Impact of Climate and Landscape on the Spatial Patterns of Soil Moisture Variation on the Tibetan Plateau
Abstract
1. Introduction
2. Materials and Methods
2.1. Data
2.2. Methods
3. Results
3.1. Spatial Variations in Climate, Topography, and Vegetation Across the Tibetan Plateau
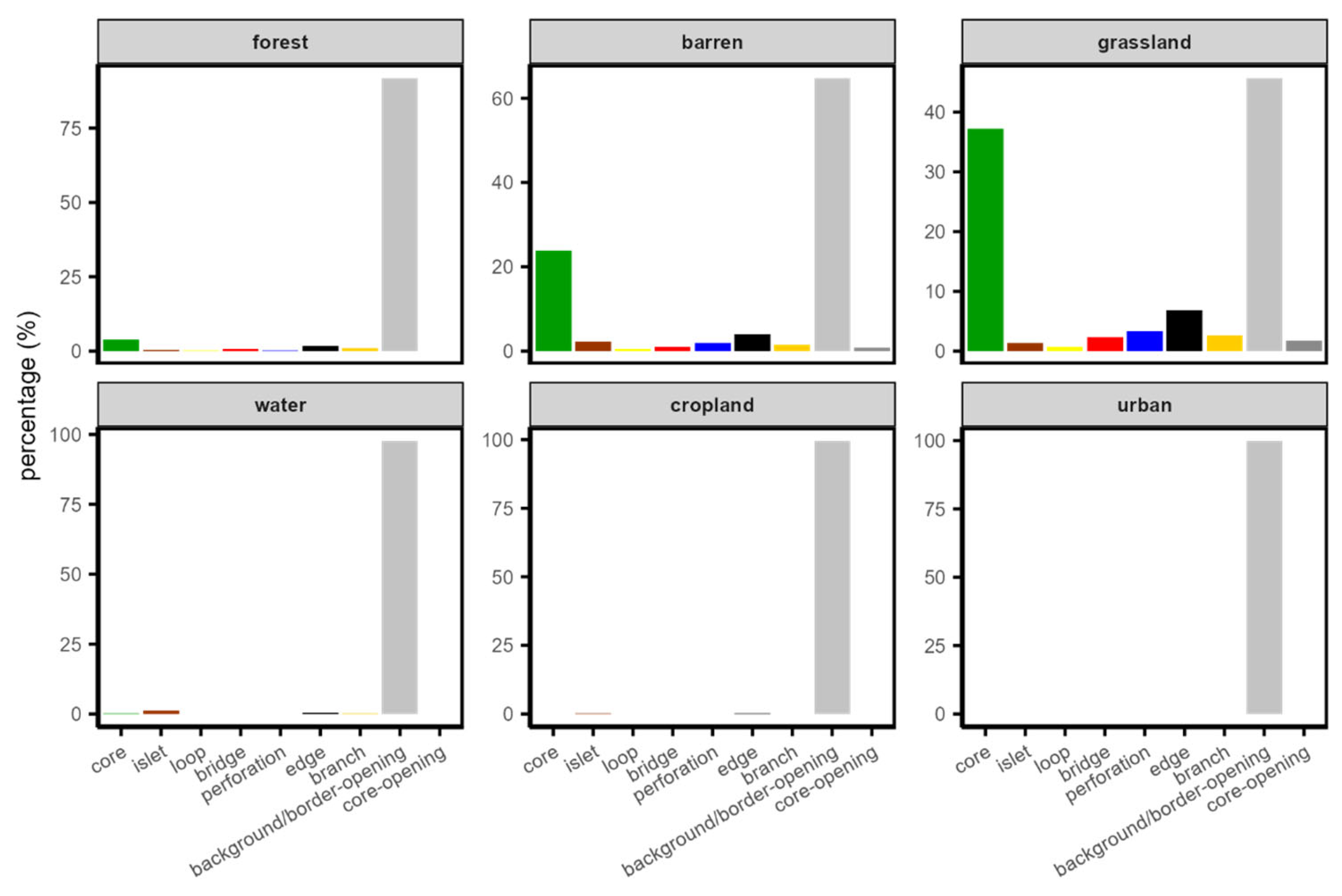
3.2. Spatial Variation in Landscape Morphology for Land Covers on the Tibetan Plateau
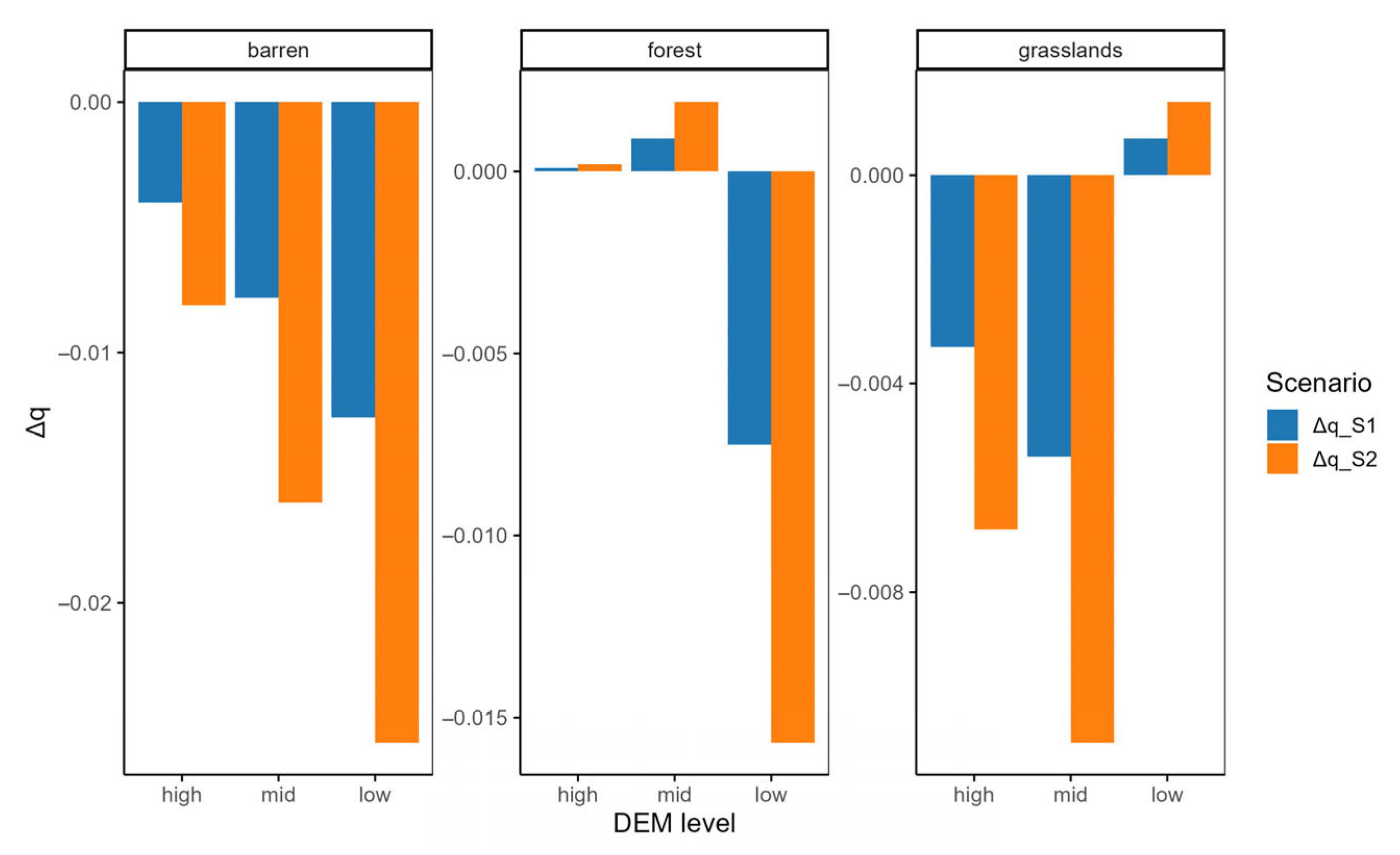
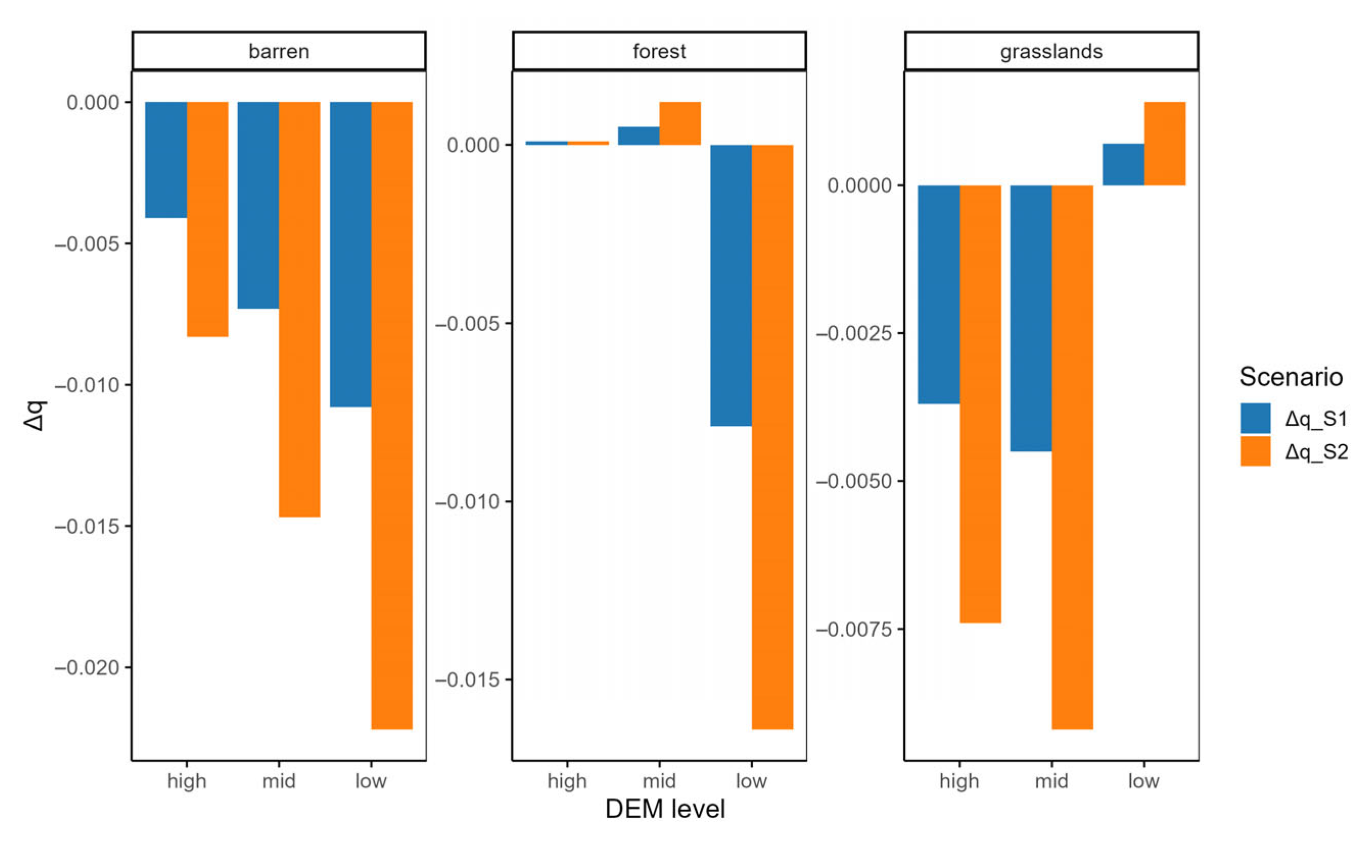
3.3. Impacts of Factors on Soil Moisture Variation Across the Tibetan Plateau
4. Discussion
4.1. Gradient Effects of Climate, Topography, and Vegetation on Soil Moisture Variability
4.2. Contrasting Effects of Landscape Morphology for Land Covers on Soil Moisture Variation
4.3. Interactive Effects of Landscape Morphology and Other Factors on Soil Moisture Variation
4.4. Effects of Temperature Anomalies on the Role of Key Land Cover Morphologies in Soil Moisture Regulation
5. Conclusions
Supplementary Materials
Author Contributions
Funding
Data Availability Statement
Acknowledgments
Conflicts of Interest
Abbreviations
| aet | actual evapotranspiration |
| pr | precipitation accumulation |
| srad | downward surface shortwave radiation |
| tmmn | minimum temperature |
| tmmx | maximum temperature |
| ele | elevation |
| NDVI | normalized difference vegetation index |
| SM | soil moisture |
References
- Su, Z.; De Rosnay, P.; Wen, J.; Wang, L.; Zeng, Y. Evaluation of ECMWF’s Soil Moisture Analyses Using Observations on the Tibetan Plateau. J. Geophys. Res. Atmos. 2013, 118, 5304–5318. [Google Scholar] [CrossRef]
- Cui, Y.; Zeng, C.; Zhou, J.; Xie, H.; Wan, W.; Hu, L.; Xiong, W.; Chen, X.; Fan, W.; Hong, Y. A Spatio-Temporal Continuous Soil Moisture Dataset over the Tibet Plateau from 2002 to 2015. Sci. Data 2019, 6, 247. [Google Scholar] [CrossRef]
- Yohannes, H.; Soromessa, T.; Argaw, M.; Dewan, A. Impact of Landscape Pattern Changes on Hydrological Ecosystem Services in the Beressa Watershed of the Blue Nile Basin in Ethiopia. Sci. Total Environ. 2021, 793, 148559. [Google Scholar] [CrossRef]
- Zhu, B.; Xie, X.; Meng, S.; Lu, C.; Yao, Y. Sensitivity of Soil Moisture to Precipitation and Temperature over China: Present State and Future Projection. Sci. Total Environ. 2020, 705, 135774. [Google Scholar] [CrossRef]
- Berg, A.; Sheffield, J.; Milly, P.C.D. Divergent Surface and Total Soil Moisture Projections under Global Warming. Geophys. Res. Lett. 2017, 44, 236–244. [Google Scholar] [CrossRef]
- Grillakis, M.G. Increase in Severe and Extreme Soil Moisture Droughts for Europe under Climate Change. Sci. Total Environ. 2019, 660, 1245–1255. [Google Scholar] [CrossRef]
- Deng, Q.; Yang, J.; Zhang, L.; Sun, Z.; Sun, G.; Chen, Q.; Dou, F. Analysis of Seasonal Driving Factors and Inversion Model Optimization of Soil Moisture in the Qinghai Tibet Plateau Based on Machine Learning. Water 2023, 15, 2859. [Google Scholar] [CrossRef]
- Wang, L.; Lu, J.; Zhou, R.; Duan, G.; Wen, Z. Analysis of Soil Moisture Change Characteristics and Influencing Factors of Grassland on the Tibetan Plateau. Remote Sens. 2023, 15, 298. [Google Scholar] [CrossRef]
- Wang, T.; Franz, T.E.; Li, R.; You, J.; Shulski, M.D.; Ray, C. Evaluating Climate and Soil Effects on Regional Soil Moisture Spatial Variability Using EOFs. Water Resour. Res. 2017, 53, 4022–4035. [Google Scholar] [CrossRef]
- Pan, X.; Guo, X.; Li, X.; Niu, X.; Yang, X.; Feng, M.; Che, T.; Jin, R.; Ran, Y.; Guo, J.; et al. National Tibetan Plateau Data Center: Promoting Earth System Science on the Third Pole. Bull. Am. Meteorol. Soc. 2021, 102, E2062–E2078. [Google Scholar] [CrossRef]
- Yao, T.; Bolch, T.; Chen, D.; Gao, J.; Immerzeel, W.; Piao, S.; Su, F.; Thompson, L.; Wada, Y.; Wang, L.; et al. The Imbalance of the Asian Water Tower. Nat. Rev. Earth Environ. 2022, 3, 618–632. [Google Scholar] [CrossRef]
- Bai, W.; Chen, X.; Tang, Y.; He, Y.; Zheng, Y. Temporal and Spatial Changes of Soil Moisture and Its Response to Temperature and Precipitation over the Tibetan Plateau. Hydrol. Sci. J. 2019, 64, 1370–1384. [Google Scholar] [CrossRef]
- Fan, K.; Zhang, Q.; Singh, V.P.; Sun, P.; Song, C.; Zhu, X.; Yu, H.; Shen, Z. Spatiotemporal Impact of Soil Moisture on Air Temperature across the Tibet Plateau. Sci. Total Environ. 2019, 649, 1338–1348. [Google Scholar] [CrossRef] [PubMed]
- Dai, L.; Fu, R.; Guo, X.; Du, Y.; Zhang, F.; Cao, G. Soil Moisture Variations in Response to Precipitation Across Different Vegetation Types on the Northeastern Qinghai-Tibet Plateau. Front. Plant Sci. 2022, 13, 854152. [Google Scholar] [CrossRef]
- Tian, J.; Zhang, B.; He, C.; Han, Z.; Bogena, H.R.; Huisman, J.A. Dynamic Response Patterns of Profile Soil Moisture Wetting Events under Different Land Covers in the Mountainous Area of the Heihe River Watershed, Northwest China. Agric. For. Meteorol. 2019, 271, 225–239. [Google Scholar] [CrossRef]
- Zhang, E.; Liu, Y.; Pan, T.; Tan, Q.; Ma, Z. Evaluating the Effects of Climate Change and Human Activities on the Seasonal Trends and Spatial Heterogeneity of Soil Moisture. Remote Sens. 2022, 14, 4862. [Google Scholar] [CrossRef]
- Liu, Y.; Yang, Y. Spatial-Temporal Variability Pattern of Multi-Depth Soil Moisture Jointly Driven by Climatic and Human Factors in China. J. Hydrol. 2023, 619, 129313. [Google Scholar] [CrossRef]
- Zhang, K.; Wang, Q.; Chao, L.; Ye, J.; Li, Z.; Yu, Z.; Yang, T.; Ju, Q. Ground Observation-Based Analysis of Soil Moisture Spatiotemporal Variability across a Humid to Semi-Humid Transitional Zone in China. J. Hydrol. 2019, 574, 903–914. [Google Scholar] [CrossRef]
- Ye, L.; Fang, L.; Shi, Z.; Deng, L.; Tan, W. Spatio-Temporal Dynamics of Soil Moisture Driven by ‘Grain for Green’ Program on the Loess Plateau, China. Agric. Ecosyst. Environ. 2019, 269, 204–214. [Google Scholar] [CrossRef]
- Wu, D.; Wang, T.; Di, C.; Wang, L.; Chen, X. Investigation of Controls on the Regional Soil Moisture Spatiotemporal Patterns across Different Climate Zones. Sci. Total Environ. 2020, 726, 138214. [Google Scholar] [CrossRef]
- Srivastava, A.; Saco, P.M.; Rodriguez, J.F.; Kumari, N.; Chun, K.P.; Yetemen, O. The Role of Landscape Morphology on Soil Moisture Variability in Semi-arid Ecosystems. Hydrol. Process. 2021, 35, e13990. [Google Scholar] [CrossRef]
- Feng, H.; Liu, Y. Combined Effects of Precipitation and Air Temperature on Soil Moisture in Different Land Covers in a Humid Basin. J. Hydrol. 2015, 531, 1129–1140. [Google Scholar] [CrossRef]
- Abatzoglou, J.T.; Dobrowski, S.Z.; Parks, S.A.; Hegewisch, K.C. TerraClimate, a High-Resolution Global Dataset of Monthly Climate and Climatic Water Balance from 1958–2015. Sci. Data 2018, 5, 170191. [Google Scholar] [CrossRef] [PubMed]
- Friedl, M.A.; McIver, D.K.; Hodges, J.C.F.; Zhang, X.Y.; Muchoney, D.; Strahler, A.H.; Woodcock, C.E.; Gopal, S.; Schneider, A.; Cooper, A.; et al. Global Land Cover Mapping from MODIS: Algorithms and Early Results. Remote Sens. Environ. 2002, 83, 287–302. [Google Scholar] [CrossRef]
- Lehner, B.; Verdin, K.; Jarvis, A. New Global Hydrography Derived From Spaceborne Elevation Data. EoS Trans. 2008, 89, 93–94. [Google Scholar] [CrossRef]
- Soille, P.; Vogt, P. Morphological Spatial Pattern Analysis: Open Source Release. Int. Arch. Photogramm. Remote Sens. Spat. Inf. Sci. 2022, XLVIII-4/W1-2022, 427–433. [Google Scholar] [CrossRef]
- Wang, J.; Li, X.; Christakos, G.; Liao, Y.; Zhang, T.; Gu, X.; Zheng, X. Geographical Detectors-Based Health Risk Assessment and Its Application in the Neural Tube Defects Study of the Heshun Region, China. Int. J. Geogr. Inf. Sci. 2010, 24, 107–127. [Google Scholar] [CrossRef]
- Cao, F.; Ge, Y.; Wang, J.-F. Optimal Discretization for Geographical Detectors-Based Risk Assessment. GISci. Remote Sens. 2013, 50, 78–92. [Google Scholar] [CrossRef]
- Peng, C.; Zeng, J.; Chen, K.-S.; Li, Z.; Ma, H.; Zhang, X.; Shi, P.; Wang, T.; Yi, L.; Bi, H. Global Spatiotemporal Trend of Satellite-Based Soil Moisture and Its Influencing Factors in the Early 21st Century. Remote Sens. Environ. 2023, 291, 113569. [Google Scholar] [CrossRef]
- Li, Y.-X.; Leng, P.; Kasim, A.A.; Li, Z.-L. Spatiotemporal Variability and Dominant Driving Factors of Satellite Observed Global Soil Moisture from 2001 to 2020. J. Hydrol. 2025, 654, 132848. [Google Scholar] [CrossRef]
- Wu, S.; Wei, Z.; Li, X.; Ma, L. Land—atmosphere Coupling Effects of Soil Temperature and Moisture on Extreme Precipitation in the Arid Regions of Northwest China. Front. Earth Sci. 2023, 10, 1079131. [Google Scholar] [CrossRef]
- Pulido-Esquivel, A.Y.; Prado-Hernández, J.V.; Buendía-Espinoza, J.C.; García-Núñez, R.M. Agroforestry Systems Enhance Soil Moisture Retention and Aquifer Recharge in a Semi-Arid Mexican Valley. Water 2025, 17, 1488. [Google Scholar] [CrossRef]
- Nemésio, A.; Silva, D.P.; Nabout, J.C.; Varela, S. Effects of Climate Change and Habitat Loss on a Forest-dependent Bee Species in a Tropical Fragmented Landscape. Insect Conserv. Divers. 2016, 9, 149–160. [Google Scholar] [CrossRef]
- Yu, H.; Cui, W.; He, Z.; Yang, M.; Tan, H.; Yang, Q. Soil Moisture Loss in Planted Forests and Its Driving Factors: A Case Study of the Nanpan River Basin. Forests 2025, 16, 665. [Google Scholar] [CrossRef]
- Chen, L.; Zhang, K.; Wang, G. Dynamic Response of Soil Water to Rainfall for Different Runoff Plots on a Karst Hillslope. Geoderma 2025, 460, 117394. [Google Scholar] [CrossRef]
- Lin, M.; Zhang, J.; Cao, G.; Han, H.; Jin, Z.; Luo, D.; Zeng, G. Responses of Soil Moisture to Gully Land Consolidation in Asian Areas with Monsoon Climate. Water 2024, 16, 2001. [Google Scholar] [CrossRef]
- Grant, R.F.; Mekonnen, Z.A.; Riley, W.J.; Wainwright, H.M.; Graham, D.; Torn, M.S. Mathematical Modelling of Arctic Polygonal Tundra with Ecosys: 1. Microtopography Determines How Active Layer Depths Respond to Changes in Temperature and Precipitation. JGR Biogeosci. 2017, 122, 3161–3173. [Google Scholar] [CrossRef]
- Li, S.; Birk, S.; Xue, L.; Ren, H.; Chang, J.; Yao, X. Seasonal Changes in the Soil Moisture Distribution around Bare Rock Outcrops within a Karst Rocky Desertification Area (Fuyuan County, Yunnan Province, China). Environ. Earth Sci. 2016, 75, 1482. [Google Scholar] [CrossRef]












| IGBP Land Cover | Landscape Class |
|---|---|
| Evergreen Needleleaf Forest | forest |
| Evergreen Broadleaf Forest | |
| Evergreen Broadleaf Forest | |
| Deciduous Needleleaf Forest | |
| Deciduous Broadleaf Forest | |
| Mixed Forest | |
| Woody Savanna | |
| Closed Shrubland | grasslands |
| Open Shrubland | |
| Savanna | |
| Grassland | |
| Cropland | cropland |
| Cropland/Natural Vegetation Mosaic | |
| Urban and Built-up Land | urban land |
| Barren or Sparsely Vegetated Land | barren land |
| Permanent Wetland | water and ice |
| Snow and Ice | |
| Water Bodies |
| Factors | Optimal Discretization Method | Number of Groups | |
|---|---|---|---|
| climate | actual evapotranspiration (aet) | sd | 10 |
| precipitation accumulation (pr) | natural | 10 | |
| downward surface shortwave radiation (srad) | natural | 9 | |
| minimum temperature (tmmn) | equal | 10 | |
| maximum temperature (tmmx) | natural | 10 | |
| vegetation | normalized difference vegetation index (NDVI) | equal | 10 |
| topography | elevation (ele) | natural | 10 |
| slope | sd | 10 | |
| Variable | q_Cold | q_Normal | q_Warm | Δq_Cold | Δq_Warm |
|---|---|---|---|---|---|
| pr | 0.7058 * | 0.7016 * | 0.7043 * | 0.0043 | 0.0028 |
| aet | 0.4233 * | 0.4825 * | 0.4945 * | −0.0592 | 0.012 |
| NDVI | 0.4043 * | 0.387 * | 0.4323 * | 0.0173 | 0.0453 |
| srad | 0.2711 * | 0.5704 * | 0.2919 * | −0.2993 | −0.2785 |
| forest | 0.2637 * | 0.2643 * | 0.2835 * | −0.0005 | 0.0192 |
| barren | 0.2343 * | 0.2278 * | 0.2104 * | 0.0066 | −0.0173 |
| tmmn | 0.1932 * | 0.1886 * | 0.2000 * | 0.0046 | 0.0114 |
| tmmx | 0.1904 * | 0.1811 * | 0.1859 * | 0.0093 | 0.0048 |
| dem | 0.183 * | 0.2062 * | 0.1968 * | −0.0233 | −0.0094 |
| slope | 0.1124 * | 0.109 * | 0.1142 * | 0.0034 | 0.0052 |
| grasslands | 0.0521 * | 0.0487 * | 0.0409 * | 0.0034 | −0.0077 |
| water | 0.0008 * | 0.0009 * | 0.0011 * | −0.0001 | 0.0002 |
| cropland | 0.0001 | 0.0002 * | 0.0002 * | −0.0001 | 0.0000 |
| urban | 0.0000 | 0.0000 * | 0.0000 * | 0.0000 | 0.0000 |
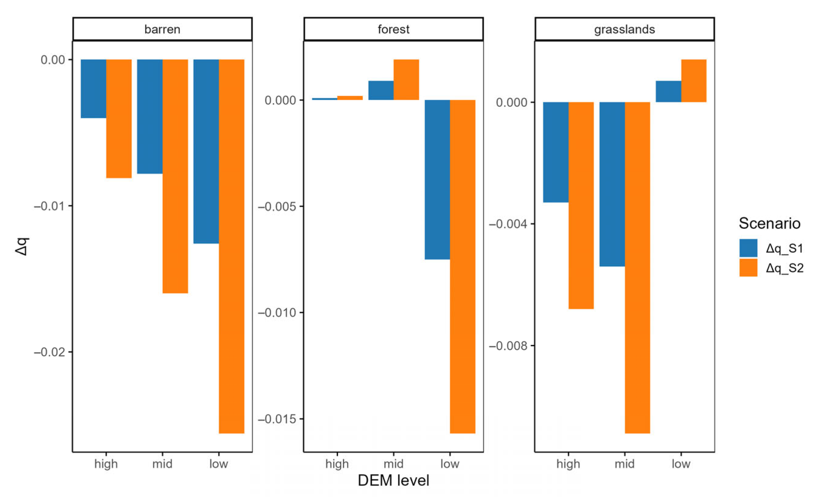
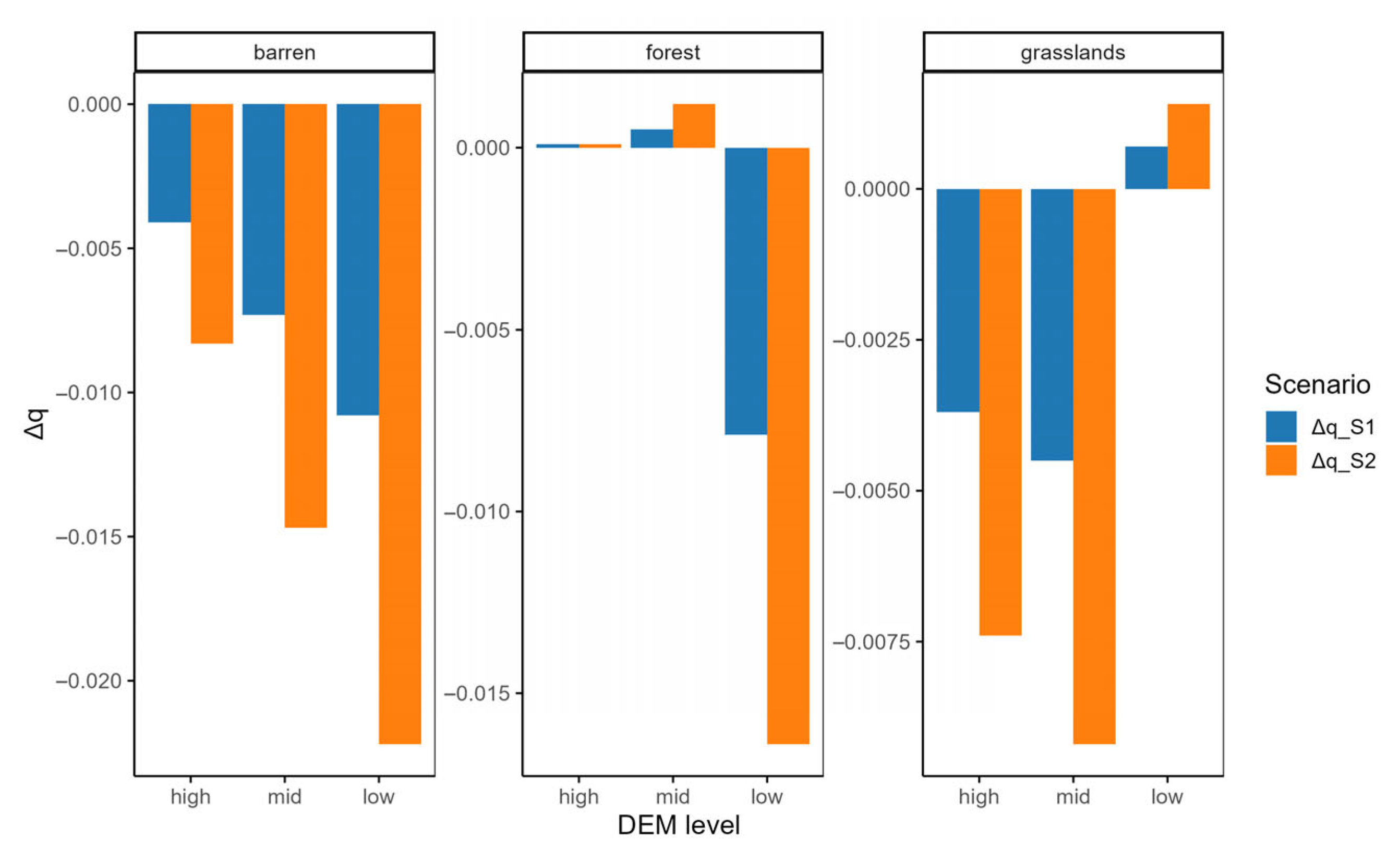
| Land Cover | Morphology | Cold | Normal | Warm | ΔSM_Cold | ΔSM_Warm |
|---|---|---|---|---|---|---|
| forest | background | 24.94 | 25.25 | 22.56 | −0.31 | −2.69 |
| core | 104.10 | 108.48 | 104.29 | −4.38 | −4.19 | |
| islet | 59.66 | 55.62 | 50.04 | 4.05 | −5.58 | |
| loop | 90.25 | 86.67 | 89.05 | 3.58 | 2.38 | |
| bridge | 90.43 | 90.75 | 88.74 | −0.32 | −2.01 | |
| perforation | 83.16 | 81.29 | 78.79 | 1.86 | −2.51 | |
| edge | 76.61 | 77.53 | 74.63 | −0.92 | −2.90 | |
| branch | 83.59 | 83.90 | 79.33 | −0.31 | −4.58 | |
| core-opening | 98.42 | 98.68 | 96.83 | −0.26 | −1.85 | |
| grasslands | background | 21.66 | 22.29 | 21.21 | −0.63 | −1.08 |
| core | 36.05 | 36.33 | 31.93 | −0.28 | −4.39 | |
| islet | 32.70 | 33.05 | 32.83 | −0.35 | −0.21 | |
| loop | 24.39 | 24.08 | 21.26 | 0.31 | −2.83 | |
| bridge | 35.54 | 36.77 | 33.38 | −1.23 | −3.38 | |
| perforation | 28.83 | 29.53 | 26.95 | −0.70 | −2.58 | |
| edge | 54.78 | 55.29 | 51.35 | −0.51 | −3.95 | |
| branch | 47.73 | 48.86 | 46.08 | −1.13 | −2.78 | |
| core-opening | 40.22 | 39.82 | 37.10 | 0.40 | −2.72 | |
| barren | background | 45.08 | 45.64 | 41.64 | −0.56 | −4.00 |
| core | 2.95 | 3.07 | 2.56 | −0.12 | −0.51 | |
| islet | 47.24 | 47.93 | 46.60 | −0.70 | −1.33 | |
| loop | 5.33 | 5.37 | 4.77 | −0.04 | −0.60 | |
| bridge | 14.78 | 15.23 | 13.51 | −0.45 | −1.72 | |
| perforation | 17.31 | 17.68 | 16.49 | −0.37 | −1.18 | |
| edge | 16.84 | 17.42 | 16.11 | −0.57 | −1.31 |
Disclaimer/Publisher’s Note: The statements, opinions and data contained in all publications are solely those of the individual author(s) and contributor(s) and not of MDPI and/or the editor(s). MDPI and/or the editor(s) disclaim responsibility for any injury to people or property resulting from any ideas, methods, instructions or products referred to in the content. |
© 2025 by the authors. Licensee MDPI, Basel, Switzerland. This article is an open access article distributed under the terms and conditions of the Creative Commons Attribution (CC BY) license (https://creativecommons.org/licenses/by/4.0/).
Share and Cite
Wang, F.; Zhao, Q.; Ma, Y. Impact of Climate and Landscape on the Spatial Patterns of Soil Moisture Variation on the Tibetan Plateau. Water 2025, 17, 2625. https://doi.org/10.3390/w17172625
Wang F, Zhao Q, Ma Y. Impact of Climate and Landscape on the Spatial Patterns of Soil Moisture Variation on the Tibetan Plateau. Water. 2025; 17(17):2625. https://doi.org/10.3390/w17172625
Chicago/Turabian StyleWang, Fangfang, Qiang Zhao, and Yaoming Ma. 2025. "Impact of Climate and Landscape on the Spatial Patterns of Soil Moisture Variation on the Tibetan Plateau" Water 17, no. 17: 2625. https://doi.org/10.3390/w17172625
APA StyleWang, F., Zhao, Q., & Ma, Y. (2025). Impact of Climate and Landscape on the Spatial Patterns of Soil Moisture Variation on the Tibetan Plateau. Water, 17(17), 2625. https://doi.org/10.3390/w17172625

