4 | Water body | 1 | 41 | Rivers and canals | 1 |
| 42 | Lake | 1 | |||
| 43 | Reservoir pits and ponds | 1 | |||
| 44 | Glacier and snow land | 1 | |||
| 45 | Mudflat | 1 | |||
| 46 | Beach land | 1 | |||
| 5 | Built-up land | 1 | 51 | Urban land | 1 |
| 52 | Rural residential areas | 1 | |||
| 53 | Other construction land | 1 | |||
| 6 | Unused land | 10 | 61 | Sand | 10 |
| 62 | Gobi | 1 | |||
| 63 | Saline alkali land | 10 | |||
| 64 | Swamp land | 100 | |||
| 65 | Bare land | 10 | |||
| 66 | Bare rocky terrain | 1 |
| Code | Description | Water Yield | Soil Conservation | |||
|---|---|---|---|---|---|---|
| Vegetation | Root Depth (mm) | Kc | usle_c | usle_p | ||
| 1 | Cultivated land | 1 | 2000 | 0.9 | 0.412 | 1 |
| 2 | Forest land | 1 | 3000 | 1 | 0.025 | 1 |
| 3 | Grassland | 1 | 2500 | 0.75 | 0.034 | 1 |
| 4 | Water body | 0 | 1 | 1.2 | 0 | 1 |
| 5 | Built-up land | 0 | 1 | 0.1 | 0.99 | 1 |
| 6 | Unused land | 0 | 10 | 0.15 | 1 | 1 |
| 2000 | 2010 | 2020 | 2000–2010 | 2010–2020 | 2000–2020 | |
|---|---|---|---|---|---|---|
| Global Moran’s I | 0.239 | 0.557 | 0.498 | 0.857 | 0.277 | 0.558 |
| Z score | 1175.4 | 2737.6 | 3680.7 | 4210.2 | 1357.1 | 2727.9 |
| p value | 0.000 | 0.000 | 0.000 | 0.000 | 0.000 | 0.000 |
| 2000 | 2010 | 2020 | 2000–2010 | 2010–2020 | 2000–2020 | |
|---|---|---|---|---|---|---|
| Global Moran’s I | 0.218 | 0.258 | 0.197 | 0.574 | 0.119 | 0.2 |
| Z score | 683.6 | 810.1 | 1467.4 | 1803.2 | 588.2 | 989.7 |
| p value | 0.000 | 0.000 | 0.000 | 0.000 | 0.000 | 0.000 |
| DEM | Slope | TPI | Geomorphy | LULC | NDVI | |
|---|---|---|---|---|---|---|
| WY 2000 | 5 | 1 | 5 | 2 | 5 | 1 |
| WY 2010 | 5 | 5 | 5 | 5 | 5 | 5 |
| WY 2020 | 5 | 5 | 5 | 5 | 2 | 5 |
| WY 2000–2010 | 5 | 5 | 5 | 5 | 2 | 5 |
| WY 2010–2020 | 4 | 2 | 3 | 2 | 2 | 2 |
| WY 2000–2020 | 5 | 5 | 5 | 5 | 2 | 5 |
| WY overall | 5 (1000–2160 m) | 5 (25°–70.2°) | 5 (0.81–1.42) | 5 (medium mountain) | 2 (forest land) | 5 (0.9–0.92) |
| SC 2000 | 5 | 5 | 5 | 5 | 3 | 5 |
| SC 2010 | 5 | 5 | 5 | 5 | 3 | 5 |
| SC 2020 | 5 | 5 | 5 | 5 | 2 | 5 |
| SC 2000–2010 | 5 | 4 | 5 | 5 | 2 | 5 |
| SC 2010–2020 | 1 | 1 | 1 | 2 | 5 | 1 |
| SC 2000–2020 | 2 | 5 | 1 | 2 | 5 | 1 |
| SC overall | 5 (1000–2160 m) | 5 (25°–70.2°) | 5 (0.81–1.42) | 5 (medium mountain) | 2 and 3 (forest land and grassland) | 5 (0.9–0.92) |
Disclaimer/Publisher’s Note: The statements, opinions and data contained in all publications are solely those of the individual author(s) and contributor(s) and not of MDPI and/or the editor(s). MDPI and/or the editor(s) disclaim responsibility for any injury to people or property resulting from any ideas, methods, instructions or products referred to in the content. |
© 2025 by the authors. Licensee MDPI, Basel, Switzerland. This article is an open access article distributed under the terms and conditions of the Creative Commons Attribution (CC BY) license (https://creativecommons.org/licenses/by/4.0/).
Share and Cite
Li, T.; Wang, X.; Jia, H. Evaluate Water Yield and Soil Conservation and Their Environmental Gradient Effects in Fujian Province in South China Based on InVEST and Geodetector Models. Water 2025, 17, 230. https://doi.org/10.3390/w17020230
Li T, Wang X, Jia H. Evaluate Water Yield and Soil Conservation and Their Environmental Gradient Effects in Fujian Province in South China Based on InVEST and Geodetector Models. Water. 2025; 17(2):230. https://doi.org/10.3390/w17020230
Chicago/Turabian StyleLi, Tianhang, Xiaojun Wang, and Hong Jia. 2025. "Evaluate Water Yield and Soil Conservation and Their Environmental Gradient Effects in Fujian Province in South China Based on InVEST and Geodetector Models" Water 17, no. 2: 230. https://doi.org/10.3390/w17020230
APA StyleLi, T., Wang, X., & Jia, H. (2025). Evaluate Water Yield and Soil Conservation and Their Environmental Gradient Effects in Fujian Province in South China Based on InVEST and Geodetector Models. Water, 17(2), 230. https://doi.org/10.3390/w17020230

