Hydraulic Response of Dam-Break Flood Waves to Converging Channel Geometries: A Numerical Investigation
Abstract
1. Introduction
2. Materials and Methods
2.1. Numerical Model Description
2.2. CFD Code
2.3. Model Setup
2.4. Verification of the Numerical Model
2.4.1. Mesh Sensitivity Analysis
2.4.2. Accuracy Comparison Between Turbulence Models
2.4.3. Accuracy Assessment of the Optimal Numerical Model
3. Results
3.1. General Observations
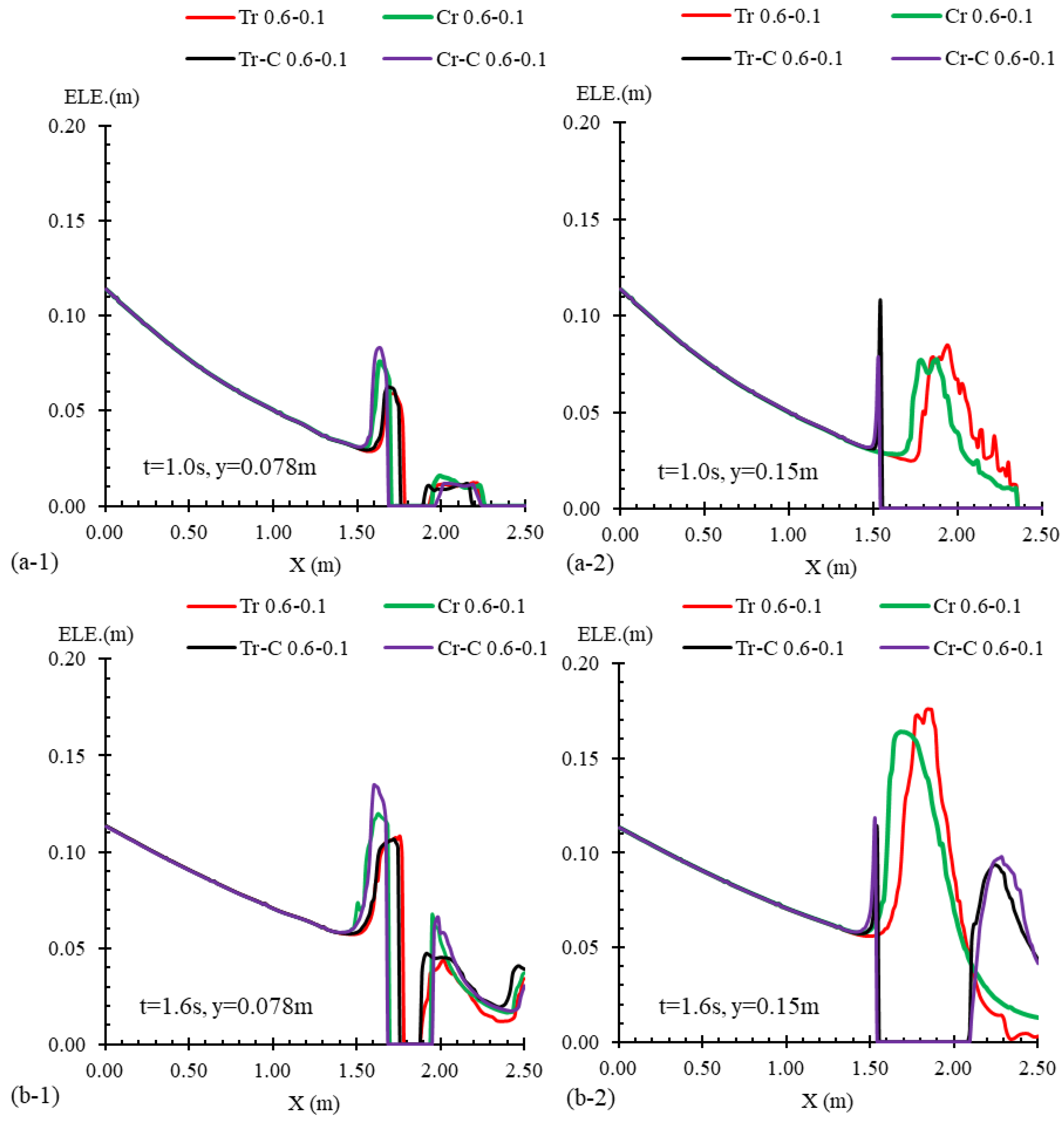
3.2. Effect of Transition Shape on Flow Hydraulics
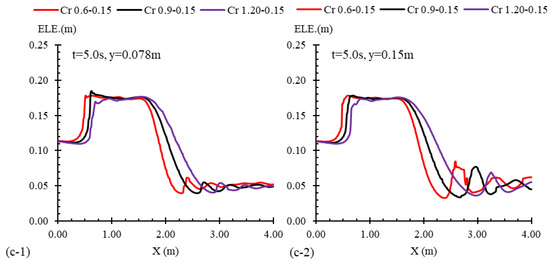
3.3. Effect of Channel Contraction Width on Flow Hydraulics
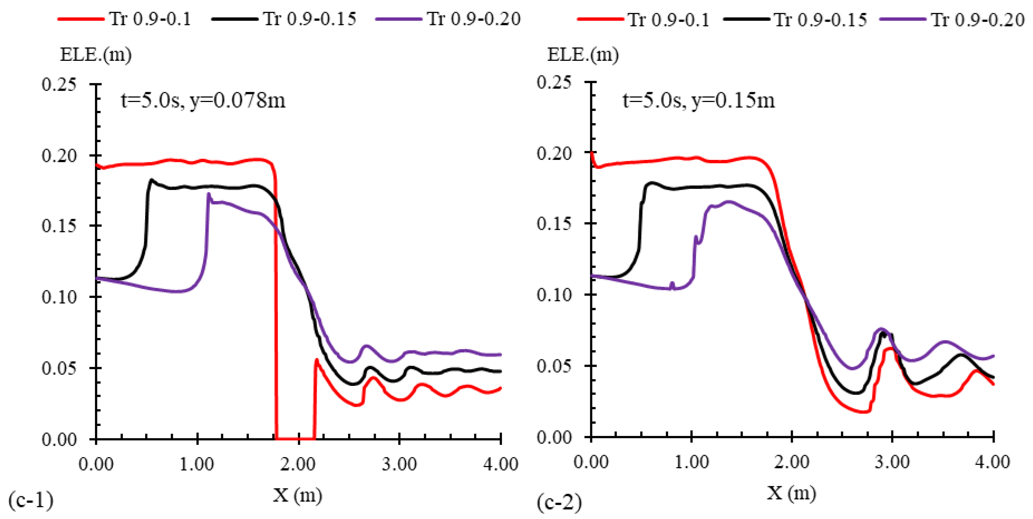
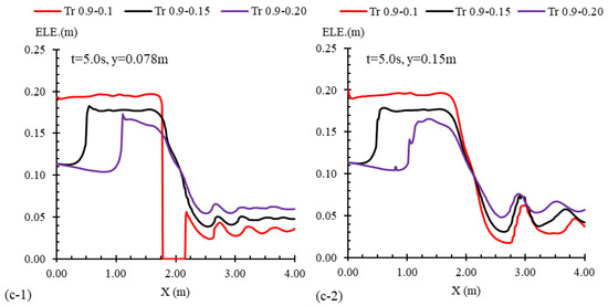
3.4. Effect of the Transition Length on Flow Hydraulics
4. Discussion
5. Conclusions
Author Contributions
Funding
Data Availability Statement
Conflicts of Interest
Abbreviations
| CFD | Computational fluid dynamics |
| RANS | Reynolds-averaged Navier–Stokes |
| SWE | Shallow-water equations |
| LES | Large eddy simulation |
| FVM | Finite volume method |
| VOF | Volume of fluid |
| FAVOR | Fractional Area/Volume Obstacle Representation |
| MAPE | Mean absolute percentage error |
| ELE | Elevation of water |
| Tr | Parallel lateral contraction with trapezoidal shape |
| Cr | Parallel lateral contraction with crescent shape |
| Tr-C | Parallel mid-width contraction with trapezoidal shape |
| Cr-C | Parallel mid-width contraction with crescent shape |
References
- Hamidifar, H.; Nones, M. Spatiotemporal variations of riverine flood fatalities: 70 years global to regional perspective. River 2023, 2, 222–238. [Google Scholar] [CrossRef]
- Merz, B.; Blöschl, G.; Vorogushyn, S.; Dottori, F.; Aerts, J.C.; Bates, P.; Bertola, M.; Kemter, M.; Kreibich, H.; Lall, U.; et al. Causes, impacts and patterns of disastrous river floods. Nat. Rev. Earth Environ. 2021, 2, 592–609. [Google Scholar] [CrossRef]
- Hamidifar, H.; Yaghoubi, F.; Rowinski, P.M. Using multi-criteria decision-making methods in prioritizing structural flood control solutions: A case study from Iran. J. Flood Risk Manag. 2024, 17, e12991. [Google Scholar] [CrossRef]
- Murtaza, N.; Pasha, G.A.; Hamidifar, H.; Ghani, U.; Ahmed, A. Enhancing flood resilience: Comparative analysis of single and hybrid defense systems for vulnerable buildings. Int. J. Disaster Risk Reduct. 2025, 116, 105078. [Google Scholar] [CrossRef]
- Wang, Y.; Fu, Z.; Cheng, Z.; Xiang, Y.; Chen, J.; Zhang, P.; Yang, X. Uncertainty analysis of dam-break flood risk consequences under the influence of non-structural measures. Int. J. Disaster Risk Reduct. 2024, 102, 104265. [Google Scholar] [CrossRef]
- Anjaneyulu, R.; Swain, R.; Behera, M.D. Future projections of worst floods and dam break analysis in Mahanadi River Basin under CMIP6 climate change scenarios. Environ. Monit. Assess. 2023, 195, 1173. [Google Scholar] [CrossRef]
- Yerramilli, S. Potential impact of climate changes on the inundation risk levels in a dam break scenario. ISPRS Int. J. Geo-Inf. 2013, 2, 110–134. [Google Scholar] [CrossRef]
- Hooshyaripor, F.; Tahershamsi, A.; Razi, S. Dam break flood wave under different reservoir’s capacities and lengths. Sādhanā 2017, 42, 1557–1569. [Google Scholar] [CrossRef]
- Najar, M.; Gül, A. Investigating the influence of dam-breach parameters on dam-break connected flood hydrograph. Tek. Dergi 2022, 33, 12501–12524. [Google Scholar] [CrossRef]
- Wang, B.; Zhang, J.; Chen, Y.; Peng, Y.; Liu, X.; Liu, W. Comparison of measured dam-break flood waves in triangular and rectangular channels. J. Hydrol. 2019, 575, 690–703. [Google Scholar] [CrossRef]
- Yu, M.-H.; Deng, Y.-L.; Qin, L.-C.; Wang, D.-W.; Chen, Y.-L. Numerical simulation of levee breach flows under complex boundary conditions. J. Hydrodyn. Ser. B 2009, 21, 633–639. [Google Scholar] [CrossRef]
- MacDonald, T.C.; Langridge-Monopolis, J. Breaching charateristics of dam failures. J. Hydraul. Eng. 1984, 110, 567–586. [Google Scholar] [CrossRef]
- Cao, Z.; Pender, G.; Wallis, S.; Carling, P. Computational dam-break hydraulics over erodible sediment bed. J. Hydraul. Eng. 2004, 130, 689–703. [Google Scholar] [CrossRef]
- Hogg, A.J.; Pritchard, D. The effects of hydraulic resistance on dam-break and other shallow inertial flows. J. Fluid Mech. 2004, 501, 179–212. [Google Scholar] [CrossRef]
- Oguzhan, S.; Aksoy, A.O. Experimental investigation of the effect of vegetation on dam break flood waves. J. Hydrol. Hydromech. 2020, 68, 231–241. [Google Scholar] [CrossRef]
- Feizi, A. Hydrodynamic study of the flows caused by dam break around downstream obstacles. Open Civ. Eng. J. 2018, 12, 225–238. [Google Scholar] [CrossRef][Green Version]
- Ismail, H.; Ann Larocque, L.; Bastianon, E.; Hanif Chaudhry, M.; Imran, J. Propagation of tributary dam-break flows through a channel junction. J. Hydraul. Res. 2021, 59, 214–223. [Google Scholar] [CrossRef]
- Lauber, G.; Hager, W. Experiments to dambreak wave: Sloping channel. J. Hydraul. Res. 1998, 36, 761–773. [Google Scholar] [CrossRef]
- Kocaman, S.; Güzel, H.; Evangelista, S.; Ozmen-Cagatay, H.; Viccione, G. Experimental and numerical analysis of a dam-break flow through different contraction geometries of the channel. Water 2020, 12, 1124. [Google Scholar] [CrossRef]
- Chen, Y.H.; Simons, D.B. An experimental study of hydraulic and geomorphic changes in an alluvial channel induced by failure of a dam. Water Resour. Res. 1979, 15, 1183–1188. [Google Scholar] [CrossRef]
- Goutiere, L.; Soares-Frazão, S.; Zech, Y. Dam-break flow on mobile bed in abruptly widening channel: Experimental data. J. Hydraul. Res. 2011, 49, 367–371. [Google Scholar] [CrossRef]
- Kocaman, S.; Ozmen-Cagatay, H. The effect of lateral channel contraction on dam break flows: Laboratory experiment. J. Hydrol. 2012, 432, 145–153. [Google Scholar] [CrossRef]
- Akgun, C.; Nas, S.S.; Uslu, A. 2D and 3D Numerical Simulation of Dam-Break Flooding: A Case Study of the Tuzluca Dam, Turkey. Water 2023, 15, 3622. [Google Scholar] [CrossRef]
- Biscarini, C.; Di Francesco, S.; Ridolfi, E.; Manciola, P. On the simulation of floods in a narrow bending valley: The malpasset dam break case study. Water 2016, 8, 545. [Google Scholar] [CrossRef]
- Haile, T.; Goitom, H.; Degu, A.M.; Grum, B.; Abebe, B.A. Simulation of urban environment flood inundation from potential dam break: Case of Midimar Embankment Dam, Tigray, Northern Ethiopia. Sustain. Water Resour. Manag. 2024, 10, 46. [Google Scholar] [CrossRef]
- Haltas, I.; Tayfur, G.; Elci, S. Two-dimensional numerical modeling of flood wave propagation in an urban area due to Ürkmez dam-break, İzmir, Turkey. Nat. Hazards 2016, 81, 2103–2119. [Google Scholar] [CrossRef]
- Xu, J.; Zhang, Y.; Ma, Q.; Zhang, J.; Hu, Q.; Zhan, Y. Dam-Break Hazard Assessment with CFD Computational Fluid Dynamics Modeling: The Tianchi Dam Case Study. Water 2025, 17, 108. [Google Scholar] [CrossRef]
- Hosseinzadeh-Tabrizi, S.A.; Ghaeini-Hessaroeyeh, M.; Ziaadini-Dashtekhaki, M. Numerical simulation of dam-breach flood waves. Appl. Water Sci. 2022, 12, 100. [Google Scholar] [CrossRef]
- Khoshkonesh, A.; Asim, T.; Mishra, R.; Dehrashid, F.A.; Heidarian, P.; Nsom, B. Study the effect of obstacle arrangements on the dam-break flow. Int. J. Comadem 2022, 25, 41–50. [Google Scholar]
- Kocaman, S.; Evangelista, S.; Guzel, H.; Dal, K.; Yilmaz, A.; Viccione, G. Experimental and numerical investigation of 3d dam-break wave propagation in an enclosed domain with dry and wet bottom. Appl. Sci. 2021, 11, 5638. [Google Scholar] [CrossRef]
- Di Cristo, C.; Greco, M.; Iervolino, M.; Vacca, A. Impact force of a geomorphic dam-break wave against an obstacle: Effects of sediment inertia. Water 2021, 13, 232. [Google Scholar] [CrossRef]
- Maghsoodi, R.; Khademalrasoul, A.; Sarkardeh, H. 3D numerical simulation of dam-break flow over different obstacles in a dry bed. Water Supply 2022, 22, 4015–4029. [Google Scholar] [CrossRef]
- Le, T.T.H.; Nguyen, V.C. Numerical study of partial dam–break flow with arbitrary dam gate location using VOF method. Appl. Sci. 2022, 12, 3884. [Google Scholar] [CrossRef]
- Oodi, S.; Gohari, S.; Di Francesco, S.; Nazari, R.; Nikoo, M.R.; Heidarian, P.; Eidi, A.; Khoshkonesh, A. Wave–Structure Interaction Modeling of Transient Flow Around Channel Obstacles and Contractions. Water 2025, 17, 424. [Google Scholar] [CrossRef]
- Beteille, E.; Larrarte, F.; Boyaval, S.; Demay, E.; Le, M.H. Dam-break flow over various obstacles configurations. J. Hydraul. Res. 2025, 63, 156–170. [Google Scholar] [CrossRef]
- Transportation Association of Canada. Guide to Bridge Hydraulics; Thomas Telford: Londen, UK, 2004. [Google Scholar]
- Chitale, S.V. Length and Shape of Guide Bunds. Water Energy Int. 1980, 37, 289–294. [Google Scholar]
- Ahmadi, M.; Ghaderi, A.; MohammadNezhad, H.; Kuriqi, A.; Di Francesco, S. Numerical investigation of hydraulics in a vertical slot fishway with upgraded configurations. Water 2021, 13, 2711. [Google Scholar] [CrossRef]
- Bayon, A.; Valero, D.; García-Bartual, R.; López-Jiménez, P.A. Performance assessment of OpenFOAM and FLOW-3D in the numerical modeling of a low Reynolds number hydraulic jump. Environ. Model. Softw. 2016, 80, 322–335. [Google Scholar] [CrossRef]
- Kocaman, S.; Ozmen-Cagatay, H. Investigation of dam-break induced shock waves impact on a vertical wall. J. Hydrol. 2015, 525, 1–12. [Google Scholar] [CrossRef]
- Mirkhorli, P.; Ghaderi, A.; Alizadeh Sanami, F.; Mohammadi, M.; Kuriqi, A.; Kisi, O. An investigation on hydraulic aspects of rectangular labyrinth pool and weir fishway using FLOW-3D. Arab. J. Sci. Eng. 2024, 49, 6061–6087. [Google Scholar] [CrossRef]
- Ozmen-Cagatay, H.; Kocaman, S.; Guzel, H. Investigation of dam-break flood waves in a dry channel with a hump. J. Hydro-Environ. Res. 2014, 8, 304–315. [Google Scholar] [CrossRef]
- Erduran, K.S.; Ünal, U.; Dokuz, A.Ş. Experimental and numerical investigation of partial dam-break waves. Ocean Eng. 2024, 308, 118346. [Google Scholar] [CrossRef]
- Launder, B.; Spalding, D.B. Turbulence modelling. Com. Mech. Appl. Mech. Eng. 1974, 3, 269. [Google Scholar] [CrossRef]
- Yakhot, V.; Orszag, S.A. Renormalization group analysis of turbulence. I. Basic theory. J. Sci. Comput. 1986, 1, 3–51. [Google Scholar] [CrossRef]
- Wilcox, D.C. Turbulence Modeling for CFD; DCW Industries: La Canada, CA, USA, 1998; Volume 2, pp. 103–217. [Google Scholar]
- Yang, S.; Yang, W.; Qin, S.; Li, Q.; Yang, B. Numerical study on characteristics of dam-break wave. Ocean Eng. 2018, 159, 358–371. [Google Scholar] [CrossRef]
- Issakhov, A.; Borsikbayeva, A. The impact of a multilevel protection column on the propagation of a water wave and pressure distribution during a dam break: Numerical simulation. J. Hydrol. 2021, 598, 126212. [Google Scholar] [CrossRef]
- Hirt, C.W.; Nichols, B.D. Volume of fluid (VOF) method for the dynamics of free boundaries. J. Comput. Phys. 1981, 39, 201–225. [Google Scholar] [CrossRef]
- Hirt, C.; Sicilian, J. A porosity technique for the definition of obstacles in rectangular cell meshes. In Proceedings of the 4th International Conference on Numerical Ship Hydrodynamics, Washington, DC, USA, 24–27 September 1985. [Google Scholar]
- Azimi, H.; Heydari, M.; Shabanlou, S. Numerical simulation of the effects of downstream obstacles on malpasset dam break pattern. J. Appl. Res. Water Wastewater 2018, 5, 441–446. [Google Scholar]
- Esmaeeli Mohsenabadi, S. Numerical Modeling of The Initial Stages of Dam-Break Problems. Ph.D. Thesis, Université d’Ottawa/University of Ottawa, Ottawa, ON, Canada, 2021. [Google Scholar]
- Ghaderi, A.; Abbasi, S.; Di Francesco, S. Numerical study on the hydraulic properties of flow over different pooled stepped spillways. Water 2021, 13, 710. [Google Scholar] [CrossRef]
- Ghaderi, A.; Dasineh, M.; Aristodemo, F.; Ghahramanzadeh, A. Characteristics of free and submerged hydraulic jumps over different macroroughnesses. J. Hydroinform. 2020, 22, 1554–1572. [Google Scholar] [CrossRef]
- Hien, L.T.T.; Van Chien, N. Investigate impact force of dam-break flow against structures by both 2d and 3d numerical simulations. Water 2021, 13, 344. [Google Scholar] [CrossRef]
- Rong, Y.; Zhang, T.; Peng, L.; Feng, P. Three-dimensional numerical simulation of dam discharge and flood routing in Wudu reservoir. Water 2019, 11, 2157. [Google Scholar] [CrossRef]
- Song, G.; Chen, Y.; Zhao, P.; Yuan, H. Numerical investigation on the evolutionary characteristics of landslide dam-break flow in a wet-bed channel with riparian vegetation. Front. Mar. Sci. 2024, 11, 1462760. [Google Scholar] [CrossRef]
- Te Chow, V. Open Channel Hydraulics Book; The Blackburn Press: Caldwell, NJ, USA, 2009; ISBN 07-010776-9. [Google Scholar]



























| Shape (a) * | Shape (b) | Shape (c) | Shape (d) | L (m) | LC (m) |
|---|---|---|---|---|---|
| Tr 0.6–0.1 | Cr 0.6–0.1 | Tr-C 0.6–0.1 | Cr-C 0.6–0.1 | 0.6 | 0.1 |
| Tr 0.6–0.15 | Cr 0.6–0.15 | Tr-C 0.6–0.15 | Cr-C 0.6–0.15 | 0.6 | 0.15 |
| Tr 0.6–0.2 | Cr 0.6–0.2 | Tr-C 0.6–0.2 | Cr-C 0.6–0.2 | 0.6 | 0.2 |
| Tr 0.9–0.1 | Cr 0.9–0.1 | Tr-C 0.9–0.1 | Cr-C 0.9–0.1 | 0.9 | 0.1 |
| Tr 0.9–0.15 | Cr 0.9–0.15 | Tr-C 0.9–0.15 | Cr-C 0.9–0.15 | 0.9 | 0.15 |
| Tr 0.9–0.2 | Cr 0.9–0.2 | Tr-C 0.9–0.2 | Cr-C 0.9–0.2 | 0.9 | 0.2 |
| Tr 1.2–0.1 | Cr 1.2–0.1 | Tr-C 1.2–0.1 | Cr-C 1.2–0.1 | 1.2 | 0.1 |
| Tr 1.2–0.15 | Cr 1.2–0.15 | Tr-C 1.2–0.15 | Cr-C 1.2–0.15 | 1.2 | 0.15 |
| Tr 1.2–0.2 | Cr 1.2–0.2 | Tr-C 1.2–0.2 | Cr-C 1.2–0.2 | 1.2 | 0.15 |
| Case | Cell Counts (×103) | Cell Size of Mesh Block 1 (cm) | Cell Size of Mesh Block 2 (cm) | Refinement Ratio Relative to the Former Case | Increase in Calculations Time |
|---|---|---|---|---|---|
| 1 | 206 | 2.00 | 1.50 | - | - |
| 2 | 358 | 1.60 | 1.20 | 0.80 | 174% |
| 3 | 848 | 1.20 | 0.90 | 0.75 | 237% |
| Flow Profile | Time-History Water Elevations | ||
|---|---|---|---|
| t (s) | MAPE (%) | Probe No. | MAPE (%) |
| 2.40 | 3.80 | 1 | 4.07 |
| 4.00 | 6.21 | 3 | 5.49 |
| 5.50 | 5.82 | 5 | 7.23 |
| Average | 5.27 | Average | 5.59 |
Disclaimer/Publisher’s Note: The statements, opinions and data contained in all publications are solely those of the individual author(s) and contributor(s) and not of MDPI and/or the editor(s). MDPI and/or the editor(s) disclaim responsibility for any injury to people or property resulting from any ideas, methods, instructions or products referred to in the content. |
© 2025 by the authors. Licensee MDPI, Basel, Switzerland. This article is an open access article distributed under the terms and conditions of the Creative Commons Attribution (CC BY) license (https://creativecommons.org/licenses/by/4.0/).
Share and Cite
Ghaderi, A.; Shahini, H.; Mohammadnezhad, H.; Hamidifar, H.; Pu, J.H. Hydraulic Response of Dam-Break Flood Waves to Converging Channel Geometries: A Numerical Investigation. Water 2025, 17, 2593. https://doi.org/10.3390/w17172593
Ghaderi A, Shahini H, Mohammadnezhad H, Hamidifar H, Pu JH. Hydraulic Response of Dam-Break Flood Waves to Converging Channel Geometries: A Numerical Investigation. Water. 2025; 17(17):2593. https://doi.org/10.3390/w17172593
Chicago/Turabian StyleGhaderi, Amir, Hooman Shahini, Hossein Mohammadnezhad, Hossein Hamidifar, and Jaan H. Pu. 2025. "Hydraulic Response of Dam-Break Flood Waves to Converging Channel Geometries: A Numerical Investigation" Water 17, no. 17: 2593. https://doi.org/10.3390/w17172593
APA StyleGhaderi, A., Shahini, H., Mohammadnezhad, H., Hamidifar, H., & Pu, J. H. (2025). Hydraulic Response of Dam-Break Flood Waves to Converging Channel Geometries: A Numerical Investigation. Water, 17(17), 2593. https://doi.org/10.3390/w17172593

