Representing Small Shallow Water Estuary Hydrodynamics to Uncover Litter Transport Patterns
Abstract
1. Introduction
2. Geographical Setting: The Ave Estuary
3. Material and Methods
3.1. Sampling Campaigns
3.2. Hydrological Numerical Model
3.3. Hydrodynamical Numerical Model
- where N is the number of observations, Xp and Xm are the predicted (p) and measured (m) values of variable X for the observation at time ti, and (with i = m or p) is the time average of a distribution.
4. Results and Discussion
4.1. Hydrological Model Calibration and Validation
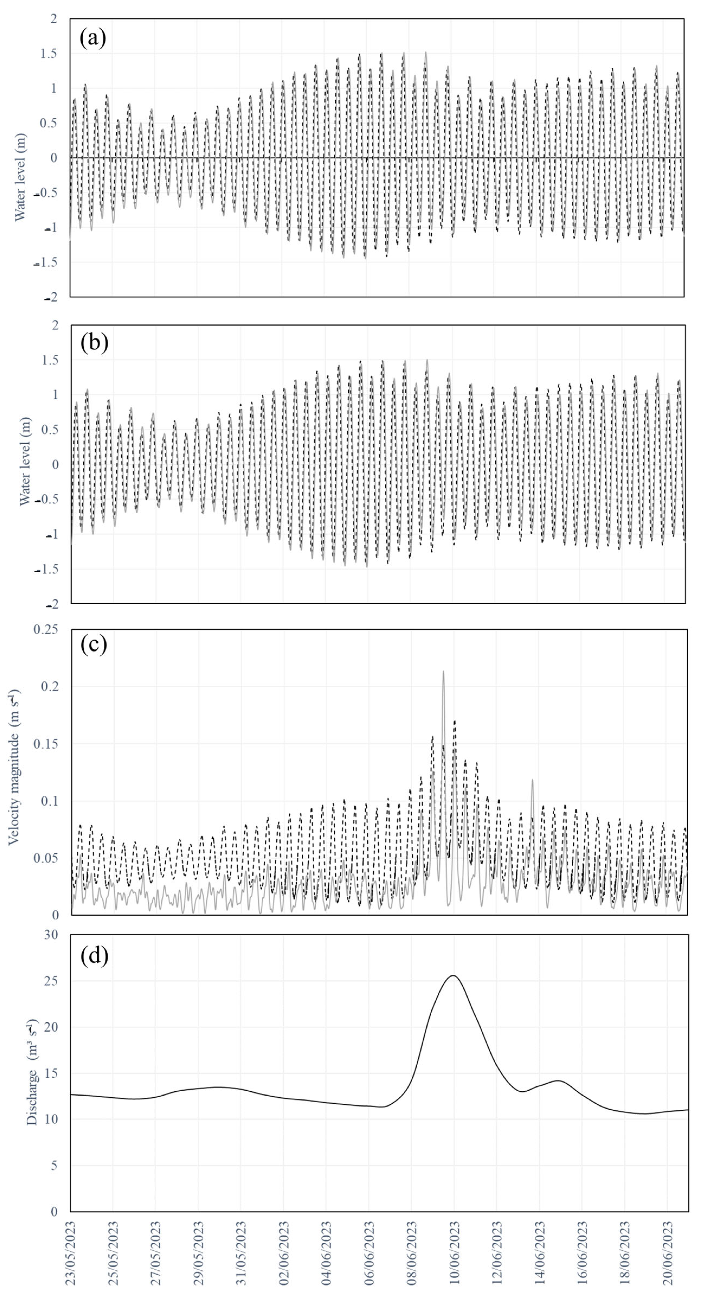
4.2. Hydrodynamic Model Calibration and Validation
4.3. Additional Scenarios
5. Discussion
6. Conclusions
Author Contributions
Funding
Data Availability Statement
Conflicts of Interest
References
- Díez-Minguito, M.; Bermúdez, M.; Gago, J.; Carretero, O.; Viñas, L. Observations and idealized modelling of microplastic transport in estuaries: The exemplary case of an upwelling system (Ría de Vigo, NW Spain). Mar. Chem. 2020, 222, 103780. [Google Scholar] [CrossRef]
- Kennish, M.J. Environmental threats and environmental future of estuaries. Environ. Conserv. 2002, 29, 78–107. [Google Scholar] [CrossRef]
- Yang, L.; Zhang, Y.; Kang, S.; Wang, Z.; Wu, C. Microplastics in Freshwater Sediment: A Review on Methods, Occurrence, and Sources. Sci. Total Environ. 2020, 754, 141948. [Google Scholar] [CrossRef]
- Simone, G. Environmental Data Collection for Ecological Status Assessment and Monitoring of Microplastics Pollution in Sediments in the Ave River Estuary, Portugal. Master’s Thesis, Università di Bologna, Bologna, Italy, 2023. [Google Scholar]
- Meire, P.; Ysebaert, T.; Damme, S.V.; den Bergh, E.V.; Maris, T.; Struyf, E. The Scheldt estuary: A description of a changing ecosystem. Hydrobiologia 2005, 540, 1–11. [Google Scholar] [CrossRef]
- Iglesias, I.; Almeida, C.M.R.; Teixeira, C.; Mucha, A.P.; Magalhães, A.; Bio, A.; Bastos, L. Linking contaminant distribution to hydrodynamic patterns in an urban estuary: The Douro estuary test case. Sci. Total Environ. 2020, 707, 135792. [Google Scholar] [CrossRef]
- Iglesias, I.; Buschman, F.A.; Simone, G.; Amorim, F.; Bio, A.; Vieira, L.R.; Boisgontier, H.; Zaggia, L.; Moschino, V.; Madricardo, F.; et al. Hydrodynamics of a highly stratified small estuary and the influence of nearby river plumes. Estuar. Coast. Shelf Sci. 2024, 304, 108843. [Google Scholar] [CrossRef]
- Corti, S.; Pennati, V. A 3-D hydrodynamic model of river flow in a delta region. Hydrol. Process. 2000, 14, 2301–2309. [Google Scholar] [CrossRef]
- Putra, S.S.; Wegen, M.V.D.; Reyns, J.; Dam, A.V.; Solomatine, D.P.; Roelvink, J.A. Multi Station Calibration of 3D Flexible Mesh Model: A Case Study of the Columbia Estuary. Procedia Environ. Sci. 2015, 28, 297–306. [Google Scholar] [CrossRef][Green Version]
- Jones, J.E.; Davies, A.M. Application of a finite element model to the computation of tides in the Mersey Estuary and Eastern Irish Sea. Cont. Shelf Res. 2010, 30, 491–514. [Google Scholar] [CrossRef]
- Robins, P.E.; Davies, A.G. Morphological controls in sandy estuaries: The influence of tidal flats and bathymetry on sediment transport. Ocean Dyn. 2010, 60, 503–517. [Google Scholar] [CrossRef]
- Monteiro, I.O.; Marques, W.C.; Fernandes, E.H.; Gonçalves, R.C.; Moller, O.O. On the Effect of Earth Rotation, River Discharge, Tidal Oscillations, and Wind in the Dynamics of the Patos Lagoon Coastal Plume. J. Coast. Res. 2011, 27, 120–130. [Google Scholar] [CrossRef]
- van Maren, D.S.; van Kessel, T.; Cronin, K.; Sittoni, L. The impact of channel deepening and dredging on estuarine sediment concentration. Cont. Shelf Res. 2015, 95, 1–14. [Google Scholar] [CrossRef]
- Zarzuelo, C.; Díez-Minguito, M.; Ortega-Sánchez, M.; López-Ruiz, A.; Losada, M.Á. Hydrodynamics response to planned human interventions in a highly altered embayment: The example of the Bay of Cádiz (Spain). Estuar. Coast. Shelf Sci. 2015, 167, 75–85. [Google Scholar] [CrossRef]
- Tosic, M.; Martins, F.; Lonin, S.; Izquierdo, A.; Restrepo, J.D. Hydrodynamic modelling of a polluted tropical bay: Assessment of anthropogenic impacts on freshwater runoff and estuarine water renewal. J. Environ. Manag. 2019, 236, 695–714. [Google Scholar] [CrossRef] [PubMed]
- Siemes, R.W.; Duong, T.M.; Borsje, B.W.; Hulscher, S.J. Climate Change Can Intensify the Effects of Local Interventions: A Morphological Modeling Study of a Highly Engineered Estuary. J. Geophys. Res. Earth Surf. 2024, 129, e2023JF007595. [Google Scholar] [CrossRef]
- Horritt, M.S.; Bates, P.D. Evaluation of 1D and 2D numerical models for predicting river flood inundation. J. Hydrol. 2002, 268, 87–99. [Google Scholar] [CrossRef]
- Chua, V.P.; Xu, M. Impacts of sea-level rise on estuarine circulation: An idealized estuary and San Francisco Bay. J. Mar. Syst. 2014, 139, 58–67. [Google Scholar] [CrossRef]
- Gomes, M.P.; Pinho, J.L.; Carmo, J.S.A.D.; Santos, L. Hazard assessment of storm events for The Battery, New York. Ocean Coast. Manag. 2015, 118, 22–31. [Google Scholar] [CrossRef][Green Version]
- Yang, Z.; Wang, T.; Voisin, N.; Copping, A. Estuarine response to river flow and sea-level rise under future climate change and human development. Estuar. Coast. Shelf Sci. 2015, 156, 19–30. [Google Scholar] [CrossRef]
- Teng, J.; Jakeman, A.J.; Vaze, J.; Croke, B.F.W.; Dutta, D.; Kim, S. Flood inundation modelling: A review of methods, recent advances and uncertainty analysis. Environ. Model. Softw. 2017, 90, 201–216. [Google Scholar] [CrossRef]
- Weber de Melo, W.; Pinho, J.L.; Iglesias, I.; Bio, A.; Avilez-Valente, P.; Vieira, J.M.P.; Bastos, L.; Veloso-Gomes, F. Hydro- and Morphodynamic Impacts of Sea Level Rise: The Minho Estuary Case Study. J. Mar. Sci. Eng. 2020, 8, 441. [Google Scholar] [CrossRef]
- Iglesias, I.; Bio, A.; Melo, W.; Avilez-Valente, P.; Pinho, J.; Cruz, M.; Gomes, A.; Vieira, J.; Bastos, L.; Veloso-Gomes, F. Hydrodynamic Model Ensembles for Climate Change Projections in Estuarine Regions. Water 2022, 14, 1966. [Google Scholar] [CrossRef]
- Menten, G.; Melo, W.; Pinho, S.; Iglésias, I.; Antunes, S. Simulation of Saltwater Intrusion in the Minho River Estuary under Sea Level Rise Scenarios. Water 2023, 15, 2313. [Google Scholar] [CrossRef]
- Hu, K.; Ding, P.; Wang, Z.; Yang, S. A 2D/3D hydrodynamic and sediment transport model for the Yangtze Estuary, China. J. Mar. Syst. 2009, 77, 114–136. [Google Scholar] [CrossRef]
- Néelz, S.; Pender, G. Benchmarking the Latest Generation of 2D Hydraulic Modelling Packages. 2013. Available online: https://www.gov.uk/government/publications/benchmarking-the-latest-generation-of-2d-hydraulic-flood-modelling-packages (accessed on 4 September 2025).
- Wan, Y.; Gu, F.; Wu, H.; Roelvink, D. Hydrodynamic evolutions at the Yangtze Estuary from 1998 to 2009. Appl. Ocean Res. 2014, 47, 291–302. [Google Scholar] [CrossRef]
- Symonds, A.M.; Vijverberg, T.; Post, S.; Van der Spek, B.-J.; Henrotte, J.; Sokolewicz, M. Comparison between Mike 21 FM, Delft3d and Delft3d FM Flow Models of Western Port Bay, Australia. Coast. Eng. Proc. 2017, 1, 11. [Google Scholar] [CrossRef]
- Iglesias, I.; Venâncio, S.; Pinho, J.L.; Avilez-Valente, P.; Vieira, J.M.P. Two Models Solutions for the Douro Estuary: Flood Risk Assessment and Breakwater Effects. Estuaries Coasts 2018, 42, 348–364. [Google Scholar] [CrossRef]
- Iglesias, I.; Bio, A.; Bastos, L.; Avilez-Valente, P. Estuarine hydrodynamic patterns and hydrokinetic energy production: The Douro estuary case study. Energy 2021, 222, 119972. [Google Scholar] [CrossRef]
- Largier, J.L. Recognizing Low-Inflow Estuaries as a Common Estuary Paradigm. Estuaries Coasts 2023, 46, 1949–1970. [Google Scholar] [CrossRef]
- APA—Associação Portuguesa do Ambiente. Plano de Gestão de Região Hidrográfica; Parte 2—Caracterização e, Diagnóstico; Região Hidrográfica do Cávado, Ave e Leça; APA: Amadora, Portugal, 2015. [Google Scholar]
- Gonçalves, A.M.; Alpuim, T. Water quality monitoring using cluster analysis and linear models. Environmetrics 2011, 22, 933–945. [Google Scholar] [CrossRef]
- Rocha, M.J.; Madureira, T.V.; Venade, C.S.; Martins, I.; Campos, J.; Rocha, E. Presence of estrogenic endocrine disruptors in three European estuaries in Northwest Iberian Peninsula (Portugal). Toxicol. Environ. Chem. Rev. 2019, 101, 244–264. [Google Scholar] [CrossRef]
- Antunes, S.C.; Vieira, L.R.; Iglesias, I.; Sousa-Pinto, I.; Correia, A.M.; Moreira, R.; Padilha, D.; Moschino, V.; Nicoletta, N.; Sigovini, M.; et al. Ecosystem State and ML Pollution Assessment in the Demo Site (Lagoon of Venice and Ave estuary); MAELSTROM Deliverable 2.3; European Commission: Brussels, Belgium, 2022; p. 143. [Google Scholar] [CrossRef]
- Abel, M. D2.2 First Version of Workflow Tools Published That Allows to Perform Quarterly Benchmarks of ML Solutions. 2023. Available online: https://www.maelstrom-eurohpc.eu/content/docs/uploads/doc14.pdf (accessed on 4 September 2025).
- Bio, A.; Gonçalves, J.A.; Magalhães, A.; Pinheiro, J.; Bastos, L. Combining Low-Cost Sonar and High-Precision Global Navigation Satellite System for Shallow Water Bathymetry. Estuaries Coasts 2020, 45, 1000–1011. [Google Scholar] [CrossRef]
- Deltares. 2025. Available online: https://www.deltares.nl/en/software-and-data/products/wflow-catchment-hydrology (accessed on 4 September 2025).
- Buschman, F.; Iglesias, I.; Ghezzo, M.; McKiver, W.; De Pascalis, F.; Zaggia, L.; Boisgontier, H.; Tiessen, M. MAELSTROM D2.2: Numerical Modelling and Field Campaigns to Support Litter Removal at the Demo Sites; Deltares 2023, CIIMAR, CNR; European Commission: Brussels, Belgium, 2023. [Google Scholar] [CrossRef]
- Yamazaki, D.; Ikeshima, D.; Sosa, J.; Bates, P.D.; Allen, G.; Pavelsky, T. MERIT Hydro: A high-resolution global hydrography map based on latest topography datasets. Water Resour. Res. 2019, 55, 5053–5073. [Google Scholar] [CrossRef]
- Hengl, T.; Mendes de Jesus, J.; Heuvelink, G.B.; Ruiperez Gonzalez, M.; Kilibarda, M.; Blagotić, A.; Shangguan, W.; Wright, M.N.; Geng, X.; Bauer-Marschallinger, B.; et al. SoilGrids250m: Global gridded soil information based on machine learning. PLoS ONE 2017, 12, e0169748. [Google Scholar] [CrossRef]
- Cornes, R.C.; van der Schrier, G.; van den Besselaar, E.J.M.; Jones, P.D. An Ensemble Version of the E-OBS Temperature and Precipitation Data Sets. J. Geophys. Res. Atmos. 2018, 123, 9391–9409. [Google Scholar] [CrossRef]
- Makkink, G.F. Examination of Penman’s revised formula. Neth. J. Agric. Sci. 1957, 5, 290–305. (In Esperanto) [Google Scholar] [CrossRef]
- ECMWF ERA5 Hourly Data on Single Levels from 1940 to Present. 2018. Available online: https://cds.climate.copernicus.eu/datasets/reanalysis-era5-single-levels?tab=overview (accessed on 4 September 2025).
- Hersbach, H.; Bell, B.; Berrisford, P.; Hirahara, S.; Horányi, A.; Muñoz-Sabater, J.; Nicolas, J.; Peubey, C.; Radu, R.; Schepers, D.; et al. The ERA5 global reanalysis. Q. J. R. Meteorol. Soc. 2020, 146, 1999–2049. [Google Scholar] [CrossRef]
- SNIRH—Sistema Nacional de Informação de Recursos Hídricos. Available online: https://snirh.apambiente.pt (accessed on 4 September 2025).
- European Marine Observation and Data Network (EMODnet). Bathymetry. 2020. Available online: https://www.emodnet-bathymetry.eu/ (accessed on 4 September 2025).
- Modelos Digitais do Relevo—DGT. 2011. Available online: https://www.dgterritorio.gov.pt/cartografia/cartografia-topografica/modelos-digitais (accessed on 4 September 2025).
- CIIMAR GIS Data Server. 2025. Available online: https://gis.ciimar.up.pt/ (accessed on 4 September 2025).
- Egbert, G.D.; Erofeeva, S.Y. Efficient Inverse Modeling of Barotropic Ocean Tides. J. Atmos. Ocean. Technol. 2002, 19, 183–204. [Google Scholar] [CrossRef]
- Pawlowicz, R.; Beardsley, B.; Lentz, S. Classical tidal harmonic analysis including error estimates in MATLAB using T_TIDE. Comput. Geosci. 2002, 28, 929–937. [Google Scholar] [CrossRef]
- Imhoff, R.O.; van Verseveld, W.J.; van Osnabrugge, B.; Weerts, A.H. Scaling Point-Scale (Pedo)transfer Functions to Seamless Large-Domain Parameter Estimates for High-Resolution Distributed Hydrologic Modeling: An Example for the Rhine River. Water Resour. Res. 2020, 56, e2019WR026807. [Google Scholar] [CrossRef]
- Clavel-Henry, M.; Sol’e, J.; Kristiansen, T.; Bahamon, N.; Rotllant, G.; Company, J. Modeled buoyancy of eggs and larvae of the deep-sea shrimp aristeus antennatus (crustacea: Decapoda) in the northwestern Mediterranean Sea. PLoS ONE 2020, 15, e0223396. [Google Scholar] [CrossRef] [PubMed]
- Peliz, A.; Marchesiello, P.; Dubert, J.; Marta-Almeida, M.; Roy, C.; Queiroga, H. A study of crab larvae dispersal on the Western Iberian Shelf: Physical processes. J. Mar. Syst. 2007, 68, 215–236. [Google Scholar] [CrossRef]
- Marta-Almeida, M.; Ruiz-Villarreal, M.; Pereira, J.; Otero, P.; Cirano, M.; Zhang, X.; Hetland, R. Efficient tools for marine operational forecast and oil spill tracking. Pollut. Bull. 2013, 71, 139–151. [Google Scholar] [CrossRef] [PubMed]
- Amorim, F.N.; Caetano, M.; Bastos, L.; Iglesias, I. Deep-sea mining rock-fragment dispersal scenarios associated with submesoscale forcings: A case study in the Atlantic. Heliyon 2024, 10, e34174. [Google Scholar] [CrossRef] [PubMed]
- Núñez, P.; García, A.; Mazarrasa, I.; Juanes, J.A.; Abascal, A.J.; Méndez, F.; Castanedo, S.; Medina, R. A methodology to assess the probability of marine litter accumulation in estuaries. Mar. Pollut. Bull. 2019, 144, 309–324. [Google Scholar] [CrossRef]
- Krelling, A.P.; Souza, M.M.; Williams, A.T.; Turra, A. Transboundary movement of marine litter in an estuarine gradient: Evaluating sources and sinks using hydrodynamic modelling and ground truthing estimates. Mar. Pollut. Bull. 2017, 119, 48–63. [Google Scholar] [CrossRef]
- Baci, N.O.; Santiago-Collazo, F.L.; Woodson, C.B.; Jambeck, J.R. Advancing numerical models for land-to-ocean litter transport: A review of hydrodynamic processes and inland contributions. Sci. Total Environ. 2025, 970, 179013. [Google Scholar] [CrossRef]
- De Almeida Duarte, L.F.; Ribeiro, R.B.; De Medeiros, T.V.; Scheppis, W.R.; Gimiliani, G.T. Are mangroves hotspots of marine litter for surrounding beaches? Hydrodynamic modeling and quali-quantitative analyses of waste in southeastern Brazil. Reg. Stud. Mar. Sci. 2023, 67, 103177. [Google Scholar] [CrossRef]













| Campaign | Location | Measurements | Observation Period |
|---|---|---|---|
| 1 | Sites 1 and 2 | CTDs | 27 June 2022–26 July 2022 |
| 2 | Sites 1 and 2 | ADCP + CTDs | 31 October 2022–15 December 2022 |
| 3 | 23 May 2023–21 June 2023 |
| Scenarios | Period | Discharge Range (m3 s−1) | Temperature (°C) | Salinity |
|---|---|---|---|---|
| VS1 | 27 June 2022–13 July 2022 | [8–10] | River: 20 Ocean: 15 | River: 0 Ocean: 36 |
| VS2 | 31 October 2022–15 December 2022 | [18–205] | River: 14 Ocean: 17 | |
| VS3 | 19 May 2023–23 June 2023 | [11–26] | River: 20 Ocean: 15 |
| Scenario | Discharge (m3 s−1) | Tide | Temperature (°C) | Salinity |
|---|---|---|---|---|
| S1 (Summer) | 20 | 7 February 2023–5 March 2023 | 17 | 36 |
| S2 (Winter) | 200 | |||
| S3 (Extreme) | 500 |
| Sampling Site | Tidal Constituent | From Measured Water Levels | From Modelled Water Levels | ||
|---|---|---|---|---|---|
| Amplitude (m) | Phase (°) | Amplitude (m) | Phase (°) | ||
| 1 | O1 | 0.07 | 302.09 | 0.07 | 299.22 |
| K1 | 0.08 | 116.25 | 0.08 | 121.34 | |
| M2 | 1.02 | 118.80 | 0.96 | 118.49 | |
| S2 | 0.34 | 142.89 | 0.31 | 147.11 | |
| F = 0.11 | F = 0.12 | ||||
| 2 | O1 | 0.07 | 300.32 | 0.07 | 298.36 |
| K1 | 0.08 | 115.57 | 0.08 | 120.86 | |
| M2 | 1.01 | 117.81 | 0.98 | 118.01 | |
| S2 | 0.34 | 143.40 | 0.32 | 146.85 | |
| F = 0.11 | F = 0.12 | ||||
| Sampling Site | Tidal Constituent | From Measured Water Levels | From Modelled Water Levels | ||
|---|---|---|---|---|---|
| Amplitude (m) | Phase (°) | Amplitude (m) | Phase (°) | ||
| 1 | O1 | 0.07 | 23.09 | 0.07 | 9.39 |
| K1 | 0.1 | 84.19 | 0.1 | 73.82 | |
| M2 | 1 | 172.45 | 1.01 | 144.81 | |
| S2 | 0.25 | 116.05 | 0.27 | 87.44 | |
| F = 0.14 | F = 0.13 | ||||
| 2 | O1 | 0.07 | 22.64 | 0.07 | 8.99 |
| K1 | 0.09 | 83.55 | 0.1 | 73.80 | |
| M2 | 1 | 172.67 | 1.01 | 144.70 | |
| S2 | 0.25 | 116.62 | 0.27 | 87.35 | |
| F = 0.13 | F = 0.13 | ||||
| VS1 | VS2 | VS3 | ||||||
|---|---|---|---|---|---|---|---|---|
| WL1 | WL2 | WL1 | WL2 | V1 | WL1 | WL2 | V1 | |
| Correlation | 1 | 1 | 0.94 | 0.98 | 0.78 | 0.88 | 0.88 | 0.69 |
| RMSE | 0.07 | 0.06 | 0.28 | 0.17 | 0.09 | 0.37 | 0.37 | 0.03 |
| Bias | 0 | 0 | 0 | 0 | 0.02 | 0 | 0 | 0.03 |
| Skill | 1 | 1 | 0.97 | 0.99 | 1 | 0.94 | 0.94 | 0.78 |
| ADP | 0.05 | 0.05 | 0.25 | 0.14 | 0.08 | 0.31 | 0.32 | 0.03 |
| ADN | −0.06 | −0.05 | −0.27 | −0.14 | −0.08 | −0.32 | −0.32 | −0.01 |
Disclaimer/Publisher’s Note: The statements, opinions and data contained in all publications are solely those of the individual author(s) and contributor(s) and not of MDPI and/or the editor(s). MDPI and/or the editor(s) disclaim responsibility for any injury to people or property resulting from any ideas, methods, instructions or products referred to in the content. |
© 2025 by the authors. Licensee MDPI, Basel, Switzerland. This article is an open access article distributed under the terms and conditions of the Creative Commons Attribution (CC BY) license (https://creativecommons.org/licenses/by/4.0/).
Share and Cite
Ahnouch, L.B.; Buschman, F.; Boisgontier, H.; Bio, A.; Vieira, L.R.; Antunes, S.C.; Kett, G.F.; Sousa-Pinto, I.; Iglesias, I. Representing Small Shallow Water Estuary Hydrodynamics to Uncover Litter Transport Patterns. Water 2025, 17, 2698. https://doi.org/10.3390/w17182698
Ahnouch LB, Buschman F, Boisgontier H, Bio A, Vieira LR, Antunes SC, Kett GF, Sousa-Pinto I, Iglesias I. Representing Small Shallow Water Estuary Hydrodynamics to Uncover Litter Transport Patterns. Water. 2025; 17(18):2698. https://doi.org/10.3390/w17182698
Chicago/Turabian StyleAhnouch, Lubna Benchama, Frans Buschman, Helene Boisgontier, Ana Bio, Luis R. Vieira, Sara C. Antunes, Gary F. Kett, Isabel Sousa-Pinto, and Isabel Iglesias. 2025. "Representing Small Shallow Water Estuary Hydrodynamics to Uncover Litter Transport Patterns" Water 17, no. 18: 2698. https://doi.org/10.3390/w17182698
APA StyleAhnouch, L. B., Buschman, F., Boisgontier, H., Bio, A., Vieira, L. R., Antunes, S. C., Kett, G. F., Sousa-Pinto, I., & Iglesias, I. (2025). Representing Small Shallow Water Estuary Hydrodynamics to Uncover Litter Transport Patterns. Water, 17(18), 2698. https://doi.org/10.3390/w17182698

